Integrated Lipidomic and Transcriptomic Analysis Reveals Phospholipid Changes in Somatic Embryos of Picea asperata in Response to Partial Desiccation
Abstract
:1. Introduction
2. Results
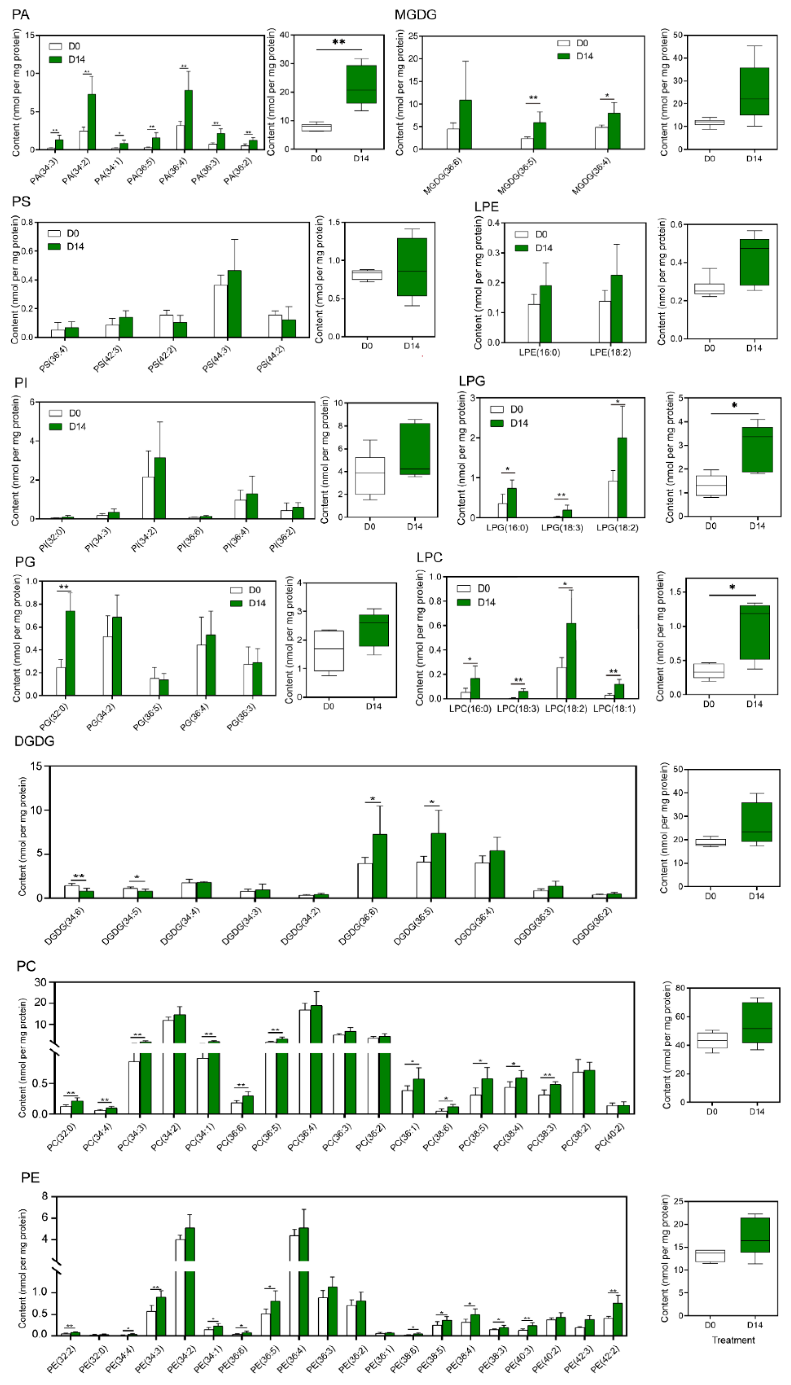
2.1. Lipid Profiles Significantly Changed in SEs of P. asperata after PDT
2.2. Selection of Key Lipid Metabolites
2.3. Glycerolipid and Glycerophospholipid Metabolism Pathways Were Enriched in the Transcriptomes of SEs before and after PDT
2.4. The Enzyme Activity and Protein Level of PLD Were Significantly Increased after PDT
3. Discussion
4. Material and Methods
4.1. Plant Material
4.2. Cultivation Conditions and PDT
4.3. Transcriptomics, Proteomics and KEGG Pathway Enrichment of DEGs
4.4. Lipidomics Analysis
4.5. Activities of PLD
4.6. Statistical Analysis
5. Conclusions
Supplementary Materials
Author Contributions
Funding
Institutional Review Board Statement
Informed Consent Statement
Data Availability Statement
Acknowledgments
Conflicts of Interest
Abbreviations
| ABA | Abscisic acid | 
| CD | Cotyledon by desiccation | 
| DEGs | Differentially expressed genes | 
| DGDG | Digalactosyl-diglyceride | 
| ETH | Ethylene | 
| FC | Fold change | 
| GA | Gibberellin | 
| KEGG | Kyoto Encyclopedia of Genes and Genomes | 
| LPA | Lysophosphatidic acid | 
| LPC | Lyso-phosphatidylcholine | 
| LPE | Lyso-phosphatidylethanolamine | 
| LPG | Lyso-phosphatidylglycerol | 
| MGDG | Monogalactosyl-diglyceride | 
| OPLS-DA | Orthogonal partial least squares-discriminant analysis | 
| PA | Phosphatidic acid | 
| PC | Phosphatidylcholine | 
| PCA | Principal component analysis | 
| PDT | Partial desiccation treatment | 
| PDT | partial desiccation treatment | 
| PE | Phosphatidylethanolamine | 
| PG | Phosphatidylglycerol | 
| PI | Phosphatidylinositol | 
| PLD | Phospholipase D | 
| PS | Phosphatidylserine | 
| RD | Radicle by desiccation | 
| SE | somatic embryo | 
| SEs | Somatic embryos | 
| VIP | Variable importance in projection | 
References
- Bonga, J.M. A comparative evaluation of the application of somatic embryogenesis, rooting of cuttings, and organogenesis of conifers. Can. J. For. Res. 2015, 45, 379–383. [Google Scholar] [CrossRef]
- Pullman, G.S.; Bucalo, K. Pine somatic embryogenesis: Analyses of seed tissue and medium to improve protocol development. New For. 2014, 45, 353–377. [Google Scholar] [CrossRef]
- Find, J.I. Changes in endogenous ABA levels in developing somatic embryos of Norway spruce (Picea abies (L.) Karst.) in relation to maturation medium, desiccation and germination. Plant Sci. 1997, 128, 75–83. [Google Scholar] [CrossRef]
- Pond, S.E.; Aderkas, P.; Bonga, J.M. Improving tolerance of somatic emrbyos of Picea glauca to flash desiccation with a cold treatment (Desiccation after cold acclimation). In Vitro Cell Dev. Biol. Plant 2002, 38, 334–341. [Google Scholar] [CrossRef]
- Roberts, D.R.; Lazaroff, W.R.; Webster, F.B. Interaction between Maturation and High Relative Humidity Treatments and their Effects on Germination of Sitka Spruce Somatic Embryos. J. Plant Physiol. 1991, 138, 1–6. [Google Scholar] [CrossRef]
- Dronne, S.; Label, P.; Lelu, M.A. Desiccation decreases abscisic acid content in hybrid larch (Larix × leptoeuropaea) somatic embryos. Physiol. Plant. 1997, 99, 433–438. [Google Scholar] [CrossRef]
- Kong, L.; Yeung, E.C. Effects of silver nitrate and polyethylene glycol on white spruce (Picea glauca) somatic embryo development: Enhancing cotyledonary embryo formation and endogenous ABA content. Physiol. Plant. 1995, 93, 298–304. [Google Scholar] [CrossRef]
- Bomal, C.; Le, V.Q.; Tremblay, F.M. Induction of tolerance to fast desiccation in black spruce (Picea mariana) somatic embryos: Relationship between partial water loss, sugars, and dehydrins. Physiol. Plant. 2002, 115, 523–530. [Google Scholar] [CrossRef]
- Wang, W.Q.; Ye, J.Q.; Rogowska-Wrzesinska, A.; Wojdyla, K.I.; Jensen, O.N.; Moller, I.M.; Song, S.Q. Proteomic comparison between maturation drying and prematurely imposed drying of Zea mays seeds reveals a potential role of maturation drying in preparing proteins for seed germination, seedling vigor, and pathogen resistance. J. Proteome Res. 2014, 13, 606–626. [Google Scholar] [CrossRef]
- Stasolla, C.; Loukanina, N.; Ashihara, H.; Yeung, E.C.; Thorpe, T.A. Purine and pyrimidine metabolism during the partial drying treatment of white spruce (Picea glauca) somatic embryos. Physiol. Plant. 2001, 111, 93–101. [Google Scholar] [CrossRef]
- Jing, D.L.; Zhang, J.W.; Xia, Y.; Kong, L.S.; OuYang, F.Q.; Zhang, S.G.; Zhang, H.G.; Wang, J.H. Proteomic analysis of stress-related proteins and metabolic pathways in Picea asperata somatic embryos during partial desiccation. Plant. Biotechnol. J. 2017, 15, 27–38. [Google Scholar] [CrossRef] [PubMed] [Green Version]
- Hu, X.L.; Yu, X.M.; Chen, H.Y.; Li, W.Q. Turnover of Glycerolipid Metabolite Pool and Seed Viability. Int. J. Mol. Sci. 2018, 19, 1417. [Google Scholar] [CrossRef] [PubMed] [Green Version]
- Colin, L.A.; Jaillais, Y. Phospholipids across scales: Lipid patterns and plant development. Curr. Opin. Plant. Biol. 2020, 53, 1–9. [Google Scholar] [CrossRef] [PubMed]
- Champeyroux, C.; Stoof, C.; Rodriguez-Villalon, A. Signaling phospholipids in plant development: Small couriers determining cell fate. Curr. Opin. Plant. Biol. 2020, 57, 61–71. [Google Scholar] [CrossRef] [PubMed]
- Nakamura, Y. Plant Phospholipid Diversity: Emerging Functions in Metabolism and Protein-Lipid Interactions. Trends Plant Sci. 2017, 22, 1027–1040. [Google Scholar] [CrossRef] [PubMed]
- Felczak, A.; Zawadzka, K.; Bernat, P.; Nowak-Lange, M.; Lisowska, K. Effect of Quinoline on the Phospholipid Profile of Curvularia lunata and Its Microbial Detoxification. Molecules 2022, 27, 2081. [Google Scholar] [CrossRef]
- Furse, S.; de Kroon, A.I. Phosphatidylcholine’s functions beyond that of a membrane brick. Mol. Membr. Biol. 2015, 32, 117–119. [Google Scholar] [CrossRef]
- Sun, M.X.; Liu, X.L.; Gao, H.F.; Zhang, B.B.; Peng, F.T.; Xiao, Y.S. Phosphatidylcholine Enhances Homeostasis in Peach Seedling Cell Membrane and Increases Its Salt Stress Tolerance by Phosphatidic Acid. Int. J. Mol. Sci. 2022, 23, 2585. [Google Scholar] [CrossRef]
- Gasulla, F.; Vom Dorp, K.; Dombrink, I.; Zahringer, U.; Gisch, N.; Dormann, P.; Bartels, D. The role of lipid metabolism in the acquisition of desiccation tolerance in Craterostigma plantagineum: A comparative approach. Plant J. 2013, 75, 726–741. [Google Scholar] [CrossRef]
- Welti, R.; Li, W.Q.; Li, M.Y.; Sang, Y.M.; Biesiada, H.; Zhou, H.E.; Rajashekar, C.B.; Williams, T.D.; Wang, X.M. Profiling membrane lipids in plant stress responses. Role of phospholipase D alpha in freezing-induced lipid changes in Arabidopsis. J. Biol. Chem. 2002, 277, 31994–32002. [Google Scholar] [CrossRef] [Green Version]
- Wang, Y.J.; Zhang, X.Y.; Huang, G.R.; Feng, F.; Liu, X.Y.; Guo, R.; Gu, F.X.; Zhong, X.L.; Mei, X.R. Dynamic changes in membrane lipid composition of leaves of winter wheat seedlings in response to PEG-induced water stress. BMC Plant Biol. 2020, 20, 84. [Google Scholar] [CrossRef] [PubMed]
- Torres-Franklin, M.L.; Gigon, A.; de Melo, D.F.; Zuily-Fodil, Y.; Pham-Thi, A.T. Drought stress and rehydration affect the balance between MGDG and DGDG synthesis in cowpea leaves. Physiol. Plant. 2007, 131, 201–210. [Google Scholar] [CrossRef] [PubMed]
- Yu, X.M.; Li, A.H.; Li, W.Q. How membranes organize during seed germination: Three patterns of dynamic lipid remodelling define chilling resistance and affect plastid biogenesis. Plant Cell Environ. 2015, 38, 1391–1403. [Google Scholar] [CrossRef] [PubMed]
- Li, W.Y.; Song, T.Z.; Wallrad, L.; Kudla, J.; Wang, X.M.; Zhang, W.H. Tissue-specific accumulation of pH-sensing phosphatidic acid determines plant stress tolerance. Nat. Plants 2019, 5, 1012–1021. [Google Scholar] [CrossRef]
- Hou, Q.C.; Ufer, G.; Bartels, D. Lipid signalling in plant responses to abiotic stress. Plant. Cell Environ. 2016, 39, 1029–1048. [Google Scholar] [CrossRef]
- Testerink, C.; Munnik, T. Molecular, cellular, and physiological responses to phosphatidic acid formation in plants. J. Exp. Bot. 2011, 62, 2349–2361. [Google Scholar] [CrossRef] [Green Version]
- Kolesnikov, Y.; Kretynin, S.; Bukhonska, Y.; Pokotylo, I.; Ruelland, E.; Martinec, J.; Kravets, V. Phosphatidic Acid in Plant Hormonal Signaling: From Target Proteins to Membrane Conformations. Int. J. Mol. Sci. 2022, 23, 3227. [Google Scholar] [CrossRef]
- Hong, Y.Y.; Zhao, J.; Guo, L.; Kim, S.C.; Deng, X.J.; Wang, G.L.; Zhang, G.Y.; Li, M.Y.; Wang, X.M. Plant phospholipases D and C and their diverse functions in stress responses. Prog. Lipid Res. 2016, 62, 55–74. [Google Scholar] [CrossRef] [Green Version]
- Zhang, W.H.; Qin, C.B.; Zhao, J.; Wang, X.M. Phospholipase Dα1-derived phosphatidic acid interacts with ABI1 phosphatase 2C and regulates abscisic acid signaling. Proc. Natl. Acad. Sci. USA. 2004, 101, 9508–9513. [Google Scholar] [CrossRef] [Green Version]
- Cao, H.S.; Gong, R.; Yuan, S.; Su, Y.; Lv, W.X.; Zhou, Y.M.; Zhang, Q.Q.; Deng, X.J.; Tong, P.; Liang, S.H.; et al. Phospholipase Dalpha6 and phosphatidic acid regulate gibberellin signaling in rice. EMBO Rep. 2021, 22, e51871. [Google Scholar] [CrossRef]
- Testerink, C.; Larsen, P.B.; McLoughlin, F.; van der Does, D.; van Himbergen, J.A.; Munnik, T. PA, a stress-induced short cut to switch-on ethylene signalling by switching-off CTR1? Plant Signal. Behav. 2008, 3, 681–683. [Google Scholar] [CrossRef] [PubMed]
- Ling, J.J.; Xiao, Y.; Hu, J.W.; Wang, F.D.; Ouyang, F.Q.; Wang, J.H.; Weng, Y.H.; Zhang, H.G. Genotype by environment interaction analysis of growth of Picea koraiensis families at different sites using BLUP-GGE. New For. 2020, 52, 113–127. [Google Scholar] [CrossRef]
- Maitah, M.; Toth, D.; Malec, K.; Appiah-Kubi, S.N.K.; Maitah, K.; Pańka, D.; Prus, P.; Janků, J.; Romanowski, R. The Impacts of Calamity Logging on the Sustainable Development of Spruce Fuel Biomass Prices and Spruce Pulp Prices in the Czech Republic. Forests 2022, 13, 97. [Google Scholar] [CrossRef]
- Zhang, H.N.; Ren, H.; Zhai, H.M. Analysis of phenolation potential of spruce kraft lignin and construction of its molecular structure model. Ind. Crops Prod. 2021, 167, 113506. [Google Scholar] [CrossRef]
- Arshadi, M.; Eriksson, D.; Isacsson, P.; Bergsten, U. Bark Assortments of Scots Pine and Norway Spruce as Industrial Feedstock for Tall Oil Production. Forests 2018, 9, 332. [Google Scholar] [CrossRef] [Green Version]
- Zhang, J.W.; Wang, J.H.; Ma, J.W. The Way Change of Somatic Embryogenesis at the Late Stage of Embryogenic Callus Proliferation of Picea asperata Mast. Plant Physiol. J. 2014, 50, 197–202. (In Chinese) [Google Scholar]
- Stasolla, C.; Yeung, E.C. Recent advances in conifer somatic embryogenesis: Improving somatic embryo quality. Plant Cell Tissue Organ Cult. 2003, 74, 15–35. [Google Scholar] [CrossRef]
- Eliasova, K.; Konradova, H.; Dobrev, P.I.; Motyka, V.; Lomenech, A.M.; Fischerova, L.; Lelu-Walter, M.A.; Vondrakova, Z.; Teyssier, C. Desiccation as a Post-maturation Treatment Helps Complete Maturation of Norway Spruce Somatic Embryos: Carbohydrates, Phytohormones and Proteomic Status. Front. Plant Sci. 2022, 13, 823617. [Google Scholar] [CrossRef]
- Correia, S.; Cunha, A.E.; Salgueiro, L.; Canhoto, J.M. Somatic embryogenesis in tamarillo (Cyphomandra betacea): Approaches to increase efficiency of embryo formation and plant development. Plant Cell Tissue Organ Cult. 2012, 109, 143–152. [Google Scholar] [CrossRef]
- Chanprame, S.; Kuo, T.M.; Widholm, J.M. Soluble Carbohydrate Content of Soybean [Glycine max (L.) Merr.] Somatic and Zygotic Embryos during Development. In Vitro Cell. Dev. Biol. Plant 1998, 34, 64–68. [Google Scholar] [CrossRef]
- Carrier, D.J.; Bock, C.A.; Cunningham, J.E.; Cyr, D.R.; Dunstan, D.I. (+)-ABA content and lipid deposition in interior spruce somatic embryos. In Vitro Cell Dev. Biol. Plant 1997, 33, 236–239. [Google Scholar] [CrossRef]
- Attree, S.M.; Pomeroy, M.K.; Fowke, L.C. Manipulation of conditions for the culture of somatic embryos of white spruce for improved triacylglycerol biosynthesis and desiccation tolerance. Planta 1992, 187, 395–404. [Google Scholar] [CrossRef] [PubMed]
- Chen, H.Y.; Yu, X.M.; Zhang, X.D.; Yang, L.; Huang, X.; Zhang, J.; Pritchard, H.W.; Li, W.Q. Phospholipase Dalpha1-mediated phosphatidic acid change is a key determinant of desiccation-induced viability loss in seeds. Plant Cell Environ. 2018, 41, 50–63. [Google Scholar] [CrossRef] [PubMed]
- Golovina, E.; Hoekstra, F. Membrane behavior as influenced by partitioning of amphiphiles during drying: A comparative study in anhydrobiotic plant systems. Comp. Biochem. Phys. A 2002, 131, 545–558. [Google Scholar] [CrossRef]
- Dubots, E.; Audry, M.; Yamaryo, Y.; Bastien, O.; Ohta, H.; Breton, C.; Marechal, E.; Block, M.A. Activation of the chloroplast monogalactosyldiacylglycerol synthase MGD1 by phosphatidic acid and phosphatidylglycerol. J. Biol. Chem. 2010, 285, 6003–6011. [Google Scholar] [CrossRef] [Green Version]
- Seiwert, D.; Witt, H.; Ritz, S.; Janshoff, A.; Paulsen, H. The Nonbilayer Lipid MGDG and the Major Light-Harvesting Complex (LHCII) Promote Membrane Stacking in Supported Lipid Bilayers. Biochemistry 2018, 57, 2278–2288. [Google Scholar] [CrossRef]
- Lin, L.; Ma, J.C.; Ai, Q.; Pritchard, H.W.; Li, W.Q.; Chen, H.Y. Lipid Remodeling Confers Osmotic Stress Tolerance to Embryogenic Cells during Cryopreservation. Int. J. Mol. Sci. 2021, 22, 2174. [Google Scholar] [CrossRef]
- Wang, X.M.; Devaiah, S.P.; Zhang, W.H.; Welti, R. Signaling functions of phosphatidic acid. Prog. Lipid Res. 2006, 45, 250–278. [Google Scholar] [CrossRef]
- Bargmann, B.O.; Laxalt, A.M.; ter Riet, B.; van Schooten, B.; Merquiol, E.; Testerink, C.; Haring, M.A.; Bartels, D.; Munnik, T. Multiple PLDs required for high salinity and water deficit tolerance in plants. Plant Cell Physiol. 2009, 50, 78–89. [Google Scholar] [CrossRef] [Green Version]
- Testerink, C.; Munnik, T. Phosphatidic acid: A multifunctional stress signaling lipid in plants. Trends Plant Sci. 2005, 10, 368–375. [Google Scholar] [CrossRef]
- Litvay, J.D.; Verma, D.C.; Johnson, M.A. Influence of a loblolly pine (Pinus taeda L.). Culture medium and its components on growth and somatic embryogenesis of the wild carrot (Daucus carota L.). Plant Cell Rep. 1985, 4, 325–328. [Google Scholar] [CrossRef] [PubMed]
- Zhang, J.W.; Wang, J.H.; Zhang, S.G.; Li, Q.F.; Yan, X. A Desiccation Indicator before Germination of Picea asperata Somatic Embryos. Sci. Silv. Sin. 2014, 50, 31–36. (In Chinese) [Google Scholar]
- Lu, N.; Zhu, T.; Ouyang, F.; Xia, Y.; Li, Q.; Jia, Z.; Hu, J.; Ling, J.; Ma, W.; Yang, G.; et al. PICEAdatabase: A web database for Picea omics and phenotypic information. Database 2019, 2019, baz089. [Google Scholar] [CrossRef] [PubMed]
- Mao, X.Z.; Cai, T.; Olyarchuk, J.G.; Wei, L.P. Automated genome annotation and pathway identification using the KEGG Orthology (KO) as a controlled vocabulary. Bioinformatics 2005, 21, 3787–3793. [Google Scholar] [CrossRef] [PubMed]
- Pang, Z.Q.; Chong, J.; Zhou, G.Y.; de Lima Morais, D.A.; Chang, L.; Barrette, M.; Gauthier, C.; Jacques, P.E.; Li, S.Z.; Xia, J.G. MetaboAnalyst 5.0: Narrowing the gap between raw spectra and functional insights. Nucleic Acids Res. 2021, 49, W388–W396. [Google Scholar] [CrossRef]
- Morris, A.J.; Frohman, M.A.; Engebrecht, J.A. Measurement of phospholipase D activity. Anal. Biochem. 1997, 252, 1–9. [Google Scholar] [CrossRef]









| Protein ID | Corresponding Transcript ID | FC (D0 vs. D14) | KO ID | Uniprot Annotation | 
|---|---|---|---|---|
| Pasi_116787465 | MA_138834g0010 | 2.666 * | K12355 | Aldehyde dehydrogenase 9 (Fragment) | 
| Pasi_148910753 | MA_10435526g0010 | 1.692 * | K14085 | Aldehyde dehydrogenase family 7 member B4 | 
| Pasi_148906521 | MA_9944g0020 | 1.315 * | K15918 | D-glycerate 3-kinase, chloroplastic | 
| Pasi_116786790 | MA_97566g0010 | 1.635 * | K00128 | Aldehyde dehydrogenase family 3 member H1 | 
| Pita_383143100 | MA_10436582g0020 | 5.311 * | K01115 | Phospholipase D alpha 2 | 
| Pasi_116787472 | MA_6712g0010 | 1.393 * | K01115 | Phospholipase D alpha 1 | 
| Publisher’s Note: MDPI stays neutral with regard to jurisdictional claims in published maps and institutional affiliations. | 
© 2022 by the authors. Licensee MDPI, Basel, Switzerland. This article is an open access article distributed under the terms and conditions of the Creative Commons Attribution (CC BY) license (https://creativecommons.org/licenses/by/4.0/).
Share and Cite
Ling, J.; Xia, Y.; Hu, J.; Zhu, T.; Wang, J.; Zhang, H.; Kong, L. Integrated Lipidomic and Transcriptomic Analysis Reveals Phospholipid Changes in Somatic Embryos of Picea asperata in Response to Partial Desiccation. Int. J. Mol. Sci. 2022, 23, 6494. https://doi.org/10.3390/ijms23126494
Ling J, Xia Y, Hu J, Zhu T, Wang J, Zhang H, Kong L. Integrated Lipidomic and Transcriptomic Analysis Reveals Phospholipid Changes in Somatic Embryos of Picea asperata in Response to Partial Desiccation. International Journal of Molecular Sciences. 2022; 23(12):6494. https://doi.org/10.3390/ijms23126494
Chicago/Turabian StyleLing, Juanjuan, Yan Xia, Jiwen Hu, Tianqing Zhu, Junhui Wang, Hanguo Zhang, and Lisheng Kong. 2022. "Integrated Lipidomic and Transcriptomic Analysis Reveals Phospholipid Changes in Somatic Embryos of Picea asperata in Response to Partial Desiccation" International Journal of Molecular Sciences 23, no. 12: 6494. https://doi.org/10.3390/ijms23126494
APA StyleLing, J., Xia, Y., Hu, J., Zhu, T., Wang, J., Zhang, H., & Kong, L. (2022). Integrated Lipidomic and Transcriptomic Analysis Reveals Phospholipid Changes in Somatic Embryos of Picea asperata in Response to Partial Desiccation. International Journal of Molecular Sciences, 23(12), 6494. https://doi.org/10.3390/ijms23126494
 
         
                                                


 
       