Lysosomal Exocytosis of Olivacine on the Way to Explain Drug Resistance in Cancer Cells
Abstract
1. Introduction
2. Results and Discussion
2.1. Synthesis of Olivacine
2.2. Biological Activity
Inhibition of Cell Proliferation (Total Protein Content)
2.3. Rate of Apoptosis and Evaluation of the Cell Cycle
2.4. Cell Morphology
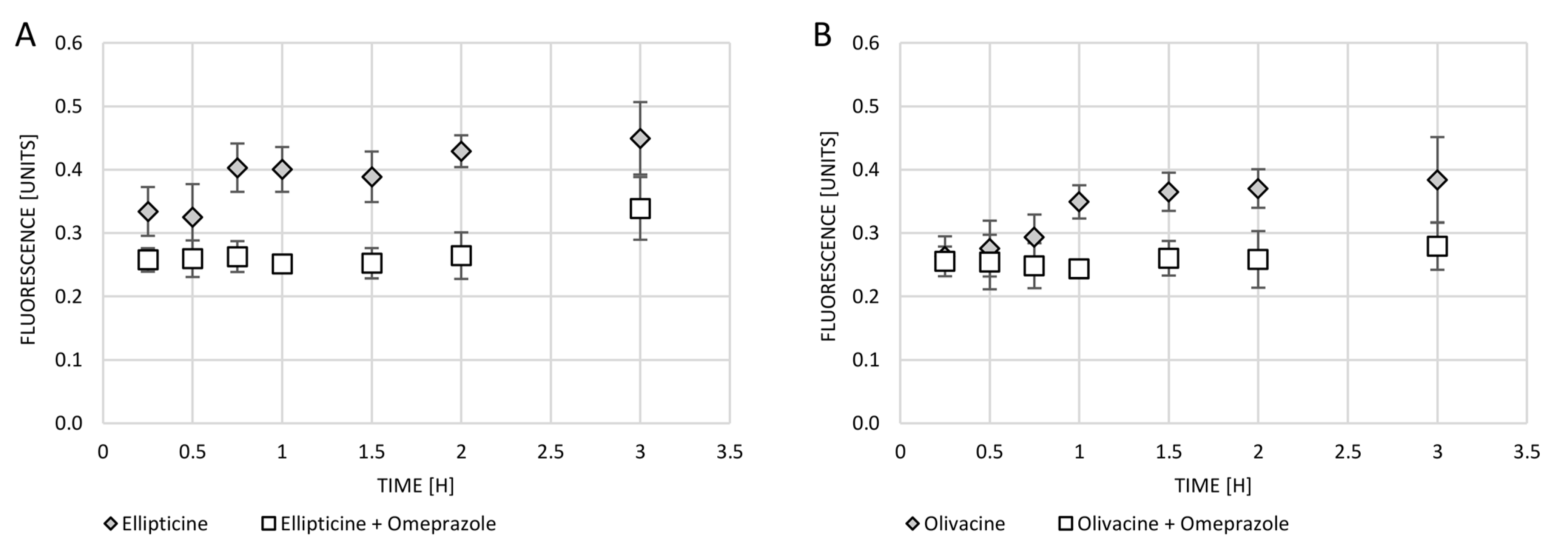
2.5. Exocytosis of Olivacine
3. Conclusions
4. Materials and Methods
4.1. Preparation of Compounds for Biological Assays
4.2. Cell Lines
4.3. Inhibition of Cell Proliferation (Total Protein Content)
4.4. Cytotoxicity (Mitochondrial Activity)
4.5. Rate of Apoptosis
4.6. Evaluation of the Cell Cycle
4.7. Cell Morphology and Exocytosis of Olivacine
4.8. Evaluation of Proton Pump Activity
4.9. Statistical Analysis
Author Contributions
Funding
Institutional Review Board Statement
Informed Consent Statement
Data Availability Statement
Conflicts of Interest
References
- Palmieri, M.; Impey, S.; Kang, H.; di Ronza, A.; Pelz, C.; Sardiello, M.; Ballabio, A. Characterization of the CLEAR network reveals an integrated control of cellular clearance pathways. Hum. Mol. Genet. 2011, 20, 3852–3866. [Google Scholar] [CrossRef] [PubMed]
- Zhitomirsky, B.; Assaraf, Y.G. Lysosomal accumulation of anticancer drugs triggers lysosomal exocytosis. Oncotarget 2017, 8, 45117–45132. [Google Scholar] [CrossRef] [PubMed]
- Miller, C.M.; O’Sullivan, E.C.; McCarthy, F.O. Novel 11-Substituted Ellipticines as Potent Anticancer Agents with Divergent Activity against Cancer Cells. Pharmaceuticals 2019, 12, 90. [Google Scholar] [CrossRef] [PubMed]
- Longley, D.; Johnston, P. Molecular mechanisms of drug resistance. J. Pathol. 2005, 205, 275–292. [Google Scholar] [CrossRef] [PubMed]
- Isah, T. Anticancer alkaloids from trees: Development into drugs. Pharmacogn. Rev. 2016, 10, 90–99. [Google Scholar] [CrossRef]
- Márquez, E.; Mora, J.R.; Flores-Morales, V.; Insuasty, D.; Calle, L. Modeling the Antileukemia Activity of Ellipticine-Related Compounds: QSAR and Molecular Docking Study. Molecules 2020, 25, 24. [Google Scholar] [CrossRef]
- Stiborová, M.; Breuer, A.; Aimová, D.; Stiborová-Rupertová, M.; Wiessler, M.; Frei, E. DNA adduct formation by the anticancer drug ellipticine in rats determined by 32P postlabeling. Int. J. Cancer 2003, 107, 885–890. [Google Scholar] [CrossRef]
- Auclair, C. Multimodal action of antitumor agents on DNA: The ellipticine series. Arch. Biochem. Biophys. 1987, 259, 1–14. [Google Scholar] [CrossRef]
- Rahman, A.; Cradock, J.C.; Paul Davignon, J. Dissolution and Absorption of the Antineoplastic Agent Ellipticine. J. Pharm. Sci. 1978, 67, 611–614. [Google Scholar] [CrossRef]
- Schmidt, U.; Theumer, G.; Jäger, A.; Kataeva, O.; Wan, B.; Franzblau, S.; Knölker, H.-J. Synthesis and Activity against Mycobacterium tuberculosis of Olivacine and Oxygenated Derivatives. Molecules 2018, 23, 1402. [Google Scholar] [CrossRef]
- Schmutz, J.; Hunziker, F. Aspidosperma-alkaloids. 3. The alkaloids of Aspidosperma olivaceum M. Arg. Pharm. Acta Helv. 1958, 33, 341–347. [Google Scholar] [PubMed]
- Ramkumar, N.; Nagarajan, R. Total Synthesis of Ellipticine Quinones, Olivacine, and Calothrixin B. J. Org. Chem. 2014, 79, 736–741. [Google Scholar] [CrossRef] [PubMed]
- Awada, A.; Giacchetti, S.; Gerard, B.; Eftekhary, P.; Lucas, C.; de Valeriola, D.; Poullain, M.G.; Soudon, J.; Dosquet, C.; Brillanceau, M.-H.; et al. Clinical phase I and pharmacokinetic study of S 16020, a new olivacine derivative: Report on three infusion schedules. Ann. Oncol. 2002, 13, 1925–1934. [Google Scholar] [CrossRef] [PubMed]
- Besselièvre, R.; Husson, H.-P. Syntheses in the ellipticine-olivacine series: A possible biogenetic model. Tetrahedron 1981, 37, 241–246. [Google Scholar] [CrossRef]
- Jasztold-Howorko, R.; Landras, C.; Pierré, A.; Atassi, G.; Guilbaud, N.; Kraus-Berthier, L.; Léonce, S.; Rolland, Y.; Prost, J.-F.F.; Bisagni, E.; et al. Synthesis and Evaluation of 9-Hydroxy-5-methyl-(and 5,6-dimethyl)-6H-pyrido[4,3-b]carbazole-1-N-[(dialkylamino)alkyl]carboxamides, a New Promising Series of Antitumor Olivacine Derivatives. J. Med. Chem. 1994, 37, 2445–2452. [Google Scholar] [CrossRef]
- Schmutz, J.; Wittwer, H. Die Synthese von Olivacin, Dihydro-olivacin, Tetrahydro-olivacin N-Methyl-tetrahydro-olivacin, und die Konstitution von u-Alkaloid D.Aspidosperma-Alkaloide, 7. Mitteilung. Helv. Chim. Acta 1960, 43, 793–799. [Google Scholar] [CrossRef]
- Stiborová, M.; Bieler, C.A.; Wiessler, M.; Frei, E. The anticancer agent ellipticine on activation by cytochrome P450 forms covalent DNA adducts. Biochem. Pharmacol. 2001, 62, 1675–1684. [Google Scholar] [CrossRef]
- Kuo, P.-L.; Hsu, Y.-L.; Chang, C.-H.; Lin, C.-C. The mechanism of ellipticine-induced apoptosis and cell cycle arrest in human breast MCF-7 cancer cells. Cancer Lett. 2005, 223, 293–301. [Google Scholar] [CrossRef]
- Loddo, M.; Kingsbury, S.R.; Rashid, M.; Proctor, I.; Holt, C.; Young, J.; El-Sheikh, S.; Falzon, M.; Eward, K.L.; Prevost, T.; et al. Cell-cycle-phase progression analysis identifies unique phenotypes of major prognostic and predictive significance in breast cancer. Br. J. Cancer 2009, 100, 959–970. [Google Scholar] [CrossRef]
- American Cancer Society. How Chemotherapy Drugs Work? Available online: https://www.cancer.org/treatment/treatments-and-side-effects/treatment-types/chemotherapy/how-chemotherapy-drugs-work.html (accessed on 25 March 2022).
- Kim, J.Y.; Lee, S.G.; Chung, J.Y.; Kim, Y.J.; Park, J.E.; Koh, H.; Han, M.S.; Park, Y.C.; Yoo, Y.H.; Kim, J.M. Ellipticine induces apoptosis in human endometrial cancer cells: The potential involvement of reactive oxygen species and mitogen-activated protein kinases. Toxicology 2011, 289, 91–102. [Google Scholar] [CrossRef]
- Tao, S.; Meng, S.; Zheng, X.; Xie, L. ATM participates in the regulation of viability and cell cycle via ellipticine in bladder cancer. Mol. Med. Rep. 2017, 15, 1143–1148. [Google Scholar] [CrossRef] [PubMed][Green Version]
- Mizumoto, K.; Sato, N.; Kusumoto, M.; Niiyama, H.; Maehara, N.; Nishio, S.; Li, Z.; Ogawa, T.; Tanaka, M. Diverse effects of 9-hydroxyellipticine on the chemosensitivity of human pancreatic cancer cells harboring p53 mutations. Cancer Lett. 2000, 149, 85–94. [Google Scholar] [CrossRef]
- Russell, E.G.; O’Sullivan, E.C.; Miller, C.M.; Stanicka, J.; McCarthy, F.O.; Cotter, T.G.; O’Sullivan, E.C.; Miller, C.M.; Stanicka, J.; McCarthy, F.O.; et al. Ellipticine derivative induces potent cytostatic effect in acute myeloid leukaemia cells. Investig. New Drugs 2014, 32, 1113–1122. [Google Scholar] [CrossRef] [PubMed]
- Peng, Y.H.; Li, C.G.; Chen, L.H.; Sebti, S.; Chen, J.D. Rescue of mutant p53 transcription function by ellipticine. Oncogene 2003, 22, 4478–4487. [Google Scholar] [CrossRef]
- Savorani, C.; Manfé, V.; Biskup, E.; Gniadecki, R. Ellipticine induces apoptosis in T-cell lymphoma via oxidative DNA damage. Leuk. Lymphoma 2015, 56, 739–747. [Google Scholar] [CrossRef]
- Akopova, I.; Tatur, S.; Grygorczyk, M.; Luchowski, R.; Gryczynski, I.; Gryczynski, Z.; Borejdo, J.; Grygorczyk, R. Imaging exocytosis of ATP-containing vesicles with TIRF microscopy in lung epithelial A549 cells. Purinergic Signal. 2012, 8, 59. [Google Scholar] [CrossRef]
- Guo, L.; Zhang, Y.; Wei, R.; Wang, C.; Feng, M. Lipopolysaccharide-anchored macrophages hijack tumor microtube networks for selective drug transport and augmentation of antitumor effects in orthotopic lung cancer. Theranostics 2019, 9, 6936. [Google Scholar] [CrossRef]
- Cell Lines in the In Vitro Screen|NCI-60 Human Tumor Cell Lines Screen|Discovery & Development Services|Developmental Therapeutics Program (DTP). Available online: https://dtp.cancer.gov/discovery_development/nci-60/cell_list.htm (accessed on 4 May 2022).
- Shoemaker, R.H. The NCI60 human tumor cell line anticancer drug screen. Nat. Rev. Cancer 2006, 6, 813–823. [Google Scholar] [CrossRef]
- Vichai, V.; Kirtikara, K. Sulforhodamine B colorimetric assay for cytotoxicity screening. Nat. Protoc. 2006, 1, 1112–1116. [Google Scholar] [CrossRef]







| Cell Line | GI50 [µM] | Significance of the Difference Between Olivacine and Ellipticine | ||
|---|---|---|---|---|
| Olivacine | Ellipticine | Doxorubicin | ||
| A549 | 0.93 ± 0.06 | 0.72 ± 0.06 | 1.92 ± 0.35 | p < 0.05 |
| MCF-7 | 0.75 ± 0.07 | 1.25 ± 0.77 | 1.44 ± 0.23 | p > 0.05 |
| LoVo | 1.02 ± 0.21 | 0.95 ± 0.25 | 1.62 ± 0.45 | p > 0.05 |
| LoVo/DX | 0.82 ± 0.08 | 0.75 ± 0.22 | 14.09 ± 3.42 | p > 0.05 |
| CCRF/CEM | 0.81 ± 0.14 | 0.77 ± 0.17 | 0.74 ± 0.02 | p > 0.05 |
| NHDF | 14.77 ± 3.77 | 4.44 ± 0.74 | 13.65 ± 5.29 | p > 0.05 |
| Cell Line | IC50 [µM] | Significance of the Difference Between Olivacine and Ellipticine | ||
|---|---|---|---|---|
| Olivacine | Ellipticine | Doxorubicin | ||
| A549 | 17.84 ± 7.82 | 12.92 ± 2.36 | 13.75 ± 1.03 | p < 0.05 |
| MCF-7 | 18.50 ± 2.41 | 4.67 ± 0.53 | 4.33 ± 0.55 | p < 0.05 |
| LoVo | 12.66 ± 1.08 | 3.27 ± 0.83 | 10.15 ± 1.27 | p < 0.05 |
| LoVo/DX | 26.33 ± 4.64 | 15.05 ± 1.73 | 86.35 ± 25.42 | p < 0.05 |
| CCRF/CEM | 10.97 ± 3.30 | 5.86 ± 0.51 | 1.03 ± 0.02 | p < 0.05 |
| NHDF | 15.27 ± 1.95 | 8.98 ± 1.44 | 18.19 ± 4.46 | p < 0.05 |
| Percentage of Cells in a Given Phase [%] (SD) | |||
|---|---|---|---|
| G0/G1 | S | G2/M | |
| Control | 33.1 (2.4) | 21.7 (2.2) | 45.2 (4.9) |
| Olivacine | 37.0 (1.9) | 22.5 (2.3) | 40.5 (0.9) |
| Ellipticine | 36.9 (2.2) | 22.8 (3.9) | 40.3 (0.8) |
| Doxorubicin | 27.9 (3.0) | 34.7 (4.4) | 37.4 (1.7) |
Publisher’s Note: MDPI stays neutral with regard to jurisdictional claims in published maps and institutional affiliations. |
© 2022 by the authors. Licensee MDPI, Basel, Switzerland. This article is an open access article distributed under the terms and conditions of the Creative Commons Attribution (CC BY) license (https://creativecommons.org/licenses/by/4.0/).
Share and Cite
Wiatrak, B.; Gębarowski, T.; Czwojdziński, E.; Gąsiorowski, K.; Tylińska, B. Lysosomal Exocytosis of Olivacine on the Way to Explain Drug Resistance in Cancer Cells. Int. J. Mol. Sci. 2022, 23, 6119. https://doi.org/10.3390/ijms23116119
Wiatrak B, Gębarowski T, Czwojdziński E, Gąsiorowski K, Tylińska B. Lysosomal Exocytosis of Olivacine on the Way to Explain Drug Resistance in Cancer Cells. International Journal of Molecular Sciences. 2022; 23(11):6119. https://doi.org/10.3390/ijms23116119
Chicago/Turabian StyleWiatrak, Benita, Tomasz Gębarowski, Eddie Czwojdziński, Kazimierz Gąsiorowski, and Beata Tylińska. 2022. "Lysosomal Exocytosis of Olivacine on the Way to Explain Drug Resistance in Cancer Cells" International Journal of Molecular Sciences 23, no. 11: 6119. https://doi.org/10.3390/ijms23116119
APA StyleWiatrak, B., Gębarowski, T., Czwojdziński, E., Gąsiorowski, K., & Tylińska, B. (2022). Lysosomal Exocytosis of Olivacine on the Way to Explain Drug Resistance in Cancer Cells. International Journal of Molecular Sciences, 23(11), 6119. https://doi.org/10.3390/ijms23116119

