Polypropylene Graft Poly(methyl methacrylate) Graft Poly(N-vinylimidazole) as a Smart Material for pH-Controlled Drug Delivery
Abstract
:1. Introduction
2. Results
2.1. Grafting
2.2. Infrared Spectroscopy
2.3. XPS Spectroscopy
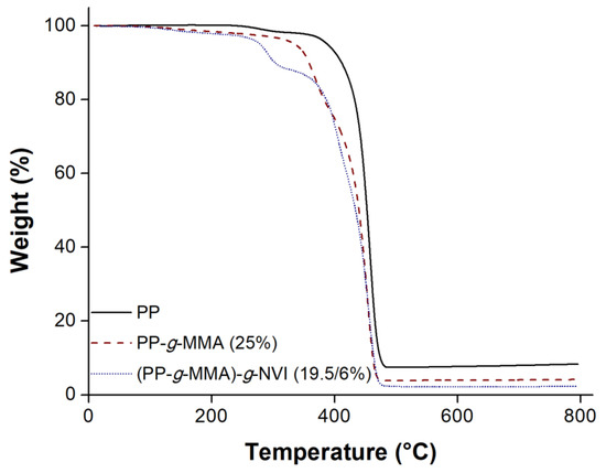
2.4. Thermal Gravimetry Analysis
2.5. Swelling and Critical pH
2.6. Contact Angle
2.7. Load and Release of Vancomycin
3. Discussion
4. Materials and Methods
4.1. Materials
4.2. Grafting Method
4.2.1. Grafting Polymerization of MMA Using the Oxidative Pre-Irradiation Method
4.2.2. Grafting of NVI on PP-g-MMA by Direct Method
4.3. Swelling Experiments
4.4. Load and Release of Vancomycin
4.5. Instrumental
5. Conclusions
Author Contributions
Funding
Institutional Review Board Statement
Informed Consent Statement
Data Availability Statement
Acknowledgments
Conflicts of Interest
References
- Maddah, H.A. Polypropylene as a promising plastic: A review. Am. J. Polym. Sci. 2016, 6, 1–11. [Google Scholar] [CrossRef]
- Minko, S. Grafting on solid surfaces: “grafting to” and “grafting from” methods. In Polymer Surfaces and Interfaces: Characterization, Modification and Applications; Stamm, M., Ed.; Springer: Berlin/Heidelberg, Germany, 2008; pp. 215–234. ISBN 978-3-540-73865-7. [Google Scholar]
- Zhang, S.; Yu, P.; Zhang, Y.; Ma, Z.; Teng, K.; Hu, X.; Lu, L.; Zhang, Y.; Zhao, Y.; An, Q. Remarkably boosted molecular delivery triggered by combined thermal and flexoelectrical field dual stimuli. ChemistrySelect 2020, 5, 6715–6722. [Google Scholar] [CrossRef]
- Contreras-García, A.; Bucio, E.; Concheiro, A.; Alvarez-Lorenzo, C. Polypropylene grafted with NIPAAm and APMA for creating hemocompatible surfaces that load/elute nalidixic acid. React. Funct. Polym. 2010, 70, 836–842. [Google Scholar] [CrossRef]
- Flores-Rojas, G.G.; López-Saucedo, F.; Bucio, E.; Isoshima, T. Covalent immobilization of lysozyme in silicone rubber modified by easy chemical grafting. MRS Commun. 2017, 7, 904–912. [Google Scholar] [CrossRef]
- Naguib, H.F.; Aly, R.O.; Sabaa, M.W.; Mokhtar, S.M. Gamma radiation induced graft copolymerization of vinylimidazole-acrylic acid onto polypropylene films. Polym. Test. 2003, 22, 825–830. [Google Scholar] [CrossRef]
- Chung, T.C.; Rhubright, D.; Jiang, G.J. Synthesis of polypropylene-graft-poly(methyl methacrylate) copolymers by the borane approach. Macromolecules 1993, 26, 3467–3471. [Google Scholar] [CrossRef]
- Kudryavtsev, V.N.; Kabanov, V.Y.; Yanul, N.A.; Kedik, S.A. Polypropylene modification by the radiation graft polymerization of N-vinylcaprolactam. High Energy Chem. 2003, 37, 382–388. [Google Scholar] [CrossRef]
- Xu, X.; Zhang, L.; Zhou, J.; Wang, J.; Yin, J.; Qiao, J. Thermal behavior of polypropylene-g-glycidyl methacrylate prepared by melt grafting. J. Macromol. Sci. Part B 2015, 54, 32–44. [Google Scholar] [CrossRef]
- Anastas, P.T.; Kirchhoff, M.M. Origins, current status, and future challenges of green chemistry. Acc. Chem. Res. 2002, 35, 686–694. [Google Scholar] [CrossRef]
- Bucio, E.; Burillo, G. Radiation-induced grafting of sensitive polymers. J. Radioanal. Nucl. Chem. 2009, 280, 239–243. [Google Scholar] [CrossRef]
- Saxena, S.; Ray, A.R.; Kapil, A.; Pavon-Djavid, G.; Letourneur, D.; Gupta, B.; Meddahi-Pellé, A. Development of a new polypropylene-based suture: Plasma grafting, surface treatment, characterization, and biocompatibility studies. Macromol. Biosci. 2011, 11, 373–382. [Google Scholar] [CrossRef] [PubMed]
- Kumari, M.; Gupta, B.; Ikram, S. Characterization of N-isopropyl acrylamide/acrylic acid grafted polypropylene nonwoven fabric developed by radiation-induced graft polymerization. Radiat. Phys. Chem. 2012, 81, 1729–1735. [Google Scholar] [CrossRef]
- Strohmaier, S.; Zwierzchowski, G. Comparison of (60)Co and (192)Ir sources in HDR brachytherapy. J. Contemp. Brachytherapy 2011, 3, 199–208. [Google Scholar] [CrossRef] [PubMed]
- Clark, D.E. Peroxides and peroxide-forming compounds. Chem. Health Saf. 2001, 8, 12–22. [Google Scholar] [CrossRef]
- Wypych, G. PMMA polymethylmethacrylate. In Handbook of Polymers, 2nd ed.; Wypych, G.B.T.-H., Ed.; ChemTec Publishing: Toronto, ON, Canada, 2016; pp. 467–471. ISBN 978-1-895198-92-8. [Google Scholar]
- Fink, J.K. Poly(vinylimidazole). In Handbook of Engineering and Specialty Thermoplastics; Fink, J.K., Ed.; John Wiley & Sons: Hoboken, NJ, USA, 2011; pp. 251–291. [Google Scholar]
- Camacho-Cruz, L.A.; Velazco-Medel, M.A.; Parra-Delgado, H.; Bucio, E. Functionalization of cotton gauzes with poly(N-vinylimidazole) and quaternized poly(N-vinylimidazole) with gamma radiation to produce medical devices with pH-buffering and antimicrobial properties. Cellulose 2021, 28, 3279–3294. [Google Scholar] [CrossRef]
- de Magalhães Pereira, M.; Lambert Oréfice, R.; Sander Mansur, H.; Paz Lopes, M.T.; de Marco Turchetti-Maia, R.M.; Vasconcelos, A.C. Preparation and biocompatibility of poly (methyl methacrylate) reinforced with bioactive particles. Mater. Res. 2003, 6, 311–315. [Google Scholar] [CrossRef]
- Wang, B.; Liu, H.-J.; Chen, Y. A biocompatible poly(N-vinylimidazole)-dot with both strong luminescence and good catalytic activity. RSC Adv. 2016, 6, 2141–2148. [Google Scholar] [CrossRef]
- Szász, M.; Hajdú, M.; Pesti, N.; Domahidy, M.; Kristóf, K.; Zahár, Á.; Nagy, K.; Szabó, D. In vitro efficiency of vancomycin containing experimental drug delivery systems. Acta Microbiol. Immunol. Hung. 2013, 60, 461–468. [Google Scholar] [CrossRef] [PubMed]
- Zavala-Lagunes, E.; Ruiz, J.C.; Varca, G.H.C.; Bucio, E. Synthesis and characterization of stimuli-responsive polypropylene containing N-vinylcaprolactam and N-vinylimidazole obtained by ionizing radiation. Mater. Sci. Eng. C 2016, 67, 353–361. [Google Scholar] [CrossRef] [PubMed]
- Kawamura, Y. Effects of gamma irradiation on polyethylene, polypropylene, and polystyrene. In Irradiation of Food and Packaging; Komolprasert, V., Morehouse, K.M., Eds.; ACS Symposium Series; American Chemical Society: Washington, DC, USA, 2004; Volume 875, pp. 262–276. ISBN 0-8412-3869-3. [Google Scholar]
- Duan, G.; Zhang, C.; Li, A.; Yang, X.; Lu, L.; Wang, X. Preparation and characterization of mesoporous zirconia made by using a poly (methyl methacrylate) template. Nanoscale Res. Lett. 2008, 3, 118–122. [Google Scholar] [CrossRef] [PubMed] [Green Version]
- López-Saucedo, F.; Flores-Rojas, G.G.; Bucio, E.; Alvarez-Lorenzo, C.; Concheiro, A.; González-Antonio, O. Achieving antimicrobial activity through poly(N-methylvinylimidazolium) iodide brushes on binary-grafted polypropylene suture threads. MRS Commun. 2017, 7, 938–946. [Google Scholar] [CrossRef]
- Ramasamy, R. Vibrational spectroscopic studies of imidazole. Armen. J. Phys. 2015, 8, 51–55. [Google Scholar]
- Kuba, A.G.; Smolin, Y.Y.; Soroush, M.; Lau, K.K.S. Synthesis and integration of poly(1-vinylimidazole) polymer electrolyte in dye sensitized solar cells by initiated chemical vapor deposition. Chem. Eng. Sci. 2016, 154, 136–142. [Google Scholar] [CrossRef] [Green Version]
- Lannon, J.M.; Meng, Q. Analysis of a poly(propylene)(PP) Homopolymer by XPS. Surf. Sci. Spectra 1999, 6, 79–82. [Google Scholar] [CrossRef]
- Pignataro, B.; Fragalà, M.E.; Puglisi, O. AFM and XPS study of ion bombarded poly(methyl methacrylate). Nucl. Instrum. Methods Phys. Res. Sect. B 1997, 131, 141–148. [Google Scholar] [CrossRef]
- Abudonia, K.S.; Saad, G.R.; Naguib, H.F.; Eweis, M.; Zahran, D.; Elsabee, M.Z. Surface modification of polypropylene film by grafting with vinyl monomers for the attachment of chitosan. J. Polym. Res. 2018, 25, 125. [Google Scholar] [CrossRef]
- Alvarez-Lorenzo, C.; Bucio, E.; Burillo, G.; Concheiro, A. Medical devices modified at the surface by γ-ray grafting for drug loading and delivery. Expert Opin. Drug Deliv. 2010, 7, 173–185. [Google Scholar] [CrossRef]
- Johnson, J.L.H.; Yalkowsky, S.H. Reformulation of a new vancomycin analog: An example of the importance of buffer species and strength. AAPS PharmSciTech 2006, 7, E33–E37. [Google Scholar] [CrossRef] [PubMed]
- Obando-Mora, Á.; Acevedo-Gutiérrez, C.; Pérez-Cinencio, J.; Sánchez-Garzón, F.; Bucio, E. Synthesis of a pH- and thermo-responsive binary copolymer poly(N-vinylimidazole-co-N-vinylcaprolactam) grafted onto silicone films. Coatings 2015, 5, 758–770. [Google Scholar] [CrossRef] [Green Version]
- Wagner, H. pH profiles in human skin: Influence of two in vitro test systems for drug delivery testing. Eur. J. Pharm. Biopharm. 2003, 55, 57–65. [Google Scholar] [CrossRef]
- Hendi, A.; Umair Hassan, M.; Elsherif, M.; Alqattan, B.; Park, S.; Yetisen, A.K.; Butt, H. Healthcare applications of pH-sensitive hydrogel-based devices: A review. Int. J. Nanomed. 2020, 15, 3887–3901. [Google Scholar] [CrossRef]
- Siepmann, J.; Siepmann, F. Swelling controlled drug delivery systems. In Fundamentals and Applications of Controlled Release Drug Delivery; Siepmann, J., Siegel, R., Rathbone, M., Eds.; Springer: Boston, MA, USA, 2012; pp. 153–170. [Google Scholar]
- Quinelato, R.R.; Albitres, G.A.; Mariano, D.M.; Freitas, D.F.; Mendes, L.C.; Rodrigues, D.C.; Filho, M.F. Influence of polycaprolactone and titanium phosphate in the composites based upon recycled polypropylene. J. Thermoplast. Compos. Mater. 2020, 1–21. [Google Scholar] [CrossRef]
- Nasef, M.M.; Gupta, B.; Shameli, K.; Verma, C.; Ali, R.R.; Ting, T.M. Engineered bioactive polymeric surfaces by radiation induced graft copolymerization: Strategies and applications. Polymers 2021, 13, 3102. [Google Scholar] [CrossRef]
- Ahmad Nor, Y.; Zhang, H.; Purwajanti, S.; Song, H.; Meka, A.K.; Wang, Y.; Mitter, N.; Mahony, D.; Yu, C. Hollow mesoporous carbon nanocarriers for vancomycin delivery: Understanding the structure–release relationship for prolonged antibacterial performance. J. Mater. Chem. B 2016, 4, 7014–7021. [Google Scholar] [CrossRef] [PubMed]
- Zhuo, S.; Zhang, F.; Yu, J.; Zhang, X.; Yang, G.; Liu, X. pH-Sensitive biomaterials for drug delivery. Molecules 2020, 25, 5649. [Google Scholar] [CrossRef]
- Shan, S.; Herschlag, D. The change in hydrogen bond strength accompanying charge rearrangement: Implications for enzymatic catalysis. Proc. Natl. Acad. Sci. USA 1996, 93, 14474–14479. [Google Scholar] [CrossRef] [PubMed] [Green Version]
- Wood, J.L. pH-controlled hydrogen-bonding. Biochem. J. 1974, 143, 775–777. [Google Scholar] [CrossRef] [PubMed]
- López-Saucedo, F.; Alvarez-Lorenzo, C.; Concheiro, A.; Bucio, E. Radiation-grafting of vinyl monomers separately onto polypropylene monofilament sutures. Radiat. Phys. Chem. 2017, 132, 1–7. [Google Scholar] [CrossRef]
- Li, B.; Brown, K.V.; Wenke, J.C.; Guelcher, S.A. Sustained release of vancomycin from polyurethane scaffolds inhibits infection of bone wounds in a rat femoral segmental defect model. J. Control Release 2010, 145, 221–230. [Google Scholar] [CrossRef]










| Film | Atomic (%) | ||
|---|---|---|---|
| C | O | N | |
| PP | 100 | - | - |
| PP-g-MMA (17%) | 75.28 | 24.51 | - |
| (PP-g-MMA)-g-NVI (77.5/5%) | 72.59 | 22.90 | 3.76 |
| Film | 10 wt% Loss (°C) | Td (°C) | Residue 800 °C (%) |
|---|---|---|---|
| PP | 411.7 | 458.5 | 8.30 |
| PP-g-MMA (25%) | 358.5 | 370.3, 453.6 | 4.1 |
| (PP-g-MMA)-g-NVI (19.5/6%) | 303.4 | 291.32, 406.9, 455.9 | 2.3 |
| Experiment | Dose (kGy) | Time (h) | Temperature (°C) | Concentration (vol%) | Grafting (%) |
|---|---|---|---|---|---|
| Dose | 5 | 16 | 65 | 20 | 10 |
| Dose | 10 | 16 | 65 | 20 | 18 |
| Dose | 15 | 16 | 65 | 20 | 31 |
| Dose | 20 | 16 | 65 | 20 | 39 |
| Dose | 25 | 16 | 65 | 20 | 49.5 |
| Time | 5 | 5 | 65 | 30 | 6 |
| Time | 5 | 10 | 65 | 30 | 12 |
| Time | 5 | 16 | 65 | 30 | 18 |
| Time | 5 | 24 | 65 | 30 | 23 |
| Time | 5 | 26 | 65 | 30 | 31 |
| Concentration | 15 | 16 | 70 | 20 | 8.5 |
| Concentration | 15 | 16 | 70 | 40 | 19.5 |
| Concentration | 15 | 16 | 70 | 60 | 34 |
| Concentration | 15 | 16 | 70 | 80 | 29.5 |
| Concentration | 15 | 16 | 70 | 100 | 77.5 |
| Temperature | 5 | 16 | 60 | 30 | 15.5 |
| Temperature | 5 | 16 | 70 | 30 | 17.5 |
| Temperature | 5 | 16 | 80 | 30 | 25 |
| Temperature | 5 | 16 | 90 | 30 | 23.5 |
| MMA Grafting (%) | Dose (kGy) | Concentration (vol%) | Total Grafting MMA/NVI (%) |
|---|---|---|---|
| 8.5 | 15 | 50 | 8.5/4 |
| 19.5 | 15 | 50 | 19.5/6 |
| 23 | 15 | 50 | 23/5.5 |
| 34 | 15 | 50 | 34/6.5 |
| 77.5 | 15 | 50 | 77.5/5 |
Publisher’s Note: MDPI stays neutral with regard to jurisdictional claims in published maps and institutional affiliations. |
© 2021 by the authors. Licensee MDPI, Basel, Switzerland. This article is an open access article distributed under the terms and conditions of the Creative Commons Attribution (CC BY) license (https://creativecommons.org/licenses/by/4.0/).
Share and Cite
López-Saucedo, F.; López-Barriguete, J.E.; Flores-Rojas, G.G.; Gómez-Dorantes, S.; Bucio, E. Polypropylene Graft Poly(methyl methacrylate) Graft Poly(N-vinylimidazole) as a Smart Material for pH-Controlled Drug Delivery. Int. J. Mol. Sci. 2022, 23, 304. https://doi.org/10.3390/ijms23010304
López-Saucedo F, López-Barriguete JE, Flores-Rojas GG, Gómez-Dorantes S, Bucio E. Polypropylene Graft Poly(methyl methacrylate) Graft Poly(N-vinylimidazole) as a Smart Material for pH-Controlled Drug Delivery. International Journal of Molecular Sciences. 2022; 23(1):304. https://doi.org/10.3390/ijms23010304
Chicago/Turabian StyleLópez-Saucedo, Felipe, Jesús Eduardo López-Barriguete, Guadalupe Gabriel Flores-Rojas, Sharemy Gómez-Dorantes, and Emilio Bucio. 2022. "Polypropylene Graft Poly(methyl methacrylate) Graft Poly(N-vinylimidazole) as a Smart Material for pH-Controlled Drug Delivery" International Journal of Molecular Sciences 23, no. 1: 304. https://doi.org/10.3390/ijms23010304
APA StyleLópez-Saucedo, F., López-Barriguete, J. E., Flores-Rojas, G. G., Gómez-Dorantes, S., & Bucio, E. (2022). Polypropylene Graft Poly(methyl methacrylate) Graft Poly(N-vinylimidazole) as a Smart Material for pH-Controlled Drug Delivery. International Journal of Molecular Sciences, 23(1), 304. https://doi.org/10.3390/ijms23010304

