Hormonal Responses to Susceptible, Intermediate, and Resistant Interactions in the Brassica napus–Leptosphaeria maculans Pathosystem
Abstract
1. Introduction
2. Results
2.1. Distinct Levels of Disease Severities from the B. napus Cotyledons with Different Inoculation Pairs
2.2. Fungal Development of L. maculans Isolates from Compatible, Intermediate, and Incompatible Interactions
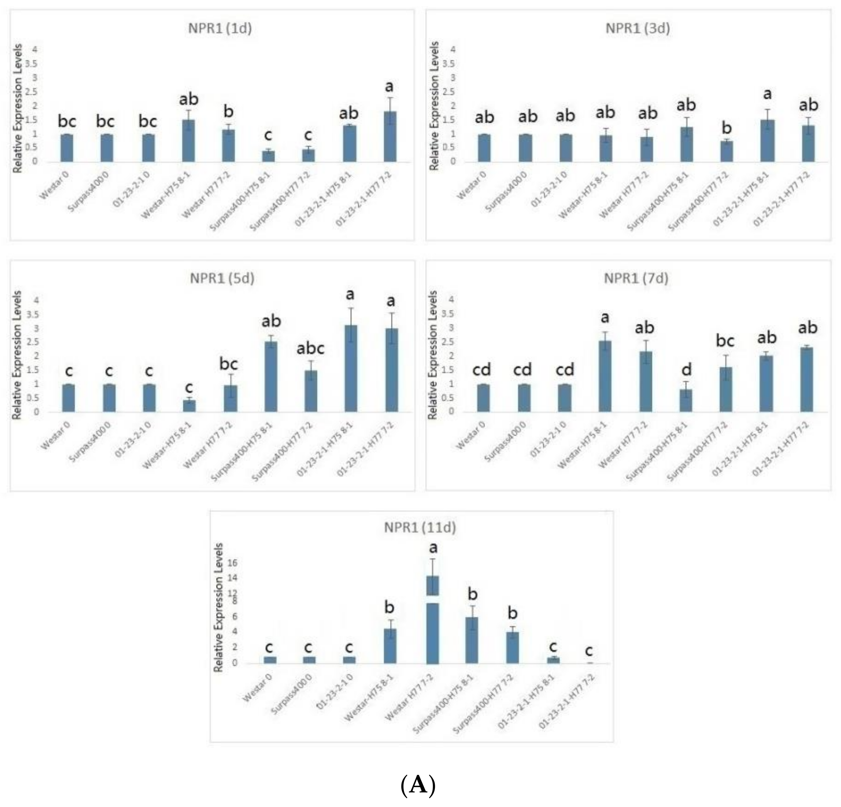
2.3. Gene Expression Analysis in Hormone Signaling
2.4. The Potential Relationship between Hormonal Biosynthesis and the Regulatory Patterns of Hormonal Signals throughout the B. napus and L. maculans Interaction
3. Discussion
3.1. The Fungal Development of L. maculans Was Hindered Due to the Host Resistance
3.2. Fine-Tuning of Hormonal Signals in B. napus Is Able to Resist to L. maculans by Controlling Its Developmental Stages
3.3. The Early Activation of SA-Related Factors (from 1 to 7 dpi) Was One of the Common Features of the Intermediate and Resistant Cotyledons
3.4. Unconventional Signaling Transductions Were Observed from qPCR Results
3.5. Two Isolates (HCRT75 8-1 and HCRT77 7-2) Induced Differential Patterns of Hormonal Gene Expression in Incompatible Interactions
4. Materials and Methods
4.1. Plant Growth and Leptosphaeria maculans Isolates
4.2. Cotyledon Inoculation
4.3. Lesion Size Quantification
4.4. Trypan Blue Staining
4.5. Analysis of Bound Salicylic Acid (Bound SA)
4.6. Gene Expression Analysis
4.7. Statistical Analysis
5. Conclusions
Supplementary Materials
Author Contributions
Funding
Institutional Review Board Statement
Informed Consent Statement
Data Availability Statement
Acknowledgments
Conflicts of Interest
References
- Bari, R.; Jones, J.D.G. Role of plant hormones in plant defence response. Plant Mol. Biol. 2009, 69, 473–488. [Google Scholar] [CrossRef]
- Kunkel, B.N.; Brooks, D.M. Cross talk between signaling pathways in pathogen defense. Curr. Opin. Plant Biol. 2002, 5, 325–331. [Google Scholar] [CrossRef]
- Berens, M.L.; Berry, H.M.; Mine, A.; Argueso, C.T.; Tsuda, K. Evolution of hormone signaling networks in plant defense. Annu. Rev. Phytopathol. 2017, 55, 401–425. [Google Scholar] [CrossRef]
- Li, J.; Brader, G.; Palva, E.T. The WRKY70 transcription factor: A node of convergence for jasmonate-mediated and salicylate-mediated signals in plant defense. Plant Cell 2004, 16, 319–331. [Google Scholar] [CrossRef]
- Vlot, A.C.; Dempsey, D.A.; Klessig, D.F. Salicylic acid, a multifaceted hormone to combat disease. Annu. Rev. Phytopathol. 2009, 47, 177–206. [Google Scholar] [CrossRef] [PubMed]
- Benavente, L.M.; Alonso, J.M. Molecular mechanisms of ethylene signaling in Arabidopsis. Mol. Biosyst. 2006, 2, 165–173. [Google Scholar] [CrossRef] [PubMed]
- Norman-Setterblad, C.; Vidal, S.; Palva, E.T. Interacting signal pathways control defense gene expression in Arabidopsis in response to cell wall-degrading enzymes from Erwinia carotovora. Mol. Plant Microbe Interact. 2000, 13, 430–438. [Google Scholar] [CrossRef] [PubMed]
- Agrios, G.N. Plant Pathology, 5th ed.; Elsevier Academic Press: Burlington, MA, USA, 2004; pp. 208–227. [Google Scholar]
- Knepper, C.; Day, B. From perception to activation: The molecular-genetic and biochemical landscape of disease resistance signaling in plants. Arab. Book 2010, 8, e012. [Google Scholar] [CrossRef] [PubMed]
- Tao, Y.; Xie, Z.; Chen, W.; Glazebrook, J.; Chang, H.-S.; Han, B.; Zhu, T.; Zou, G.; Katagiri, F. Quantitative nature of Arabidopsis responses during compatible and incompatible interactions with the bacterial pathogen Pseudomonas syringae. Plant Cell 2003, 15, 317–330. [Google Scholar] [CrossRef] [PubMed]
- Spoel, S.H.; Johnson, J.S.; Dong, X. Regulation of tradeoffs between plant defenses against pathogens with different lifestyles. Proc. Natl. Acad. Sci. USA 2007, 104, 18842–18847. [Google Scholar] [CrossRef]
- Becker, M.G.; Zhang, X.; Walker, P.L.; Wan, J.C.; Millar, J.L.; Khan, D.; Granger, M.J.; Cavers, J.D.; Chan, A.C.; Fernnado, D.W.G.; et al. Transcriptome analysis of the Brassica napus—Leptosphaeria maculans pathosystem identifies receptor, signaling and structural genes underlying plant resistance. Plant J. 2017, 90, 573–586. [Google Scholar] [CrossRef]
- Sašek, V.; Nováková, M.; Jindřichová, B.; Bóka, K.; Valentová, O.; Burketová, L. Recognition of avirulence gene AvrLm1 from hemibiotrophic ascomycete Leptosphaeria maculans triggers salicyclic acid and ethylene signaling in Brassica napus. Mol. Plant Microbe Interact. 2012, 25, 1238–1250. [Google Scholar] [CrossRef]
- Borad, V.; Sriram, S. Pathogenesis-related proteins for the plant protection. Asian J. Exp. Sci. 2008, 22, 189–196. [Google Scholar]
- Long, Y.; Wang, Z.; Sun, Z.; Fernando, D.W.G.; McVetty, P.B.E.; Li, G. Identification of two blackleg resistance genes and fine mapping of one of these two genes in a Brassica napus canola cultivar ‘Surpass400’. Theor. Appl. Genet. 2011, 122, 1223–1231. [Google Scholar] [CrossRef]
- Dandena, H.B.; Zhang, Q.; Zhou, T.; Hirani, A.H.; Liu, Z.; Fernando, D.W.G.; Duncan, R.W.; Li, G. Analysis of quantitative adult plant resistance to blackleg in Brassica napus. Mol. Breed. 2019, 39, 124. [Google Scholar] [CrossRef]
- Larkan, N.J.; Lydiate, D.J.; Parkin, I.A.; Nelson, M.N.; Epp, D.J.; Cowling, W.A.; Rimmer, S.R.; Borhan, M.H. The Brassica napus blackleg resistance gene LepR3 encodes a receptor-like protein triggered by the Leptosphaeria maculans effector AVRLM1. New Phytol. 2013, 197, 595–605. [Google Scholar] [CrossRef] [PubMed]
- Li, C.; Barker, S.J.; Gilchrist, D.G.; Lincoln, J.E.; Cowling, W.A. Leptosphaeria maculans elicits apoptosis coincident with leaf lesion formation and hyphal advance in Brassica napus. Mol. Plant Microbe Interact. 2008, 21, 1143–1153. [Google Scholar] [CrossRef] [PubMed]
- Hammond, K.E.; Lewis, B.G. The establishment of systemic infection in leaves of oilseed rape by Leptosphaeria maculans. Plant Pathol. 1987, 36, 135–147. [Google Scholar] [CrossRef]
- Wildermuth, M.C.; Dewdney, J.; Wu, G.; Ausubel, F.M. Isochoirsmate synthease is required to synthesize salicylic acid for plant defense. Nature 2001, 414, 562–565. [Google Scholar] [CrossRef]
- Laudert, D.; Weiler, E.W. Allene oxide synthase: A major control point in Arabidopsis thaliana octadecanoid signaling. Plant J. 1998, 15, 675–684. [Google Scholar] [CrossRef]
- Garcia, M.J.; Lucena, C.; Romera, F.J.; Alcantara, E.; Perez-Vicente, R. Ethylene and nitric oxide involvement in the up-regulation of key genes related to irion acquisition and homeostasis in Arabidopsis. J. Exp. Bot. 2010, 61, 3885–3899. [Google Scholar] [CrossRef]
- Brodersen, P.; Petersen, M.; Bjørn Nielsen, H.; Zhu, S.; Newman, M.A.; Shokat, K.M.; Rietz, S.; Parker, J.; Mundy, J. Arabiodpsis MAP kinase 4 regulates salicylic acid- and jasmonic acid/ethylene-dependent responses via EDS1 and PAD4. Plant J. 2006, 47, 532–546. [Google Scholar] [CrossRef]
- Kawano, T.; Tanaka, S.; Kadono, T.; Muto, S. Salicylic acid glucoside acts as a slow inducer of oxidative burst in tobacco suspension culture. Z. Naturforsch. C 2004, 59, 684–692. [Google Scholar] [CrossRef] [PubMed]
- Coll, N.S.; Epple, P.; Dangl, J.L. Programmed cell death in the plant immune system. Cell Death Differ. 2011, 18, 1247–1256. [Google Scholar] [CrossRef] [PubMed]
- Stotz, H.U.; Mitrousia, G.K.; de Wit, P.J.G.M.; Fitt, B.D.L. Effector-triggered defence against apoplastic fungal pathogens. Trends Plant Sci. 2014. [Google Scholar] [CrossRef] [PubMed]
- Parlange, F.; Daverdin, G.; Fudal, I.; Kuhn, M.-L.; Balesdent, M.-H.; Blaise, F.; Grezes-Besset, B.; Rouxel, T. Leptosphaeria maculans avirulence gene AvrLm4-7 confers a dual recognition specificity by the Rlm4 and Rlm7 resistance genes of oilseed rape, and circumvents Rlm4-mediated recognition through a single amino acid change. Mol. Microbiol. 2009, 71, 851–863. [Google Scholar] [CrossRef]
- Neik, T.X.; Ghanbarnia, K.; Ollivier, B.; Scheben, A.; Severn-Ellis, A.; Larkan, N.J.; Haddadi, P.; Fernando, W.G.D.; Rouxel, T.; Batley, J.; et al. Two independent approaches converge to the cloning of a new Leptosphaeria maculans avirulence effector gene, AvrLmS-Lep2. bioRxiv 2020. [Google Scholar] [CrossRef]
- Van de Wouw, A.P.; Marcroft, S.J.; Barbetti, M.J.; Hua, L.; Salisbury, P.A.; Gout, L.; Rouxel, T.; Howlett, B.J.; Balesdent, M.H. Dual control of avirulence in Leptosphaeria maculans towards a Brassica napus cultivar with ‘sylvestris’—derived’ resistance suggests involvement of two resistance genes. Plant Pathol. 2009, 58, 305–313. [Google Scholar] [CrossRef]
- Adie, B.; Chico, J.M.; Rubio-Somoza, I.; Solano, R. Modulation of plant defenses by ethylene. J. Plant Growth Regul. 2007, 26, 160–177. [Google Scholar] [CrossRef]
- Conrath, U. Systemic acquired resistance. Plant Signal. Behav. 2006, 1, 179–184. [Google Scholar] [CrossRef]
- Thibaud, M.C.; Gineste, S.; Nussaume, L.; Robaglia, C. Sucrose increases pathogenesis-related PR-2 gene expression in Arabidopsis thaliana through an SA-dependent but NPR1-independent signaling pathway. Plant Physiol. Biochem. 2004, 42, 81–88. [Google Scholar] [CrossRef] [PubMed]
- Ratzinger, A.; Riediger, N.; von Tiedemann, A.; Karlovsky, P. Salicylic acid and salicylic acid glucoside in xylem sap of Brassica napus infected with Verticillium longisporum. J. Plant Res. 2009, 122, 571–579. [Google Scholar] [CrossRef]
- Hennig, J.; Malamy, J.; Grynkiewicz, G.; Indulski, J.; Klessig, D.F. Interconversion of the salicylic acid signal and tis glucoside in tobacco. Plant J. 1993, 4, 593–600. [Google Scholar] [CrossRef]
- Pogány, M.; von Rad, U.; Grun, S.; Dongo, A.; Pintye, A.; Simoneau, P.; Bahnweg, G.; Kiss, L.; Barna, B.; Durner, J. Dual roles of reactive oxygen species and NADPH oxidase RBOHD in an Arabidopsis-Alternaria pathosystem. Plant Physiol. 2009, 151, 1459–1475. [Google Scholar] [CrossRef] [PubMed]
- Nováková, M.; Sašek, V.; Trdá, L.; Krutinová, H.; Mongin, T.; Valentová, O.; Balesden, M.H.; Rouxel, T.; Burketová, L. Leptosphaeria maculans effector AvrLm4-7 affects salicylic acid (SA) and ethylene (ET) signaling and hydrogen peroxide (H2O2) accumulation in Brassica napus. Mol. Plant Pathol. 2016, 17, 818–831. [Google Scholar] [CrossRef]
- Overmyer, K.; Tuominen, H.; Ketunen, H.; Betz, C.; Langebartels, C.; Sandermann, H., Jr.; Kangasjarvi, J. Ozone-sensitive Arabidopsis rcd1 mutant reveals opposite roles for ethylene and jasmonate signaling pathways in regulating superoxide-dependent cell death. Plant Cell 2000, 12, 1849–1862. [Google Scholar] [CrossRef] [PubMed]
- Rao, M.V.; Lee, H.-I.; Davis, K.R. Ozone-induced ethylene production is dependent on salicylic acid, and both salicylic acid and ethylene act in concert to regulate ozone-induced cell death. Plant J. 2002, 32, 447–456. [Google Scholar] [CrossRef]
- Century, K.S.; Holub, E.B.; Staskawicz, B.J. NDR1, a locus of Arabidopsis thaliana that is required for disease resistance to both a bacterial and a fungal pathogen. Proc. Natl. Acad. Sci. USA 1995, 92, 6597–6601. [Google Scholar] [CrossRef]
- Chung, C.-L.; Longfellow, J.M.; Walsh, E.K.; Kerdieh, Z.; Van Esbroeck, G.; Balint-Kurti, P.; Nelson, R.J. Resistance loci affecting distinct stages of fungal pathogenesis: Use of introgression lines for QTL mapping and characterization in the maize—Setosphaeria turcica pathosystem. BMC Plant Biol. 2010, 10, 1–25. [Google Scholar] [CrossRef]
- Livak, K.J.; Schmittgen, T.D. Analysis of relative gene expression data using real-time quantitative PCR and the 2(-Delta Delta C(T)). Methods 2001, 25, 402–408. [Google Scholar] [CrossRef] [PubMed]











Publisher’s Note: MDPI stays neutral with regard to jurisdictional claims in published maps and institutional affiliations. |
© 2021 by the authors. Licensee MDPI, Basel, Switzerland. This article is an open access article distributed under the terms and conditions of the Creative Commons Attribution (CC BY) license (https://creativecommons.org/licenses/by/4.0/).
Share and Cite
Yang, C.; Fernando, W.G.D. Hormonal Responses to Susceptible, Intermediate, and Resistant Interactions in the Brassica napus–Leptosphaeria maculans Pathosystem. Int. J. Mol. Sci. 2021, 22, 4714. https://doi.org/10.3390/ijms22094714
Yang C, Fernando WGD. Hormonal Responses to Susceptible, Intermediate, and Resistant Interactions in the Brassica napus–Leptosphaeria maculans Pathosystem. International Journal of Molecular Sciences. 2021; 22(9):4714. https://doi.org/10.3390/ijms22094714
Chicago/Turabian StyleYang, Cunchun, and W. G. Dilantha Fernando. 2021. "Hormonal Responses to Susceptible, Intermediate, and Resistant Interactions in the Brassica napus–Leptosphaeria maculans Pathosystem" International Journal of Molecular Sciences 22, no. 9: 4714. https://doi.org/10.3390/ijms22094714
APA StyleYang, C., & Fernando, W. G. D. (2021). Hormonal Responses to Susceptible, Intermediate, and Resistant Interactions in the Brassica napus–Leptosphaeria maculans Pathosystem. International Journal of Molecular Sciences, 22(9), 4714. https://doi.org/10.3390/ijms22094714

