Supramolecular Nanofibers from Collagen-Mimetic Peptides Bearing Various Aromatic Groups at N-Termini via Hierarchical Self-Assembly
Abstract
1. Introduction
2. Results and Discussion
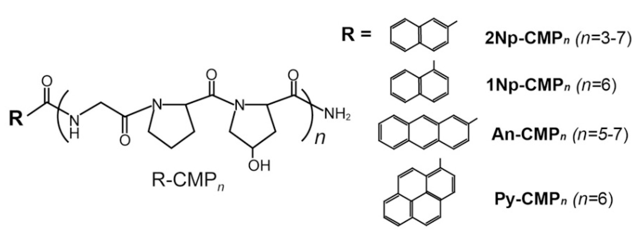
2.1. Design and Synthesis of CMP Libraries
2.2. Conformational and Self-Assembling Properties of 2Np-Terminated CMPs with Different Chain Lengths in Water
2.3. Effect of Terminal Aromatic Groups on Conformation and Self-Assembly
2.4. Encapsulation of Nile Red into Py-CMP Nanofiber for Thermo-Responsive Drug Delivery Systems (DDSs) and Wavelength-Conversion Materials
3. Experimental Section
3.1. Materials
3.2. Measurements
3.3. Synthesis of Collagen-Mimetic Peptides Bearing Various Aromatic Groups at N-Termini
4. Conclusions
Supplementary Materials
Author Contributions
Funding
Institutional Review Board Statement
Conflicts of Interest
References
- Woolfson, D.N.; Mahmoud, Z.N. More than Just Bare Scaffolds: Towards Multi-component and Deco-rated Fibrous Biomaterials. Chem. Soc. Rev. 2010, 39, 3464–3479. [Google Scholar] [CrossRef]
- Kopeček, J.; Yang, J. Smart Self-Assembled Hybrid Hydrogel Biomaterials. Angew. Chem. Int. Ed. 2012, 51, 7396–7417. [Google Scholar] [CrossRef] [PubMed]
- Luo, Q.; Hou, C.; Bai, Y.; Wang, R.; Liu, J. Protein Assembly: Versatile Approaches to Construct Highly Ordered Nanostructures. Chem. Rev. 2016, 116, 13571–13632. [Google Scholar] [CrossRef]
- Katyal, P.; Meleties, M.; Montclare, J.K. Self-Assembled Protein- and Peptide-Based Nanomaterials. ACS Biomater. Sci. Eng. 2019, 5, 4132–4147. [Google Scholar] [CrossRef]
- Matsuura, K. Synthetic approaches to construct viral capsid-like spherical nanomaterials. Chem. Commun. 2018, 54, 8944–8959. [Google Scholar] [CrossRef] [PubMed]
- Inaba, H.; Matsuura, K. Peptide Nanomaterials Designed from Natural Supramolecular Systems. Chem. Rec. 2019, 19, 843–858. [Google Scholar] [CrossRef] [PubMed]
- Ulijn, R.V.; Smith, A.M. Designing peptide based nanomaterials. Chem. Soc. Rev. 2008, 37, 664–675. [Google Scholar] [CrossRef]
- Ryadnov, M.G.; Woolfson, D.N. Engineering the morphology of a self-assembling protein fibre. Nat. Mater. 2003, 2, 329–332. [Google Scholar] [CrossRef] [PubMed]
- More, H.T.; Zhang, K.S.; Srivastava, N.; Frezzo, J.A.; Montclare, J.K. Influence of Fluorination on Pro-tein-Engineered Coiled-Coil Fibers. Biomacromolecules 2015, 16, 1210–1217. [Google Scholar] [CrossRef]
- De Santis, E.; Castelletto, V.; Ryadnov, M.G. Interfacial zippering-up of coiled-coil protein filaments. Phys. Chem. Chem. Phys. 2015, 17, 31055–31060. [Google Scholar] [CrossRef] [PubMed]
- Rajagopal, K.; Schneider, J.P. Self-assembling peptides and proteins for nanotechnological applications. Curr. Opin. Struct. Biol. 2004, 14, 480–486. [Google Scholar] [CrossRef] [PubMed]
- Koga, T.; Higuchi, M.; Kinoshita, T.; Higashi, N. Controlled Self-Assembly of Amphiphilic Oligopeptides into Shape-Specific Nanoarchitectures. Chem. A Eur. J. 2006, 12, 1360–1367. [Google Scholar] [CrossRef] [PubMed]
- Hartgerink, J.D.; Beniash, E.; Stupp, S.I. Self-assembly and Mineralization of Peptide-amphiphile Nano-fibes. Science 2002, 294, 1684–1688. [Google Scholar] [CrossRef] [PubMed]
- Yokoi, H.; Kinoshita, T.; Zhang, S. Dynamic reassembly of peptide RADA16 nanofiber scaffold. Proc. Natl. Acad. Sci. USA 2005, 102, 8414–8419. [Google Scholar] [CrossRef] [PubMed]
- Murai, K.; Kinoshita, T.; Nagata, K.; Higuchi, M. Mineralization of Calcium Carbpnate on Multifunctional Peptide Assembly Acting as Mineral Source Supplier and Template. Langmuir 2016, 32, 9351–9359. [Google Scholar] [CrossRef] [PubMed]
- San, B.H.; Hwang, J.; Sampath, S.; Li, Y.; Bennink, L.L.; Yu, S.M. Self-assembled Water-soluble Nano-fibers Displaying Collagen Hybridizing Peptides. J. Am. Chem. Soc. 2017, 139, 16640–16649. [Google Scholar] [CrossRef] [PubMed]
- Creasey, R.C.G.; Louzao, I.; Arnon, Z.A.; Marco, P.; Adler-Abramovich, L.; Roberts, C.J.; Gazit, E.; Tendler, S.J.B. Disruption of diphenylalanine assembly by a Boc-modified variant. Soft Matter 2016, 12, 9451–9457. [Google Scholar] [CrossRef]
- Fallas, J.A.; O’Leary, R.; Hartgerink, J.D. Synthetic Collagen Mimics: Self-assembly of Homotrimers, Heterotrimers and Higher Order Structures. Chem. Soc. Rev. 2010, 39, 3510–3527. [Google Scholar] [CrossRef] [PubMed]
- Koide, T. Triple Helical Collagen-Like Peptides: Engineering and Applications in Matrix Biology. Connect. Tissue Res. 2005, 46, 131–141. [Google Scholar] [CrossRef]
- Beck, K.; Brodsky, B. Supercoiled Protein Motifs: The Collagen Triple-Helix and the α-Helical Coiled Coil. J. Struct. Biol. 1998, 122, 17–29. [Google Scholar] [CrossRef]
- Shoulders, M.D.; Raines, R.T. Collagen Structure and Stability. Annu. Rev. Biochem. 2009, 78, 929–958. [Google Scholar] [CrossRef] [PubMed]
- Persikov, A.V.; Ramshaw, J.A.M.; Kirkpatrick, A.; Brodsky, B. Amino Acid Propensities for the Collagen Triple-helix. Biochemistry 2000, 39, 14960–14967. [Google Scholar] [CrossRef] [PubMed]
- Kotch, F.W.; Raines, R.T. Self-assembly of synthetic collagen triple helices. Proc. Natl. Acad. Sci. USA 2006, 103, 3028–3033. [Google Scholar] [CrossRef] [PubMed]
- Sarkar, B.; O’Leary, L.E.R.; Hartgerink, J.D. Self-Aassembly of Fiber-forming Collagen Mimetic Pep-tides Controlled by Triple-helical Nucleation. J. Am. Chem. Soc. 2014, 136, 14417–14424. [Google Scholar] [CrossRef]
- Rele, S.; Song, Y.; Apkarian, R.P.; Qu, Z.; Conticello, V.P.; Chaikof, E.L. D-Periodic Collagen-Mimetic Microfibers. J. Am. Chem. Soc. 2007, 129, 14780–14787. [Google Scholar] [CrossRef] [PubMed]
- O’Leary, L.E.R.; Fallas, J.A.; Bacota, E.L.; Kan, M.K.; Hartgerink, J. Multi-hierarchical Self-assembly of a Collagen Mimetic Peptide from Triple Helix to Nanofiber and Hydrogel. Nat. Chem. 2011, 3, 821–828. [Google Scholar] [CrossRef]
- Tanrikulu, I.C.; Forticaux, A.; Jin, S.; Raines, R.T. Peptide tessellation yields micrometre-scale collagen triple helices. Nat. Chem. 2016, 8, 1008–1014. [Google Scholar] [CrossRef]
- Cejas, M.A.; Kinney, W.A.; Chen, C.; Vinter, J.G.; Almond, H.R.; Balss, K.M.; Maryanoff, C.A.; Schmidt, U.; Breslav, M.; Mahan, A.; et al. Thrombogenic collagen-mimetic peptides: Self-assembly of triple helix-based fibrils driven by hydrophobic interactions. Proc. Natl. Acad. Sci. USA 2008, 105, 8513–8518. [Google Scholar] [CrossRef] [PubMed]
- Cejas, M.A.; Kinney, W.A.; Chen, C.; Leo, G.C.; Tounge, B.A.; Vinter, J.G.; Joshi, P.P.; Maryanoff, B.E. Collagen-Related Peptides: Self-Assembly of Short, Single Strands into a Functional Biomaterial of Micrometer Scale. J. Am. Chem. Soc. 2007, 129, 2202–2203. [Google Scholar] [CrossRef]
- Chen, C.-C.; Hsu, W.; Kao, T.-C.; Horng, J.-C. Self-Assembly of Short Collagen-Related Peptides into Fibrils via Cation−π Interactions. Biochemestry 2011, 50, 2381–2383. [Google Scholar] [CrossRef]
- Chiang, C.-H.; Horng, J.-C. Cation−π Interaction Induced Folding of AAB-Type Collagen Heterotrimers. J. Phys. Chem. B 2016, 120, 1205–1211. [Google Scholar] [CrossRef] [PubMed]
- Przybyla, D.E.; Chmielewski, J. Metal-Triggered Radial Self-Assembly of Collagen Peptide Fibers. J. Am. Chem. Soc. 2008, 130, 12610–12611. [Google Scholar] [CrossRef]
- Hsu, W.; Chen, Y.-L.; Horng, J.-C. Promoting Self-Assembly of Collagen-Related Peptides into Various Higher-Order Structures by Metal–Histidine Coordination. Langmuir 2012, 28, 3194–3199. [Google Scholar] [CrossRef]
- Higashi, N.; Yoshikawa, R.; Koga, T. Photo-responsive azobenzene interactions promote hierarchical self-assembly of collagen triple-helical peptides to various higher-order structures. RSC Adv. 2020, 10, 15947–15954. [Google Scholar] [CrossRef]
- Kar, K.; Ibrar, S.; Nanda, V.; Getz, T.M.; Kunapuli, S.P.; Brodsky, B. Aromatic Interactions Promote Self-Association of Collagen Triple-Helical Peptides to Higher-Order Structures. Biochemestry 2009, 48, 7959–7968. [Google Scholar] [CrossRef]
- Feng, Y.; Melacini, G.; Taulane, J.P.; Goodman, M. Acetyl-terminated and Template-assembled Collagen-based Polypeptides Composed of Gly-Pro-Hyp Sequences: Synthesis and Conformational Analysis by Circular Dichroism, Ultraviolet Absorbance and Optical Rotation. J. Am. Chem. Soc. 1996, 118, 10351–10358. [Google Scholar] [CrossRef]
- Kwak, J.; De Capua, A.; Locardi, E.; Goodman, M. TREN (Tris(2-aminoethyl)amine): An Effective Scaffold for the Assembly of Triple Helical Collagen Mimetic Structures. J. Am. Chem. Soc. 2002, 124, 14085–14091. [Google Scholar] [CrossRef] [PubMed]
- Gore, T.; Dori, Y.; Talmon, Y.; Tirrell, M.; Bianco-Peled, H. Self-assembly of Model Collagen Peptide Amphiphiles. Langmuir 2001, 17, 5352–5360. [Google Scholar] [CrossRef]
- Allenmark, S. Induced circular dichroism by chiral molecular interaction. Chirality 2003, 15, 409–422. [Google Scholar] [CrossRef] [PubMed]
- Weber, I.T.; Harrison, R.W.; Iozzo, R.V. Model Structure of Decorin and Implications for Collagen Fibrillogenesis. J. Biol. Chem. 1996, 271, 31767–31770. [Google Scholar] [CrossRef]
- Sweeney, S.M.; Orgel, J.P.; Fertala, A.; McAuliffe, J.D.; Turner, K.R.; Di Lullo, G.A.; Chen, S.; Antipova, O.; Perumal, S.; Ala-Kokko, L.; et al. Candidate Cell and Matrix Interaction Domains on the Collagen Fibril, the Predominant Protein of Vertebrates. J. Biol. Chem. 2008, 283, 21187–21197. [Google Scholar] [CrossRef]
- Jiang, T.; Xu, C.; Liu, Y.; Liu, Z.; Wall, J.S.; Zuo, X.; Lian, T.; Salaita, K.; Ni, C.; Pochan, D.; et al. Structurally Defined Nanoscale Sheets from Self-Assembly of Collagen-Mimetic Peptides. J. Am. Chem. Soc. 2014, 136, 4300–4308. [Google Scholar] [CrossRef] [PubMed]
- Jiang, Z.; Liu, H.; He, H.; Ribbe, A.E.; Thayumanavan, S. Blended Assemblies of Amphiphilic Random and Block Copolymers for Tunable Encapsulation and Release of Hydrophobic Guest Molecules. Macromolecules 2020, 53, 2713–2723. [Google Scholar] [CrossRef]
- Engström, J.; Asem, H.; Brismar, H.; Zhang, Y.; Malkoch, M.; Malmström, E. In Situ Encapsulation of Nile Red or Doxorubicin during RAFT-Mediated Emulsion Polymerization via Polymerization-Induced Self-Assembly for Biomedical Applications. Macromol. Chem. Phys. 2020, 221, 1900443. [Google Scholar] [CrossRef]
- Concellón, A.; San Anselmo, M.; Hernández-Ainsa, S.; Romero, P.; Marcos, M.; Serrano, J.L. Micellar Nanocarriers from Dendritic Macromolecules Containing Fluorescent Cumarin Moieties. Polymers 2020, 12, 2872. [Google Scholar] [CrossRef]
- Hawe, A.; Sutter, M.; Jiskoot, W. Extrinsic Fluorescent Dyes as Tools for Protein Characterization. Pharm. Res. 2008, 25, 1487–1499. [Google Scholar] [CrossRef]
- Kitamatsu, M.; Kitabatake, M.; Noutoshi, Y.; Ohtsuki, T. Synthesis and properties of peptide dendrimers containing fluorescent and branched amino acids. Biopolymers 2013, 100, 64–70. [Google Scholar] [CrossRef] [PubMed]







Publisher’s Note: MDPI stays neutral with regard to jurisdictional claims in published maps and institutional affiliations. |
© 2021 by the authors. Licensee MDPI, Basel, Switzerland. This article is an open access article distributed under the terms and conditions of the Creative Commons Attribution (CC BY) license (https://creativecommons.org/licenses/by/4.0/).
Share and Cite
Koga, T.; Kingetsu, S.; Higashi, N. Supramolecular Nanofibers from Collagen-Mimetic Peptides Bearing Various Aromatic Groups at N-Termini via Hierarchical Self-Assembly. Int. J. Mol. Sci. 2021, 22, 4533. https://doi.org/10.3390/ijms22094533
Koga T, Kingetsu S, Higashi N. Supramolecular Nanofibers from Collagen-Mimetic Peptides Bearing Various Aromatic Groups at N-Termini via Hierarchical Self-Assembly. International Journal of Molecular Sciences. 2021; 22(9):4533. https://doi.org/10.3390/ijms22094533
Chicago/Turabian StyleKoga, Tomoyuki, Shinya Kingetsu, and Nobuyuki Higashi. 2021. "Supramolecular Nanofibers from Collagen-Mimetic Peptides Bearing Various Aromatic Groups at N-Termini via Hierarchical Self-Assembly" International Journal of Molecular Sciences 22, no. 9: 4533. https://doi.org/10.3390/ijms22094533
APA StyleKoga, T., Kingetsu, S., & Higashi, N. (2021). Supramolecular Nanofibers from Collagen-Mimetic Peptides Bearing Various Aromatic Groups at N-Termini via Hierarchical Self-Assembly. International Journal of Molecular Sciences, 22(9), 4533. https://doi.org/10.3390/ijms22094533

