Enhanced Nitrite-Mediated Relaxation of Placental Blood Vessels Exposed to Hypoxia Is Preserved in Pregnancies Complicated by Fetal Growth Restriction
Abstract
1. Introduction
2. Results
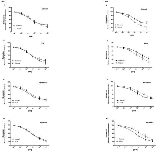
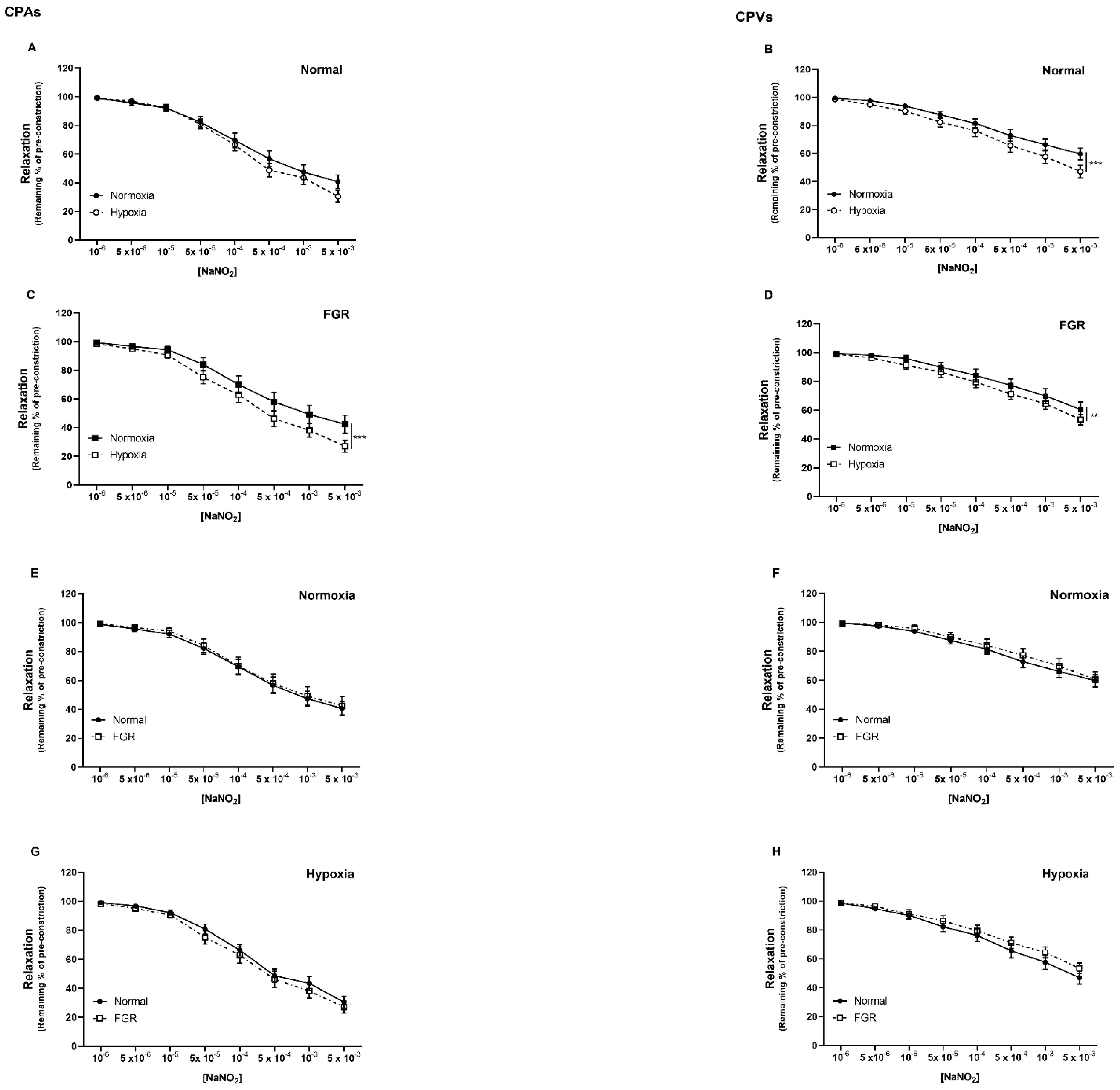
2.1. Nitrite-Mediated Vasorelaxation of Human Chorionic Plate Vessels Is Enhanced by Hypoxia in Both Normal and FGR Pregnancies
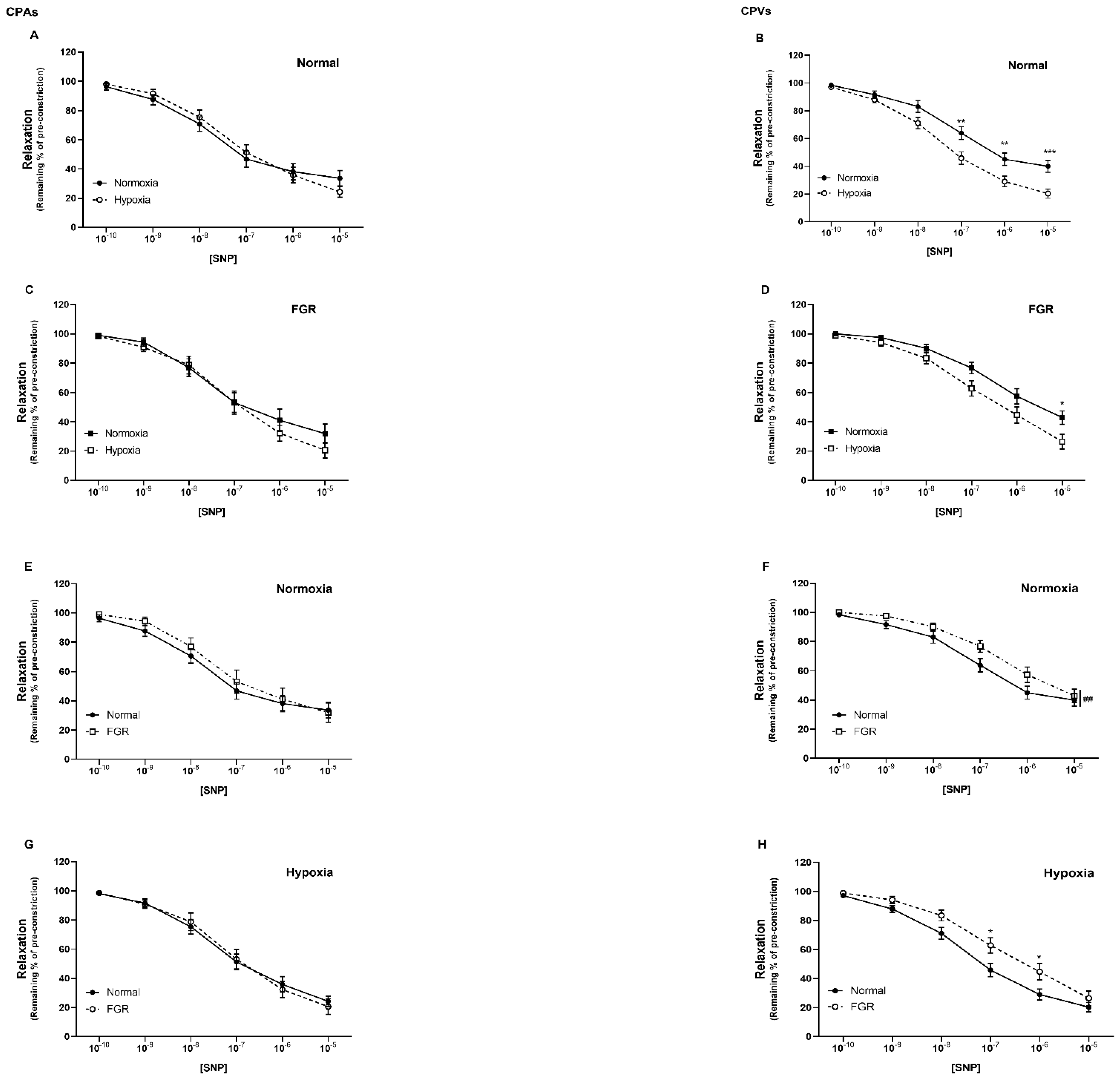
2.2. Sodium Nitroprusside-Mediated Relaxation Is Enhanced by Hypoxia in Human Chorionic Plate Veins from Both Normal and FGR Pregnancies
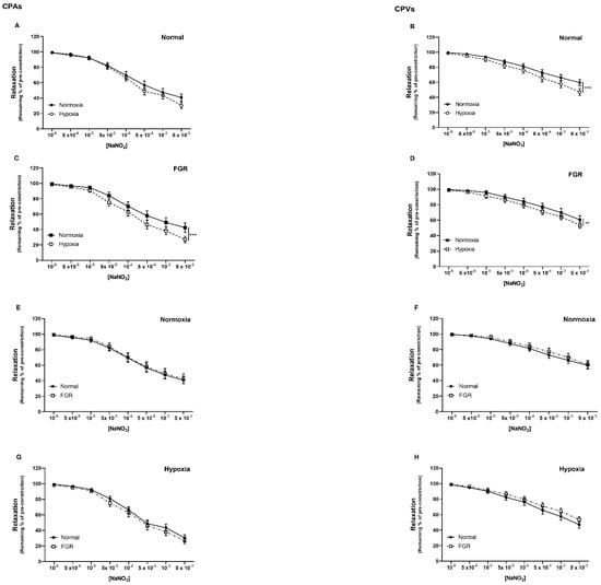
2.3. Fetal Plasma Concentrations of Nitrate and Nitrite Are Not Different between Normal and FGR Pregnancies
3. Discussion
4. Materials and Methods
4.1. Samples
4.2. Myography
4.3. Functional Experiments
4.4. Measurement of Nitrate and Nitrite Concentrations in Fetal Plasma
4.5. Drugs and Chemicals
4.6. Data Analysis and Statistics
Supplementary Materials
Author Contributions
Funding
Institutional Review Board Statement
Informed Consent Statement
Data Availability Statement
Acknowledgments
Conflicts of Interest
References
- Bamfo, J.E.A.K.; Odibo, A.O. Diagnosis and management of fetal growth restriction. J. Pregnancy 2011, 2011, 640715. [Google Scholar] [CrossRef]
- McIntire, D.D.; Bloom, S.L.; Casey, B.M.; Leveno, K.J. Birth weight in relation to morbidity and mortality among newborn infants. N. Engl. J. Med. 1999, 340, 1234–1238. [Google Scholar] [CrossRef] [PubMed]
- Gardosi, J.; Madurasinghe, V.; Williams, M.; Malik, A.; Francis, A. Maternal and fetal risk factors for stillbirth: Population based study. BMJ 2013, 346, f108. [Google Scholar] [CrossRef] [PubMed]
- Cottrell, E.; Ozanne, S. Early life programming of obesity and metabolic disease. Physiol. Behav. 2008, 94, 17–28. [Google Scholar] [CrossRef] [PubMed]
- Barker, D.J.; Bull, A.R.; Osmond, C.; Simmonds, S.J. Fetal and placental size and risk of hypertension in adult life. BMJ 1990, 301, 551–552. [Google Scholar] [CrossRef]
- Meher, S.; Hernandez-Andrade, E.; Basheer, S.N.; Lees, C. Impact of cerebral redistribution on neurodevelopmental outcome in small-for-gestational-age or growth-restricted babies: A systematic review. Ultrasound Obstet. Gynecol. 2015, 46, 398–404. [Google Scholar] [CrossRef]
- Burton, G.J.; Jauniaux, E. Pathophysiology of placental-derived fetal growth restriction. Am. J. Obstet. Gynecol. 2018, 218, S745–S761. [Google Scholar] [CrossRef]
- Madazli, R.; Somunkiran, A.; Calay, Z.; Ilvan, S.; Aksu, M. Histomorphology of the placenta and the placental bed of growth restricted foetuses and correlation with the Doppler velocimetries of the uterine and umbilical arteries. Placenta 2003, 24, 510–516. [Google Scholar] [CrossRef] [PubMed]
- Fox, S.; Khong, T. Lack of innervation of human umbilical cord. An immunohistological and histochemical study. Placenta 1990, 11, 59–62. [Google Scholar] [CrossRef]
- Poston, L.; McCarthy, A.; Ritter, J. Control of vascular resistance in the maternal and feto-placental arterial beds. Pharmacol. Ther. 1995, 65, 215–239. [Google Scholar] [CrossRef]
- Kublickiene, K.R.; Cockell, A.P.; Nisell, H.; Poston, L. Role of nitric oxide in the regulation of vascular tone in pressurized and perfused resistance myometrial arteries from term pregnant women. Am. J. Obstet. Gynecol. 1997, 177, 1263–1269. [Google Scholar] [CrossRef]
- Schiessl, B.; Strasburger, C.; Bidlingmaier, M.; Mylonas, I.; Jeschke, U.; Kainer, F.; Friese, K. Plasma- and urine concentrations of nitrite/nitrate and cyclic Guanosinemonophosphate in intrauterine growth restricted and preeclamptic pregnancies. Arch. Gynecol. Obstet. 2006, 274, 150–154. [Google Scholar] [CrossRef]
- Krause, B.; Carrasco-Wong, I.; Caniuguir, A.; Carvajal, J.; Faras, M.; Casanello, P. Endothelial eNOS/arginase imbalance contributes to vascular dysfunction in IUGR umbilical and placental vessels. Placenta 2013, 34, 20–28. [Google Scholar] [CrossRef] [PubMed]
- De Pace, V.; Chiossi, G.; Facchinetti, F. Clinical use of nitric oxide donors and L-arginine in obstetrics. J. Matern. Fetal. Neonatal. Med. 2007, 20, 569–579. [Google Scholar] [CrossRef]
- Lundberg, J.O.; Weitzberg, E. NO-synthase independent NO generation in mammals. Biochem. Biophys. Res. Commun. 2010, 396, 39–45. [Google Scholar] [CrossRef] [PubMed]
- Tropea, T.; Wareing, M.; Greenwood, S.L.; Feelisch, M.; Sibley, C.P.; Cottrell, E.C. Nitrite mediated vasorelaxation in human chorionic plate vessels is enhanced by hypoxia and dependent on the NO-sGC-cGMP pathway. Nitric Oxide 2018, 80, 82–88. [Google Scholar] [CrossRef] [PubMed]
- Nye, G.A.; Ingram, E.; Johnstone, E.D.; Jensen, O.E.; Schneider, H.; Lewis, R.M.; Chernyavsky, I.L.; Brownbill, P. Human placental oxygenation in late gestation: Experimental and theoretical approaches. J. Physiol. 2018, 596, 5523–5534. [Google Scholar] [CrossRef]
- Lackman, F.; Capewell, V.; Gagnon, R.; Richardson, B. Fetal umbilical cord oxygen values and birth to placental weight ratio in relation to size at birth. Am. J. Obstet. Gynecol. 2001, 185, 674–682. [Google Scholar] [CrossRef] [PubMed]
- Mills, T.A.; Wareing, M.; Bugg, G.J.; Greenwood, S.L.; Baker, P.N. Chorionic plate artery function and Doppler indices in normal pregnancy and intrauterine growth restriction. Eur. J. Clin. Investig. 2005, 35, 758–764. [Google Scholar] [CrossRef]
- Bobier, H.S.; Brien, J.F.; Smith, G.N.; Pancham, S.R. Comparative study of sodium nitroprusside induced vasodilation of human placental veins from premature and full-term normotensive and preeclamptic pregnancy. Can. J. Physiol. Pharmacol. 1995, 73, 1118–1122. [Google Scholar] [CrossRef] [PubMed]
- Taggart, M.J.; Wray, S. Hypoxia and smooth muscle function: Key regulatory events during metabolic stress. J. Physiol. 1998, 509, 315–325. [Google Scholar] [CrossRef]
- Wareing, M.; Greenwood, S.; Baker, P. Reactivity of human placental chorionic plate vessels is modified by level of oxygenation: Differences between arteries and veins. Placenta 2006, 27, 42–48. [Google Scholar] [CrossRef] [PubMed]
- Templeton, A.; McGrath, J.C.; Whittle, M.J. The role of endogenous thromboxane in contractions to U46619, oxygen, 5-HT and 5-CT in the human isolated umbilical artery. Br. J. Pharmacol. 1991, 103, 1079–1084. [Google Scholar] [CrossRef] [PubMed]
- Lyall, F.; Greer, I.; Young, A.; Myatt, L. Nitric oxide concentrations are increased in the feto-placental circulation in intrauterine growth restriction. Placenta 1996, 17, 165–168. [Google Scholar] [CrossRef]
- Pisaneschi, S.; Strigini, F.A.L.; Sanchez, A.M.; Begliuomini, S.; Casarosa, E.; Ripoli, A.; Ghirri, P.; Boldrini, A.; Fink, B.; Genazzani, A.R.; et al. Compensatory feto-placental upregulation of the nitric oxide system during fetal growth restriction. PLoS ONE 2012, 7, e0045294. [Google Scholar] [CrossRef]
- Cottrell, E.; Tropea, T.; Ormesher, L.; Greenwood, S.; Wareing, M.; Johnstone, E.; Myers, J.; Sibley, C. Dietary interventions for fetal growth restriction—Therapeutic potential of dietary nitrate supplementation in pregnancy. J. Physiol. 2017, 595, 5095–5102. [Google Scholar] [CrossRef]
- Tropea, T.; Renshall, L.J.; Nihlen, C.; Weitzberg, E.; Lundberg, J.O.; David, A.L.; Tsatsaris, V.; Stuckey, D.J.; Wareing, M.; Greenwood, S.L.; et al. Beetroot juice lowers blood pressure and improves endothelial function in pregnant eNOS. J. Physiol. 2020, 598, 4079–4092. [Google Scholar] [CrossRef]
- Ormesher, L.; Myers, J.E.; Chmiel, C.; Wareing, M.; Greenwood, S.L.; Tropea, T.; Lundberg, J.O.; Weitzberg, E.; Nihlen, C.; Sibley, C.P.; et al. Effects of dietary nitrate supplementation, from beetroot juice, on blood pressure in hypertensive pregnant women: A randomised, double-blind, placebo-controlled feasibility trial. Nitric. Oxide 2018, 80, 37–44. [Google Scholar] [CrossRef] [PubMed]
- Gordijn, S.J.; Beune, I.M.; Thilaganathan, B.; Papageorghiou, A.; Baschat, A.A.; Baker, P.N.; Silver, R.M.; Wynia, K.; Ganzevoort, W. Consensus definition of fetal growth restriction: A Delphi procedure. Ultrasound Obstet. Gynecol. 2016, 48, 333–339. [Google Scholar] [CrossRef] [PubMed]
- Mulvany, M.J.; Halpern, W. Contractile properties of small arterial resistance vessels in spontaneously hypertensive and normotensive rats. Circ. Res. 1977, 41, 19–26. [Google Scholar] [CrossRef]
- Montenegro, M.F.; Sundqvist, M.L.; Nihlén, C.; Hezel, M.; Carlström, M.; Weitzberg, E.; Lundberg, J.O. Profound differences between humans and rodents in the ability to concentrate salivary nitrate: Implications for translational research. Redox Biol. 2016, 10, 206–210. [Google Scholar] [CrossRef] [PubMed]



| Demographics | NORMAL FGR Median (IQR)/Number (%) | ||
|---|---|---|---|
| Number of Placentas | 57 | 22 | |
| Delivery type | C/S | 57 (100%) | 20 (90.9%) |
| NVD | - | 2 (9.1%) | |
| Maternal age, years | 33 (30–35) | 30 (26–36) | |
| Prepregnancy maternal BMI, kg/m2 | 23.94 (21.67–26.99) | 24.19 (22.57–26.99) | |
| Maternal smoking | 4 (7.0%) | 5 (22.7%) | |
| Maternal ethnicity | White/Caucasian | 38 (66.7%) | 16 (72.7%) |
| Asian | 12 (21.0%) | 3 (13.6%) | |
| Black | 4 (7.0%) | 1 (4.6%) | |
| Other | 3 (5.3%) | 2 (9.1%) | |
| Gestational age, days **** | 273 (267–274) | 257 (229–260) | |
| Birth weight, g **** | 3232 (2910–3530) | 1730 (1261–2317) | |
| Sex: number female (%) | 30 (52.6%) | 15 (68.2%) | |
| IBC, centile **** | 43.30 (26.55–61.80) | 0.65 (0.08–1.90) | |
Publisher’s Note: MDPI stays neutral with regard to jurisdictional claims in published maps and institutional affiliations. |
© 2021 by the authors. Licensee MDPI, Basel, Switzerland. This article is an open access article distributed under the terms and conditions of the Creative Commons Attribution (CC BY) license (https://creativecommons.org/licenses/by/4.0/).
Share and Cite
Tropea, T.; Nihlen, C.; Weitzberg, E.; Lundberg, J.O.; Wareing, M.; Greenwood, S.L.; Sibley, C.P.; Cottrell, E.C. Enhanced Nitrite-Mediated Relaxation of Placental Blood Vessels Exposed to Hypoxia Is Preserved in Pregnancies Complicated by Fetal Growth Restriction. Int. J. Mol. Sci. 2021, 22, 4500. https://doi.org/10.3390/ijms22094500
Tropea T, Nihlen C, Weitzberg E, Lundberg JO, Wareing M, Greenwood SL, Sibley CP, Cottrell EC. Enhanced Nitrite-Mediated Relaxation of Placental Blood Vessels Exposed to Hypoxia Is Preserved in Pregnancies Complicated by Fetal Growth Restriction. International Journal of Molecular Sciences. 2021; 22(9):4500. https://doi.org/10.3390/ijms22094500
Chicago/Turabian StyleTropea, Teresa, Carina Nihlen, Eddie Weitzberg, Jon O. Lundberg, Mark Wareing, Susan L. Greenwood, Colin P. Sibley, and Elizabeth C. Cottrell. 2021. "Enhanced Nitrite-Mediated Relaxation of Placental Blood Vessels Exposed to Hypoxia Is Preserved in Pregnancies Complicated by Fetal Growth Restriction" International Journal of Molecular Sciences 22, no. 9: 4500. https://doi.org/10.3390/ijms22094500
APA StyleTropea, T., Nihlen, C., Weitzberg, E., Lundberg, J. O., Wareing, M., Greenwood, S. L., Sibley, C. P., & Cottrell, E. C. (2021). Enhanced Nitrite-Mediated Relaxation of Placental Blood Vessels Exposed to Hypoxia Is Preserved in Pregnancies Complicated by Fetal Growth Restriction. International Journal of Molecular Sciences, 22(9), 4500. https://doi.org/10.3390/ijms22094500
