Synthesis and Characterization Superabsorbent Polymers Made of Starch, Acrylic Acid, Acrylamide, Poly(Vinyl Alcohol), 2-Hydroxyethyl Methacrylate, 2-Acrylamido-2-methylpropane Sulfonic Acid
Abstract
1. Introduction
2. Experimental Methods
2.1. Materials
2.2. Infrared Spectroscopy
2.3. Thermal Analysis
2.4. Scanning Electron Microscopy
2.5. Preparation of Soluble Starch-G-Poly(Acrylic Acid-Co-2-Hydroxyethylmethacrylate)
2.6. Preparation of Poly(Vinyl Alcohol)/Potato Starch-G-Poly(Acrylic Acid-Co-Acrylamide)
2.7. Preparation of Poly(Vinyl Alcohol)/Potato Starch-G-Poly(Acrylic Acid-Co-Acrylamide-Co-2-Acrylamido-2-Methylpropane Sulfonic Acid)
2.8. Swelling Characteristics
2.9. Swelling Dynamics
3. Results and Discussion
3.1. Analysis of the Synthesis Mechanism
3.2. FTIR Analysis
3.3. Scanning Electron Microscope
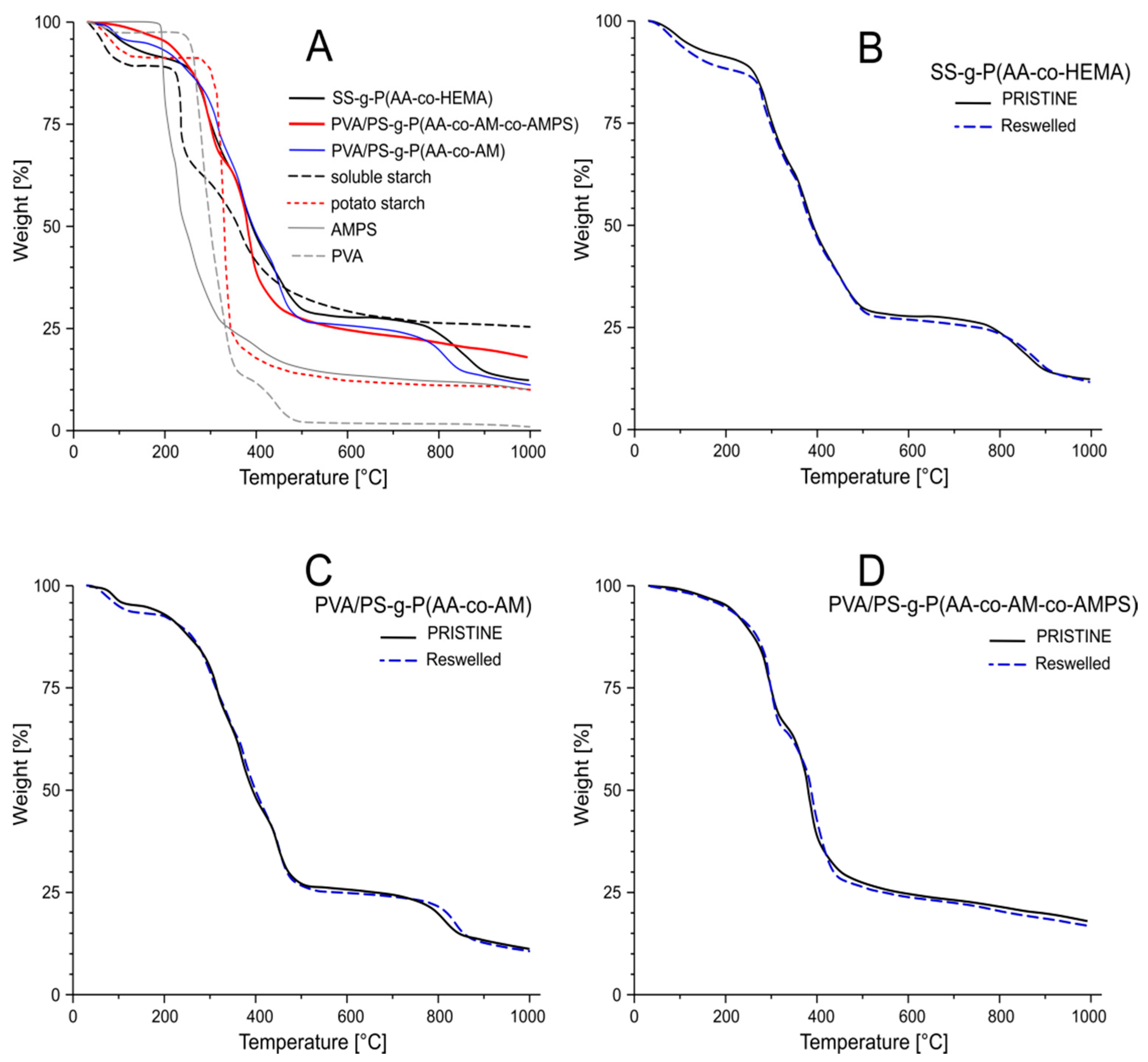
3.4. Thermogravimetric Analysis
3.5. Swelling Properties of Superabsorbent Polymers
3.5.1. Analysis of Water Absorbency
3.5.2. Effect of Various pH Solutions on Swelling Behaviors
3.5.3. Effects of Saline Solutions on Swelling Behaviors
4. Conclusions
Supplementary Materials
Author Contributions
Funding
Institutional Review Board Statement
Informed Consent Statement
Data Availability Statement
Conflicts of Interest
References
- Laftah, W.A.; Hashim, S.; Ibrahim, A.N. Polymer hydrogels: A review. Polym. Plast. Technol. Eng. 2011, 50, 1475–1486. [Google Scholar] [CrossRef]
- Cipriano, B.H.; Banik, S.J.; Sharma, R.; Rumore, D.; Hwang, W.; Briber, R.M.; Raghavan, S.R. Superabsorbent hydrogels that are robust and highly stretchable. Macromolecules 2014, 47, 4445–4452. [Google Scholar] [CrossRef]
- Rodrigues, F.H.A.; Spagnol, C.; Pereira, A.G.B.; Martins, A.F.; Fajardo, A.R.; Rubira, A.F.; Muniz, E.C. Superabsorbent hydrogel composites with a focus on hydrogels containing nanofibers or nanowhiskers of cellulose and chitin. J. Appl. Polym. Sci. 2014, 131, 1–13. [Google Scholar] [CrossRef]
- Rosiak, J.M.; Yoshii, F. Hydrogels and their medical applications. Nucl. Instrum. Methods Phys. Res. Sect. B Beam Interact. Mater. At. 1999, 151, 56–64. [Google Scholar] [CrossRef]
- Sharma, K.; Kumar, V.; Kaith, B.S.; Kumar, V.; Som, S.; Kalia, S.; Swart, H.C. Synthesis, characterization and water retention study of biodegradable Gum ghatti-poly (acrylic acid-aniline) hydrogels. Polym. Degrad. Stab. 2015, 111, 20–31. [Google Scholar] [CrossRef]
- Bao, Y.; Ma, J.; Li, N. Synthesis and swelling behaviors of sodium carboxymethyl cellulose-g-poly (AA-co-AM-co-AMPS)/MMT superabsorbent hydrogel. Carbohydr. Polym. 2011, 84, 76–82. [Google Scholar] [CrossRef]
- De Oliveira, R.L.; da Silva Barud, H.; De Salvi, D.T.B.; Perotti, G.F.; Ribeiro, S.J.L.; Constantino, V.R.L. Transparent organic-inorganic nanocomposites membranes based on carboxymethylcellulose and synthetic clay. Ind. Crop. Prod. 2015, 69, 415–423. [Google Scholar] [CrossRef]
- Ma, G.; Ran, F.; Yang, Q.; Feng, E.; Lei, Z. Eco-friendly superabsorbent composite based on sodium alginate and organo-loess with high swelling properties. RSC Adv. 2015, 5, 53819–53828. [Google Scholar] [CrossRef]
- Wei, Q. Fast-swelling porous starch-g-poly (acrylic acid) superabsorbents. Iran. Polym. J. 2014, 23, 637–643. [Google Scholar] [CrossRef]
- Pathania, D.; Sharma, R.; Kalia, S. Graft copolymerization of acrylic acid onto gelatinized patato starch for removal of metal ions and organic dyes from aqueous system. Adv. Mater. Lett. 2012, 3, 259–264. [Google Scholar] [CrossRef]
- Abdel-Halim, E.S.; Al-Deyab, S.S. Preparation of poly (acrylic acid)/starch hydrogel and its application for cadmium ion removal from aqueous solutions. React. Funct. Polym. 2014, 75, 1–8. [Google Scholar] [CrossRef]
- Czarnecka, E.; Nowaczyk, J. Semi-Natural Superabsorbents Based on Starch-g-poly (acrylic acid): Modification, Synthesis and Application. Polymers 2020, 12, 1794. [Google Scholar] [CrossRef]
- Athawale, V.D.; Lele, V. Graft copolymerization onto starch. II. Grafting of acrylic acid and preparation of it’s hydrogels. Carbohydr. Polym. 1998, 35, 21–27. [Google Scholar] [CrossRef]
- Lee, J.S.; Kumar, R.N.; Rozman, H.D.; Azemi, B.M.N. Pasting, swelling and solubility properties of UV initiated starch-graft-poly (AA). Food Chem. 2005, 91, 203–211. [Google Scholar] [CrossRef]
- Zhang, J.; Wang, L.; Wang, A. Preparation and Swelling Behavior of Fast-Swelling Superabsorbent Hydrogels Based on Starch-g-Poly (acrylic acid-co-sodium acrylate). Macromol. Mater. Eng. 2006, 291, 612–620. [Google Scholar] [CrossRef]
- Alharbi, K.; Ghoneim, A.; Ebid, A.; El-Hamshary, H.; El-Newehy, M.H. Controlled release of phosphorous fertilizer bound to carboxymethyl starch-g-polyacrylamide and maintaining a hydration level for the plant. Int. J. Biol. Macromol. 2018, 116, 224–231. [Google Scholar] [CrossRef] [PubMed]
- Hebeish, A.; Mousa, A.; Ramadan, M.A.; Saleh, A. New starch hybrids via etherification of poly (Acrylamide)-starch copolymers with acrylamide. Egypt. J. Chem. 2013, 56, 255–270. [Google Scholar] [CrossRef]
- Li, A.; Liu, R.; Wang, A. Preparation of Starch-Graft-Poly (Acrylamide)/Attapulgite Superabsorbent Composite. J. Appl. Polym. Sci. 2005. [Google Scholar] [CrossRef]
- Çelik, M.; Saçak, M. Synthesis and characterization of starch-poly (methyl methacrylate) graft copolymers. J. Appl. Polym. Sci. 2002, 86, 53–57. [Google Scholar] [CrossRef]
- Sadeghi, M. Synthesis of starch-g-poly (acrylic acid-co-2-hydroxy ethyl methacrylate) as a potential pH-sensitive hydrogel-based-drug delivery system. Turk. J. Chem. 2011, 35, 723–733. [Google Scholar] [CrossRef]
- Singh, V.; Tiwari, A.; Pandey, S.; Singh, S.K. Peroxydisulfate initiated synthesis of potato starch-graft-poly(acrylonitrile) under microwave irradiation. Express Polym. Lett. 2007, 1, 51–58. [Google Scholar] [CrossRef]
- Kenawy, E.R.; Kamoun, E.A.; Mohy Eldin, M.S.; El-Meligy, M.A. Physically crosslinked poly (vinyl alcohol)-hydroxyethyl starch blend hydrogel membranes: Synthesis and characterization for biomedical applications. Arab. J. Chem. 2014, 7, 372–380. [Google Scholar] [CrossRef]
- Zhang, C.; Easteal, A.J. Study of free-radical copolymerization of N-isopropylacrylamide with 2-acrylamido-2-methyl-1-propanesulphonic acid. J. Appl. Polym. Sci. 2003, 88, 2563–2569. [Google Scholar] [CrossRef]
- Xu, K.; Zhang, W.D.; Yue, Y.M.; Wang, P.X. Swelling behaviors of a three-component copolymer (starch graft sodium acrylate and 2-acrylamido-2-methyl-propanosulfonic acid) synthesized by microwave polymerization. J. Appl. Polym. Sci. 2005, 98, 1050–1054. [Google Scholar] [CrossRef]
- Deraman, N.F.; Mohamed, N.R.; Romli, A.Z. Swelling kinetics and characterization of novel superabsorbent polymer composite based on mung bean starch-filled poly (acrylic acid)-graft-waste polystyrene. Int. J. Plast. Technol. 2019, 23, 188–194. [Google Scholar] [CrossRef]
- El-Hamshary, H.; Fouda, M.M.G.; Moydeen, M.; El-Newehy, M.H.; Al-Deyab, S.S.; Abdel-Megeed, A. Synthesis and antibacterial of carboxymethyl starch-grafted poly (vinyl imidazole) against some plant pathogens. Int. J. Biol. Macromol. 2015, 72, 1466–1472. [Google Scholar] [CrossRef] [PubMed]
- Ismail, H.; Irani, M.; Ahmad, Z. Starch-based hydrogels: Present status and applications. Int. J. Polym. Mater. Polym. Biomater. 2013, 62, 411–420. [Google Scholar] [CrossRef]
- Li, X.; Xu, S.; Wang, J.; Chen, X.; Feng, S. Structure and characterization of amphoteric semi-IPN hydrogel based on cationic starch. Carbohydr. Polym. 2009, 75, 688–693. [Google Scholar] [CrossRef]
- Miao, X. Synthesis and Characterization of Hydrophobically Modified Derivatives of Polysaccharides; Other [q-bio.OT]; Université de Grenoble: Grenoble, France; Sichuan University: Chengdu, China, 2011. [Google Scholar]
- Zhu, B.; Ma, D.; Wang, J.; Zhang, S. Structure and properties of semi-interpenetrating network hydrogel based on starch. Carbohydr. Polym. 2015, 133, 448–455. [Google Scholar] [CrossRef] [PubMed]
- Khan, S.; Ullah, A.; Ullah, K.; Rehman, N.U. Insight into hydrogels. Des. Monomers Polym. 2016, 19, 456–478. [Google Scholar] [CrossRef]
- Dragan, E.S.; Apopei, D.F. Synthesis and swelling behavior of pH-sensitive semi-interpenetrating polymer network composite hydrogels based on native and modified potatoes starch as potential sorbent for cationic dyes. Chem. Eng. J. 2011, 178, 252–263. [Google Scholar] [CrossRef]
- Del Real, A.; Wallander, D.; Maciel, A.; Cedillo, G.; Loza, H. Graft copolymerization of ethyl acrylate onto tamarind kernel powder, and evaluation of its biodegradability. Carbohydr. Polym. 2015, 117, 11–18. [Google Scholar] [CrossRef]
- Qin, Q.; Tang, Q.; Li, Q.; He, B.; Chen, H.; Wang, X.; Yang, P. Incorporation of H3PO4 into three-dimensional polyacrylamide-graft-starch hydrogel frameworks for robust high-temperature proton exchange membrane fuel cells. Int. J. Hydrogen Energy 2014, 39, 4447–4458. [Google Scholar] [CrossRef]
- Xu, Z.; Fei, Q.; Zhang, X. Synthesis of the starch grafting of superabsorbent and high oil-absorbing resin. J. Environ. Sci. 2013, 25, S97–S100. [Google Scholar] [CrossRef]
- Wang, J.; Wei, J. Interpenetrating network hydrogels with high strength and transparency for potential use as external dressings. Mater. Sci. Eng. C 2017, 80, 460–467. [Google Scholar] [CrossRef] [PubMed]
- Tang, Q.; Sun, X.; Li, Q.; Wu, J.; Lin, J. Fabrication of a high-strength hydrogel with an interpenetrating network structure. Colloids Surf. A Physicochem. Eng. Asp. 2009, 346, 91–98. [Google Scholar] [CrossRef]
- Kaity, S.; Ghosh, A. Comparative bio-safety and in vivo evaluation of native or modified locust bean gum-PVA IPN microspheres. Int. J. Biol. Macromol. 2015, 72, 883–893. [Google Scholar] [CrossRef]
- Meng, Y.; Ye, L. Synthesis and swelling property of superabsorbent starch grafted with acrylic acid/2-acrylamido-2-methyl-1-propanesulfonic acid. J. Sci. Food Agric. 2017, 97, 3831–3840. [Google Scholar] [CrossRef]
- Anirudhan, T.S.; Rejeena, S.R. Poly (acrylic acid-co-acrylamide-co-2-acrylamido-2-methyl-1-propanesulfonic acid)-grafted nanocellulose/poly (vinyl alcohol) composite for the in vitro gastrointestinal release of amoxicillin. J. Appl. Polym. Sci. 2014, 131, 8657–8668. [Google Scholar] [CrossRef]
- Abdallah, A.M. The effect of hydrogel particle size on water retention properties and availability under water stress. Int. Soil Water Conserv. Res. 2019, 7, 275–285. [Google Scholar] [CrossRef]
- Socrates, G. Infrared and Raman Characteristic Group Frequencies: Tables and Charts by Socrates, George: Very Good Spiral-Bound (2004)|WeBuyBooks; John Wiley & Sons Inc.: Hoboken, NJ, USA, 2004; ISBN 0470093072. [Google Scholar]
- Dankar, I.; Haddarah, A.; Omar, F.E.L.; Pujolà, M.; Sepulcre, F. Characterization of food additive-potato starch complexes by FTIR and X-ray diffraction. Food Chem. 2018, 260, 7–12. [Google Scholar] [CrossRef]
- Sadeghi, M.; Hosseinzadeh, H. Studies on graft copolymerization of 2-hydroxyethylmethacrylate onto kappacarrageenan initiated by ceric ammonium nitrate. J. Chil. Chem. Soc. 2010, 55, 497–502. [Google Scholar] [CrossRef]
- Figueiredo, A.G.P.R.; Figueiredo, A.R.P.; Alonso-varona, A.; Fernandes, S.C.M.; Palomares, T.; Rubio-azpeitia, E.; Barros-timmons, A.; Silvestre, A.J.D.; Neto, C.P.; Freire, C.S.R. Biocompatible Bacterial Cellulose-Poly (2-hydroxyethyl methacrylate) Nanocomposite Films. Biomed. Res. Int. 2013, 2013, 698141. [Google Scholar] [CrossRef] [PubMed][Green Version]
- Bhattacharya, S.S.; Mishra, A.; Pal, D.; Ghosh, A.K.; Ghosh, A.; Banerjee, S.; Sen, K.K. Synthesis and Characterization of Poly (acrylic acid)/Poly (vinyl alcohol)-xanthan Gum Interpenetrating Network (IPN) Superabsorbent Polymeric Composites. Polym. Plast. Technol. Eng. 2012, 51, 878–884. [Google Scholar] [CrossRef]
- Dai, H.; Zhang, Y.; Ma, L.; Zhang, H.; Huang, H. Synthesis and response of pineapple peel carboxymethyl cellulose-g-poly (acrylic acid-co-acrylamide)/graphene oxide hydrogels Synthesis and response of pineapple peel carboxymethyl cellulose-g-poly (acrylic acid-co-acrylamide)/graphene oxide hydroge. Carbohydr. Polym. 2019, 215, 366–376. [Google Scholar] [CrossRef]
- Limparyoon, N.; Seetapan, N.; Kiatkamjornwong, S. Acrylamide/2-acrylamido-2-methylpropane sulfonic acid and associated sodium salt superabsorbent copolymer nanocomposites with mica as fi re retardants. Polym. Degrad. Stab. 2011, 96, 1054–1063. [Google Scholar] [CrossRef]
- Omidian, H.; Rocca, J.G.; Park, K. Advances in superporous hydrogels. J. Control. Release 2005, 102, 3–12. [Google Scholar] [CrossRef]
- Chen, J.; Park, K. Synthesis of fast-swelling, superporous sucrose hydrogels. Carbohydr. Polym. 2000, 41, 259–268. [Google Scholar] [CrossRef]
- Badiger, M.V.; McNeill, M.E.; Graham, N.B. Porogens in the preparation of microporous hydrogels based on poly (ethylene oxides). Biomaterials 1993, 14, 1059–1063. [Google Scholar] [CrossRef]
- Pourjavadi, A.; Kurdtabar, M.; Ghasemzadeh, H. Salt- and pH-resisting collagen-based highly porous hydrogel. Polym. J. 2008, 40, 94–103. [Google Scholar] [CrossRef]
- Gotoh, T.; Nakatani, Y.; Sakohara, S. Novel synthesis of thermosensitive porous hydrogels. J. Appl. Polym. Sci. 1998, 69, 895–906. [Google Scholar] [CrossRef]
- Yang, F.; Li, G.; He, Y.G.; Ren, F.X.; Wang, G. Xiang Synthesis, characterization, and applied properties of carboxymethyl cellulose and polyacrylamide graft copolymer. Carbohydr. Polym. 2009, 78, 95–99. [Google Scholar] [CrossRef]
- Hua, S.; Wang, A. Synthesis, characterization and swelling behaviors of sodium alginate-g-poly (acrylic acid)/sodium humate superabsorbent. Carbohydr. Polym. 2009, 75, 79–84. [Google Scholar] [CrossRef]
- Sadeghi, M.; Yarahmadi, M. Synthesis and characterization of superabsorbent hydrogel based on chitosan-g-poly (acrylic acid-coacrylonitrile). Afr. J. Biotechnol. 2011, 10, 12265–12275. [Google Scholar] [CrossRef]
- Liu, J.; Li, Q.; Su, Y.; Yue, Q.; Gao, B.; Wang, R. Synthesis of wheat straw cellulose-g-poly (potassium acrylate)/PVA semi-IPNs superabsorbent resin. Carbohydr. Polym. 2013, 94, 539–546. [Google Scholar] [CrossRef]
- Huang, Y.; Lu, J.; Xiao, C. Thermal and mechanical properties of cationic guar gum/poly (acrylic acid) hydrogel membranes. Polym. Degrad. Stab. 2007, 92, 1072–1081. [Google Scholar] [CrossRef]
- Qiao, D.; Liu, H.; Yu, L.; Bao, X.; Simon, G.P.; Petinakis, E.; Chen, L. Preparation and characterization of slow-release fertilizer encapsulated by starch-based superabsorbent polymer. Carbohydr. Polym. 2016, 147, 146–154. [Google Scholar] [CrossRef]
- Chem, T.J. Swelling Behavior of Acrylamide-2-Hydroxyethyl. Turk. J. Chem. 2000, 24, 147–156. [Google Scholar]
- Bajpai, S.K. Superabsorbent hydrogels for removal of divalent toxic ions. Part I: Synthesis and swelling characterization. React. Funct. Polym. 2005, 62, 271–283. [Google Scholar] [CrossRef]
- Xie, H. Study on the Preparation of Superabsorbent Composite of Chitosan-g-poly (Acrylic Acid)/Kaolin by In-situ Polymerization. Int. J. Chem. 2011, 3, 69–74. [Google Scholar] [CrossRef]
- Ismail, H.; Irani, M.; Ahmad, Z. Utilization of Waste Polystyrene and Starch for Superabsorbent Composite Preparation. J. Appl. Polym. Sci. 2013, 127, 4195–4202. [Google Scholar] [CrossRef]
- Zhang, J.; Bhat, R.; Jandt, K.D. Temperature-sensitive PVA/PNIPAAm semi-IPN hydrogels with enhanced responsive properties. Acta Biomater. 2009, 5, 488–497. [Google Scholar] [CrossRef] [PubMed]
- Gharekhani, H.; Olad, A.; Mirmohseni, A.; Bybordi, A. Superabsorbent hydrogel made of NaAlg-g-poly (AA-co-AAm) and rice husk ash: Synthesis, characterization, and swelling kinetic studies. Carbohydr. Polym. 2017, 168, 1–13. [Google Scholar] [CrossRef] [PubMed]
- Olad, A.; Doustdar, F.; Gharekhani, H. Starch-based semi-IPN hydrogel nanocomposite integrated with clinoptilolite: Preparation and swelling kinetic study. Carbohydr. Polym. 2018, 200, 516–528. [Google Scholar] [CrossRef] [PubMed]
- Mandal, B.; Kumar, S. Synthesis of interpenetrating network hydrogel from poly (acrylic acid-co-hydroxyethyl methacrylate) and sodium alginate: Modeling and kinetics study for removal of synthetic dyes from water. Carbohydr. Polym. 2013, 98, 257–269. [Google Scholar] [CrossRef] [PubMed]
- Mohana Raju, K.; Padmanabha Raju, M.; Murali Mohan, Y. Synthesis of superabsorbent copolymers as water manageable materials. Polym. Int. 2003, 52, 768–772. [Google Scholar] [CrossRef]
- Spagnol, C.; Rodrigues, F.H.A.; Neto, A.G.V.C.; Pereira, A.G.B.; Fajardo, A.R.; Radovanovic, E.; Rubira, A.F.; Muniz, E.C. Nanocomposites based on poly(acrylamide-co-acrylate) and cellulose nanowhiskers. Eur. Polym. J. 2012, 48, 454–463. [Google Scholar] [CrossRef]
- Gils, P.S.; Ray, D.; Mohanta, G.P.; Manavalan, R.; Sahoo, P.K. Designing of new acrylic based macroporous superabsorbent polymer hydrogel and its suitability for drug delivery. Int. J. Pharm. Pharm. Sci. 2009, 1, 43–54. [Google Scholar]








| Sample Code | TGA (5 wt% Loss) (°C) | TGA (10 wt% Loss) (°C) | TGA (50 wt% Loss) (°C) |
|---|---|---|---|
| SS | 59.2 | 105.4 | 355.9 |
| PS | 70.6 | 280.2 | 315.8 |
| KPS | 295.5 | 472.7 | — |
| MBA | 198.5 | 210.7 | 250.2 |
| AMPS | 190.5 | 193.1 | 243.6 |
| PVA | 251.2 | 260.2 | 297.4 |
| AM | 107.4 | 119.6 | 282.1 |
| PVA/PS-g-P(AA-co-AM-co-AMPS) | 198.4 | 242.0 | 377.9 |
| SS-g-P(AA-co-HEMA) | 105.6 | 226.7 | 387.2 |
| PVA/PS-g-P(AA-co-AM) | 141.3 | 223.6 | 386.0 |
| Sample Code | Temperature of the First Thermal Event after Water Evaporation (°C) | Sharp Decomposition Temperature in the Second Decomposition Stage (°C) | Maximum Decomposition Temperature (°C) | Maximum Weight Loss (%) |
|---|---|---|---|---|
| SS | 229.5 | 361.8 | 229.5 | 78 |
| PS | 313.9 | - | 313.9 | 55 |
| KPS | 237.5 | 294.3 | 294.3 | 95 |
| MBA | 187.8 | 239.3 | 239.3 | 62 |
| AMPS | 194.0 | 225.9 | 193.4 | 89 |
| PVA | 268.6 | 431.1 | 268.9 | 80 |
| AM | 152.2 | 243.7 | 152.2 | 68 |
| PVA/PS-g-P(AA-co-AM-co-AMPS) | 135.9 | 235.6 | 379.4 | 49 |
| SS-g-P(AA-co-HEMA) | 289.5 | 372.2 | 372.2 | 55 |
| PVA/PS-g-P(AA-co-AM) | 213.2 | 241.9 | 356.9 | 60 |
| Solution | A [g/g] | b [s1/2] | R2 | FStdE | F | τ [s] | Qeq [g/g] |
|---|---|---|---|---|---|---|---|
| SS-g-P(AA-co-HEMA) | |||||||
| Water | 158.86 | 23.58 | 0.965 | 4.86 | 499.5 | 1000.0 | 97.60 |
| NaCl 1 wt% | 115.15 | 7.16 | 0.999 | 0.84 | 13,213.1 | 208.3 | 93.30 |
| NaCl 2 wt% | 112.66 | 7.95 | 0.992 | 1.92 | 2400.7 | 222.2 | 90.11 |
| NaCl 4 wt% | 96.19 | 7.69 | 0.988 | 2.00 | 1614.1 | 227.3 | 76.07 |
| NaCl 8 wt% | 91.39 | 8.20 | 0.984 | 2.21 | 1181.3 | 243.9 | 73.11 |
| PVA/PS-g-P(AA-co-AM) | |||||||
| Water | 99.78 | 33.78 | 0.970 | 2.57 | 842.1 | 588.2 | 50.30 |
| NaCl 1 wt% | 61.36 | 7.78 | 0.990 | 1.20 | 1866.1 | 153.9 | 47.25 |
| NaCl 2 wt% | 60.77 | 11.79 | 0.994 | 0.89 | 3071.1 | 196.1 | 42.48 |
| NaCl 4 wt% | 47.17 | 11.98 | 0.993 | 0.73 | 2770.8 | 208.3 | 32.04 |
| NaCl 8 wt% | 30.33 | 16.07 | 0.983 | 0.70 | 1128.5 | 227.3 | 17.99 |
| PVA/PS-g-P(AA-co-AM-co-AMPS) | |||||||
| Water | 107.23 | 18.17 | 0.973 | 3.03 | 756.3 | 333.3 | 69.60 |
| NaCl 1 wt% | 92.00 | 11.50 | 0.996 | 0.93 | 3432.7 | 238.1 | 64.96 |
| NaCl 2 wt% | 86.15 | 11.52 | 0.999 | 1.52 | 1665.5 | 249.9 | 60.67 |
| NaCl 4 wt% | 79.13 | 11.54 | 0.984 | 1.76 | 1145.4 | 256.4 | 56.34 |
| NaCl 8 wt% | 76.27 | 11.73 | 0.999 | 1.10 | 1579.6 | 277.9 | 53.17 |
Publisher’s Note: MDPI stays neutral with regard to jurisdictional claims in published maps and institutional affiliations. |
© 2021 by the authors. Licensee MDPI, Basel, Switzerland. This article is an open access article distributed under the terms and conditions of the Creative Commons Attribution (CC BY) license (https://creativecommons.org/licenses/by/4.0/).
Share and Cite
Czarnecka, E.; Nowaczyk, J. Synthesis and Characterization Superabsorbent Polymers Made of Starch, Acrylic Acid, Acrylamide, Poly(Vinyl Alcohol), 2-Hydroxyethyl Methacrylate, 2-Acrylamido-2-methylpropane Sulfonic Acid. Int. J. Mol. Sci. 2021, 22, 4325. https://doi.org/10.3390/ijms22094325
Czarnecka E, Nowaczyk J. Synthesis and Characterization Superabsorbent Polymers Made of Starch, Acrylic Acid, Acrylamide, Poly(Vinyl Alcohol), 2-Hydroxyethyl Methacrylate, 2-Acrylamido-2-methylpropane Sulfonic Acid. International Journal of Molecular Sciences. 2021; 22(9):4325. https://doi.org/10.3390/ijms22094325
Chicago/Turabian StyleCzarnecka, Elżbieta, and Jacek Nowaczyk. 2021. "Synthesis and Characterization Superabsorbent Polymers Made of Starch, Acrylic Acid, Acrylamide, Poly(Vinyl Alcohol), 2-Hydroxyethyl Methacrylate, 2-Acrylamido-2-methylpropane Sulfonic Acid" International Journal of Molecular Sciences 22, no. 9: 4325. https://doi.org/10.3390/ijms22094325
APA StyleCzarnecka, E., & Nowaczyk, J. (2021). Synthesis and Characterization Superabsorbent Polymers Made of Starch, Acrylic Acid, Acrylamide, Poly(Vinyl Alcohol), 2-Hydroxyethyl Methacrylate, 2-Acrylamido-2-methylpropane Sulfonic Acid. International Journal of Molecular Sciences, 22(9), 4325. https://doi.org/10.3390/ijms22094325
