Exploitation of Tolerance of Wheat Kernel Weight and Shape-Related Traits from Aegilops tauschii under Heat and Combined Heat-Drought Stresses
Abstract
1. Introduction
2. Results
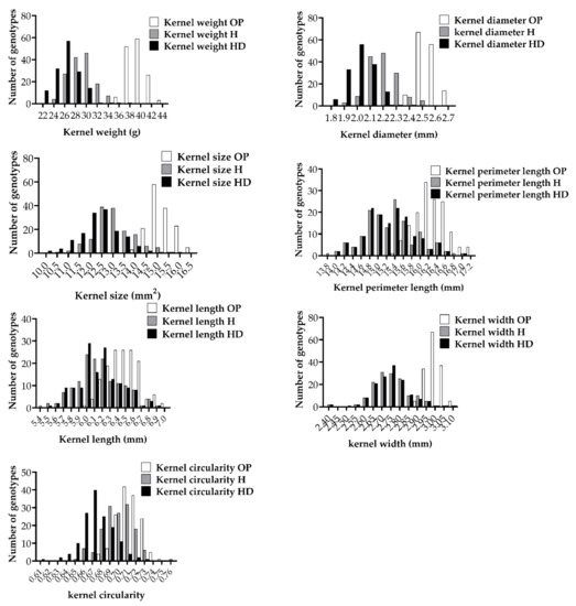
2.1. Phenotypic Variation of Kernel Weight and Shape-Related Traits under Optimum, Heat, and Combined Heat–Drought Conditions
2.2. Marker Trait Associations for Kernel Weight and Shape-Related Traits
2.2.1. MTAs for Heat and Combined Heat–Drought Susceptibility Indices
2.2.2. Stable MTAs for Kernel Weight and Shape-Related Traits
2.2.3. Identification of Putative Candidate Genes for Kernel Weight and Shape-Related Traits
3. Discussion
3.1. Phenotypic Variation for Kernel Weight and Shape-Related Traits under Optimum and Stress Conditions
3.2. Marker Trait Associations for Kernel Weight and Shape-Related Traits under Optimum and Stress Conditions
4. Materials and Methods
4.1. Plant Materials
4.2. Field Experiments
4.3. Measurement of Kernel Weight and Shape-Related Traits
4.4. Statistical Analysis of Kernel Weight and Shape-Related Traits
4.5. Genome-Wide Association Study and Candidate Gene Identification
5. Conclusions
Supplementary Materials
Author Contributions
Funding
Institutional Review Board Statement
Informed Consent Statement
Data Availability Statement
Acknowledgments
Conflicts of Interest
Abbreviations
| ANOVA | Analysis of variance |
| BLUP | Best linear unbiased prediction |
| GWAS | Genome-wide association study |
| H | Heat |
| HD | heat–drought |
| HDSI | Heat–drought susceptibility index |
| HSI | Heat susceptibility index |
| MSD | Multiple synthetic derivatives |
| MTA | Marker trait association |
| OP | Optimum |
References
- Weldearegay, D.F.; Yan, F.; Jiang, D.; Liu, F. Independent and Combined Effects of Soil Warming and Drought Stress during Anthesis on Seed Set and Grain Yield in Two Spring Wheat Varieties. J. Agron. Crop. Sci. 2012, 198, 245–253. [Google Scholar] [CrossRef]
- Prasad, P.V.; Bheemanahalli, R.; Jagadish, S.K. Field crops and the fear of heat stress—Opportunities, challenges and future directions. Field Crop. Res. 2017, 200, 114–121. [Google Scholar] [CrossRef]
- Rad, S.V.; Valadabadi, S.A.R.; Pouryousef, M.; Saifzadeh, S.; Zakrin, H.R.; Mastinu, A. Quantitative and Qualitative Evaluation of Sorghum bicolor L. under Intercropping with Legumes and Different Weed Control Methods. Horticulturae 2020, 6, 78. [Google Scholar] [CrossRef]
- Gupta, A.K.; Rather, M.A.; Jha, A.K.; Shashank, A.; Singhal, S.; Sharma, M.; Pathak, U.; Sharma, D.; Mastinu, A. Artocarpus Lakoocha Roxb. and Artocarpus heterophyllus Lam. Flowers: New Sources of Bioactive Compounds. Plants 2020, 9, 1329. [Google Scholar] [CrossRef] [PubMed]
- Szliszka, E.; Czuba, Z.P.; Domino, M.; Mazur, B.; Zydowicz, G.; Krol, W. Ethanolic Extract of Propolis (EEP) Enhances the Apoptosis- Inducing Potential of TRAIL in Cancer Cells. Molecules 2009, 14, 738–754. [Google Scholar] [CrossRef]
- Yousefi, A.R.; Rashidi, S.; Moradi, P.; Mastinu, A. Germination and seedling growth responses of Zygophyllum fabago, Salsola kali L. and Atriplex canescens to PEG-induced drought stress. Environments 2020, 7, 107. [Google Scholar] [CrossRef]
- Schmidt, J.; Claussen, J.; Wörlein, N.; Eggert, A.; Fleury, D.; Garnett, T.; Gerth, S. Drought and heat stress tolerance screening in wheat using computed tomography. Plant Methods 2020, 16, 1–12. [Google Scholar] [CrossRef]
- Su, Z.; Jin, S.; Lu, Y.; Zhang, G.; Chao, S.; Bai, G. Single nucleotide polymorphism tightly linked to a major QTL on chromosome 7A for both kernel length and kernel weight in wheat. Mol. Breed. 2016, 36, 15. [Google Scholar] [CrossRef]
- Dholakia, B.B.; Ammiraju, J.S.S.; Singh, H.; Lagu, M.D.; Röder, M.S.; Rao, V.S.; Dhaliwal, H.S.; Ranjekar, P.K.; Gupta, V.S.; Weber, W.E. Molecular marker analysis of kernel size and shape in bread wheat. Plant Breed. 2003, 122, 392–395. [Google Scholar] [CrossRef]
- Würschum, T.; Leiser, W.L.; Langer, S.M.; Tucker, M.R.; Longin, C.F.H. Phenotypic and genetic analysis of spike and kernel characteristics in wheat reveals long-term genetic trends of grain yield components. Theor. Appl. Genet. 2018, 131, 2071–2084. [Google Scholar] [CrossRef] [PubMed]
- Reynolds, M.; Foulkes, J.; Furbank, R.; Griffiths, S.; King, J.; Murchie, E.; Parry, M.; Slafer, G. Achieving yield gains in wheat. Plant Cell Environ. 2012, 35, 1799–1823. [Google Scholar] [CrossRef]
- Tilman, D.; Balzer, C.; Hill, J.; Befort, B.L. Global food demand and the sustainable intensification of agriculture. Proc. Natl. Acad. Sci. USA 2011, 108, 20260–20264. [Google Scholar] [CrossRef]
- Zhang, P.; Dundas, I.S.; McIntosh, R.A.; Xu, S.S.; Park, R.F.; Gill, B.S.; Friebe, B. Wheat–Aegilops introgressions. In Alien Introgression In Wheat; Springer International Publishing: New York, NY, USA, 2015; pp. 221–243. [Google Scholar]
- Kishii, M. An Update of Recent Use of Aegilops Species in Wheat Breeding. Front. Plant Sci. 2019, 10, 585. [Google Scholar] [CrossRef] [PubMed]
- Ogbonnaya, F.C.; Abdalla, O.; Mujeeb-Kazi, A.; Kazi, A.G.; Xu, S.S.; Gosman, N.; Lagudah, E.S.; Bonnett, D.; Sorrells, M.E.; Tsujimoto, H. Synthetic Hexaploids: Harnessing Species of the Primary Gene Pool for Wheat Improvement. Plant Breed. Rev. 2013, 37, 35–122. [Google Scholar] [CrossRef]
- Gorafi, Y.S.A.; Kim, J.-S.; Elbashir, A.A.E.; Tsujimoto, H. A population of wheat multiple synthetic derivatives: An effective platform to explore, harness and utilize genetic diversity of Aegilops tauschii for wheat improvement. Theor. Appl. Genet. 2018, 131, 1615–1626. [Google Scholar] [CrossRef]
- Rasheed, A.; Xia, X.; Ogbonnaya, F.; Mahmood, T.; Zhang, Z.; Mujeeb-Kazi, A.; He, Z. Genome-wide association for grain morphology in synthetic hexaploid wheats using digital imaging analysis. BMC Plant Biol. 2014, 14, 128. [Google Scholar] [CrossRef] [PubMed]
- Chen, G.; Zhang, H.; Deng, Z.; Wu, R.; Li, D.; Wang, M.; Tian, J. Genome-wide association study for kernel weight-related traits using SNPs in a Chinese winter wheat population. Euphytica 2016, 212, 173–185. [Google Scholar] [CrossRef]
- Daba, S.D.; Tyagi, P.; Brown-Guedira, G.; Mohammadi, M. Genome-Wide Association Studies to Identify Loci and Candidate Genes Controlling Kernel Weight and Length in a Historical United States Wheat Population. Front. Plant Sci. 2018, 9, 1045. [Google Scholar] [CrossRef]
- Su, Q.; Zhang, X.; Zhang, W.; Zhang, N.; Song, L.; Liu, L.; Xue, X.; Liu, G.; Liu, J.; Meng, D.; et al. QTL Detection for Kernel Size and Weight in Bread Wheat (Triticum aestivum L.) Using a High-Density SNP and SSR-Based Linkage Map. Front. Plant Sci. 2018, 9, 1484. [Google Scholar] [CrossRef] [PubMed]
- Desiderio, F.; Zarei, L.; Licciardello, S.; Cheghamirza, K.; Farshadfar, E.; Virzi, N.; Sciacca, F.; Bagnaresi, P.; Battaglia, R.; Guerra, D.; et al. Genomic Regions From an Iranian Landrace Increase Kernel Size in Durum Wheat. Front. Plant Sci. 2019, 10, 448. [Google Scholar] [CrossRef]
- Chen, Z.; Cheng, X.; Chai, L.; Wang, Z.; Bian, R.; Li, J.; Zhao, A.; Xin, M.; Guo, W.; Hu, Z.; et al. Dissection of genetic factors underlying grain size and fine mapping of QTgw.cau-7D in common wheat (Triticum aestivum L.). Theor. Appl. Genet. 2019, 133, 149–162. [Google Scholar] [CrossRef] [PubMed]
- Chang, C.; Lu, J.; Zhang, H.-P.; Ma, C.-X.; Sun, G. Copy Number Variation of Cytokinin Oxidase Gene Tackx4 Associated with Grain Weight and Chlorophyll Content of Flag Leaf in Common Wheat. PLoS ONE 2015, 10, e0145970. [Google Scholar] [CrossRef]
- Song, J.; Jiang, L.; Jameson, P.E. Co-ordinate regulation of cytokinin gene family members during flag leaf and reproductive development in wheat. BMC Plant Biol. 2012, 12, 78. [Google Scholar] [CrossRef] [PubMed]
- Bednarek, J.; Boulaflous, A.; Girousse, C.; Ravel, C.; Tassy, C.; Barret, P.; Bouzidi, M.F.; Mouzeyar, S. Down-regulation of the TaGW2 gene by RNA interference results in decreased grain size and weight in wheat. J. Exp. Bot. 2012, 63, 5945–5955. [Google Scholar] [CrossRef] [PubMed]
- Lamaoui, M.; Jemo, M.; Datla, R.; Bekkaoui, F. Heat and Drought Stresses in Crops and Approaches for Their Mitigation. Front. Chem. 2018, 6, 26. [Google Scholar] [CrossRef]
- Ramya, K.T.; Jain, N.; Gandhi, N.; Arora, A.; Singh, P.K.; Singh, A.M.; Singh, G.P.; Prabhu, K.V. Assessing heat stress tolerance and genetic diversity among exotic and Indian wheat genotypes using simple sequence repeats and agro-physiological traits. Plant Genet. Resour. 2015, 15, 208–220. [Google Scholar] [CrossRef]
- Jenner, C. Starch Synthesis in the Kernel of Wheat Under High Temperature Conditions. Funct. Plant Biol. 1994, 21, 791–806. [Google Scholar] [CrossRef]
- Tian, B.; Talukder, S.K.; Fu, J.; Fritz, A.K.; Trick, H.N. Expression of a rice soluble starch synthase gene in transgenic wheat improves the grain yield under heat stress conditions. Vitr. Cell. Dev. Biol. Anim. 2018, 54, 216–227. [Google Scholar] [CrossRef]
- Telfer, P.; Edwards, J.; Bennett, D.; Ganesalingam, D.; Able, J.; Kuchel, H. A field and controlled environment evaluation of wheat (Triticum aestivum) adaptation to heat stress. Field Crop. Res. 2018, 229, 55–65. [Google Scholar] [CrossRef]
- Sattar, A.; Sher, A.; Ijaz, M.; Ul-Allah, S.; Rizwan, M.S.; Hussain, M.; Jabran, K.; Cheema, M.A. Terminal drought and heat stress alter physiological and biochemical attributes in flag leaf of bread wheat. PLoS ONE 2020, 15, e0232974. [Google Scholar] [CrossRef]
- Qaseem, M.F.; Qureshi, R.; Shaheen, H.; Shafqat, N. Genome-wide association analyses for yield and yield-related traits in bread wheat (Triticum aestivum L.) under pre-anthesis combined heat and drought stress in field conditions. PLoS ONE 2019, 14, e0213407. [Google Scholar] [CrossRef]
- Zhang, Y.; Lou, H.; Guo, D.; Zhang, R.; Su, M.; Hou, Z.; Zhou, H.; Liang, R.; Xie, C.; You, M.; et al. Identifying changes in the wheat kernel proteome under heat stress using iTRAQ. Crop. J. 2018, 6, 600–610. [Google Scholar] [CrossRef]
- Elbashir, A.A.E.; Gorafi, Y.S.A.; Tahir, I.S.A.; Elhashimi, A.M.A.; Abdalla, M.G.A.; Tsujimoto, H. Genetic variation in heat tolerance-related traits in a population of wheat multiple synthetic derivatives. Breed. Sci. 2017, 67, 483–492. [Google Scholar] [CrossRef]
- Xin, F.; Zhu, T.; Wei, S.; Han, Y.; Zhao, Y.; Zhang, D.; Ma, L.; Ding, Q. QTL Mapping of Kernel Traits and Validation of a Major QTL for Kernel Length-Width Ratio Using SNP and Bulked Segregant Analysis in Wheat. Sci. Rep. 2020, 10, 1–12. [Google Scholar] [CrossRef]
- Shokat, S.; Azhar, M.; Nabi, G.; Iqbal, Q. Heritability for characters related to earliness in tomato estimation of heritability and genetic advance for some characters related to earliness in tomato (Solanum lycopersicum L.). J. Agric. Res. 2015, 53, 351–356. [Google Scholar]
- Cheng, R.; Kong, Z.; Zhang, L.; Xie, Q.; Jia, H.; Yu, D.; Huang, Y.; Ma, Z. Mapping QTLs controlling kernel dimensions in a wheat inter-varietal RIL mapping population. Theor. Appl. Genet. 2017, 130, 1405–1414. [Google Scholar] [CrossRef] [PubMed]
- Chao, S.; Zhang, W.; Akhunov, E.; Sherman, J.; Ma, Y.; Luo, M.-C.; Dubcovsky, J. Analysis of gene-derived SNP marker polymorphism in US wheat (Triticum aestivum L.) cultivars. Mol. Breed. 2008, 23, 23–33. [Google Scholar] [CrossRef]
- Wang, S.; Wong, D.; Forrest, K.; Allen, A.; Chao, S.; Huang, B.E.; Maccaferri, M.; Salvi, S.; Milner, S.G.; Cattivelli, L.; et al. Characterization of polyploid wheat genomic diversity using a high-density 90 000 single nucleotide polymorphism array. Plant Biotechnol. J. 2014, 12, 787–796. [Google Scholar] [CrossRef]
- Ali, A.; Ullah, Z.; Alam, N.; Naqvi, S.S.; Jamil, M.; Bux, H.; Sher, H. Genetic analysis of wheat grains using digital imaging and their relationship to enhance grain weight. Sci. Agric. 2020, 77. [Google Scholar] [CrossRef]
- Lopes, M.S.; Reynolds, M.P.; McIntyre, C.L.; Mathews, K.L.; Kamali, M.R.J.; Mossad, M.; Feltaous, Y.; Tahir, I.S.A.; Chatrath, R.; Ogbonnaya, F.; et al. QTL for yield and associated traits in the Seri/Babax population grown across several environments in Mexico, in the West Asia, North Africa, and South Asia regions. Theor. Appl. Genet. 2012, 126, 971–984. [Google Scholar] [CrossRef]
- Afzal, F.; Li, H.; Gul, A.; Subhani, A.; Ali, A.; Mujeeb-Kazi, A.; Ogbonnaya, F.; Trethowan, R.; Xia, X.; He, Z.; et al. Genome-wide analyses reveal footprints of divergent selection and drought adaptive traits in synthetic-derived wheats. G3 Genes Genomes Genet. 2019, 9, 1957–1973. [Google Scholar] [CrossRef] [PubMed]
- Mwadzingeni, L.; Shimelis, H.; Rees, D.J.G.; Tsilo, T.J. Genome-wide association analysis of agronomic traits in wheat under drought-stressed and non-stressed conditions. PLoS ONE 2017, 12, e0171692. [Google Scholar] [CrossRef]
- Chae, E.; Tan, Q.K.G.; Hill, T.A.; Irish, V.F.; Stallock, J.; Molyneaux, K.; Schaible, K.; Knudson, C.M.; Wylie, C. An Arabidopsis F-box protein acts as a transcriptional co-factor to regulate floral development. Development 2008, 135, 1235–1245. [Google Scholar] [CrossRef]
- Kim, H.S.; Delaney, T.P. Arabidopsis SON1 Is an F-Box Protein That Regulates a Novel Induced Defense Response Independent of Both Salicylic Acid and Systemic Acquired Resistance. Plant Cell 2002, 14, 1469–1482. [Google Scholar] [CrossRef] [PubMed]
- Binder, B.; Walker, J.M.; Gagne, J.M.; Emborg, T.J.; Hemmann, G.; Bleecker, A.B.; Vierstra, R.D. The Arabidopsis EIN3 Binding F-Box Proteins EBF1 and EBF2 Have Distinct but Overlapping Roles in Ethylene Signaling. Plant Cell 2007, 19, 509–523. [Google Scholar] [CrossRef]
- Shi, J.; Habben, J.E.; Archibald, R.L.; Drummond, B.J.; Chamberlin, M.A.; Williams, R.W.; Lafitte, H.R.; Weers, B.P. Overexpression of ARGOS Genes Modifies Plant Sensitivity to Ethylene, Leading to Improved Drought Tolerance in Both Arabidopsis and Maize. Plant Physiol. 2015, 169, 266–282. [Google Scholar] [CrossRef]
- Yao, X.; Xiong, W.; Ye, T.; Wu, Y. Overexpression of the aspartic protease ASPG1 gene confers drought avoidance in Arabidopsis. J. Exp. Bot. 2012, 63, 2579–2593. [Google Scholar] [CrossRef]
- Gou, J.-Y.; Sun, H.-J.; Wang, C.-Y.; Zhang, G.-L. Genomic analyses of wheat Aspartic proteinase gene family provide novel insights for wheat stress responses. SDRP J. Plant Sci. 2020, 4, 174–185. [Google Scholar] [CrossRef]
- Guo, M.; Liu, J.-H.; Ma, X.; Luo, D.-X.; Gong, Z.-H.; Lu, M.-H. The Plant Heat Stress Transcription Factors (HSFs): Structure, Regulation, and Function in Response to Abiotic Stresses. Front. Plant Sci. 2016, 7, 114. [Google Scholar] [CrossRef]
- Li, J.; Zhao-Hui, C.; Batoux, M.; Nekrasov, V.; Roux, M.; Chinchilla, D.; Zipfel, C.; Jones, J.D.G. Specific ER quality control components required for biogenesis of the plant innate immune receptor EFR. Proc. Natl. Acad. Sci. USA 2009, 106, 15973–15978. [Google Scholar] [CrossRef] [PubMed]
- Muthusamy, S.K.; Dalal, M.; Chinnusamy, V.; Bansal, K.C. Genome-wide identification and analysis of biotic and abiotic stress regulation of small heat shock protein (HSP20) family genes in bread wheat. J. Plant Physiol. 2017, 211, 100–113. [Google Scholar] [CrossRef] [PubMed]
- Alonso, R.; Oñate-Sánchez, L.; Weltmeier, F.; Ehlert, A.; Diaz, I.; Dietrich, K.; Vicente-Carbajosa, J.; Dröge-Laser, W. A Pivotal Role of the Basic Leucine Zipper Transcription Factor bZIP53 in the Regulation of Arabidopsis Seed Maturation Gene Expression Based on Heterodimerization and Protein Complex Formation. Plant Cell 2009, 21, 1747–1761. [Google Scholar] [CrossRef] [PubMed]
- Li, N.; Li, Y. Ubiquitin-mediated control of seed size in plants. Front. Plant Sci. 2014, 5, 332. [Google Scholar] [CrossRef]
- Fujiyama, H.; Nagai, T. Studies on responses of plants grown on sand dune soil to a nutrient solution applied by drip irrigation. I. relation between behavior of nutrients in the soil and nutrient uptake by tomatoes. Soil Sci. Plant Nutr. 1989, 35, 55–61. [Google Scholar] [CrossRef]
- Tadesse, W.; Suleiman, S.; Tahir, I.; Sanchez-Garcia, M.; Jighly, A.; Hagras, A.; Thabet, S.; Baum, M.; Sherif, A. Heat-Tolerant QTLs Associated with Grain Yield and Its Components in Spring Bread Wheat under Heat-Stressed Environments of Sudan and Egypt. Crop. Sci. 2019, 59, 199–211. [Google Scholar] [CrossRef]
- Iizumi, T.; Ali-Babiker, I.-E.A.; Tsubo, M.; Tahir, I.S.A.; Kurosaki, Y.; Kim, W.; Gorafi, Y.S.A.; Idris, A.A.M.; Tsujimoto, H. Rising temperatures and increasing demand challenge wheat supply in Sudan. Nat. Food 2021, 2, 19–27. [Google Scholar] [CrossRef]
- Tanabata, T.; Shibaya, T.; Hori, K.; Ebana, K.; Yano, M. SmartGrain: High-Throughput Phenotyping Software for Measuring Seed Shape through Image Analysis. Plant Physiol. 2012, 160, 1871–1880. [Google Scholar] [CrossRef] [PubMed]
- Bradbury, P.J.; Zhang, Z.; Kroon, D.E.; Casstevens, T.M.; Ramdoss, Y.; Buckler, E.S. TASSEL: Software for association mapping of complex traits in diverse samples. Bioinform. Appl. 2007, 23, 2633–2635. [Google Scholar] [CrossRef] [PubMed]







| Kernel Weight (g) | Kernel Diameter (mm) | Kernel Size (mm2) | |||||||
| SED± | H2 | p-value | SED± | H2 | p-value | SED± | H2 | p-value | |
| C (OP) | 3.33 | – | *** | 0.13 | – | *** | 1.94 | ** | |
| S (S1 × S2) | – | – | * | – | – | *** | – | – | ** |
| G × S | 3.39 | 0.56 | *** | 0.13 | 0.64 | *** | 1.94 | 0.42 | ** |
| H | 1.53 | – | *** | 0.08 | – | *** | 0.60 | – | *** |
| HD | 1.73 | – | *** | 0.09 | – | *** | 0.61 | – | *** |
| E | – | – | *** | – | – | *** | – | – | *** |
| G × E | 1.75 | 0.92 | ns | 0.07 | 0.88 | ns | 0.55 | 0.94 | ns |
| Kernel Length (mm) | Kernel Width (mm) | Kernel Circularity | |||||||
| SED± | H2 | p-value | SED± | H2 | p-value | SED± | H2 | p-value | |
| C (OP) | 0.46 | – | *** | 0.22 | ns | 0.02 | – | *** | |
| S (S1 × S2) | – | – | ns | – | – | *** | – | – | ** |
| G × S | 0.46 | 0.51 | *** | 0.22 | 0.29 | * | 0.02 | 0.67 | ** |
| H | 0.13 | – | *** | 0.07 | – | *** | 0.01 | – | *** |
| HD | 0.18 | – | *** | 0.08 | – | *** | 0.01 | – | *** |
| E | – | – | ns | – | – | *** | – | – | *** |
| G × E | 0.14 | 0.97 | ns | 0.07 | 0.88 | ns | 0.01 | 0.92 | ns |
| Chromosome | Marker Position (Bp) | Marker | Trait | Conditions | p-Value | R2 |
|---|---|---|---|---|---|---|
| 1A | 229673410 | 1115856|F|0-14 | Kernel circularity | H | 9.75 × 10−4 | 0.10 |
| 2A | 1696501 | 3026123|F|0-8 | Kernel weight | HD | 2.40 × 10−4 | 0.10 |
| 17036238 | 5357358 | Kernel size | OP | 2.49 × 10−4 | 0.12 | |
| Kernel perimeter length | OP | 7.51 × 10−4 | 0.10 | |||
| 57562452 | 3938604 | Kernel width | HD | 1.08 × 10−3 | 0.09 | |
| 149553891 | 1113863 | Kernel diameter | OP | 1.67 × 10−3 | 0.07 | |
| 250645685 | 1110845 | Kernel diameter | HD | 9.00 × 10−4 | 0.08 | |
| Kernel weight | HD | 7.72 × 10−4 | 0.08 | |||
| 244243147 | 5010926 | Kernel size | HD | 1.02 × 10−3 | 0.08 | |
| 3A | 39514910 | 1035262|F|0-46 | Kernel circularity | HD | 8.80 × 10−5 | 0.11 |
| 4A | 184463076 | 987701 | Kernel circularity | H | 1.01 × 10−3 | 0.08 |
| HD | 8.28 × 10−4 | 0.09 | ||||
| 5A | 117490096 | 1079158 | kernel length | OP | 5.02 × 10−4 | 0.10 |
| Kernel perimeter length | OP | 5.47 × 10−4 | 0.10 | |||
| 117719229 | 1157204|F|0-51 | Kernel perimeter length | OP | 9.12 × 10−4 | 0.10 | |
| 118132341 | 977527|F|0-25 | Kernel perimeter length | OP | 9.13 × 10−4 | 0.10 | |
| 124441377 | 3028836 | Kernel size | OP | 5.09 × 10−4 | 0.10 | |
| Kernel length | OP | 6.30 × 10−4 | 0.09 | |||
| Kernel perimeter length | OP | 3.78 × 10−4 | 0.10 | |||
| 127107886 | 3940004|F|0-21 | Kernel width | HD | 1.11 × 10−4 | 0.19 | |
| 6A | 945226 | 2277231 | Kernel circularity | H | 7.23 × 10−4 | 0.09 |
| 10617494 | 4395641 | Kernel weight | OP | 2.94 × 10−4 | 0.10 | |
| Kernel diameter | OP | 1.67 × 10−3 | 0.08 | |||
| 12184855 | 1115036 | Kernel weight | OP | 5.48 × 10−4 | 0.09 | |
| 15813131 | 4407451 | Kernel weight | OP | 1.99 × 10−4 | 0.10 | |
| 32701094 | 1019857|F|0-23 | Kernel diameter | H | 2.03 × 10−4 | 0.10 | |
| 77372430 | 7327852 | Kernel size | HD | 4.35 × 10−4 | 0.09 | |
| 86323044 | 3945281 | Kernel diameter | H | 4.39 × 10−4 | 0.09 | |
| 133562282 | 3384829 | Kernel size | HD | 6.62 × 10−4 | 0.09 | |
| 145087238 | 5968258 | Kernel weight | H | 7.75 × 10−4 | 0.09 | |
| Kernel diameter | H | 5.89 × 10−4 | 0.10 | |||
| Kernel perimeter length | HD | 9.15 × 10−4 | 0.08 | |||
| 7A | 160041813 | 1056001 | Kernel length | OP | 9.34 × 10−4 | 0.10 |
| 2B | 118229752 | 7351021|F|0-10 | Kernel length | OP | 5.20 × 10−4 | 0.09 |
| 3B | 24450611 | 3958195 | Kernel length | OP | 1.21 × 10−4 | 0.12 |
| Kernel perimeter length | OP | 3.86 × 10−4 | 0.10 | |||
| 678386865 | 4396161 | Kernel circularity | OP | 9.64 × 10−4 | 0.08 | |
| 755958103 | 7353565 | Kernel size | HD | 8.84 × 10−4 | 0.09 | |
| 5B | 109565358 | 1302570 | Kernel circularity | HD | 4.34 × 10−4 | 0.11 |
| 196141955 | 2248796|F|0-42 | Kernel weight | HD | 5.07 × 10−4 | 0.11 | |
| Kernel size | HD | 2.91 × 10−4 | 0.12 | |||
| 6B | 48765954 | 3020427 | Kernel size | HD | 5.31 × 10−4 | 0.11 |
| 191946279 | 993061 | Kernel circularity | HD | 6.60 × 10−4 | 0.10 | |
| 7B | 205492257 | 5581272 | Kernel size | HD | 1.80 × 10−4 | 0.11 |
| 240968931 | 3949081 | Kernel width | OP | 6.80 × 10−4 | 0.10 | |
| 246168466 | 4260892 | Kernel width | OP | 7.13 × 10−4 | 0.10 | |
| 2D | 9318714 | 4999702 | Kernel width | OP | 9.34 × 10−4 | 0.08 |
| 10253062 | 1000563|F|0-24 | Kernel length | OP | 1.00 × 10−4 | 0.14 | |
| Kernel perimeter length | OP | 3.28 × 10−4 | 0.12 | |||
| 142248333 | 3946155 | Kernel circularity | OP | 2.54 × 10−4 | 0.14 | |
| Kernel circularity | HD | 2.48 × 10−4 | 0.11 | |||
| Kernel width | OP | 2.20 × 10−4 | 0.11 | |||
| 142982233 | 3957018 | Kernel circularity | OP | 7.92 × 10−5 | 0.14 | |
| Kernel size | HD | 7.55 × 10−4 | 0.09 | |||
| 143867561 | 4542702 | Kernel circularity | OP | 1.25 × 10−4 | 0.14 | |
| Kernel circularity | OP | 3.95 × 10−4 | 0.14 | |||
| 10453150 | 1076033|F|0-62 | Kernel width | HD | 0.00107 | 0.08 | |
| 143981582 | 3534099 | Kernel width | OP | 6.51 × 10−4 | 0.09 | |
| 147520289 | 1088563 | Kernel circularity | OP | 3.21 × 10−5 | 0.16 | |
| 147746144 | 4992154|F|0-9 | Kernel circularity | OP | 3.14 × 10−4 | 0.15 | |
| 149031034 | 1116168|F|0-15 | Kernel circularity | OP | 2.72 × 10−4 | 0.13 | |
| 149318699 | 3023828 | Kernel circularity | OP | 4.58 × 10−4 | 0.12 | |
| 3D | 762269 | 3385313|F|0-6 | Kernel length | HD | 8.41 × 10−4 | 0.10 |
| 112899800 | 1203228|F|0-45 | Kernel circularity | H | 1.01 × 10−3 | 0.11 | |
| 113047617 | 1122898|F|0-41 | Kernel circularity | H | 4.03 × 10−4 | 0.13 | |
| 4D | 27756435 | 1001438|F|0-46 | Kernel length | H | 1.09 × 10−3 | 0.10 |
| Kernel length | HD | 8.93 × 10−4 | 0.10 | |||
| 5D | 59337192 | 1099271|F|0-23 | Kernel weight | HD | 9.63 × 10−4 | 0.10 |
| 112083542 | 1091823|F|0-41 | Kernel weight | H | 9.80 × 10−4 | 0.10 | |
| 117708268 | 1072444 | Kernel size | HD | 8.30 × 10−4 | 0.09 | |
| 118171820 | 2244825 | Kernel size | H | 6.65 × 10−4 | 0.09 | |
| Kernel size | HD | 1.09 × 10−3 | 0.09 | |||
| Kernel perimeter length | HD | 5.62 × 10−4 | 0.09 | |||
| 119535444 | 991465 | Kernel weight | HD | 4.95 × 10−4 | 0.09 | |
| Kernel size | HD | 1.39 × 10−5 | 0.15 | |||
| Kernel length | HD | 7.49 × 10−4 | 0.09 | |||
| Kernel perimeter length | HD | 7.08 × 10−4 | 0.09 | |||
| 120017850 | 1201315|F|0-67 | Kernel diameter | HD | 4.98 × 10−4 | 0.13 | |
| 120914450 | 7351647|F|0-44 | Kernel size | HD | 4.90 × 10−4 | 0.11 | |
| 121111673 | 4910927 | Kernel weight | OP | 1.05 × 10−3 | 0.08 | |
| 138730779 | 1088488|F|0-27 | Kernel size | OP | 2.82 × 10−4 | 0.13 | |
| Kernel length | OP | 3.89 × 10−4 | 0.12 | |||
| Kernel perimeter length | OP | 1.69 × 10−4 | 0.13 | |||
| 139543900 | 5332404 | Kernel weight | H | 8.05 × 10−4 | 0.09 | |
| Kernel size | HD | 2.38 × 10−4 | 0.11 | |||
| 140397428 | 3955838|F|0-28 | Kernel size | HD | 6.41 × 10−4 | 0.12 | |
| 140551286 | 1101952 | Kernel size | HD | 2.07 × 10−4 | 0.12 | |
| 140719410 | 7350532 | Kernel size | HD | 5.78 × 10−4 | 0.09 | |
| 141061760 | 1087740 | Kernel size | HD | 2.32 × 10−4 | 0.11 | |
| 141600686 | 1215969 | Kernel size | HD | 6.05 × 10−5 | 0.12 | |
| 142135700 | 3941995 | Kernel size | HD | 4.32 × 10−4 | 0.13 | |
| 142429952 | 3946915 | Kernel size | HD | 1.08 × 10−3 | 0.09 | |
| 142680984 | 3954584 | Kernel size | HD | 6.87 × 10−5 | 0.13 | |
| 143115886 | 3026564 | Kernel size | HD | 7.86 × 10−5 | 0.13 | |
| 143728332 | 6041628 | Kernel size | HD | 6.01 × 10−5 | 0.12 | |
| 144829140 | 1398977|F|0-23 | Kernel weight | H | 6.45 × 10−4 | 0.11 | |
| Kernel size | HD | 6.21 × 10−5 | 0.17 | |||
| 145561848 | 6044286 | Kernel weight | H | 3.88 × 10−4 | 0.11 | |
| 145561848 | Kernel size | HD | 1.64 × 10−5 | 0.17 | ||
| 145561848 | 1696241 | Kernel size | HD | 5.62 × 10−4 | 0.09 | |
| 148482930 | 2257612|F|0-47 | Kernel size | HD | 4.10 × 10−4 | 0.09 | |
| 150113559 | 1073897|F|0-27 | Kernel size | OP | 8.53 × 10−4 | 0.08 | |
| Kernel size | H | 8.24 × 10−4 | 0.08 | |||
| Kernel size | HD | 2.54 × 10−4 | 0.09 | |||
| Kernel length | HD | 5.84 × 10−4 | 0.08 | |||
| Kernel perimeter length | HD | 3.56 × 10−4 | 0.09 | |||
| 151218934 | 1218899|F|0-6 | Kernel size | HD | 1.10 × 10−4 | 0.14 | |
| 158302411 | 1041586|F|0-42 | Kernel diameter | HD | 7.44 × 10−4 | 0.10 | |
| Kernel circularity | HD | 4.98 × 10−4 | 0.13 | |||
| 6D | 895318 | 5411945 | Kernel diameter | H | 1.06 × 10−3 | 0.08 |
| 15112276 | 1099241|F|0-17 | Kernel diameter | H | 2.01 × 10−4 | 0.13 | |
| 22055487 | 1019857|F|0-52 | Kernel diameter | H | 2.05 × 10−4 | 0.10 | |
| 176474631 | 1268158 | Kernel circularity | HD | 5.33 × 10−4 | 0.09 | |
| 7D | 196638923 | 5331548 | Kernel width | OP | 1.05 × 10−3 | 0.08 |
| Marker | Chromosome | Trait (Environment) | R2 | Gene | Protein | Function |
|---|---|---|---|---|---|---|
| 5357358 | 2A | Kernel size (OP), kernel perimeter length(OP) | 0.11 | TraesCS2A02G099400 | Basic-leucine zipper (bZIP) transcription factor family protein | Regulates seed maturation |
| 4407451 | 6A | Kernel weight (OP) | 0.10 | TraesCS6A02G056600 | Auxin-responsive protein | Regulates auxin |
| 4395641 | 6A | Kernel weight (OP), kernel diameter (OP) | 0.10 | TraesCS6A02G057300 | F-box domain-containing protein | Flower development, defense response |
| 2248796|F|0-42 | 5B | Kernel weight (HD), kernel size (HD) | 0.11 | TraesCS5B02G302400 | Aspartic proteinase nepenthesin-1 | Role in drought avoidance |
| 1076033|F|0-62 | 2D | Kernel width (HD) | 0.08 | TraesCS2D02G076500 | Heat shock protein Hsp20 domain-containing protein | Tolerance to biotic and abiotic stresses |
| 5332404 | 5D | Kernel weight (H), kernel size (HD) | 0.09 | TraesCS5D02G445100 | Heat stress transcription factor | Tolerance to environmental stress |
| 1073897|F|0-27 | 5D | Kernel size (OP, H, HD), kernel length (HD), kernel perimeter length (OP, HD) | 0.08 | TraesCS5D02G504400 | E3 ubiquitin–protein ligase | Regulates grain size and yield |
| 1398977|F|0-23 | 5D | Kernel weight (H) | 0.11 | TraesCS5D02G469900 | F-box domain-containing protein | Flower development, defense response |
Publisher’s Note: MDPI stays neutral with regard to jurisdictional claims in published maps and institutional affiliations. |
© 2021 by the authors. Licensee MDPI, Basel, Switzerland. This article is an open access article distributed under the terms and conditions of the Creative Commons Attribution (CC BY) license (http://creativecommons.org/licenses/by/4.0/).
Share and Cite
Elhadi, G.M.I.; Kamal, N.M.; Gorafi, Y.S.A.; Yamasaki, Y.; Takata, K.; Tahir, I.S.A.; Itam, M.O.; Tanaka, H.; Tsujimoto, H. Exploitation of Tolerance of Wheat Kernel Weight and Shape-Related Traits from Aegilops tauschii under Heat and Combined Heat-Drought Stresses. Int. J. Mol. Sci. 2021, 22, 1830. https://doi.org/10.3390/ijms22041830
Elhadi GMI, Kamal NM, Gorafi YSA, Yamasaki Y, Takata K, Tahir ISA, Itam MO, Tanaka H, Tsujimoto H. Exploitation of Tolerance of Wheat Kernel Weight and Shape-Related Traits from Aegilops tauschii under Heat and Combined Heat-Drought Stresses. International Journal of Molecular Sciences. 2021; 22(4):1830. https://doi.org/10.3390/ijms22041830
Chicago/Turabian StyleElhadi, Gamila Mohamed Idris, Nasrein Mohamed Kamal, Yasir Serag Alnor Gorafi, Yuji Yamasaki, Kanenori Takata, Izzat S. A. Tahir, Michel O. Itam, Hiroyuki Tanaka, and Hisashi Tsujimoto. 2021. "Exploitation of Tolerance of Wheat Kernel Weight and Shape-Related Traits from Aegilops tauschii under Heat and Combined Heat-Drought Stresses" International Journal of Molecular Sciences 22, no. 4: 1830. https://doi.org/10.3390/ijms22041830
APA StyleElhadi, G. M. I., Kamal, N. M., Gorafi, Y. S. A., Yamasaki, Y., Takata, K., Tahir, I. S. A., Itam, M. O., Tanaka, H., & Tsujimoto, H. (2021). Exploitation of Tolerance of Wheat Kernel Weight and Shape-Related Traits from Aegilops tauschii under Heat and Combined Heat-Drought Stresses. International Journal of Molecular Sciences, 22(4), 1830. https://doi.org/10.3390/ijms22041830

