The Puzzling Problem of Cardiolipin Membrane-Cytochrome c Interactions: A Combined Infrared and Fluorescence Study
Abstract
1. Introduction
2. Results
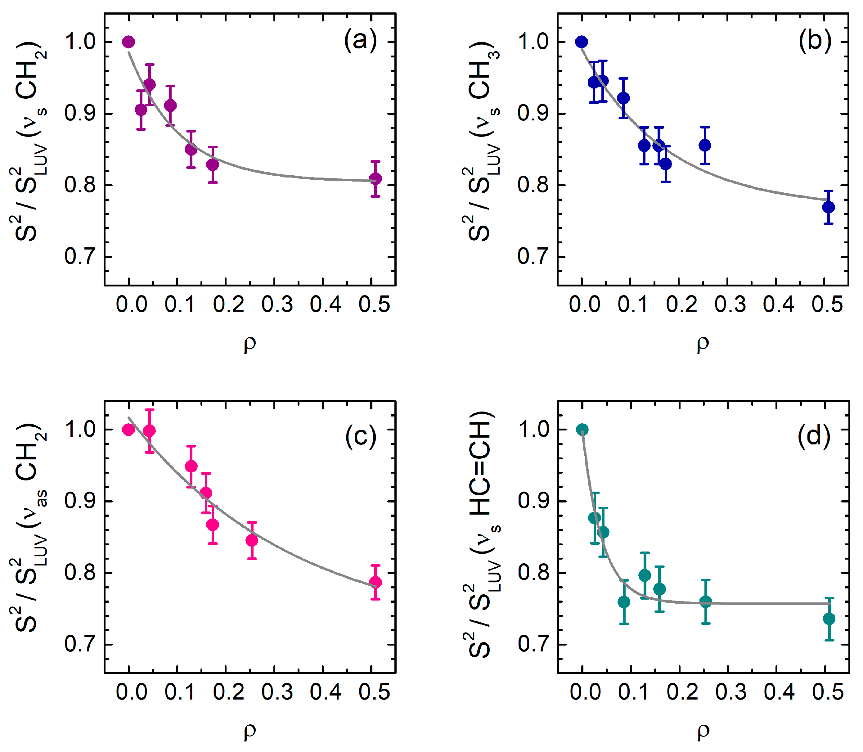
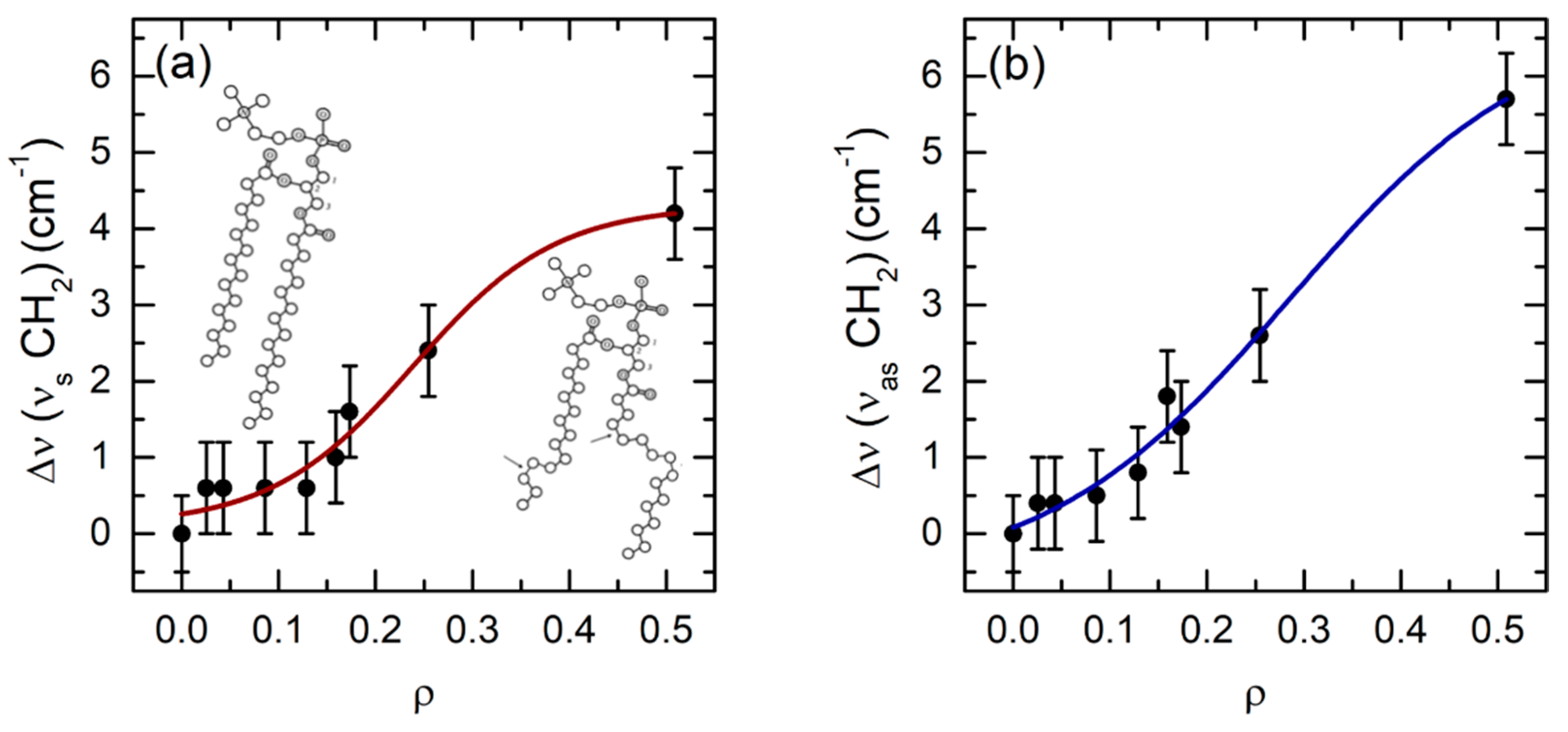
2.1. ATR-IR Spectroscopy
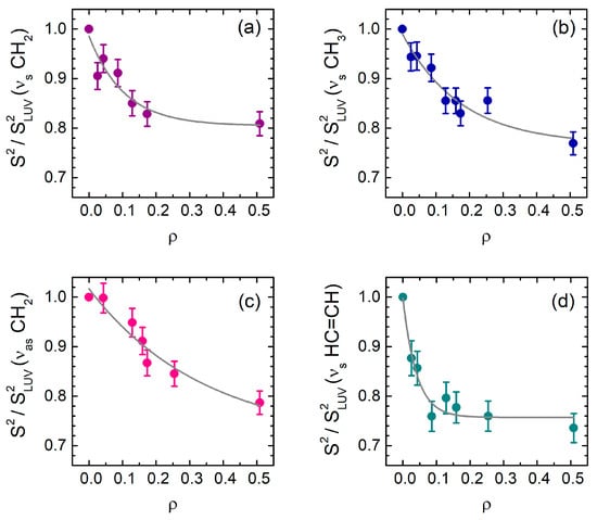
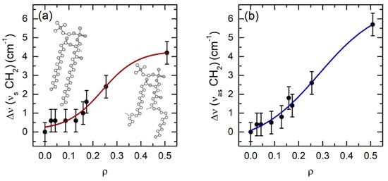
2.1.1. Spectra of the Acyl Chains
2.1.2. Spectra of the LUV Polar Heads
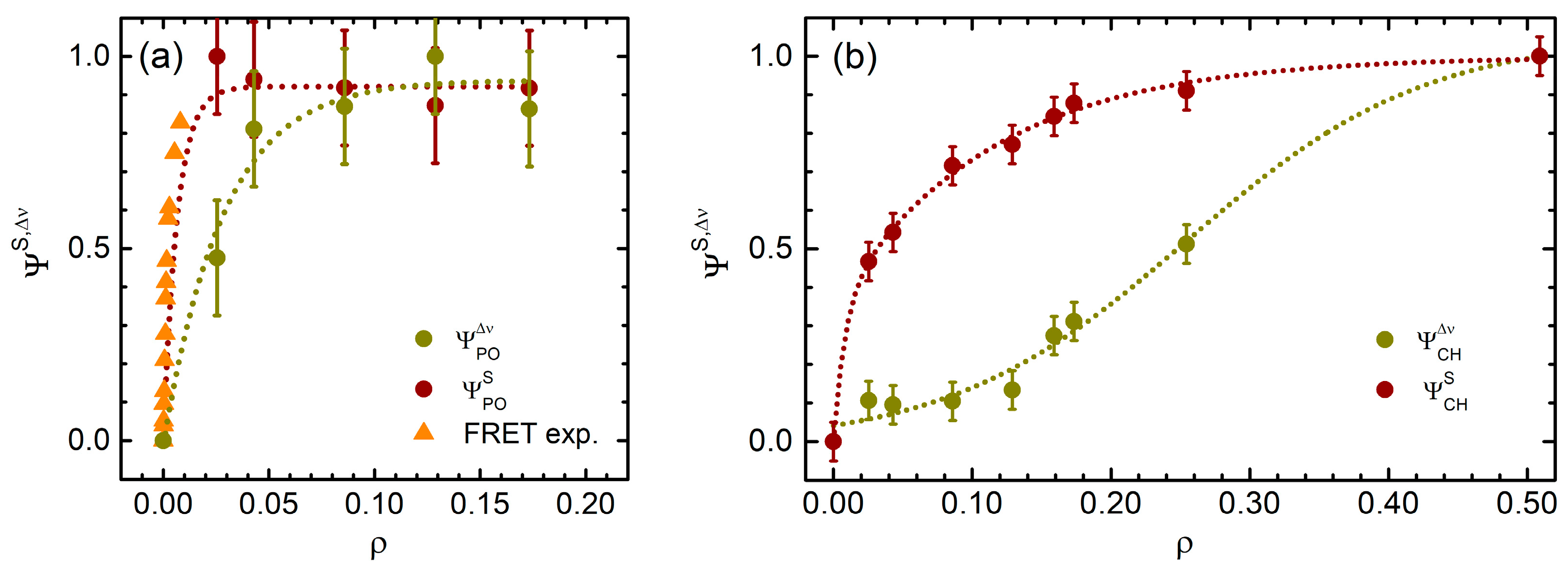
2.2. Fluorescence Spectroscopy
3. Discussion
4. Materials and Methods
4.1. Materials
4.2. Sample Preparation
4.3. ATR-IR Experiments and Data Analysis
4.4. Fluorescence Measurements and Data Analysis
5. Conclusions and Future Perspectives
Author Contributions
Funding
Institutional Review Board Statement
Informed Consent Statement
Data Availability Statement
Acknowledgments
Conflicts of Interest
Abbreviations
| CL | cardiolipin |
| cyt c | cytochrome-c |
| LUV | Large Unilamellar Vesicle |
| PBS | Phosphate Buffered Saline |
| ATR | Attenuated Total Reflectance |
| IR | Infrared |
| FRET | Fluorescence Resonance Energy Transfer |
| GP | general polarization |
References
- Sankaram, M.B.; Marsh, D. Protein-lipid interactions with peripheral membrane proteins. In New Comprehensive Biochemistry; Elsevier: Amsterdam, The Netherlands, 1993; Volume 25, pp. 127–162. [Google Scholar] [CrossRef]
- Liu, X.; Kim, C.N.; Yang, J.; Jemmerson, R.; Wang, X. Induction of apoptotic program in cell-free extracts: Requirement for dATP and cytochrome c. Cell 1996, 86, 147–157. [Google Scholar] [CrossRef]
- Kluk, R.M.; Bossy-Wetzel, E.; Green, D.R.; Newmeyer, D.D. The release of cytochrome c from mitochondria: A primary site for Bc1-2 regulation of apoptosis. Science 1997, 275, 1132–1136. [Google Scholar] [CrossRef] [PubMed]
- Skulachev, V.P. Cytochrome C in the apoptotic and antioxidant cascades. FEBS Lett. 1998, 423, 275–280. [Google Scholar] [CrossRef]
- Kagan, V.E.; Tyurin, V.A.; Jiang, J.; Tyurina, Y.Y.; Ritov, V.B.; Amoscato, A.A.; Osipov, A.N.; Belikova, N.A.; Kapralov, A.A.; Kini, V.; et al. Cytochrome c acts as a cardiolipin oxygenase required for release of proapoptotic factors. Nat. Chem. Biol. 2005, 1, 223–232. [Google Scholar] [CrossRef] [PubMed]
- Puchkov, M.N.; Vassarais, R.A.; Korepanova, E.A.; Osipov, A.N. Cytochrome c produces pores in cardiolipin-containing planar bilayer lipid membranes in the presence of hydrogen peroxide. Biochim. Biophys. Acta 2013, 1828, 208–212. [Google Scholar] [CrossRef]
- Rytömaa, M.; Mustonen, P.; Kinnunen, P.K.J. Reversible, nonionic and pH-dependent association of cytochrome c with cardiolipin phosphatidylcholine liposomes. J. Biol. Chem. 1992, 267, 22243–22248. [Google Scholar]
- Sinibaldi, F.; Howes, B.D.; Droghetti, E.; Polticelli, F.; Piro, M.C.; Di Pierro, D.; Fiorucci, L.; Coletta, M.; Smulevich, G.; Santucci, R. Role of lysines in cytochrome c-cardiolipin interaction. Biochemistry 2013, 52, 4578–4588. [Google Scholar] [CrossRef]
- Malyshka, D.; Schweitzer-Stenner, R. Ferrocyanide-mediated photoreduction of ferricytochrome C utilized to selectively probe non-native conformations induced by binding to cardiolipin-containing liposomes. Chem. Eur. J. 2017, 23, 1151–1156. [Google Scholar] [CrossRef]
- Pandiscia, L.A.; Schweitzer-Stenner, R. Coexistence of native-like and non-native cytochrome c on anionic liposomes with different cardiolipin content. J. Phys. Chem. B 2015, 119, 12846–12859. [Google Scholar] [CrossRef] [PubMed]
- Tuominen, E.K.J.; Wallace, C.J.A.; Kinnunen, P.K.J. Phospholipid-cytochrome c interaction. Evidence for the extended lipid anchorage. J. Biol. Chem. 2002, 277, 8822–8826. [Google Scholar] [CrossRef] [PubMed]
- Kalanxhi, E.; Wallace, C.J.A. Cytochrome c impaled: Investigation of the extended lipid anchorage of a soluble protein to mitochondrial membrane models. Biochem. J. 2007, 407, 179–187. [Google Scholar] [CrossRef] [PubMed]
- Sinibaldi, F.; Howes, B.D.; Piro, M.C.; Polticelli, F.; Bombelli, C.; Ferri, T.; Coletta, M.; Smulevich, G.; Santucci, R. Extended cardiolipin anchorage to cytochrome c: A model for protein-mitochondrial membrane binding. J. Biol. Inorg. Chem. 2010, 15, 689–700. [Google Scholar] [CrossRef] [PubMed]
- Oellerich, S.; Lecomte, S.; Paternostre, M.; Heimburg, T.; Hildebrandt, P. Peripheral and integral binding of cytochrome c to phospholipids vesicles. J. Phys. Chem. B 2004, 108, 3871–3878. [Google Scholar] [CrossRef]
- Sanghera, N.; Pinheiro, T.J.T. Unfolding and refolding of cytochrome c driven by the interaction with lipid micelles. Protein Sci. 2000, 9, 1194–1202. [Google Scholar] [CrossRef]
- Muenzner, J.; Pletneva, E.V. Structural transformations of cytochrome c upon interaction with cardiolipin. Chem. Phys. Lipids 2014, 179, 57–63. [Google Scholar] [CrossRef] [PubMed]
- Domanov, Y.A.; Molotkovsky, J.G.; Gorbenko, G.P. Biochim. Coverage-dependent changes of cytochrome c transverse location in phospholipid membranes revealed by FRET. Biochim. Biophys. Acta 2005, 1716, 49–58. [Google Scholar] [CrossRef][Green Version]
- Trusova, V.M.; Gorbenko, G.P.; Molotkovsky, J.G.; Kinnunen, P.K.J. Cytochrome c-lipid interactions: New insights from resonance energy transfer. Biophys. J. 2010, 99, 1754–1763. [Google Scholar] [CrossRef]
- De Kruijff, B.; Cullis, P.R. Cytochrome c specifically induces non-bilayer structures in cardiolipin-containing model membranes. Biochim. Biophys. Acta 1980, 602, 477–490. [Google Scholar] [CrossRef]
- Bergstrom, C.L.; Beales, P.A.; Lv, Y.; Vanderlick, T.K.; Groves, J.T. Cytochrome c causes pore formation in cardiolipin-containing membranes. Proc. Nat. Acad. Sci. USA 2013, 110, 6269–6274. [Google Scholar] [CrossRef]
- Szalontai, B.; Nishiyama, Y.; Gombos, Z.; Murata, N. Membrane dynamics as seen by Fourier Transform Infrared spectroscopy in a cyanobacterium, Synechocystis PCC 6803: The effects of lipid unsaturation and the protein-to-lipid ratio. Biochim. Biophys. Acta 2000, 1509, 409–419. [Google Scholar] [CrossRef]
- Balgoon, M.J.; Raouf, G.A.; Qusti, S.Y.; Ali, S.S. ATR-IR study of the mechanism of aluminum chloride induced alzheimer’s disease; curative and protective effect of Lipidium sativum water extract on hippocampus rats brain tissue. Int. J. Med. Health Biomed. Bioengi. Pharma. Eng. 2015, 9, 782–792. [Google Scholar]
- Ter-Minassian-Saraga, L.; Okamura, E.; Umemura, J.; Takenaka, T. Fourier transform infrared-attenuated total reflection spectroscopy of hydration of dimyristoylphosphatidylcholine multibilayers. Biochim. Biophys. Acta 1988, 946, 417–423. [Google Scholar] [CrossRef]
- Fringeli, U.P. The Structure of lipids and proteins studied by Attenuated Total Reflection (ATR) Infrared spectroscopy II. Oriented layers of a homologous series: Phosphatidylethanolamine to phosphatidylcholine. Z. für Nat. C 1977, 32, 20–45. [Google Scholar] [CrossRef] [PubMed]
- Malyshka, D.; Pandiscia, L.A.; Schweitzer-Stenner, R. Cardiolipin containing liposomes are fully ionized at physiological pH. An FT-IR study of phosphate group ionization. Vib. Spectr. 2014, 75, 86–92. [Google Scholar] [CrossRef]
- Hielscher, R.; Wenz, T.; Hunte, C.; Hellwig, P. Monitoring the redox and protonation dependent contributions of cardiolipin in electrochemically induced FTIR difference spectra of the cytochrome bc1 complex from yeast. Biochi. Biophys. Acta 2009, 1787, 617–625. [Google Scholar] [CrossRef]
- Güler, G.; Gärtner, R.M.; Ziegler, C.; Mäntele, W. Lipid-protein interactions in the regulated betaine symporter BetP probed by infrared spectroscopy. J. Biol. Chem. 2016, 291, 4295–4307. [Google Scholar] [CrossRef] [PubMed]
- Casal, H.L.; Mantsch, H.H.; Hauser, H. Infrared studies of fully hydrated saturated phosphatidylserine bilayers. Effect of lithium and calcium. Biochemistry 1987, 26, 4408–4416. [Google Scholar] [CrossRef] [PubMed]
- Zeng, L.; Wu, L.; Liu, L.; Jiang, X. The role of water distribution controlled by transmembrane potentials in the cytochrome c–cardiolipin interaction: Revealing from surface-enhanced infrared absorption spectroscopy. Chem. Eur. J. 2017, 23, 15491–15497. [Google Scholar] [CrossRef] [PubMed]
- Gorbenko, G.P.; Molotkovsky, J.G.; Kinnunen, P.K.J. Cytochrome c interaction with cardiolipin/ phosphatidylcholine model membranes: Effect of cardiolipin protonation. Biophys. J. 2006, 90, 4093–4103. [Google Scholar] [CrossRef]
- Rytömaa, M.; Kinnunen, P.K. Evidence for two distinct acidic phospholipid-binding sites in cytochrome c. J. Biol. Chem. 1994, 269, 1770–1774. [Google Scholar] [CrossRef]
- Parasassi, T.; De Stasio, G.; D’Ubaldo, A.; Gratton, E. Phase fluctuation in phospholipid membranes revealed by Laurdan fluorescence. Biophys. J. 1990, 57, 1179–1186. [Google Scholar] [CrossRef]
- Sanchez, S.A.; Tricerri, M.A.; Gratton, E. Laurdan generalized polarization fluctuations measures membrane packing micro-heterogeneity in vivo. Proc. Nat. Acad. Sci. USA 2012, 109, 7314–7319. [Google Scholar] [CrossRef] [PubMed]
- Schweitzer-Stenner, R. Relating the multi-functionality of cytochrome c to membrane binding and structural conversion. Biophys. Rev. 2018, 10, 1151–1185. [Google Scholar] [CrossRef] [PubMed]
- Kawai, C.; Pessoto, F.S.; Rodrigues, T.; Mugnol, K.C.U.; Tòrtora, V.; Castro, C.; Milìcchio, V.A.; Tersariol, I.L.S.; Di Mascio, P.; Radi, R.; et al. pH-sensitive binding of cytochrome c to the inner mitochondrial membrane. Implications for the participation of the protein in cell respiration and apoptosis. Biochemistry 2009, 48, 8335–8342. [Google Scholar] [CrossRef]
- Sinibaldi, F.; Fiorucci, L.; Patriarca, A.; Lauceri, R.; Ferri, T.; Coletta, M.; Santucci, R. Insights into cytochrome c-cardiolipin interaction. Role played by ionic strength. Biochemistry 2008, 47, 6928–6935. [Google Scholar] [CrossRef]
- Sinibaldi, F.; Droghetti, E.; Polticelli, F.; Piro, M.C.; Di Pierro, D.; Ferri, T.; Smulevich, G.; Santucci, R. The effects of ATP and sodium chloride on the cytochrome c–cardiolipin interaction: The contrasting behavior of the horse heart and yeast proteins. J. Inorg. Biochem. 2011, 105, 1365–1372. [Google Scholar] [CrossRef]
- Muenzner, J.; Toffey, J.R.; Hong, Y.; Pletneva, E.V. Becoming a peroxidase: Cardiolipin-induced unfolding of cytochrome c. J. Phys. Chem. B 2013, 117, 12878–12886. [Google Scholar] [CrossRef]
- Beltrán-Heredia, E.; Tsai, F.C.; Salinas-Almaguer, S.; Cao, F.J.; Bassereau, P.; Monroy, F. Membrane curvature induces cardiolipin sorting. Commun. Biol. 2019, 2, 225. [Google Scholar] [CrossRef]
- Rajagopal, B.S.; Silkstone, G.G.; Nicholls, P.; Wilson, M.T.; Worrall, J.A.R. An investigation into a cardiolipin acyl chain insertion site in cytochrome c. Biochim. Biophys. Acta 2012, 1817, 780–791. [Google Scholar] [CrossRef]
- Hong, Y.; Muenzner, J.; Grimm, S.K.; Pletneva, E.V. Origin of the conformational heterogeneity of cardiolipin-bound cytochrome c. J. Am. Chem. Soc. 2012, 134, 18713–18723. [Google Scholar] [CrossRef]
- Elmer-Dixon, M.M.; Xie, Z.; Alverson, J.B.; Priestley, N.D.; Bowler, B.E. Curvature-dependent binding of cytochrome c to cardiolipin. J. Am. Chem. Soc. 2020. [Google Scholar] [CrossRef] [PubMed]
- Heimburg, T.; Marsh, D. Investigation of secondary and tertiary structural changes of cytochrome c in complexes with anionic lipids using amide hydrogen exchange measurements: An FTIR study. Biophys. J. 1993, 65, 2408. [Google Scholar] [CrossRef]
- Lopes, D.H.J.; Meister, A.; Gohlke, A.; Hauser, A.; Blume, A.; Winter, R. Mechanism of islet amyloid polypeptide fibrillation at lipid interfaces studied by infrared reflection absorption spectroscopy. Biophys. J. 2007, 93, 3132–3141. [Google Scholar] [CrossRef] [PubMed]
- Pantusa, M.; Vad, B.; Lillelund, O.; Kjær, L.; Otzen, D.; Bartucci, R. Alpha-synuclein and familial variants affect the chain order and the thermotropic phase behavior of anionic lipid vesicles. Biochim. Biophys. Acta 2016, 1864, 1206–1214. [Google Scholar] [CrossRef]
- Choi, S.; Swanson, J.M. Interaction of cytochrome c with cardiolipin: An infrared spectroscopic study. Biophys. Chem. 1995, 54, 271–278. [Google Scholar] [CrossRef]
- Arrondo, J.L.R.; Goni, F.M. Infrared studies of protein-induced perturbation of lipids in lipoproteins and membranes. Chem. Phyis. Lipids 1998, 96, 53–68. [Google Scholar] [CrossRef]
- Engel, M.F.; Khemtémourian, L.; Kleijer, C.C.; Meeldijk, H.J.; Jacobs, J.; Verkleij, A.J.; De Kruijff, B.; Killian, J.A.; Höppener, J.W. Membrane damage by human islet amyloid polypeptide through fibril growth at the membrane. Proc. Nat. Acad. Sci. USA 2008, 105, 6033–6038. [Google Scholar] [CrossRef]
- Kitt, J.P.; Bryce, D.A.; Minteer, S.D.; Harris, J.M. Raman spectroscopy reveals selective interactions of cytochrome c with cardiolipin that correlate with membrane permeability. J. Am. Chem. Soc. 2017, 139, 3851–3860. [Google Scholar] [CrossRef]
- Agueci, F.; Polticelli, F.; Sinibaldi, F.; Piro, M.C.; Santucci, R.; Fiorucci, L. Probing the effect of mutations on cytochrome c stability. Protein Pept. Lett. 2007, 14, 335–339. [Google Scholar] [CrossRef]
- Sinibaldi, F.; Piro, M.C.; Howes, B.D.; Smulevich, G.; Ascoli, F.; Santucci, R. Rupture of the hydrogen bond linking two Ω-loops induces the molten globule state at neutral pH in cytochrome c. Biochemistry 2003, 42, 7604–7610. [Google Scholar] [CrossRef]
- Mayerhofer, T.G.; Popp, J. Quantitative evaluation of infrared absorbance spectra —Lorentz profile versus Lorentz oscillator. ChemPhysChem 2019, 20, 31–36. [Google Scholar] [CrossRef] [PubMed]
- Di Venere, A.; Mei, G.; Gilardi, G.; Rosato, N.; De Matteis, F.; McKay, R.; Gratton, E.; Finazzi Agrò, A. Resolution of the heterogeneous fluorescence in multi-tryptophan proteins: Ascorbate oxidase. Eur. J. Biochem. 1998, 257, 337–343. [Google Scholar] [CrossRef] [PubMed]
- Hille, J.D.; Donné-Op den Kelder, G.M.; Sauve, P.; de Haas, G.H.; Egmond, M.R. Physicochemical studies on the interaction of pancreatic phospholipase A2 with a micellar substrate analogue. Biochemistry 1981, 20, 4068–4073. [Google Scholar] [CrossRef] [PubMed]
- Heymann, J.B.; Zakharov, S.D.; Zhang, Y.L.; Cramer, W.A. Characterization of electrostatic and nonelectrostatic components of protein--membrane binding interactions. Biochemistry 1996, 35, 2717–2725. [Google Scholar] [CrossRef]
- Tatulian, S.A. Interfacial enzymes: Membrane binding, orientation, membrane insertion, and activity. Methods Enzymol. 2017, 583, 197–230. [Google Scholar] [CrossRef]
- Di Venere, A.; Nicolai, E.; Sinibaldi, F.; Di Pierro, D.; Caccuri, A.M.; Mei, G. Studying the TRAF2 binding to model membranes: The roles of subunits dissociation. Biotechnol. Appl. Biochem. 2018, 65, 38–45. [Google Scholar] [CrossRef]
- Lakowicz, J.R. Energy transfer. In Principles of Fluorescence Spectroscopy; Kluwer Academic/Plenum Publishers: New York, NY, USA, 1999; pp. 367–394. [Google Scholar]






Publisher’s Note: MDPI stays neutral with regard to jurisdictional claims in published maps and institutional affiliations. |
© 2021 by the authors. Licensee MDPI, Basel, Switzerland. This article is an open access article distributed under the terms and conditions of the Creative Commons Attribution (CC BY) license (http://creativecommons.org/licenses/by/4.0/).
Share and Cite
Ripanti, F.; Di Venere, A.; Cestelli Guidi, M.; Romani, M.; Filabozzi, A.; Carbonaro, M.; Piro, M.C.; Sinibaldi, F.; Nucara, A.; Mei, G. The Puzzling Problem of Cardiolipin Membrane-Cytochrome c Interactions: A Combined Infrared and Fluorescence Study. Int. J. Mol. Sci. 2021, 22, 1334. https://doi.org/10.3390/ijms22031334
Ripanti F, Di Venere A, Cestelli Guidi M, Romani M, Filabozzi A, Carbonaro M, Piro MC, Sinibaldi F, Nucara A, Mei G. The Puzzling Problem of Cardiolipin Membrane-Cytochrome c Interactions: A Combined Infrared and Fluorescence Study. International Journal of Molecular Sciences. 2021; 22(3):1334. https://doi.org/10.3390/ijms22031334
Chicago/Turabian StyleRipanti, Francesca, Almerinda Di Venere, Mariangela Cestelli Guidi, Martina Romani, Alessandra Filabozzi, Marina Carbonaro, Maria Cristina Piro, Federica Sinibaldi, Alessandro Nucara, and Giampiero Mei. 2021. "The Puzzling Problem of Cardiolipin Membrane-Cytochrome c Interactions: A Combined Infrared and Fluorescence Study" International Journal of Molecular Sciences 22, no. 3: 1334. https://doi.org/10.3390/ijms22031334
APA StyleRipanti, F., Di Venere, A., Cestelli Guidi, M., Romani, M., Filabozzi, A., Carbonaro, M., Piro, M. C., Sinibaldi, F., Nucara, A., & Mei, G. (2021). The Puzzling Problem of Cardiolipin Membrane-Cytochrome c Interactions: A Combined Infrared and Fluorescence Study. International Journal of Molecular Sciences, 22(3), 1334. https://doi.org/10.3390/ijms22031334

