4,6-Dichloro-5-Nitrobenzofuroxan: Different Polymorphisms and DFT Investigation of Its Reactivity with Nucleophiles
Abstract
:1. Introduction
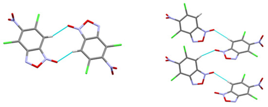
2. Results
3. Materials and Methods
3.1. General
3.2. Crystallographic Analyses
3.2.1. Crystallographic Data for 4,6-dichloro-5-nitrobenzo[c][1,2,5]oxadiazole 1-oxide (1a)
3.2.2. Crystallographic Data for 4,6-dichloro-5-nitrobenzo[c][1,2,5]oxadiazole 1-oxide (1b)
3.2.3. Crystallographic Data for 4-(butylamino)-6-chloro-5-nitrobenzo[c][1,2,5]oxadiazole 1-oxide (4a)
3.2.4. Crystallographic Data for 4-(benzyl(methyl)amino)-6-chloro-5-nitrobenzo[c][1,2,5]oxadiazole 1-oxide (4e)
3.2.5. Crystallographic Data for 6-chloro-5-nitro-4-(pyrrolidin-1-yl)benzo[c][1,2,5]oxadiazole 1-oxide (4g)
3.2.6. Crystallographic Data for 4-(3-carboxypropylamino)-6-chloro-5-nitrobenzo[c][1,2,5]oxadiazole 1-oxide (4l)
3.3. Computational Details
4. Conclusions
Supplementary Materials
Author Contributions
Funding
Institutional Review Board Statement
Informed Consent Statement
Data Availability Statement
Conflicts of Interest
References
- Cosimelli, B.; Guernelli, S.; Spinelli, D.; Buscemi, S.; Frenna, V.; Macaluso, G. On the Synthesis and Reactivity of the Z-2,4-Dinitrophenylhydrazone of 5-Amino-3-Benzoyl-1,2,4-Oxadiazole. J. Org. Chem. 2001, 66, 6124–6129. [Google Scholar] [CrossRef]
- D’Anna, F.; Frenna, V.; Macaluso, G.; Marullo, S.; Morganti, S.; Pace, V.; Spinelli, D.; Spisani, R.; Tavani, C. On the Rearrangement in Dioxane/water of (Z)-Arylhydrazones of 5-Amino-3-Benzoyl-1,2,4-Oxadiazole into (2-Aryl-5-Phenyl-2H-1,2,3-Triazol-4-yl)ureas: Substituent Effects on the Different Reaction Pathways. J. Org. Chem. 2006, 71, 5616–5624. [Google Scholar] [CrossRef]
- Micheletti, G.; Frenna, V.; Macaluso, G.; Boga, C.; Spinelli, D. Mononuclear Rearrangement of the Z-Phenylhydrazones of Some 3-Acyl-1,2,4-Oxadiazoles: Effect of Substituents on the Nucleophilic Character of the >C═N-NH-C6H5 Chain and on the Charge Density of N-2 of the 1,2,4-Oxadiazole Ring (Electrophilic Counterpart). J. Org. Chem. 2019, 84, 2462–2469. [Google Scholar] [CrossRef]
- Spinelli, D.; Mugnoli, A.; Andreani, A.; Rambaldi, M.; Frascari, S. A New Ring Transformation: Conversion of 6-p-Chlorophenyl-3-methyl-5-nitrosoimidazo[2,1-b]thiazole into 6-p-Chlorophenyl-8-Hydroxy-5-Methyl-3-Oxo-1,2,4-oxadiazolo[3,4-c][1,4-c]thiazine by the Action of Mineral Acids. J. Chem. Soc. Chem. Commun. 1992, 15, 1394–1395. [Google Scholar] [CrossRef]
- Dell’Erba, C.; Spinelli, D. Thiophene series—VI: Substituent Effect on the Rate of Nucleophilic Substitution: Kinetics of the Reaction between 2-Bromo-3-Nitro-5-X-Thiophenes and Piperidine in Ethanol. Tetrahedron 1965, 21, 1061–1066. [Google Scholar] [CrossRef]
- Spinelli, D.; Guanti, G.; Dell’Erba, C. Transmission of Substituent Effects in Systems with Bonds of Different Order. Kinetics of the Reactions of 3-Bromo-2-Nitro-4-X-Thiophens and 3-Bromo-4-Nitro-2-X-Thiophens with Sodium Benzenethiolate in Methanol. J. Chem. Soc. Perkin Trans. 1972, 2, 441–445. [Google Scholar] [CrossRef]
- Chugunova, E.; Frenna, V.; Consiglio, G.; Micheletti, G.; Boga, C.; Akylbekov, N.; Burilov, A.; Spinelli, D. On the Nucleophilic Reactivity of 4,6-Dichloro-5-Nitrobenzofuroxan with Some Aliphatic and Aromatic Amines: Selective Nucleophilic Substitution. J. Org. Chem. 2020, 85, 13472–13480. [Google Scholar] [CrossRef]
- Dell’Erba, C.; Spinelli, D.; Leandri, G. Ring-Opening Reaction in the Thiophen Series: Reaction between 3,4-Dinitrothiophen and Secondary Amines. J. Chem. Soc. D Chem. Commun. 1969, 9, 549. [Google Scholar] [CrossRef]
- Petrillo, G.; Benzi, A.; Bianchi, L.; Maccagno, M.; Pagano, A.; Tavani, C.; Spinelli, D. Recent advances in the use of conjugated nitro or dinitro-1,3-butadienes for the synthesis of heterocycles. Tetrahedron Lett. 2020, 61, 152297. [Google Scholar] [CrossRef]
- Spinelli, D.; Zanirato, P. On the Chemical, NMR and Kinetic Properties of 2-Azido- and 3-Azidothiophene. J. Chem. Soc. Perkin Trans. 1993, 2, 1129–1133. [Google Scholar] [CrossRef]
- Attanasi, O.A.; Favi, G.; Filippone, P.; Giorgi, G.; Mantellini, F.; Moscatelli, G.; Spinelli, D. Flexible Protocol for the Chemo- and Regioselecive Building of Pyrroles and Pyrazoles by Reactions of Dianishefsky’s Dienes with 1,2-Diaza-1,3-butadienes. Org. Lett. 2008, 10, 1983–1986. [Google Scholar] [CrossRef]
- Rakib, E.M.; Boga, C.; Calvaresi, M.; Chigr, M.; Franchi, P.; Gualandi, I.; Ihammi, A.; Lucarini, M.; Micheletti, G.; Spinelli, D.; et al. A Multidisciplinary Study of Chemico-Physical Properties of Different Classes of 2-Aryl-5(or 6)-Nitrobenzimidazoles: NMR, Electrochemical Behavior, ESR, and DFT Calculations. Arab. J. Chem. 2021, 14, 103179. [Google Scholar] [CrossRef]
- Deplano, A.; Karlsson, J.; Svensson, M.; Moraca, F.; Catalanotti, B.; Fowler, C.J.; Onnis, V. Exploring the fatty acid amide hydrolase and cyclooxygenase inhibitory properties of novel amide derivatives of ibuprofen. J. Enzyme Inhib. Med. Chem. 2020, 35, 815–823. [Google Scholar] [CrossRef] [Green Version]
- Baldisserotto, A.; Demurtas, M.; Lampronti, I.; Tacchini, M.; Moi, D.; Balboni, G.; Vertuani, S.; Manfredini, S.; Onnis, V. In-Vitro Evaluation of Antioxidant, Antiproliferative and Photo-Protective Activities of Benzimidazolehydrazone Derivatives. Pharmaceuticals 2020, 13, 68. [Google Scholar] [CrossRef] [Green Version]
- Clemente, F.; Matassini, C.; Giachetti, S.; Goti, A.; Morrone, A.; Martínez-Bailén, M.; Orta, S.; Merino, P.; Cardona, F. Piperidine Azasugars Bearing Lipophilic Chains: Stereoselective Synthesis and Biological Activity as Inhibitors of Glucocerebrosidase (GCase). J. Org. Chem. 2021, 86, 12745–12761. [Google Scholar] [CrossRef]
- Carosati, E.; Cosimelli, B.; Ioan, P.; Severi, E.; Katneni, K.; Chiu, F.C.; Saponara, S.; Fusi, F.; Frosini, M.; Matucci, R.; et al. Understanding Oxadiazolothiazinone Biological Properties: Negative Inotropic Activity versus Cytochrome P450-Mediated Metabolism. J. Med. Chem. 2016, 59, 3340–3352. [Google Scholar] [CrossRef] [Green Version]
- Dell’Erba, C.; Chiavarina, B.; Fenoglio, C.; Petrillo, G.; Cordazzo, C.; Boncompagni, E.; Spinelli, D.; Ognio, E.; Aiello, C.; Mariggiò, M.A.; et al. Inhibition of Cell Proliferation, Cytotoxicity and Induction of Apoptosis of 1,4-bis(1-Naphthyl)-2,3-dinitro-1,3-butadiene in Gastrointestinal Tumor Cell Lines and Preliminary Evaluation of Its Toxicity in vivo. Pharmacol. Res. 2005, 52, 271–282. [Google Scholar] [CrossRef]
- Viale, M.; Cordazzo, C.; de Totero, D.; Budriesi, R.; Rosano, C.; Leoni, A.; Ioan, P.; Aiello, C.; Croce, M.; Andreani, A.; et al. Inhibition of MDR1 Activity and Induction of Apoptosis by Analogues of Nifedipine and Diltiazem: An in vitro Analysis. Investig. New Drugs 2011, 29, 98–109. [Google Scholar] [CrossRef]
- Blakemore, D.C.; Castro, L.; Churcher, I.; Rees, D.C.; Thomas, A.W.; Wilson, D.M.; Wood, A. Organic synthesis provides opportunities to transform drug discovery. Nat. Chem. 2018, 10, 383–394. [Google Scholar] [CrossRef]
- Fedorowicz, J.; Sączewski, J.; Konopacka, A.; Waleron, K.; Lejnowski, D.; Ciura, K.; Tomašič, T.; Skok, Ž.; Savijoki, K.; Morawska, M.; et al. Synthesis and Biological Evaluation of Hybrid Quinolone-Based Quaternary Ammonium Antibacterial Agents. Eur. J. Med. Chem. 2019, 179, 576–590. [Google Scholar] [CrossRef]
- Dai, J.; Dan, W.; Zhang, Y.; Wang, J. Recent Developments on Synthesis and Biological Activities of γ-Carboline. Eur. J. Med. Chem. 2018, 157, 447–461. [Google Scholar] [CrossRef]
- Totobenazara, J.; Burke, A.J. New Click-Chemistry Methods for 1,2,3-Triazoles Synthesis: Recent Advances and Applications. Tetrahedron Lett. 2015, 56, 2853–2859. [Google Scholar] [CrossRef]
- Serkov, I.V.; Chugunova, E.A.; Burilov, A.R.; Bachurin, S.O. Synthesis of Amino Acid Derivatives of Benzofuroxan. Dokl. Chem. 2013, 450, 149–151. [Google Scholar] [CrossRef]
- Micheletti, G.; Iannuzzo, L.; Calvaresi, M.; Bordoni, S.; Telese, D.; Chugunova, E.; Boga, C. Intriguing Enigma of Nitrobenzofuroxan’s “Sphinx”: Boulton-Katritzky Rearrangement or Unusual Evidence of the N-1/N-3-Oxide Rearrangement? RSC Adv. 2020, 10, 34670–34680. [Google Scholar] [CrossRef]
- Micheletti, G.; Boga, C.; Pafundi, M.; Pollicino, S.; Zanna, N. New electron-donor and -acceptor architectures from benzofurazans and sym-triaminobenzenes: Intermediates, products and an unusual nitro group shift. Org. Biomol. Chem. 2016, 14, 768–776. [Google Scholar] [CrossRef]
- Micheletti, G.; Boga, C. Nucleophile/Electrophile Combinations in Aromatic Substitution: From Wheland to Wheland-Meisenheimer Intermediates Using Strongly Activated Arenes. Synthesis 2017, 49, 3347–3356. [Google Scholar] [CrossRef]
- Chugunova, E.; Boga, C.; Sazykin, I.; Cino, S.; Micheletti, G.; Mazzanti, A.; Sazykina, M.; Burilov, A.; Khmelevtsova, L.; Kostina, N. Synthesis and antimicrobial activity of novel structural hybrids of benzofuroxan and benzothiazole derivatives. Eur. J. Med. Chem. 2015, 93, 349–359. [Google Scholar] [CrossRef] [PubMed]
- Chugunova, E.A.; Sazykina, M.A.; Gibadullina, E.M.; Burilov, A.R.; Sazykin, I.S.; Chistyakov, V.A.; Timasheva, R.E.; Krivolapov, D.B.; Goumont, R. Synthesis, Genotoxicity and UV-Protective Ac-tivity of New Benzofuroxans Substituted by Aromatic Amines. Lett. Drug Des. Discov. 2013, 10, 145–154. [Google Scholar] [CrossRef]
- Fernandes, G.F.S.; Campos, D.L.; Da Silva, I.C.; Prates, J.L.B.; Pavan, A.R.; Pavan, F.R.; Dos Santos, J.L. Benzofuroxan Derivatives as Potent Agents against Multidrug-Resistant Mycobacterium Tuberculosis. ChemMedChem 2021, 16, 1268–1282. [Google Scholar] [CrossRef]
- Cerecetto, H.; Porcal, W. Pharmacological Properties of Furoxans and Benzofuroxans: Recent Developments. Mini Rev. Med. Chem. 2005, 5, 57–71. [Google Scholar] [CrossRef]
- Jorge, S.D.; Masunari, A.; Rangel-Yagui, C.O.; Pasqualoto, K.F.M.; Tavares, L.C. Design, Synthesis, Antimicrobial Activity and Molecular Modeling Studies of Novel Benzofuroxan Derivatives against Staphylococcus Aureus. Bioorg. Med. Chem. 2009, 17, 3028–3036. [Google Scholar] [CrossRef]
- Galkina, I.V.; Tudriy, E.V.; Bakhtiyarova, Y.V.; Usupova, L.M.; Shulaeva, M.P.; Pozdeev, O.K.; Egorova, S.N.; Galkin, V.I. Synthesis and Antimicrobial Activity of Bis-4,6-Sulfonamidated 5,7-Dinitrobenzofuroxans. J. Chem. 2014, 2014, 367351. [Google Scholar] [CrossRef]
- Wang, L.; Zhang, Y.-Y.; Wang, L.; Liu, F.; Cao, L.-L.; Yang, J.; Qiao, C.; Ye, Y. Benzofurazan Derivatives as Antifungal Agents against Phytopathogenic Fungi. Eur. J. Med. Chem. 2014, 80, 535–542. [Google Scholar] [CrossRef]
- Rosas-García, N.M.; Herrera-Mayorga, V.; Mireles-Martínez, M.; Villegas-Mendoza, J.M.; Rivera, G. Toxic Activity of N-Oxide Derivatives Against Three Mexican Populations of Spodoptera Frugiperda. Southwest. Entomol. 2014, 39, 717–726. [Google Scholar] [CrossRef]
- Dos Santos Petry, L.; Pillar Mayer, J.C.; de Giacommeti, M.; Teixeira de Oliveira, D.; Razia Garzon, L.; Martiele Engelmann, A.; Magalhães de Matos, A.F.I.; Dellaméa Baldissera, M.; Dornelles, L.; Melazzo de Andrade, C.; et al. In Vitro and In Vivo Trypanocidal Activity of a Benzofuroxan Derivative against Trypanosoma Cruzi. Exp. Parasitol. 2021, 226–227, 108125. [Google Scholar] [CrossRef]
- Visentin, S.; Amiel, P.; Fruttero, R.; Boschi, D.; Roussel, C.; Giusta, L.; Carbone, E.; Gasco, A. Synthesis and Voltage-Clamp Studies of Methyl Racemates and Enantiomers and of Their Benzofuroxanyl Analogues. J. Med. Chem. 1999, 42, 1422–1427. [Google Scholar] [CrossRef]
- Severina, I.S.; Axenova, L.N.; Veselovsky, A.V.; Pyatakova, N.V.; Buneeva, O.A.; Ivanov, A.S.; Medvedev, A.E. Nonselective Inhibition of Monoamine Oxidases A and B by Activators of Soluble Guanylate Cyclase. Biochemistry 2003, 68, 1048–1054. [Google Scholar] [CrossRef]
- Cerecetto, H.; Gonzalez, M. Benzofuroxan and Furoxan. Chemistry and Biology. In Bioactive Heterocycles IV. Topics in Heterocyclic Chemistry; Khan, M.T.H., Ed.; Springer: Berlin/Heidelberg, Germany, 2007; Volume 10, pp. 265–308. [Google Scholar] [CrossRef]
- Ferreira, A.K.; Pasqualoto, K.F.M.; Kruyt, F.A.E.; Palace-Berl, F.; Azevedo, R.A.; Turra, K.M.; Rodrigues, C.P.; Ferreira, A.C.F.; Salomon, M.A.C.; de Sa Junior, P.L.; et al. BFD-22 a New Potential Inhibitor of BRAF Inhibits the Metastasis of B16F10 Melanoma Cells and Simultaneously Increased the Tumor Immunogenicity. Toxicol. Appl. Pharmacol. 2016, 295, 56–67. [Google Scholar] [CrossRef]
- Smolobochkin, A.; Gazizov, A.; Sazykina, M.; Akylbekov, N.; Chugunova, E.; Sazykin, I.; Gildebrant, A.; Voronina, J.; Burilov, A.; Karchava, S.; et al. Synthesis of Novel 2-(Het)arylpyrrolidine Derivatives and Evaluation of Their Anticancer and Anti-Biofilm Activity. Molecules 2019, 24, 3086. [Google Scholar] [CrossRef] [Green Version]
- Chugunova, E.A.; Voloshina, A.D.; Mukhamatdinova, R.E.; Serkov, I.V.; Proshin, A.N.; Gibadullina, E.M.; Burilov, A.R.; Kulik, N.V.; Zobov, V.V.; Krivolapov, D.B.; et al. The Study of the Biological Activity of Amino-Substituted Benzofuroxans. Lett. Drug Des. Discov. 2014, 11, 502–512. [Google Scholar] [CrossRef]
- Murad, F. Nitric Oxide: The Coming of the Second Messenger. Rambam Maimonides Med. J. 2011, 2, e0038. [Google Scholar] [CrossRef] [Green Version]
- Bryan, N.S. Nitric Oxide Enhancement Strategies. Futur. Sci. OA 2015, 1, FSO48. [Google Scholar] [CrossRef] [PubMed] [Green Version]
- Serafim, R.A.M.; Primi, M.C.; Trossini, G.H.G.; Ferreira, E.I. Nitric Oxide: State of the Art in Drug Design. Curr. Med. Chem. 2012, 19, 386–405. [Google Scholar] [CrossRef]
- Miller, M.R.; Megson, I.L. Recent Developments in Nitric Oxide Donor Drugs. Br. J. Pharmacol. 2007, 151, 305–321. [Google Scholar] [CrossRef] [PubMed] [Green Version]
- Zhang, H.; Wang, X.; Mao, J.; Huang, Y.; Xu, W.; Duan, Y.; Zhang, J. Synthesis and Biological Evaluation of Novel Benzofuroxan-Based Pyrrolidine Hydroxamates as Matrix Metalloproteinase Inhibitors with Nitric Oxide Releasing Activity. Bioorg. Med. Chem. 2018, 26, 4363–4374. [Google Scholar] [CrossRef]
- Medana, C.; Di Stilo, A.; Visentin, S.; Fruttero, R.; Gasco, A.; Ghigo, D.; Bosia, A. NO Donor and Biological Properties of Different Benzofuroxans. Pharm. Res. 1999, 16, 956–960. [Google Scholar] [CrossRef]
- Schiefer, I.T.; VandeVrede, L.; Fa’, M.; Arancio, O.; Thatcher, G.R.J. Furoxans (1,2,5 Oxadiazole-N-Oxides) as Novel NO Mimetic Neuroprotective and Procognitive Agents. J. Med. Chem. 2012, 55, 3076–3087. [Google Scholar] [CrossRef] [Green Version]
- Sarlauskas, J.; Anusevicius, Z.; Misiūnas, A. Benzofuroxan (Benzo[1,2-c]1,2,5-Oxadiazole N-Oxide) Derivatives as Potential Energetic Materials: Studies on Their Synthesis and Properties. Cent. Eur. J. Energ. Mater. 2012, 9, 365–385. [Google Scholar] [CrossRef]
- Lima, L.M.; Amaral, D.N.D. Beirut Reaction and Its Application in the Synthesis of Quinoxaline-N,N’-Dioxides Bioactive Compounds. Rev. Virtual Química 2013, 5, 1075–1100. [Google Scholar] [CrossRef]
- Chugunova, E.; Samsonov, V.; Gerasimova, T.; Rybalova, T.; Bagryanskaya, I. Synthesis and Some Properties of 2H-Benzimidazole 1,3-Dioxides. Tetrahedron 2015, 71, 7233–7244. [Google Scholar] [CrossRef]
- Chugunova, E.A.; Akylbekov, N.I.; Appazov, N.O.; Makhrus, E.M.; Burilov, A.R. Synthesis of the First Tertiary Ammonium Derivative of 6-Chloro-5-Nitrobenzofuroxan. Russ. J. Org. Chem. 2016, 52, 920–921. [Google Scholar] [CrossRef]
- Gibadullina, E.M.; Chugunova, E.A.; Mironova, E.V.; Krivolapov, D.B.; Burilov, A.; Yusupova, L.M.; Pudovik, M.A. Reaction of 4,6-Dichloro-5-Nitrobenzofuroxan with Aromatic Amines and Nitrogen-Containing Heterocycles. Chem. Heterocycl. Compd. 2012, 48, 1228–1234. [Google Scholar] [CrossRef]
- Frenna, V.; Vivona, N.; Spinelli, D.; Consiglio, G. Amine Basicities in Benzene and in Water. J. Chem. Soc. Perkin Trans. 1985, 2, 1865–1868. [Google Scholar] [CrossRef]
- Hall, N.F.; Marshall, R.; Sprinkle, M.R. Relations between the Structure and Strength of Certain Organic Bases in Aqueous Solution. J. Am. Chem. Soc. 1932, 54, 3469–3485. [Google Scholar] [CrossRef]
- Graham Solomon, T.W.; Fryhle, C.B. Organic Chemistry, 7th ed.; John Wiley & Sons: New York, NY, USA, 2000; p. 946. [Google Scholar]
- Hall, H.K., Jr. Correlations of the Base Strengths of Amines. J. Am. Chem. Soc. 1957, 79, 5441–5444. [Google Scholar] [CrossRef]
- Mayr, H.; Patz, M. Scales of Nucleophilicity and Electrophilicity: A System for Ordering Polar Organic and Organometallic Reactions. Angew. Chem. Int. Ed. Engl. 1994, 33, 938–957. [Google Scholar] [CrossRef]
- Ito, M.; Ikumi, A. Diphenylamine Compound and Method for Producing Same. EU Patent EP2792667A1, 22 October 2014. [Google Scholar]
- Matsuo, M.; Taniguchi, K.; Katsura, Y.; Kamitani, T.; Ueda, I. New 2-aryliminoimidazolidines. I. Synthesis and antihypertensive properties of 2-(2-phenoxyphenylimino) imidazolidines and related compounds. Chem. Pharm. Bull. 1985, 33, 4409–4421. [Google Scholar] [CrossRef] [PubMed] [Green Version]
- Capon, B.; Chapman, N.B. 122. Nucleophilic displacement reactions in aromatic systems. Part VI. Influence of nuclear alkyl groups in the aromatic system. Kinetic of the reactions of chlorodinitrotoluenes and related compounds with piperidine, aniline and ethoxide ions in ethanol, and with methoxide ions in methanol. J. Chem. Soc. 1957, 74, 600–609. [Google Scholar] [CrossRef]
- Bunnett, J.F.; Garbisch, E.W., Jr.; Pruitt, K.M. The “Element Effect” as a Criterion of Mechanism in Activated Aromatic Nucleophilic Substitution Reactions. J. Am. Chem. Soc. 1957, 79, 385–391. [Google Scholar] [CrossRef]
- Bird, C.W. A New Aromaticity Index and its Application to Five-membered Ring Heterocycles. Tetrahedron 1985, 41, 1409–1414. [Google Scholar] [CrossRef]
- Bird, C.W. Heteroaromaticity. 5. A Unified Aromaticity Index. Tetrahedron 1992, 48, 335–340. [Google Scholar] [CrossRef]
- Bird, C.W. Heteroaromaticity. 8. The influence of N-oxide formation on heterocyclic aromaticity. Tetrahedron 1993, 49, 8441–8448. [Google Scholar] [CrossRef]
- Ojala, C.R.; Ojala, W.H.; Britton, D.; Gougoutas, J.Z. Packing Similarities of Three Isosteric Molecules: 4,5-Dichlorophthalic Anhydride, 4,5-Dibromophthalic Anhydride and 5,6-Dichlorobenzfurazan 1-Oxide, Including Three Polymorphs of 5,6-Dichlorobenzfurazan 1-Oxide. Acta Crystallogr. B 1999, 55, 530–542. [Google Scholar] [CrossRef] [Green Version]
- Pink, M.; Britton, D. 5-Chloro- and 5-Bromobenzofurazan 1-Oxide Revisited. Acta Cryst. B 2002, 58, 116–124. [Google Scholar] [CrossRef] [PubMed]
- Britton, D.; Mallory, F.B.; Mallory, C.W. The Crystal Packing of 4,7-Dichloro- and 4,7-Dibromobenzo[c]furazan 1-Oxide. Acta Cryst. Commun. 2002, 58, O235–O238. [Google Scholar] [CrossRef] [Green Version]
- Britton, D.; Noland, W.E.; Clark, C.M. 5-Iodobenzofurazan 1-Oxide: Polymorphs, Pseudosymmetry and Disorder. Acta Cryst. Commun. 2008, 64, o187–o190. [Google Scholar] [CrossRef]
- Britton, D.; Young, V.G.J.; Noland, W.E.; Pinnow, M.J.; Clark, C.M. Four Polymorphs (Polytypes) of 5,6-Dimethylbenzofurazan 1-Oxide. Acta Cryst. B 2012, 68, 536–542. [Google Scholar] [CrossRef]
- Berner, O.M.; Tedeschi, L.; Enders, D. Asymmetric Michael Additions to Nitroalkenes. Eur. J. Org. Chem. 2002, 12, 1877–1894. [Google Scholar] [CrossRef]
- APEX2 (Version 2.1). SAINTPlus. Data Reduction and Correction Program (Version 7.31A); Bruker Advanced X-Ray Solutions; BrukerAXS Inc.: Madison, WI, USA, 2006. [Google Scholar]
- Sheldrick, G.M. Program for Empirical X-Ray Absorption Correction, Bruker-Nonius; SADABS: Madison, WI, USA, 1990. [Google Scholar]
- Sheldrick, G.M. SHELX Programs. Acta Cryst. 2015, C71, 3–8. [Google Scholar] [CrossRef]
- Frisch, M.J.; Trucks, G.W.; Schlegel, H.B.; Scuseria, G.E.; Robb, M.A.; Cheeseman, J.R.; Scalmani, G.; Barone, V.; Petersson, G.A.; Nakatsuji, H.; et al. Gaussian 16, Revision, C.01; Gaussian Inc.: Wallingford, CT, USA, 2016. [Google Scholar]
- Zhao, Y.; Truhlar, D.G. The M06 Suite of Density Functionals for Main Group Thermochemistry, Thermochemical Kinetics, Non-covalent Interactions, Excited States, and Transition Elements: Two New Functionals and Systematic Testing of Four M06-Class Functionals and 12 Other Functionals. Theor. Chem. Acc. 2008, 120, 215–241. [Google Scholar] [CrossRef] [Green Version]
- Frisch, M.J.; Pople, J.A.; Binkley, J.S. Self-Consistent Molecular-Orbital Methods. 25. Supplementary Functions for Gaussian-Basis Sets. J. Chem. Phys. 1984, 80, 3265–3269. [Google Scholar] [CrossRef]
- Tomasi, J.; Mennucci, B.; Cammi, R. Quantum Mechanical Continuum Solvation Models. Chem. Rev. 2005, 105, 2999–3093. [Google Scholar] [CrossRef] [PubMed]
















| d(C4–C5) [Å] | d(C5–NNO2) [Å] | |
|---|---|---|
| RC | 1.36 | 1.48 |
| TS1 | 1.39 | 1.46 |
| IC | 1.49 | 1.38 |
| TS2 | 1.50 | 1.39 |
| PC | 1.41 | 1.45 |
Publisher’s Note: MDPI stays neutral with regard to jurisdictional claims in published maps and institutional affiliations. |
© 2021 by the authors. Licensee MDPI, Basel, Switzerland. This article is an open access article distributed under the terms and conditions of the Creative Commons Attribution (CC BY) license (https://creativecommons.org/licenses/by/4.0/).
Share and Cite
Chugunova, E.; Akylbekov, N.; Dobrynin, A.; Burilov, A.; Boga, C.; Micheletti, G.; Frenna, V.; Mattioli, E.J.; Calvaresi, M.; Spinelli, D. 4,6-Dichloro-5-Nitrobenzofuroxan: Different Polymorphisms and DFT Investigation of Its Reactivity with Nucleophiles. Int. J. Mol. Sci. 2021, 22, 13460. https://doi.org/10.3390/ijms222413460
Chugunova E, Akylbekov N, Dobrynin A, Burilov A, Boga C, Micheletti G, Frenna V, Mattioli EJ, Calvaresi M, Spinelli D. 4,6-Dichloro-5-Nitrobenzofuroxan: Different Polymorphisms and DFT Investigation of Its Reactivity with Nucleophiles. International Journal of Molecular Sciences. 2021; 22(24):13460. https://doi.org/10.3390/ijms222413460
Chicago/Turabian StyleChugunova, Elena, Nurgali Akylbekov, Alexey Dobrynin, Alexander Burilov, Carla Boga, Gabriele Micheletti, Vincenzo Frenna, Edoardo Jun Mattioli, Matteo Calvaresi, and Domenico Spinelli. 2021. "4,6-Dichloro-5-Nitrobenzofuroxan: Different Polymorphisms and DFT Investigation of Its Reactivity with Nucleophiles" International Journal of Molecular Sciences 22, no. 24: 13460. https://doi.org/10.3390/ijms222413460
APA StyleChugunova, E., Akylbekov, N., Dobrynin, A., Burilov, A., Boga, C., Micheletti, G., Frenna, V., Mattioli, E. J., Calvaresi, M., & Spinelli, D. (2021). 4,6-Dichloro-5-Nitrobenzofuroxan: Different Polymorphisms and DFT Investigation of Its Reactivity with Nucleophiles. International Journal of Molecular Sciences, 22(24), 13460. https://doi.org/10.3390/ijms222413460

