Electrochemical Performance of Na3V2(PO4)2F3 Electrode Material in a Symmetric Cell
Abstract
:1. Introduction
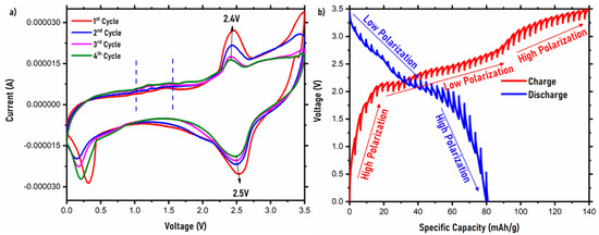
2. Results and Discussion
3. Experimental
3.1. Materials Preparation
3.2. Structural, Compositional, and Thermal Characterization
3.3. Electrode and Cell Fabrication
3.4. Electrochemical Measurements
4. Conclusions
Supplementary Materials
Author Contributions
Funding
Institutional Review Board Statement
Informed Consent Statement
Data Availability Statement
Acknowledgments
Conflicts of Interest
References
- Zhu, L.; Wang, H.H.; Sun, D.; Tang, Y.; Wang, H.H. A comprehensive review on the fabrication, modification and applications of Na3V2(PO4)2F3 cathodes. J. Mater. Chem. A 2020, 8, 21387–21407. [Google Scholar] [CrossRef]
- Jamesh, M.I.; Prakash, A.S. Advancement of technology towards developing Na-ion batteries. J. Power Source 2018, 378, 268–300. [Google Scholar] [CrossRef]
- Pi, Y.; Gan, Z.; Yan, M.; Pei, C.; Yu, H.; Ge, Y.; An, Q.; Mai, L. Insight into pre-sodiation in Na3V2(PO4)2F3/C @ hard carbon full cells for promoting the development of sodium-ion battery. Chem. Eng. J. 2021, 413, 127565. [Google Scholar] [CrossRef]
- Zhu, W.; Liang, K.; Ren, Y. Modification of the morphology of Na3V2(PO4)2F3 as cathode material for sodium-ion batteries by polyvinylpyrrolidone. Ceram. Int. 2021, 47, 17192–17201. [Google Scholar] [CrossRef]
- Yan, G.; Mariyappan, S.; Rousse, G.; Jacquet, Q.; Deschamps, M.; David, R.; Mirvaux, B.; Freeland, J.W.; Tarascon, J.-M. Higher energy and safer sodium ion batteries via an electrochemically made disordered Na3V2(PO4)2F3 material. Nat. Commun. 2019, 10, 585. [Google Scholar] [CrossRef]
- Subramanyan, K.; Lee, Y.-S.; Aravindan, V. Impact of carbonate-based electrolytes on the electrochemical activity of carbon-coated Na3V2(PO4)2F3 cathode in full-cell assembly with hard carbon anode. J. Colloid Interface Sci. 2021, 582, 51–59. [Google Scholar] [CrossRef] [PubMed]
- Du, P.; Mi, K.; Hu, F.; Jiang, X.; Wang, D.; Zheng, X. Hierarchical hollow microspheres Na3V2(PO4)2F3C@rGO as high-performance cathode materials for sodium ion batteries. New J. Chem. 2020, 44, 12985–12992. [Google Scholar] [CrossRef]
- Subramanian, Y.; Oh, W.; Choi, W.; Lee, H.; Jeong, M.; Thangavel, R.; Yoon, W.-S. Optimizing high voltage Na3V2(PO4)2F3 cathode for achieving high rate sodium-ion batteries with long cycle life. Chem. Eng. J. 2021, 403, 126291. [Google Scholar] [CrossRef]
- Yao, Y.; Zhang, L.; Gao, Y.; Chen, G.; Wang, C.; Du, F. Assembly of Na3V2(PO4)2F3 @C nanoparticles in reduced graphene oxide enabling superior Na + storage for symmetric sodium batteries. RSC Adv. 2018, 8, 2958–2962. [Google Scholar] [CrossRef] [Green Version]
- Liu, Q.; Wang, D.; Yang, X.; Chen, N.; Wang, C.; Bie, X.; Wei, Y.; Chen, G.; Du, F. Carbon-coated Na3V2(PO4)2F3 nanoparticles embedded in a mesoporous carbon matrix as a potential cathode material for sodium-ion batteries with superior rate capability and long-term cycle life. J. Mater. Chem. A 2015, 3, 21478–21485. [Google Scholar] [CrossRef]
- Partheeban, T.; Senthilkumar, B.; Aravindan, V.; Madhavi, S.; Sasidharan, M. Binary NaCl–NaF and NaCl–LiF Flux-Mediated Growth of Mixed-Valence (V 3+/4+ ) NASICON-Type Na3V2(PO4)2F2.5O0.5 and Na2.4Li0.6V2(PO4)2F2.5O0.5 for Highly Reversible Na- and Li-Ion Storage. ACS Appl. Energy Mater. 2021, 4, 1387–1397. [Google Scholar] [CrossRef]
- Jeong, B.H.; Hoek, E.M.V.; Yan, Y.; Subramani, A.; Huang, X.; Hurwitz, G.; Ghosh, A.K.; Jawor, A. Interfacial polymerization of thin film nanocomposites: A new concept for reverse osmosis membranes. J. Membr. Sci. 2007, 294, 1–7. [Google Scholar] [CrossRef]
- Fang, Y.; Yu, X.-Y.; Lou, X.W. Nanostructured Electrode Materials for Advanced Sodium-Ion Batteries. Matter 2019, 1, 90–114. [Google Scholar] [CrossRef] [Green Version]
- Qi, Y.; Mu, L.; Zhao, J.; Hu, Y.-S.; Liu, H.; Dai, S. pH-regulative synthesis of Na3 (VPO4)2F3 nanoflowers and their improved Na cycling stability. J. Mater. Chem. A 2016, 4, 7178–7184. [Google Scholar] [CrossRef]
- Li, L.; Xu, Y.; Sun, X.; He, S.; Li, L. High capacity-favorable tap density cathode material based on three-dimensional carbonous framework supported Na3V2(PO4)2F3 nanoparticles. Chem. Eng. J. 2018, 331, 712–719. [Google Scholar] [CrossRef]
- Park, S.; Song, J.; Kim, S.; Sambandam, B.; Mathew, V.; Kim, S.; Jo, J.; Kim, S.; Kim, J. Phase-pure Na3V2(PO4)2F3 embedded in carbon matrix through a facile polyol synthesis as a potential cathode for high performance sodium-ion batteries. Nano Res. 2019, 12, 911–917. [Google Scholar] [CrossRef]
- Xu, S.; Li, H.; Wang, X. Three-Dimensional Graphene Network Decorated with Highly Symmetrical Cuboid Na3V2(PO4)2F3 Particles: High Rate Capability and Cycling Stability for Sodium-Ion Batteries. ChemElectroChem 2021, 8, 866–872. [Google Scholar] [CrossRef]
- Zhang, J.; Lai, Y.; Li, P.; Wang, Y.; Zhong, F.; Feng, X.; Chen, W.; Liu, J.; Ai, X.; Yang, H.; et al. Boosting Rate and Cycling Performance of K-doped Na3V2(PO4)2F3 Cathode for High-Energy-Density Sodium-Ion Batteries. Green Energy Environ. 2021, in press. [Google Scholar] [CrossRef]
- Eshraghi, N.; Caes, S.; Mahmoud, A.; Cloots, R.; Vertruyen, B.; Boschini, F. Sodium vanadium (III) fluorophosphate/carbon nanotubes composite (NVPF/CNT) prepared by spray-drying: Good electrochemical performance thanks to well-dispersed CNT network within NVPF particles. Electrochim. Acta 2017, 228, 319–324. [Google Scholar] [CrossRef]
- Shakoor, R.A.; Seo, D.-H.; Kim, H.; Park, Y.-U.; Kim, J.; Kim, S.-W.; Gwon, H.; Lee, S.; Kang, K. A combined first principles and experimental study on Na3V2(PO4)2F3 for rechargeable Na batteries. J. Mater. Chem. 2012, 22, 20535. [Google Scholar] [CrossRef]
- Jin, Y.; He, W.; Ren, F.; Ren, P.; Xu, Y. High-performance symmetric lithium-ion batteries constructed with a new bi-functional electrode Li- and Mn-rich layered oxide 0.3Li2MnO3·0.7LiNi1/3Co1/3Mn1/3O2. Electrochim. Acta 2019, 325, 134932. [Google Scholar] [CrossRef]
- Tang, L.; Zhang, J.; Li, Z.; Liu, X.; Xu, Q.; Liu, H.; Wang, Y.; Xia, Y.; Ma, Z. Using Na7V4(P2O7)4(PO4) with superior Na storage performance as bipolar electrodes to build a novel high-energy-density symmetric sodium-ion full battery. J. Power Source 2020, 451, 227734. [Google Scholar] [CrossRef]
- Li, M.; Zuo, Z.; Deng, J.; Yao, Q.; Wang, Z.; Zhou, H.; Luo, W.-B.; Liu, H.-K.; Dou, S.-X. A high rate capability and long lifespan symmetric sodium-ion battery system based on a bipolar material Na2LiV2(PO4)3/C. J. Mater. Chem. A 2018, 6, 9962–9970. [Google Scholar] [CrossRef]
- Plashnitsa, L.S.; Kobayashi, E.; Okada, S.; Yamaki, J. Symmetric lithium-ion cell based on lithium vanadium fluorophosphate with ionic liquid electrolyte. Electrochim. Acta 2011, 56, 1344–1351. [Google Scholar] [CrossRef]
- Wang, Y.; Zeng, J.; Cui, X.; Zhang, L.; Zheng, G. Separator-Integrated, Reversely Connectable Symmetric Lithium-Ion Battery. Small 2016, 12, 1091–1097. [Google Scholar] [CrossRef]
- Kobayashi, E.; Kitajou, A.; Okada, S.; Yamaki, J. Improvement of solid-state symmetric cell performance with lithium vanadium phosphate. J. Power Source 2013, 244, 312–317. [Google Scholar] [CrossRef]
- Plashnitsa, L.S.; Kobayashi, E.; Noguchi, Y.; Okada, S.; Yamaki, J. Performance of NASICON Symmetric Cell with Ionic Liquid Electrolyte. J. Electrochem. Soc. 2010, 157, A536. [Google Scholar] [CrossRef]
- Zhang, Y.; Zhao, H.; Du, Y. Symmetric full cells assembled by using self-supporting Na3V2(PO4)3 bipolar electrodes for superior sodium energy storage. J. Mater. Chem. A 2016, 4, 7155–7159. [Google Scholar] [CrossRef]
- Gu, E.; Xu, J.; Du, Y.; Ge, X.; Zhu, X.; Bao, J.; Zhou, X. Understanding the influence of different carbon matrix on the electrochemical performance of Na3V2(PO4)3 cathode for sodium-ion batteries. J. Alloys Compd. 2019, 788, 240–247. [Google Scholar] [CrossRef]
- Shen, L.; Yang, H.; Jiang, Y.; Ma, J.; Sun, T.; Zhang, M.; Zhu, N. NASICON-Structured Na2VTi(PO4)3@C for Symmetric Aqueous Rechargeable Na-Ion Batteries with Long Lifespan. ACS Sustain. Chem. Eng. 2021, 9, 3490–3497. [Google Scholar] [CrossRef]
- Zhou, Y.; Shao, X.; Lam, K.; Zheng, Y.; Zhao, L.; Wang, K.; Zhao, J.; Chen, F.; Hou, X. Symmetric Sodium-Ion Battery Based on Dual-Electron Reactions of NASICON-Structured Na3MnTi(PO4)3 Material. ACS Appl. Mater. Interfaces 2020, 12, 30328–30335. [Google Scholar] [CrossRef]
- Wang, H.; Zhang, T.; Chen, C.; Ling, M.; Lin, Z.; Zhang, S.; Pan, F.; Liang, C. High-performance aqueous symmetric sodium-ion battery using NASICON-structured Na2VTi(PO4)3. Nano Res. 2018, 11, 490–498. [Google Scholar] [CrossRef]
- Wang, H.; Chen, C.; Qian, C.; Liang, C.; Lin, Z. Symmetric sodium-ion batteries based on the phosphate material of NASICON-structured Na3Co0.5Mn0.5Ti(PO4)3. RSC Adv. 2017, 7, 33273–33277. [Google Scholar] [CrossRef] [Green Version]
- Ling, R.; Cao, B.; Qi, W.; Yang, C.; Shen, K.; Sang, Z.; Guo, J.; Xie, D.; Cai, S.; Sun, X. Three-dimensional Na3V2(PO4)3@carbon/N-doped graphene aerogel: A versatile cathode and anode host material with high-rate and ultralong-life for sodium storage. J. Alloys Compd. 2021, 869, 159307. [Google Scholar] [CrossRef]
- Das, A.; Majumder, S.B.; Roy Chaudhuri, A. K+ and Mg2+ co-doped bipolar Na3V2(PO4)3: An ultrafast electrode for symmetric sodium ion full cell. J. Power Source 2020, 461, 228149. [Google Scholar] [CrossRef]
- Li, M.; Zhang, Q.; Zuo, Z.; Gao, X.-W.; Yao, Q.; Wang, Z.; Luo, W.-B.; Zhou, H.; Deng, J. Double carbon-embedded Na3V2(PO4)3 as a superior anode for sodium ion batteries. J. Nanopart. Res. 2020, 22, 151. [Google Scholar] [CrossRef]
- Lin, X.; Zhao, Y.; Yan, D.; Han, W.; Kuang, Q.; Wen, M. Layered Li-rich vanadium phosphate Li9V3(P2O7)3(PO4)2: Cathode and anode materials for lithium-ion batteries. Electrochim. Acta 2016, 191, 207–214. [Google Scholar] [CrossRef]
- Kee, Y.; Dimov, N.; Kobayashi, E.; Kitajou, A.; Okada, S. Structural and electrochemical properties of Fe- and Al-doped Li3V2(PO4)3 for all-solid-state symmetric lithium ion batteries prepared by spray-drying-assisted carbothermal method. Solid State Ionics 2015, 272, 138–143. [Google Scholar] [CrossRef]
- Gover, R.; Bryan, A.; Burns, P.; Barker, J. The electrochemical insertion properties of sodium vanadium fluorophosphate, Na3V2(PO4)2F3. Solid State Ionics 2006, 177, 1495–1500. [Google Scholar] [CrossRef]
- Chihara, K.; Kitajou, A.; Gocheva, I.D.; Okada, S.; Yamaki, J. Cathode properties of Na3M2(PO4)2F3 [M = Ti, Fe, V] for sodium-ion batteries. J. Power Source 2013, 227, 80–85. [Google Scholar] [CrossRef]
- Cai, Y.; Cao, X.; Luo, Z.; Fang, G.; Liu, F.; Zhou, J.; Pan, A.; Liang, S. Caging Na3V2(PO4)2F3 Microcubes in Cross-Linked Graphene Enabling Ultrafast Sodium Storage and Long-Term Cycling. Adv. Sci. 2018, 5, 1800680. [Google Scholar] [CrossRef] [PubMed] [Green Version]
- Zhan, W.; Fan, C.; Zhang, W.; Yi, G.; Chen, H.; Han, S.; Liu, J. Ultra-long cycle life and high rate performance subglobose Na3V2(PO4)2F3@C cathode and its regulation. Int. J. Energy Res. 2020, 44, 6608–6622. [Google Scholar] [CrossRef]
- Li, L.; Liu, X.; Tang, L.; Liu, H.; Wang, Y.G. Improved electrochemical performance of high voltage cathode Na3V2(PO4)2F3 for Na-ion batteries through potassium doping. J. Alloys Compd. 2019, 790, 203–211. [Google Scholar] [CrossRef]
- Li, F.; Zhao, Y.; Xia, L.; Yang, Z.; Wei, J.; Zhou, Z. Well-dispersed Na3V2(PO4)2F3@rGO with improved kinetics for high-power sodium-ion batteries. J. Mater. Chem. A 2020, 8, 12391–12397. [Google Scholar] [CrossRef]
- Choi, W.; Shin, H.-C.; Kim, J.M.; Choi, J.-Y.; Yoon, W.-S. Modeling and Applications of Electrochemical Impedance Spectroscopy (EIS) for Lithium-ion Batteries. J. Electrochem. Sci. Technol. 2020, 11, 1–13. [Google Scholar] [CrossRef] [Green Version]








| Material | a (Å) | b (Å) | c (Å) | V (Å3) |
|---|---|---|---|---|
| This work | 9.038 | 9.038 | 10.747 | 877.873 |
| Reference [39] | 9.0378 | 9.0378 | 10.748 | 877.94 |
Publisher’s Note: MDPI stays neutral with regard to jurisdictional claims in published maps and institutional affiliations. |
© 2021 by the authors. Licensee MDPI, Basel, Switzerland. This article is an open access article distributed under the terms and conditions of the Creative Commons Attribution (CC BY) license (https://creativecommons.org/licenses/by/4.0/).
Share and Cite
James Abraham, J.; Moossa, B.; Tariq, H.A.; Kahraman, R.; Al-Qaradawi, S.; Shakoor, R.A. Electrochemical Performance of Na3V2(PO4)2F3 Electrode Material in a Symmetric Cell. Int. J. Mol. Sci. 2021, 22, 12045. https://doi.org/10.3390/ijms222112045
James Abraham J, Moossa B, Tariq HA, Kahraman R, Al-Qaradawi S, Shakoor RA. Electrochemical Performance of Na3V2(PO4)2F3 Electrode Material in a Symmetric Cell. International Journal of Molecular Sciences. 2021; 22(21):12045. https://doi.org/10.3390/ijms222112045
Chicago/Turabian StyleJames Abraham, Jeffin, Buzaina Moossa, Hanan Abdurehman Tariq, Ramazan Kahraman, Siham Al-Qaradawi, and R. A. Shakoor. 2021. "Electrochemical Performance of Na3V2(PO4)2F3 Electrode Material in a Symmetric Cell" International Journal of Molecular Sciences 22, no. 21: 12045. https://doi.org/10.3390/ijms222112045
APA StyleJames Abraham, J., Moossa, B., Tariq, H. A., Kahraman, R., Al-Qaradawi, S., & Shakoor, R. A. (2021). Electrochemical Performance of Na3V2(PO4)2F3 Electrode Material in a Symmetric Cell. International Journal of Molecular Sciences, 22(21), 12045. https://doi.org/10.3390/ijms222112045

