Residual Helicity at the Active Site of the Histidine Phosphocarrier, HPr, Modulates Binding Affinity to Its Natural Partners
Abstract
:1. Introduction
2. Results
2.1. The Peptides Were Disordered Monomers in Aqueous Solution
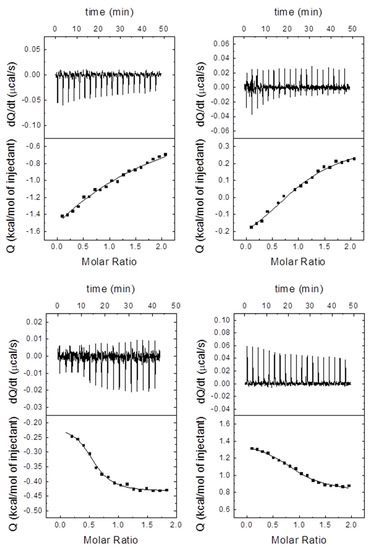
2.2. Binding of the HPr Peptides to EINsc and Rsdec
2.3. The Fragments Displayed Antibacterial Activity against Staphylococcus aureus
3. Discussion
4. Materials and Methods
4.1. Materials
4.2. Peptides
4.3. Protein Expression and Purification
4.4. Fluorescence
4.5. Circular Dichroism
4.6. NMR Spectroscopy
4.7. Isothermal Titration Calorimetry (ITC)
4.8. Molecular Dynamics
4.9. Antibacterial Assays
Supplementary Materials
Author Contributions
Funding
Institutional Review Board Statement
Informed Consent Statement
Data Availability Statement
Acknowledgments
Conflicts of Interest
References
- Ishihama, A. Adaption of gene expression in stationary phase bacteria. Curr. Opin. Genet. Dev. 1997, 7, 582–589. [Google Scholar] [CrossRef]
- Deutscher, J. The mechanisms of catabolite repression in bacteria. Curr. Opin. Microbiol. 2008, 11, 87–93. [Google Scholar] [CrossRef] [PubMed]
- Postma, P.W.; Lengeler, J.W.; Jacobson, G.R. Phosphoenolpyruvate: Carbohydrate phosphotransferase systems of bacteria. Microbiol. Rev. 1993, 57, 543–594. [Google Scholar] [CrossRef] [PubMed]
- Bruckner, R.; Titgemeyer, F. Carbon catabolite repression in bacteria: Choice of the carbon source and autoregulatory limitation of sugar utilization. FEMS Microbiol. Lett. 2002, 209, 141–148. [Google Scholar] [CrossRef]
- Görke, B.; Stülke, J. Carbon catabolite repression in the bacteria. Nat. Microbiol. 2008, 6, 613–624. [Google Scholar] [CrossRef] [PubMed]
- Lengeller, J.W.; Jahreis, K. Bacterial PEP-dependent carbohydrate:phosphotransferase systems couple sensing and global control mechanisms. Contrib. Microbiol. 2009, 16, 65–87. [Google Scholar]
- Gunnewijk, M.G.; van den Bogaard, P.T.; Veenhoff, L.M.; Heuberger, E.H.; de Vos, W.M.; Kleerebezem, M.; Kuipers, O.P.; Poolman, B. Hierarchical control versus autoregulation of carbohydrate utilization in bacteria. J. Mol. Microbiol. Biotechnol. 2001, 3, 401–413. [Google Scholar]
- Galinier, A.; Deutscher, J. Sophisticated regulation of transcriptional factors by the bacterial phosphoenolpyruvate: Sugar phosphotransferase system. J. Mol. Biol. 2017, 429, 773–783. [Google Scholar] [CrossRef] [PubMed]
- Lee, B.R.; Lecchi, P.; Panell, L.; Jaffe, H.; Peterkosfsky, A. Identification of the N-terminal domain of enzyme I of the Escherichia coli phosphoenolpyruvate:sugar phosphotransferase system produced by proteolytic digestion. Arch. Biochem. Biophys. 1994, 312, 121–124. [Google Scholar] [CrossRef]
- Romero-Beviar, M.; Martínez-Rodríguez, S.; Prieto, J.; Goormaghtigh, E.; Ariz, U.; de Martínez-Chantar, M.L.; Gómez, J.; Neira, J.L. The N-terminal domain of the enzyme I is a monomeric well-folded protein with a low conformational stability and residual structure in the unfolded state. Protein Eng. Des. Sel. 2010, 23, 729–742. [Google Scholar] [CrossRef] [Green Version]
- Hurtado-Gómez, E.; Barrera, F.N.; Neira, J.L. Structure and conformational stability of the enzyme I of Streptomyces coelicolor explored by FTIR and circular dichroism. Biophys. Chem. 2005, 115, 229–233. [Google Scholar] [CrossRef]
- Hurtado-Gómez, E.; Fernández-Ballester, G.; Nothaft, H.; Gómez, J.; Titgemeyer, F.; Neira, J.L. Biophysical characterization of the enzyme I of the Streptomyces coelicolor phosphoenolpyruvate:sugar phosphotransferase system. Biophys. J. 2006, 90, 4592–4604. [Google Scholar] [CrossRef] [PubMed] [Green Version]
- Weigel, M.; Kukuruzinska, M.A.; Nakazawa, A.; Waygood, E.B.; Roseman, S. Sugar transport by the bacterial phosphotransferase system. Phosphoryl transfer reactions catalyzed by enzyme I of Salmonella typhimurium. J. Biol. Chem. 1982, 257, 14477–14491. [Google Scholar] [CrossRef]
- Clore, G.M.; Venditti, V. Structure, dynamics and biophysics of the cytoplasmic protein-protein complexes of the bacterial phosphoenolpyruvate sugar phosphotransferase system. Trends Biochem. Sci. 2013, 38, 515–530. [Google Scholar] [CrossRef] [PubMed] [Green Version]
- Azuaga, A.I.; Neira, J.L.; Van Nuland, N.A. HPr as a model protein in strcuture, interaction, folding and stability studies. Protein Pep Lett. 2005, 12, 123–137. [Google Scholar] [CrossRef] [PubMed]
- Gross, C.A.; Chan, C.; Dombroski, A.; Gruber, T.; Sharp, M.; Tupy, J.; Young, B. The functional and regulatory roles of sigma factors in transcription. Cold Spring Harbour Symp. Quant. Biol. 1998, 63, 141–155. [Google Scholar] [CrossRef]
- Campbell, E.A.; Muzzin, O.; Chlenov, M.; Sun, J.L.; Anders Olson, C.; Weinman, O.; Trester-Zedlitz, M.L.; Darst, S.A. Structure of the bacterial RNA polymerase promoter specificity σ factor. Mol. Cell 2002, 9, 527–539. [Google Scholar] [CrossRef]
- Gruber, T.M.; Gross, C.A. Multiple sigma subunits and the portioning of bacterial transcription space. Annu. Rev. Microbiol. 2003, 57, 441–466. [Google Scholar] [CrossRef]
- Ishihama, A. Functional modulation of Escherichia coli RNA polymerase. Annu. Rev. Microbiol. 2000, 54, 499–518. [Google Scholar] [CrossRef]
- Jishage, M.; Ishihama, A. A stationary phase protein in Escherichia coli with binding activity to the major sigma subunit of RNA polymerase. Proc. Natl. Acad. Sci. USA 1998, 95, 4953–4958. [Google Scholar] [CrossRef] [Green Version]
- Jishage, M.; Ishihama, A. Transcriptional organization and in vivo role of the Escherichia coli rsd gene, encoding the regulator of RNA polymerase sigma D. J. Bacteriol. 1999, 181, 3768–3776. [Google Scholar] [CrossRef] [PubMed] [Green Version]
- Park, Y.H.; Lee, C.R.; Choe, M.; Seok, Y.K. HPr antagonizes the anti-σ70 activity of Rsd in Escherichia coli. Proc. Natl. Acad. Sci. USA 2013, 110, 21142–21147. [Google Scholar] [CrossRef] [PubMed] [Green Version]
- Park, Y.H.; Um, S.H.; Song, S.; Seok, Y.K.; Ha, N.C. Structural basis for the sequestration of the anti-σ70 factor Rsd from σ70 by the histidine-containing phosphocarrier protein HPr. Acta Crystallogr. D Biol. Crystallogr. 2015, 71, 1998–2008. [Google Scholar] [CrossRef] [PubMed]
- Neira, J.L.; Hornos, F.; Cozza, C.; Cámara-Artigas, A.; Abián, O.; Velázquez-Campoy, A. The histidine phosphocarrier protein, HPr, binds to the highly thermostable regulator of sigma D protein, Rsd, and its isolated helical fragments. Arch. Biochem. Biophys. 2018, 639, 26–37. [Google Scholar] [CrossRef] [PubMed]
- Paget, S.B.; Hong, H.J.; Bibb, M.J.; Buttner, M.J. The ECF sigma factors of Streptomyces coelicolor A3(2). In SGM Symposium 61: Signals, Switches, Regulons and Cascades: Control of Bacterial Gene Expression; Hodgson, D.A., Thomas, C.M., Eds.; Cambridge University Press: Cambridge, UK, 2002; pp. 105–125. [Google Scholar]
- Fernández-Ballester, G.; Maya, J.; Martin, A.; Parche, S.; Gómez, J.; Titgemeyer, F.; Neira, J.L. The histidine-phosphocarrier protein of Streptomyces coelicolor folds by a partially folded species at low pH. Eur. J. Biochem. 2003, 270, 2254–2267. [Google Scholar] [CrossRef]
- Neira, J.L.; Gómez, J. The conformational stability of the Streptomyces coelicolor histidine-phosphocarrier protein. Characterization of cold denaturation and urea-protein interactions. Eur. J. Biochem. 2004, 271, 2165–2181. [Google Scholar] [CrossRef]
- Hurtado-Gómez, E.; Abián, O.; Muñoz, F.J.; Hernáiz, M.J.; Velázquez-Campoy, A.; Neira, J.L. Defining the epitope region of a peptide from the Streptomyces coelicolor phosphoenolpyruvate:sugar phosphotransferase system able to bind to the enzyme I. Biophys. J. 2008, 95, 1336–1348. [Google Scholar] [CrossRef] [Green Version]
- Doménech, R.; Martínez-Gómez, A.I.; Aguado-Llera, D.; Martínez-Rodríguez, S.; Clemente-Jiménez, J.M.; Velázquez-Campoy, A.; Neira, J.L. Stability and binding of the phosphorylated species of the N-terminal domain of enzyme I and the histidine phosphocarrier protein from the Streptomyces coelicolor phosphoenolpyruvate:sugar phosphotransferase system. Arch. Biochem. Biophys. 2012, 526, 44–53. [Google Scholar] [CrossRef]
- Hurtado-Gómez, E.; Caprini, M.; Prieto, A.; Neira, J.L. The helical structure propensity in the first helix of the histidine phosphocarrier protein of Streptomyces coelicolor. Protein Pep. Lett. 2007, 14, 281–290. [Google Scholar] [CrossRef] [Green Version]
- Doménech, R.; Martínez-Rodríguez, S.; Velázquez-Campoy, A.; Neira, J.L. Peptides as inhibitors of the first phosphorylation step of the Streptomyces coelicolor phosphoenolpyruvate:sugar phosphotransferase system. Biochemistry 2012, 51, 7393–7402. [Google Scholar] [CrossRef]
- Chakrabartty, A.; Kortemme, T.; Baldwin, R.L. Helix propensities of the amino acids measured in alanine-based peptides without helix-stabilizing side-chain interactions. Protein Sci. 1994, 3, 843–852. [Google Scholar] [CrossRef] [Green Version]
- Woody, R.W. Circular dichroism. Methods Enzymol. 1995, 246, 34–71. [Google Scholar]
- Kelly, S.M.; Jess, T.J.; Price, N.C. How to study proteins by circular dichroism. Biochim. Biophys. Act. Proteins Proteom. 2005, 1751, 119–139. [Google Scholar] [CrossRef]
- Kelly, S.M.; Price, N.C. The use of circular dichroism in the investigation of protein structure and function. Curr. Prot. Pept. Sci. 2000, 1, 349–384. [Google Scholar] [CrossRef] [Green Version]
- Chen, Y.H.; Yang, J.T.; Chaun, K.H. Determination of the helix and β form of proteins in aqueous solution by circular dichroism. Biochemistry 1974, 13, 3350–3359. [Google Scholar] [CrossRef]
- Sancho, J.; Neira, J.L.; Fersht, A.R. An N-terminal fragment of barnase has residual helical structure similar to that in a refolding intermediate. J. Mol. Biol. 1992, 224, 749–758. [Google Scholar] [CrossRef]
- Jasanoff, A.; Fersht, A.R. Quantitative determination of helical propensities from trifluoroethanol titration curves. Biochemistry 1994, 33, 2129–2135. [Google Scholar] [CrossRef] [PubMed]
- Best, R.B.; Buchete, N.V.; Hummer, G. Are current molecular dynamics force fields too helical? Biophys. J. 2008, 95, L07–L09. [Google Scholar] [CrossRef] [Green Version]
- Piana, S.; Donchev, A.G.; Robustelli, P.; Shaw, D.E. Water dispersion interactions strongly influence simulated structural properties of disordered protein states. J. Phys. Chem. B 2015, 119, 5113–5123. [Google Scholar] [CrossRef] [PubMed]
- Jorgensen, W.L.; Chandrasekhar, J.; Madura, J.D.; Impey, R.W.; Klein, M.L. Comparison of simple potential functions for simulating liquid water. J. Chem. Phys. 1983, 79, 926–935. [Google Scholar] [CrossRef]
- Wilkins, D.K.; Grimshaw, S.B.; Receveur, V.; Dobson, C.M.; Jones, J.A.; Smith, L.J. Hydrodynamic radii of native and denatured proteins measured by pulse field gradient NMR techniques. Biochemistry 1999, 38, 16424–16431. [Google Scholar] [CrossRef] [PubMed]
- Danielsson, J.; Jarvet, J.; Damberg, P.; Gräslund, A. Translational diffusion measured by PFG-NMR on full length and fragments of the Alzheimer Aβ(1-40) peptide. Determination of the hydrodynamic radii of random coil peptide of varying length. Magn. Reson. Chem. 2002, 40, S89–S97. [Google Scholar] [CrossRef]
- Neira, J.L.; Palomino_Schätzlein, M.; Hurtado-Gómez, E.; Ortore, M.G.; Falcó, A. An N-terminal half fragment of the histidine phosphocarrier protein, HPr, is disordered but binds to HPr partners and shows antibacterial properties. Biochim. Biophys. Acta Genral Subjects. 2021, 1865, 130015. [Google Scholar] [CrossRef]
- Borcherds, W.; Theillet, F.-X.; Katzer, A.; Finzel, A.; Mishall, K.M.; Powell, A.T.; Wu, H.; Manieri, W.; Dieterich, C.; Selenko, P.M.; et al. Disorder and residual helicity alter p53-Mdm2 binding affinity and signalling in cells. Nat. Chem. Biol. 2014, 10, 1000–1002. [Google Scholar] [CrossRef] [PubMed]
- Del Álamo, M.; Neira, J.L.; Mateu, M.G. Thermodynamic dissection of a low affinity protein-protein interface involved in human immunodeficiency virus assembl. J. Biol. Chem. 2003, 278, 27923–27929. [Google Scholar] [CrossRef] [Green Version]
- Fischbach, M.A.; Walsh, C.T. Antibiotics for emerging pathogens. Science 2009, 325, 1089–1093. [Google Scholar] [CrossRef] [PubMed]
- Gill, S.C.; von Hippel, P.H. Calculation of protein extinction coefficients from amino acid sequence data. Anal. Biochem. 1989, 182, 319–326. [Google Scholar] [CrossRef]
- Miroux, B.; Walker, J.E. Over-production of proteins in Escherichia coli: Mutant hosts that allow synthesis of some membrane proteins and globular proteins at high levels. J. Mol. Biol. 1996, 260, 289–298. [Google Scholar] [CrossRef] [Green Version]
- Yuan, A.H.; Gregory, B.D.; Sharp, J.S.; McCleary, K.; Dove, S.L.; Hochschild, A. Rsd family proteins make simultaneous interactions with regions 2 and 4 of the primary sigma factor. Mol. Microbiol. 2008, 70, 1136–1151. [Google Scholar] [CrossRef] [Green Version]
- Beckett, D. Measurement and analysis of equilibrium binding titrations: A beginner’s guide. Methods Enzymol. 2011, 488, 1–16. [Google Scholar]
- Royer, C.A.; Scarlatta, S.F. Fluorescence approaches to quantifying biomolecular interactions. Methods Enzymol. 2008, 450, 79–106. [Google Scholar] [PubMed]
- Birdsall, B.; King, R.W.; Wheeler, M.R.; Lewis, C.A., Jr.; Goode, S.; Dunlap, R.B.; Roberts, G.C. Correction for light absorption in fluorescence studies of protein-ligand interactions. Anal. Biochem. 1983, 132, 353–361. [Google Scholar] [CrossRef]
- Czypionka, A.; de los Paños, O.R.; Mateu, M.G.; Barrera, F.N.; Hurtado-Gómez, E.; Gómez, J.; Vidal, M.; Neira, J.L. The isolated C-terminal domain of Ring 1B is a dimer made of stable, well-structured monomers. Biochemistry 2007, 46, 12764–12776. [Google Scholar] [CrossRef] [PubMed] [Green Version]
- Cavanagh, J.; Fairbrother, W.J.; Palmer, A.G.; Skelton, N.J. Protein NMR Spectroscopy: Principles and Practice; Academic Press: New York, NY, USA, 1996. [Google Scholar]
- Marion, D.; Wüthrich, K. Application of phase sensitive two-dimensional correlated spectroscopy (COSY) for measurements of 1H-1H spin-spin coupling constants in proteins. Biochem. Biophys. Res. Commun. 1983, 11, 967–974. [Google Scholar] [CrossRef]
- Bax, A.; Davis, D.G. MLEV-17-based two-dimensional homonuclear magnetization transfer spectroscopy. J. Magn. Reson. 1985, 65, 355–360. [Google Scholar] [CrossRef]
- Piotto, M.; Saudek, V.; Sklenar, V. Gradient-tailored excitation for single-quantum NMR spectroscopy of aqueous solutions. J. Biomol. NMR 1992, 2, 661–675. [Google Scholar] [CrossRef]
- Kumar, A.; Ernst, R.R.; Wüthrich, K. A two-dimensional nuclear Overhauser enhancement (2D NOE) experiment for the elucidation of complete proton-proton cross-relaxation networks in biological macromolecules. Biochem. Biophys. Res. Commun. 1980, 95, 1–6. [Google Scholar] [CrossRef]
- Bax, A.; Davis, D.G. Practical aspects of two-dimensional transverse NOE spectroscopy. J. Magn. Reson 1985, 63, 207–213. [Google Scholar] [CrossRef]
- Wüthrich, K. NMR of Proteins and Nucleic Acids; John Wiley and Sons: New York, NY, USA, 1986. [Google Scholar]
- Schwarzinger, S.; Kroon, G.J.; Foss, T.R.; Chung, J.; Wright, P.E.; Dyson, H.J. Sequence-dependent correction of random coil NMR chemical shifts. J. Am. Chem. Soc. 2001, 123, 2970–2978. [Google Scholar] [CrossRef]
- Santofimia-Castaño, P.; Xia, Y.; Lan, W.; Zhou, Z.; Huang, C.; Peng, L.; Soubeyran, P.; Velazquez-Campoy, A.; Abian, O.; Rizzuti, B.; et al. Ligand-based design identifies a potent NUPR1 inhibitor exerting anticancer activity via necroptosis. J. Clin. Investig. 2019, 129, 2500–2513. [Google Scholar] [CrossRef] [PubMed]
- Neira, J.L.; Rizzuti, B.; Iovanna, J.L. Determinants of the pKa values of ionizable residues in an intrinsically disordered protein. Arch. Biochem. Biophys. 2016, 598, 18–27. [Google Scholar] [CrossRef]
- Santofimia-Castaño, P.; Rizzuti, B.; Abián, O.; Velázquez-Campoy, A.; Iovanna, J.L.; Neira, J.L. Amphipathic helical peptides hamper protein-protein interactions of the intrinsically disordered chromatin nuclear protein 1 (NUPR1). Biochim. Biophys. Act. Gen. Subjects 2018, 1862, 1283–1295. [Google Scholar] [CrossRef] [Green Version]
- Lindorff-Larsen, K.; Piana, S.; Palmo, K.; Maragakis, P.; Klepeis, J.L.; Dror, R.O.; Shaw, D.E. Improved side-chain torsion potentials for the Amber ff99SB protein force field. Proteins 2010, 78, 1950–1958. [Google Scholar] [CrossRef] [Green Version]
- Schumacher, M.A.; Allen, G.S.; Diel, M.; Seidel, G.; Hillen, W.; Brennan, R.G. Structural basis for allosteric control of the transcription regulator CcpA by the phosphoprotein HPr-Ser46-P. Cell 2004, 118, 731–741. [Google Scholar] [CrossRef] [PubMed] [Green Version]
- Neira, J.L.; Correa, J.; Rizzuti, B.; Santofimia-Castaño, P.; Abian, O.; Velázquez-Campoy, A.; Fernández-Megía, E.; Iovanna, J.L. Dendrimers as competitors of protein-protein interactions of the intrinsically disordered nuclear chromatin protein NUPR1. Biomacromolecules 2019, 20, 2567–2576. [Google Scholar] [CrossRef] [PubMed]
- Rocca, C.; Grande, F.; Granieri, M.C.; Colombo, B.; De Bartolo, A.; Giordano, F.; Rago, V.; Amodio, N.; Tota, B.; Cerra, M.C.; et al. The chromogranin A1-373 fragment reveals how a single change in the protein sequence exerts strong cardioregulatory effects by engaging neuropilin-1. Acta Physiol. 2021, 231, e13570. [Google Scholar] [CrossRef] [PubMed]
- Cockerill, F.R.; Wikler, M.; Alder, J.; Dudley, M.; Eliopoulos, G.; Ferraro, M.; Hardy, D.; Hecht, D.; Hindler, J.; Patel, J. Methods for dilution antimicrobial susceptibility tests for bacteria that grow aerobically: Approved standard. Clin. Lab. Stand. Inst. 2012, 32, M07–A09. [Google Scholar]
- Mira, A.; Sainz-Urruela, C.; Codina, H.; Jenkins, S.I.; Rodríguez-Díaz, J.C.; Mallavia, R.; Falco, A. Physico-chemically distinct nanomaterials synthesized from derivates of a poly (anhydride) diversify the spectrum of loadable antibiotics. Nanomaterials 2020, 10, 486. [Google Scholar] [CrossRef] [Green Version]




| Peptide a | Helicity (%) a | [TFE]1/2 (% (v/v)) b | m cal/mol (% (v/v)) b | ∆Gwater (kcal/mol) c |
|---|---|---|---|---|
| G9WAEGLHARPASIFVRAATATG (wild-type) | 1.6 (−612.44) | 23.2 ± 0.5 | 166 ± 23 | 3.8 ± 0.5 (0.10%) |
| G9WAEGLHARAASIFVRAATATG (P18A) | 2.9 (−1135.47) | 19.8 ± 0.4 | 181 ± 17 | 3.6 ± 0.3 (0.15%) |
| G9WAEGLHARPASIAVRAATATG (F22A) | 0.2 (−84.95) | 22 ± 1 | 134 ± 27 | 2.9 ± 0.6 (0.5%) |
| G9WAEGLHARPASAFVRAATATG (I21A) | 1.7 (−681.95) | 23.8 ± 0.4 | 197 ± 20 | 4.7 ± 0.5 (0.02%) |
| G9WAEGLHARPASIFARAATATG (V23A) | 2.5 (−988.51) | 22.7 ± 0.3 | 217 ± 23 | 4.9 ± 0.5 (0.01%) |
| G9WAEGLHARAASAFARAATATG (P18A/I21A/V23A) | 6.8 (−2698.61) | 19.0 ± 0.9 | 184 ± 32 | 3.5 ± 0.6 (0.17%) |
| G9WAEGLHARAASAAARAATATG (P18A/I21A/F22A/V23A) | 18.4 (−7305.73) | 21 ± 1 | 157 ± 26 | 3.3 ± 0.6 (0.24%) |
| Peptide | TIP3P a | TIP4P b | TIP4P-D c |
|---|---|---|---|
| Wild-type | 18% | 21% | 15% |
| P18A | 12% | 18% | 34% |
| I21A | 25% | 34% | 20% |
| F22A | 34% | 29% | 20% |
| V23A | 20% | 23% | 21% |
| P18A/I21A/V23A | 33% | 17% | 36% |
| P18A/I21A/F22A/V23A | 14% | 14% | 38% |
| Peptide a | MW (Da) | D (cm2 s−1) × 106 (Rh, Å) b | Rh (Å) c |
|---|---|---|---|
| Wild-type | 2280.59 | 1.95 ± 0.03 (11 ± 1) | 12.9 |
| P18A | 2254.51 | 2.0 ± 0.1 (11 ± 1) | 12.8 |
| F22A | 2204.50 | 1.83 ± 0.03 (11 ± 1) | 12.6 |
| I21A | 2238.51 | 1.9 ± 0.1 (11 ± 1) | 12.7 |
| V23A | 2252.54 | 2.0 ± 0.1 (11 ± 1) | 12.8 |
| P18A/I21A/V23A | 2184.42 | 2.5 ± 0.4 (9 ± 2) | 12.6 |
| P18A/I21A/F22A/V23A | 2108.32 | 1.7 ± 0.1 (12 ± 2) | 12.4 |
| Peptide a | EINsc | Rsdec | ||
|---|---|---|---|---|
| Kd a (μM) | ΔH (kcal/ mol) | Kd a (μM) | ΔH (kcal/mol) | |
| Wild-type | 2.3 ± 0.4 (10 ± 7) | −0.8 ± 0.4 | 1.4 ± 0.3 (5 ± 2) | 1.3 ± 0.4 |
| P18A b,c | (-) | (-) | 2.2 ± 0.4 (-) | 1.1 ± 0.4 |
| I21A | (-) | (-) | 2.6 ± 0.4 (8 ± 1) | 1.0 ± 0.4 |
| F22A b | (-) | (-) | 5.9 ± 0.7 (11 ± 6) | 1.1 ± 0.5 |
| V23A c | 9.1 ± 0.9 (9 ± 4) | −6.6 ± 0.5 | 8.3 ± 0.9 (-) | −0.8 ± 0.5 |
| P18A/I21A/V23A b,c | (-) | (-) | 2.6 ± 0.4 (-) | 0.6 ± 0.4 |
| P18A/I21A/F22A/V23A | 1.1 ± 0.2 (11 ± 6) | 0.2 ± 0.4 | 5.0 ± 0.7 (10 ± 4) | 4.3 ± 0.5 |
| Peptides | MIC (µM) |
|---|---|
| Wild-type | 40 |
| P18A | 120 |
| I21A | >400 |
| F22A | 400 |
| V23A | >400 |
| P18A/I21A/V23A | 60 |
| P18A/I21A/F22A/V23A | >400 |
Publisher’s Note: MDPI stays neutral with regard to jurisdictional claims in published maps and institutional affiliations. |
© 2021 by the authors. Licensee MDPI, Basel, Switzerland. This article is an open access article distributed under the terms and conditions of the Creative Commons Attribution (CC BY) license (https://creativecommons.org/licenses/by/4.0/).
Share and Cite
Neira, J.L.; Ortega-Alarcón, D.; Rizzuti, B.; Palomino-Schätzlein, M.; Velázquez-Campoy, A.; Falcó, A. Residual Helicity at the Active Site of the Histidine Phosphocarrier, HPr, Modulates Binding Affinity to Its Natural Partners. Int. J. Mol. Sci. 2021, 22, 10805. https://doi.org/10.3390/ijms221910805
Neira JL, Ortega-Alarcón D, Rizzuti B, Palomino-Schätzlein M, Velázquez-Campoy A, Falcó A. Residual Helicity at the Active Site of the Histidine Phosphocarrier, HPr, Modulates Binding Affinity to Its Natural Partners. International Journal of Molecular Sciences. 2021; 22(19):10805. https://doi.org/10.3390/ijms221910805
Chicago/Turabian StyleNeira, José L., David Ortega-Alarcón, Bruno Rizzuti, Martina Palomino-Schätzlein, Adrián Velázquez-Campoy, and Alberto Falcó. 2021. "Residual Helicity at the Active Site of the Histidine Phosphocarrier, HPr, Modulates Binding Affinity to Its Natural Partners" International Journal of Molecular Sciences 22, no. 19: 10805. https://doi.org/10.3390/ijms221910805
APA StyleNeira, J. L., Ortega-Alarcón, D., Rizzuti, B., Palomino-Schätzlein, M., Velázquez-Campoy, A., & Falcó, A. (2021). Residual Helicity at the Active Site of the Histidine Phosphocarrier, HPr, Modulates Binding Affinity to Its Natural Partners. International Journal of Molecular Sciences, 22(19), 10805. https://doi.org/10.3390/ijms221910805

