Abstract
A variety of synthetic methods have been developed for azulene derivatives due to their potential applications in pharmaceuticals and organic materials. Particularly, 2H-cyclohepta[b]furan-2-one and its derivatives have been frequently used as promising precursors for the synthesis of azulenes. In this review, we describe the development of the synthesis of azulenes by the reaction of 2H-cyclohepta[b]furan-2-ones with olefins, active methylenes, enamines, and silyl enol ethers as well as their reactivity and properties.
1. Introduction
Azulene (1) is a 10 π-electron non-benzenoid aromatic hydrocarbon with a fused structure of five- and seven-membered rings, showing a deep blue coloration. The resonance structure of azulene contains ionic cyclopentadienide and tropylium substructures, resulting in electrophilic substitution reactions at the 1- and 3-positions [1] and nucleophilic addition reactions at the 2-, 4-, 6-, and 8-positions [2,3,4], along with the 2-position at the five-membered ring in some cases (Scheme 1).
Scheme 1.
Resonance structure and general reactivity of azulene (1).
Azulene derivatives are a promising class of compounds anticipated to have applications in pharmaceuticals and organic materials (Figure 1). In 1990, Yanagisawa, Yasunami, and their collaborators reported the preparation of various sodium sulfonates of alkylazulene derivatives and evaluated their pharmacological activities and clarified that the sulfonate of 1-ethyl-5-isopropylazulene 2 exhibited extremely high antiulcer activity [5]. Compound 2 is now frequently prescribed as a therapeutic agent for gastric ulcers. Nakamura and Yamamoto reported the azulene-substituted carborane derivatives 3a and 3b with high water solubility, which show high accumulation in B-16 melanoma cells in vitro, despite its low cytotoxicity, and was revealed as a promising boron carrier for neutron capture therapy [6]. The azuleno[6,5-b]indole derivatives 4 reported by Hong et al. have been evaluated for their antitumor activity and are revealed to exhibit good antitumor activity against a variety of cancer cells (melanoma, leukemia, lung, colon, kidney, ovary, brain, breast, and prostate) [7]. Lewis et al. reported the synthesis of AzuFluor® 483-Bpin 5 showing fluorescence upon the reaction with reactive oxygen species (ROS) and reactive nitrogen species (RNS) in vivo, which are associated with various diseases such as cancer and cardiovascular disease [8]. AzuFluor® 483-Bpin 5 is used to stain various living cells to show remarkable luminescence upon the reaction with intracellular ROS and RNS. Therefore, this azulene derivative 5 is expected to be applied for the direct detection of ROS and RNS in living cells.
Figure 1.
Azulene derivatives promising application to biologically active substances and organic materials.
Recently, azulene derivatives have also gained interest in the field of materials chemistry (Figure 1). Katagiri and co-workers have reported the preparation and characterization of 2-azulenyl group-substituted 2,2’-bithiophene 6, thieno[3,2-b]thiophene 7, [9] and terazulene derivatives 8a,b, [10,11] which exhibit the properties of organic field-effect transistors (OFETs) with relatively high carrier mobility. Wakamiya and Scott et al. described the synthesis and properties of azulene derivative 9 possessing four oxygen-bridged triarylamines, and elucidated that this compound is an excellent hole transport material for perovskite solar cells (power conversion efficiency = 16.5%) [12]. Gao et al. investigated the thermal stability of conjugated polymers 10 and 11 composed of 2,2’-biazulene diimide units by thermogravimetric analysis (TGA) and found that these polymers are not decomposed until above 400 °C. Conjugated polymers 10 and 11 also represent excellent OFET performance with high electron mobility, and in particular, polymer 11 was found to be one of the best monopolar n-type polymers reported so far, functioning as a high-performance OFET [13].
Although many methods for the synthesis of azulene derivatives have been reported, the methods described below are particularly popular because of their high yields and capability for large-scale synthesis. The effective and practical synthetic methods for azulene and its derivatives were developed in the 1950s independently by Ziegler and Hafner, and by Nozoe. The Ziegler–Hafner method, which involves the condensation of Zincke salts derived from either pyridinium [14,15] or pyrillium salts [16] with cyclopentadienide ions, allows the synthesis of parent azulene (1) and its alkyl and aryl derivatives on a large scale (Scheme 2). Ziegler–Hafner’s method is quite effective in the preparation of azulene derivatives with substituents at the seven-membered ring, and no better method except for the Ziegler–Hafner’s method has yet been reported for the synthesis of the parent azulene.
Scheme 2.
Synthesis of azulenes from pyridinium and pyrylium salts.
In the synthetic method of Nozoe and co-workers, the reaction of tropone derivatives 12 bearing a leaving group (e.g., halogen, methoxy, tosyloxy group) at the 2-position with active methylenes (e.g., cyanoacetate, malonate, and malononitrile) in the presence of a base provides 2-amino- and 2-hydroxyazulene derivatives in excellent yields (Scheme 3) [17]. This method is beneficial for the preparation of azulene derivatives having an amino or hydroxy group at the 2-position, which can be converted to the derivatives with other functional groups. In recent years, the synthesis of 2-aminoazulene derivatives with two butoxy esters has also been reported by the reaction of compound 12c with butyl cyanoacetate in the presence of tert-butylamine (t-BuNH2) [18]. The conversion of the tropone derivatives to the azulene derivatives proceed via 2H-cyclohepta[b]furan-2-one and their analogous intermediates, as described in a later section.
Scheme 3.
Synthesis of azulene derivatives from tropone derivatives 12.
2H-Cyclohepta[b]furan-2-ones can also be used as useful starting materials for the synthesis of azulene derivatives with a variety of substituents and/or those with complex structures. As mentioned above, a variety of azulene derivatives have been prepared in recent years for the applications to pharmaceuticals and materials science, but for the applications preparation of more complex molecules is required. Although several reviews on the synthesis and reactivity of azulene and its derivatives have been reported, [19,20,21,22] there is still no comprehensive review that focuses on the synthesis using 2H-cyclohepta[b]furan-2-ones as starting materials. Therefore, we believe that a systematic review for the synthesis of azulenes using 2H-cyclohepta[b]furan-2-ones and their reactivity will be valuable for the future application of azulene derivatives to pharmaceuticals and organic materials. From these contexts, this review describes the progress in the synthesis of azulene derivatives starting from 2H-cyclohepta[b]furan-2-ones along with the reactivity and properties of the azulene derivatives prepared from 2H-cyclohepta[b]furan-2-ones.
2. Synthetic Method of 2H-cyclohepta[b]furan-2-ones
Although there are several methods for the synthesis of 2H-cyclohepta[b]furan-2-ones, the most frequently adopted method is the reaction of tropone derivatives having a leaving group at the 2-position with active methylenes (Scheme 4). The reaction of 2-chlorotropone with diethyl malonate or ethyl acetoacetate in the presence of sodium ethoxide (EtONa) gives 3-ethoxycarbonyl and 3-acetyl derivatives 13a and 13b of 2H-cyclohepta[b]furan-2-one [23,24]. When tropolone tosylate (2-tosyloxytropone) 12c is employed, the reaction with dimethyl malonate in the presence of sodium methoxide (MeONa) affords 3-methoxycarbonyl derivative 13c as a major product [25]. In contrast, 8-hydroxy derivative 14a is produced by the reaction of 12c with diethyl malonate in the presence of EtONa. The difference in the reactivities is thought to be due to the slight difference in pKa of the solvents, i.e., methanol (pKa = 15.5) and ethanol (pKa = 16.0). 8-Hydroxy derivative 14a is also produced by the reaction of 3-bromotropolone 15 with diethyl malonate in the presence of EtONa. Cyano derivative 13d can be obtained by the reaction of 12a with ethyl cyanoacetate in the presence of EtONa to give 16, followed by hydrolysis and then dehydration of the amide group of 16 using phosphoryl chloride (POCl3).
Scheme 4.
Preparation of 2H-cyclohepta[b]furan-2-ones with carbonyl and cyano functions at the 3-position.
When the carbonyl derivatives 13a–13c and 14a are heated in 75% sulfuric acid or 100% phosphoric acid (H3PO4), the decarboxylation and deacetylation proceed to provide their parent compounds 17 and 18 in good yields (Scheme 5).[26] The reaction of 2,5-dichlorotropone 19 derived from 5-chlorotropolone with dimethyl malonate yields 5-chloro-2H-cyclohepta[b]furan-2-one 13e, which can also be converted to 20 via decarboxylation in a similar manner as described above (Scheme 6) [27].
Scheme 5.
Decarboxylation and deacetylation of function at the 3-position.
Scheme 6.
Preparation of 2H-cyclohepta[b]furan-2-one 13e and following decarboxylation to give the derivative 20 with chlorine function at the 5-position.
Selective synthesis of 2H-cyclohepta[b]furan-2-ones 26 and 27 with an alkyl function at the 6-position starting from hinokitiol 21a [28] or 4-methyltropolone 21b [29] was established by a four-step procedure (Scheme 7). This is because direct tosylation of 21a and 21b produces an inseparable mixture of 22a,b and 23a,b due to inherent tautomerism, and besides, these are difficult to separate. However, this problem can be circumvented by the iodination of tropolones 21a and 21b prior to the tosylation. Iodination of 21a and 21b at the α-carbon converts to iodides 24a and 24b, which are then tosylated with p-toluenesulfonyl chloride to generate 25a and 25b, selectively, because of the steric hindrance of the substituted iodine. The iodine substituent of 25a and 25b is removed in high yield by catalytic hydrogenation to afford tosyloxytropones 22a and 22b, which react with malonate esters in the presence of sodium alkoxide yielding the corresponding 2H-cyclohepta[b]furan-2-ones 26 and 27 in excellent yields.
Scheme 7.
Selective synthesis of 2H-cyclohepta[b]furan-2-ones 26 and 27 with an alkyl function at the 6-position starting from hinokitiol 21a and 4-methyltropolone 21b.
As one approach that does not use tropone derivatives, Trahanovsky et al. developed a method to convert phenol into 2H-cyclohepta[b]furan-2-ones, in which several propiolic acid phenyl esters are subjected to flash vacuum pyrolysis (FVP) at 650 °C yielding the corresponding products in 30–45% yields (Scheme 8) [30]. A similar method was developed by Hansen et al. for the preparation of polyalkylcyclohepta[b]furan-2-ones by the dynamic gas-phase thermo-isomerization (DGPTI) of polyalkylphenylpropiolates [31].
Scheme 8.
Preparation of 2H-cyclohepta[b]furan-2-one (17) from propynoic acid phenyl ester 28 by using FVP.
3. Synthesis of Azulenes by the Reaction of 2H-cyclohepta[b]furan-2-ones with Active Methylenes
The preparation of 2-amino- and 2-hydroxyazulenes by the reaction of 2H-cyclohepta[b]furan-2-ones with active methylenes has been reported, but there are not so many examples about the reports.
In 1971, Takase, Nozoe, and their collaborators reported the synthesis of 2-hydroxy- and 2-aminoazulene derivatives by the reaction of 2H-cyclohepta[b]furan-2-ones having a carbonyl group at the 3-position with active methylenes (Scheme 9) [23]. At that time, it was known that 2-methoxy- and 2-chlorotropones 12a and 12b react with active methylenes to give azulene derivatives directly, but the fact that the intermediates of this reaction are 2H-cyclohepta[b]furan-2-ones had not yet been clarified. Therefore, Takase et al. investigated the reaction of 2H-cyclohepta[b]furan-2-ones with active methylenes, such as malononitrile, cyanoacetamide, ethyl cyanoacetate, and diethyl malonate, to clarify the mechanism of azulene formation from the tropone derivatives.
Scheme 9.
Reaction of 2H-cyclohepta[b]furan-2-ones 13a and 13b with active methylenes.
The reaction of 13a and 13b with active methylenes takes place in the presence of EtONa or t-BuNH2 as a base to yield the 1,2,3-tri-substituted azulene derivatives. The outcome of the reaction between tropone derivatives and active methylenes proves that the intermediates for the formation of azulene derivatives are 2H-cyclohepta[b]furan-2-ones.
When 13a and 13b are reacted with malononitrile or cyanoacetamide, the corresponding 2-aminoazulene derivatives 29a,b and 30a,b are formed as the main products. The mixture of 2-amino- and 2-hydroxyazulenes 30a and 31a is formed by the reaction of 13a with ethyl cyanoacetate, while the reaction with diethyl malonate furnishes 2-hydroxyazulene 31b as the main product. The acetyl derivative 13b is treated with ethyl cyanoacetate or diethyl malonate in the presence of EtONa giving a mixture including the 2-methylazulene derivatives.
Nozoe et al. examined whether the products of the diazotization of 2-amino-3-cyano-4-alkoxyazulenes are azulenequinone or diazonium derivatives [32]. The precursor for the diazotization, 2-amino-3-cyano-4-alkoxyazulenes 32a and 32b, can be obtained in three steps from 8-hydroxy-2H-cyclohepta[b]furan-2-one 14a (Scheme 10). After the conversion of 14a to the silver salt 14b by the treatment with silver nitrate in sodium hydroxide solution, the resulting 14b is subjected to the reaction with MeBr or EtBr to afford the corresponding 8-methoxy and 8-ethoxy derivatives 14c and 14d in 54 and 44% yields, respectively. Similar to the method reported by Takase et al., condensation of 14c and 14d with malononitrile in the presence of EtONa provides the corresponding 2-amino-3-cyano-4-alkoxyazulenes 32a and 32b in good yields. Diazotization of 32a and 32b does not give diazonium salts, but affords azulenequinone 33 in excellent yield. Also, the regeneration of the azulene structure 34 from 33 is accomplished by catalytic hydrogenation in the presence of 10% Pd/C as a catalyst.
Scheme 10.
Diazotization of 32a and 32b prepared from 14a to afford azulenequinone 33 converted to 4-hydroxyazulene 34.
As an improvement on the method of Takase and co-workers, a procedure for the synthesis of 2-aminoazulene derivatives has been reported by the reaction of 2H-cyclohepta[b]furan-2-ones having various substituents at the 3-position with malononitrile under the milder basic conditions, i.e., in triethylamine [33]. Using this procedure, 2-aminoazulene derivatives 35a–35j with various substituents at the 3-position can be obtained in excellent yields (85–93%, Table 1). Furthermore, this method requires a simple workup process because the products are obtained as pure precipitates and can be readily isolated by filtration. However, this reaction is successful only when the substituent at the 3-position is a relatively strong electron-withdrawing group, whereas 2H-cyclohepta[b]furan-2-ones substituted by iodine or methylsulfide results in quantitative recovery of the starting materials. When the substituent at the 3-position on the 2H-cyclohepta[b]furan-2-one is a formyl group, the reaction generates 36 in 92% yield, which is formed by the cooperation with the formation of azulene ring and Knoevenagel condensation [34].
Table 1.
Reaction of 2H-cyclohepta[b]furan-2-ones with active methylenes.
4. Synthesis of Azulenes by the Reaction of 2H-cyclohepta[b]furan-2-ones with Electron-Rich Olefins and Their Analogues
2H-cyclohepta[b]furan-2-ones react with electron-rich olefins and their analogues, such as enol ethers, acetals, and fulvenes, to produce multiply functionalized azulenes.
Nozoe and Wakabayashi et al. reported the synthesis of azulene derivatives with various functional groups by a [8 + 2] cycloaddition of 2H-cyclohepta[b]furan-2-ones with enol ethers (Scheme 11) [35]. Importantly, this method affords azulene derivatives in moderate to excellent yields, despite the need for high reaction temperatures, i.e., 160–190 °C, in aprotic solvents (tetrahydrofuran, acetonitrile, toluene, or in neat conditions). In the azulene synthesis by this reaction, the products are diversified depending on the enol ethers used. For instance, the reaction of 2H-cyclohepta[b]furan-2-ones with vinyl ethers affords 1,2-disubstituted azulenes 37, whereas dihydrofurans react to yield the 1-azulenylethanol derivatives 38. 1-Azulenylpropanols 39 are obtained by the reaction with dihydropyran, while the reaction with 2-methoxydihydropyran results in 1-azulenylpropanals 40.
Scheme 11.
Synthesis of azulene derivatives 37–40 by the reaction of 2H-cyclohepta[b]furan-2-ones with enol ethers.
The formation of azulene rings by the reaction of 2H-cyclohepta[b]furan-2-ones with enol ethers proceeds by [8 + 2] cycloaddition. The mechanism is similar to the reaction with enamines described below (see Scheme 12). The [8 + 2] cycloaddition of 2H-cyclohepta[b]furan-2-ones with enol ethers gives the strained intermediate A. Subsequently, A is decarboxylated to resolve the strain to form intermediate B, which is followed by the elimination of the alcohol to produce the azulene derivatives 37 (Scheme 13).
Scheme 12.
Synthesis of azulene derivatives 60–62 by the [8 + 2] cycloaddition of 2H-cyclohepta[b]furan-2-ones with enamines and its reaction mechanism.
Scheme 13.
Reaction mechanism for the formation of azulene derivatives 37 by the reaction of 2H-cyclohepta[b]furan-2-ones with enol ethers.
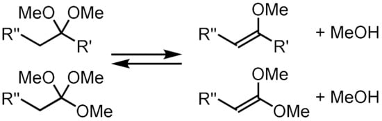
Azulene derivatives with functional groups at the five-membered ring can also be synthesized by the reaction of 2H-cyclohepta[b]furan-2-ones with acetals prepared from aldehydes and ketones in neat or aprotic solvents under the heating conditions at 160–190 °C (Scheme 14). In this method, acetals prepared from cyclic ketones, such as cyclopentanone and cyclohexanone, are employed to obtain cycloalkane-fused azulenes 42 and 43. This reaction is also applicable to the synthesis of 2-alkoxyazulenes 45 by using orthoesters as a reagent with low to excellent yields (11% to 99%) [36]. The formation of the azulene derivatives by this reaction can be explained by the same reaction mechanism as the reaction with enol ethers since acetals and orthoesters exist in equilibrium with enol ethers under the high-temperature conditions as shown in Scheme 15.
Scheme 14.
Synthesis of azulene derivatives 41–45 by the reaction of 2H-cyclohepta[b]furan-2-ones with acetals and orthoesters.
Scheme 15.
Equilibrium between acetals, orthoesters, and enol ethers under the high-temperature conditions.
Synthesis of azulene derivatives with a carbonyl substituent, such as acylmethyl or methoxycarbonyl methyl groups, at the 2-position has been achieved by the reaction of furan derivatives with 2H-cyclohepta[b]furan-2-ones (Scheme 16) [37]. In this synthesis, the yield of the products is affected by both the substituents on the 2H-cyclohepta[b]furan-2-ones and the furan derivatives, and the yield of the carbonyl derivatives 47 varies from 8 to 79% yields. Furthermore, when the substituent R on the 2H-cyclohepta[b]furan-2-ones is CO2Me, intramolecular cyclization of the presumed intermediate 46 occurs subsequently to afford the azulenes-fused δ-lactones 49 in 10–90% yields. The reaction mechanism for above is also shown in Scheme 16: furan reagent serves as an olefin and reacts with 2H-cyclohepta[b]furan-2-ones by [8 + 2] cycloaddition mode to furnish the adduct C, followed by the ring-opening of the adducted furan ring of C to produce the enol intermediate 46, which tautomerizes eventually into carbonyl product 47. In the case of 2H-cyclohepta[b]furan-2-ones with a methoxycarbonyl group at the 3-position, condensation of the ester function and the OH group of enol 46 takes place to give δ-lactones 49 by following the elimination of the methanol from the presumed addition intermediate 48.
Scheme 16.
Synthesis of azulene derivatives 47 and 49 by the reaction of 2H-cyclohepta[b]furan-2-ones with furans.
Yasunami, Takase, and co-workers reported the reaction of 13c with 6,6-dimethylfulvene to give two types of cycloadducts, in which the products and their yields depend on the solvent employed (Table 2) [38]. In xylene, the reaction of 13c with 6,6-dimethylfulvene gives the [8 + 2] cycloadduct, i.e., dihydroazulene derivative 50, as a sole product in 35% yield (entry 1). On the other hand, the reaction in refluxing benzene gives 50 (21%) and the [4 + 2] cycloadduct 51 (28%) with almost the same production rate (entry 2). Furthermore, 51 is the major product in the reaction in ethanol at the reflux temperature (entry 3). When treated with 100% H3PO4 at 90 °C, the [8 + 2] cycloadduct 50 is converted to cyclopentadiene-fused azulene derivative 52 in 64% yield. These differences in the reactivities are also investigated in terms of theoretical calculations.
Table 2.
The reaction of 13c with 6,6-dimethylfulvene.
Electron-deficient olefins tend to cause the [4 + 2] cycloaddition at the seven-membered ring of 2H-cyclohepta[b]furan-2-one (17). Tomioka and Nitta investigated the reaction of 17 with dimethyl acetylenedicarboxylate (DMAD) to produce the [4 + 2] adduct 52 (71%) and azulene derivative 53 (9%) in a 7:1 ratio [39]. The reaction mechanism is discussed based on MNDO calculations, suggesting that 53 is formed via a [8 + 2] cycloaddition reaction of 17 to give intermediate D, followed by the decarboxylation (Scheme 17).
Scheme 17.
The reaction of 2H-cyclohepta[b]furan-2-one (17) with DMAD.
Wu, Ku, and their collaborators reported the synthesis of azulene derivatives with acylmethyl or methoxycarbonylmethyl groups at the 2-position by mimicking the Nozoe’s method and their conversion to benz[a]azulene derivatives (Scheme 18) [40]. The reaction of 13a and 13f with 2,5-dimethoxy-2,5-dihydrofuran under the sealed tube conditions provides 54a and its 4-ethoxy derivative 54b in 60 and 80% yields, respectively. These derivatives can be carbonylated at the 1-position of the azulene ring with good yields by Vilsmeier formylation or Friedel-Crafts acylation reactions to give 55a,b and 56a,b. The formyl derivatives 55a and 55b react with active methylenes in the presence of EtONa yielding multiply functionalized benz[a]azulenes 57 in moderate to good yields. Whereas m-cresol-fused benz[a]azulene 58 can be obtained in 65% yield by EtONa-mediated intramolecular cyclization of acyl derivative 56b.
Scheme 18.
Synthesis of azulenes 54 and 55 with acylmethyl or methoxycarbonylmethyl functions and transformation to multiply functionalized benz[a]azulenes 57 and 58.
5. Synthesis of Azulenes by the Reaction of 2H-cyclohepta[b]furan-2-ones with Enamines
Currently, the most frequently used procedure for azulene synthesis using 2H-cyclohepta[b]furan-2-ones as starting materials is the Yasunami-Takase’s method by the reaction with enamines. In the 1970s and 1980s, they reported the efficient synthesis of azulene derivatives by the reaction of 2H-cyclohepta[b]furan-2-ones with enamines prepared from various aldehydes or ketones.[41]. In this reaction, the [8 + 2] cycloaddition of 2H-cyclohepta[b]furan-2-ones with enamines affords initially the strained intermediate E, and subsequent decarboxylation from the intermediate E yields the aminohydroazulene intermediate 59 (Scheme 12). The aminohydroazulene 59 can be isolated as a stable compound in some cases (see below). Finally, the reaction is completed by the aromatization of 59 by the deamination to give the thermodynamically stable azulenes 60–62. This synthetic method is one of the effective ways to introduce various substituents to the five-membered ring during the formation of an azulene ring.
In the synthesis of azulenes by the [8 + 2] cycloaddition of 2H-cyclohepta[b]furan-2-ones with enamines, the yield and reactivity depend on both the substituent R on 2H-cyclohepta[b]furan-2-ones, amines, and the carbonyl compounds used in the preparation of the enamines (Table 3, Figure 2). In general, enamines prepared from aldehydes are more reactive toward 2H-cyclohepta[b]furan-2-ones than those prepared from ketones. Furthermore, the reaction rate of pyrrolidine-substituted enamines with 2H-cyclohepta[b]furan-2-ones is much faster than that of morpholine enamines [42,43]. The reaction with the enamines derived from cyclic ketones gives azulene derivatives, in which the cycloalkanes are fused to the five-membered ring. However, the reaction of 2H-cyclohepta[b]furan-2-ones with the enamines prepared from cyclopentanones frequently yields aminohydroazulenes 59 as the main products, but 59 can be readily transformed into azulene derivatives by heating under the acidic conditions (Scheme 12). When pyrrolidine enamines are reacted with 2H-cyclohepta[b]furan-2-ones possessing an electron-withdrawing substituent as R, the yield of azulene derivatives 60–62 is reduced, as the result on the reaction of 2H-cyclohepta[b]furan-2-ones with pyrrolidine eliminated from the enamine to give 1-pyrrolidinylheptafulvenes 63 and insoluble resinous products [44]. In contrast, the reaction with morpholine enamines does not cause such undesired reactions and often results in good yields of 60–62%. Enamines, which are prepared from phenylacetaldehyde and acetophenone, conjugated with an aryl group are resistant to the reaction with 2H-cyclohepta[b]furan-2-ones and tend to require longer reaction times. However, the silyl enol ether prepared from acetophenone readily reacts with 2H-cyclohepta[b]furan-2-ones, giving the corresponding 2-phenylazulenes in excellent yield, despite requiring a high reaction temperature (see Section 7).
Table 3.
Synthesis of azulene derivatives 55–57 by the [8 + 2] cycloaddition of 2H-cyclohepta[b]furan-2-ones with various enamines.
Figure 2.
Structure of azulenes obtained by the [8 + 2] cycloaddition of 2H-cyclohepta[b]furan-2-ones with enamines.
Enamines prepared from aldehydes produce 1-alkylazulenes, while enamines derived from ketones provide 1,2-dialkylazulenes and 2-alkylazulenes or a mixture thereof. When the enamines prepared from asymmetric dialkyl ketones such as 2-butanone are conducted, the reaction with 17 yields a mixture of 60f and 60g because of the existence of the tautomers of enamines (Scheme 19; Table 3, entries 6 and 16).
Scheme 19.
The reaction of 2H-cyclohepta[b]furan-2-one (17) with the enamines prepared from 2-butanone.
The reaction of 2H-cyclohepta[b]furan-2-ones with enamines can be applied to the synthesis of parent azulene (1) (Scheme 20) [45]. The reaction of 17 with acetaldehyde in the presence of a solvent amount of diethylamine affords parent azulene (1) in 60% yield. However, when 13c is treated under similar conditions, 63 with methoxycarbonyl substituent is obtained in 85% yield, which hydrolyzes with aqueous potassium hydroxide (KOH), leading to the carboxylic acid 64 in quantitative yield (100%). Eventually, 64 is transformed to 1 in 90% yield by the decarboxylation by the treatment with trichloroacetic acid (CCl3CO2H). The three-step synthesis of parent azulene (1) is more efficient than the direct preparation from 17, since the overall yield is much higher (three-steps, 77% yield).
Scheme 20.
Synthesis of parent azulene (1) from 2H-cyclohepta[b]furan-2-ones 13c and 17.
The [8 + 2] cycloaddition reaction of 2H-cyclohepta[b]furan-2-ones with enamines can be developed for the construction of azulene derivatives with extended conjugation π-electron systems. Therefore, a variety of π-expanded azulene derivatives have been prepared by using such reactions and their properties are elucidated.
Indenoazulenes 65–67 can be obtained by the reaction of 2H-cyclohepta[b]furan-2-ones 17 and 13d with the enamines prepared from the corresponding indanones; however, the reaction time and product yield are highly dependent on the structure of the enamines employed (Scheme 21) [46]. The enamine prepared from 1-indanone and pyrrolidine reacts readily (within 1 hour) with 17 in ethanol under the reflux condition to provide indeno[2,1-a]azulene (65) in 93% yield. In contrast, the formation of indeno[1,2-a]azulene (66) by the reaction of 17 with the enamine prepared from 2-indanone is very slow (140 hours) and the yield is rather low (30%). Under the similar reaction conditions, 13d reacts with the enamine prepared from 1-indene and morpholine affording 5-cyanoindeno[2,1-a]azulene (67) and dihydroazulene derivative 68 in 20 and 57% yields, respectively.
Scheme 21.
Synthesis of indenoazulenes 65–67 by the reaction of 2H-cyclohepta[b]furan-2-ones 17 and 13d with enamines prepared from indanones.
Kuroda and Yasunami et al. have synthesized azuleno[1,2-a]acenaphthylenes 69–71 from 17 and discussed their aromaticity in terms of the bond-length alternation observed in 1H NMR spectra, as well as their reactivity (Scheme 22) [47]. The [8 + 2] cycloaddition reaction of 17 with the enamine prepared from acenaphthen-1-one and pyrrolidine leads to azuleno[1,2-a]acenaphthylene 69a in 34% yield. A similar procedure can be extended to dimethoxycarbonyl derivative of acenaphthen-1-one to furnish 69b in 58% yield. The 1H NMR chemical shifts of these compounds at the azulene moiety are almost identical to those of the parent azulene, and no significant bond-length alternation is observed from their 1H NMR spectra. Therefore, these results conclude that 69a and 69b are molecules composed of two independent 10 π-electrons, i.e., azulene and naphthalene, rather than acting as an estimated 20 π-electron system. Reactions of 69a with electrophiles are also investigated; the reaction with bromine (Br2) gives 70 in 87% yield, and formyl derivative 71 is obtained in 60% yield by the reaction with orthoformate in the presence of BF3∙OEt.
Scheme 22.
Synthesis of azuleno[1,2-a]acenaphthylenes 69–71 and heptalene derivative 72.
In the reaction of 69a with DMAD, the [2 + 2] cycloaddition proceeds initially to form the four-membered ring intermediate, followed by the retroelectrocyclization reaction yielding acenaphthyleno[1,2-d]heptalene 72 in 13% yield. Contrary to 69a and 69b, the 1H NMR spectrum of heptalene 72 shows a pronounced bond-length alternation in attributed to its non-aromatic nature.
Synthesis of azuleno[1,2-b]azulene derivatives starting from 17 was established by Kuroda and Yasunami et al. in 1986 (Scheme 23) [48]. The reaction of 17 with the enamine in toluene at the reflux temperature yields 73 in 35% yield. Hydrolysis of the acetal moiety of 73 with HCl in acetone leads to ketone 74 in over 90% yield, and the reaction of 74 with morpholine in the presence of titanium tetrachloride (TiCl4) affords enamine 75, which is unstable to the moisture. Enamine 75 is reacted with DMAD in a [2 + 2] cycloaddition to provide cycloadduct 77 in 26% yield, along with 76 in 19% yield. The cycloadduct 77 is transformed into 76 in refluxing xylene in more than 90% yield. Eventually, dehydrogenative aromatization of 76 with palladium-carbon in diphenyl ether under the reflux condition results in azuleno[1,2-b]azulene-2,4-dicarboxylate 78, accompanying the rearrangement of an ester group, in 8% yield. The UV-visible absorption (UV/Vis) spectrum of 78 exhibits an absorption maximum in the near-infrared region at around λmax = 1200 nm, suggesting that the conjugated system is largely extended.
Scheme 23.
Synthesis of dimethyl azuleno[1,2-b]azulene-2,4-dicarboxylate 73.
Nitta et al. reported the preparation of azuleno[1,2-a]azulenes 82a,b and 83 via [8 + 2] cycloaddition of 17 with an enamine (Scheme 24) [49]. The enamine was prepared by the condensation of 7-(2-oxo-propyl)-1,3,5-cycloheptatriene with pyrrolidine in the presence of the catalytic amount of p-toluenesulfonic acid and molecular sieves, which is subjected to the cycloaddition with 17 under the autoclave condition to give 79 in 64% yield. The azulene 79 reacts with trifluoroacetic anhydride [(CF3CO)2O] at 0 °C to give 80 in 90% yield. Treatment of 80 with NaOH in refluxing ethanol results in hydrolysis to afford the carboxylic acid, which is subsequently converted to the ester 81 (two-steps, 79% yield) by the treatment with diazomethane (CH2N2). Oxidative intramolecular cyclization of 80 and 81 gives the corresponding azuleno[1,2-a]azulenes 82a and 82b: treatment of 80 with 4 equivalents of triphenylcarbenium tetrafluoroborate (Ph3C+BF4−) in refluxing acetonitrile gives 82a with a trifluoroacetyl group in 14% yield. Similarly, the reaction with 81 provides the methoxycarbonyl derivative 82b in 67% yield. The methoxycarbonyl derivative 82b was hydrolyzed to carboxylic acid using sodium hydroxide, and the subsequent decarboxylation in CF3CO2H furnished the parent derivative 83 in 47% yield.
Scheme 24.
Synthesis of azuleno[1,2-a]azulenes 82a,b and 83.
The spectroscopic properties of these azuleno[1,2-a]azulenes 82a,b and 83 have been characterized in terms of 1H NMR and UV/Vis spectra, and theoretical calculations. These results clearly show that azuleno[1,2-a]azulenes behave not as a 18 π aromatic system, but as a derivative of two independent fused azulene rings.
Yasunami et al. successfully synthesized naphth[2,1-a]- and naphth[2,3-a]azulenes 85, 88, and 89 via the corresponding dihydronaphthoazulenes from 17 as the starting material (Scheme 25) [50]. 2H-Cyclohepta[b]furan-2-one (17) reacts with the enamine prepared from 1-tetralone and pyrrolidine in refluxing ethanol to afford 5,6-dihydronaphth[2,1-a]azulene 84a in 50% yield. Under the similar reaction conditions, the reaction of 17 with the enamines prepared from 7-methyl and 7-tert-butyl derivatives of 1-tetralone furnishes the corresponding 2-methyl and 2-tert-butyl derivatives 84b and 84c in 45 and 38% yields, respectively. When 84a, 84b, and 84c are treated with 2,3-dichloro-5,6-dicyano-p-benzoquinone (DDQ), the dehydrogenative aromatization reaction proceeded to provide the corresponding naphth[2,1-a]azulenes 85a, 85b, and 85c in 68, 65, and 68% yields, respectively. The compound 85a has also been prepared recently by Murai, Takai, and co-workers by the intramolecular cyclization of 2-phenylazulene derivatives [51].
Scheme 25.
Synthesis of naphth[2,1-a]- and naphth[2,3-a]azulenes 85, 88, and 89.
The reaction of the enamine prepared from 1-tetralone with 17 is completed within four hours, while the reaction with the enamine prepared from 2-tetralone requires a longer time (462 hours) and the yield of dihydronaphthoazulene 86 is also low (20% yield). Dehydrogenative aromatization of 86 with DDQ is difficult, so naphth[2,3-a]azulene 89 should be synthesized in a stepwise manner. The trifluoroacetyl derivative 87 obtained by the reaction of 86 with (CF3CO)2O is aromatized by DDQ to afford 88 in quantitative yield. The carboxylic acid obtained by the hydrolysis of 88 with sodium hydroxide in ethanol is decarboxylated with 100% H3PO4 to produce 89, almost quantitatively.
1,6-Methano[10]annulene is a class of molecules that satisfy Hückel’s rule. Various fused derivatives by aromatic and heterocyclic rings have been prepared and examined from the viewpoint of their characteristic aromaticity [52,53,54]. In 1994, Nitta et al. reported the synthesis and properties of 1,6-methano[10]annulenes fused to an azulene ring, namely, 2,7-methanocyclodec[a]azulenes 94 and 95, which are prepared in a five- or six-step procedure from 17 as the starting material (Scheme 26) [55]. The [8 + 2] cycloaddition of enamine with 17 gives 90 in 42% yield, which is then converted to 91, quantitatively, by the treatment with (CF3CO)2O to protect the 1-position of the azulene ring. Bromination of 91 at −78 °C affords 92 in 93% yield, subsequent treatment of 92 with an aqueous KOH takes place with the hydrolysis of the trifluoroacetyl group and the E2-type debromination, simultaneously, to produce a carboxylic acid derivative. The esterification of the carboxylic acid by CH2N2 gives 93 in 34% yield. Oxidation of 93 with DDQ in benzene furnishes the dehydrogenated product 94 immediately (within 5 min) in 85% yield. Decarboxylation product 95 is obtained by the hydrolysis of 94 to a carboxylic acid using aqueous KOH, followed by the trifluoroacetic acid-mediated decarboxylation in 95% yield.
Scheme 26.
Synthesis of 2,7-methanocyclodec[a]azulenes 94 and 95.
In the 1H NMR spectra, the chemical shifts of the bridging methylenes of 94 and 95 are largely shielded by the ring-current and are observed at δ = −0.07 ppm and −0.34 ppm, respectively. This indicates that the methano[10]annulene moiety in these compounds possesses sufficient aromatic character. Furthermore, even though the vicinal coupling constants of the methano[10]annulene moiety of 94 and 95 closely resemble each other, those of the azulene moiety suggest the contribution of a distinct bond-length alternation. These results confirm the quite small contribution of the 18 π electron system in 94 and 95.
In 1989, there were no reports for the 18 π-electron compounds with bridged annulene architectures. To construct such a molecule, Kuroda and co-workers investigated the synthesis of azulenoannulenes 99 and 101 and clarified their electronic properties (Scheme 27) [56].
Scheme 27.
Synthesis of azulenoannulenes 99 and 101, and their precursors.
The reaction of 17 with the enamine prepared from 1-acetylcyclohepta-1,3,5-triene and pyrrolidine in refluxing toluene affords 2-(cyclohepta-1,3,5-trienyl)azulene 96 in 35% yield. Acetylation of 96 is achieved by the treatment with acetyl chloride in the presence of zinc chloride in dichloromethane to give 97 in 78% yield. Compound 97 is subjected to Vilsmeier reaction affording 98, which is further converted by intramolecular aldol condensation to the bridged-ring-fused azulene derivative 99.
In CDCl3, the protons of the bridging methylene of 99 appear at δ = 3.58 and 1.03 ppm, which resonate at the lower fields than those of 4,9-methano[11]annulenone. On the other hand, the chemical shifts of the protons of the bridging methylene of the azulenylium ionic species 100+ produced in CF3CO2D are observed at the higher fields (δ = 1.34 and 0.38 ppm) than those of 99. These results imply that the cationic species 100+ serve as bridged annulene derivatives of the 18 π-electron system in the acidic medium, even though the contribution of the 18 π-electron system is small in the neutral media. Reduction of 99 with LiAlH4 in THF in the presence of AlCl3 yields 101 in 68% yield, but the cationic species derived from 101 has not been obtained so far.
In 2002, Nitta and co-workers prepared a series of azulenobenzotropones 105 and 106 to assess their reactivity and properties [57]. The [8 + 2] cycloaddition reaction of 17 with the enamines prepared from benzocycloheptanones gives the corresponding benzocycloheptazulenes 102–104 (Scheme 28). In these reactions, 102 (85%) and 103 (77%) are obtained in good yields, but the yield of 104 was rather low (39%). The reason for this is explained by the theoretical calculations of the enamines used. To introduce a carbonyl group to the fused-cycloheptane moiety, 102–104 are treated with DDQ in aqueous acetone to afford the corresponding carbonyl compounds in good to excellent yields (74−92%). Further oxidation of the carbonyl compounds by DDQ in refluxing 1,4-dioxane induces the aromatization to give the corresponding azulenobenzotropones 105 (47%) and 106 (21%) in moderate yields. As described later, these derivatives have also been converted into benzocyclohept[a]azulenylium ions and their aromaticity are evaluated from the viewpoint of the 1H NMR spectra. The 1H NMR spectra of 105 and 106 show the lower magnetic field shift in most of the proton signals in CF3CO2D, compared to those in CDCl3, attributed to the protonation of the carbonyl oxygen and the proton-deuterium exchange at the five-membered ring of the azulene moiety.
Scheme 28.
Synthesis of azulenobenzotropones 105 and 106, and their related compounds.
Azulene derivatives fused with a heterocycle can also be prepared from 2H-cyclohepta[b]furan-2-ones. In 1983, Fujimori, Yasunami, and co-workers reported the synthesis of azuleno[1,2-b]- and azuleno[1,2-c]thiophenes 110, 111a,b, and 112a,b starting from the reaction of 2H-cyclohepta[b]furan-2-ones with a mixture of enamines prepared from 3-oxotetrahydrothiophene (Scheme 29) [58,59]. The reactions of 13c and 26 with the enamines prepared from 3-oxotetrahydrothiophene and morpholine in ethanol under the reflux condition for 90 hours gives dihydroazuleno[1,2-c]- and dihydroazuleno[1,2-b]thiophenes 108a,b and 109a,b, respectively. In this reaction, employing the enamines prepared with pyrrolidine leads to unsuccessful results. Dehydrogenation of dihydroazulenothiophenes 108a,b and 109a,b by the treatment with DDQ in refluxing benzene, followed by the removal of the precipitated hydroquinone, provides the corresponding azulenothiophenes 110 and 111a,b. When 111a and 111b are heated in 100% H3PO4 at 90–95 °C, a decarboxylation reaction occurs to produce azuleno[1,2-b]thiophenes 112a and 112b in almost quantitative yields. These azuleno[1,2-b]thiophenes 111a,b and 112a,b are very stable at room temperature, while azuleno[1,2-c]thiophene 110 is extremely unstable under the ambient condition.
Scheme 29.
Synthesis of azuleno[1,2-c]- and azuleno[1,2-b]thiophenes 110, 111a,b, and 112a,b.
A similar pathway to the synthesis of azulenothiophenes has been adapted for the preparation of azulenopyrroles and furans 117–122 (Scheme 30) [60]. The reaction of the enamines, which are obtained by condensation of N-ethoxycarbonyl-3-oxopyrrolidine or 3-oxotetrahydrofuran with morpholine, with 13c gives dihydroazulenopyrroles or furans 113–116 after seven days in refluxing ethanol. Azuleno[1,2-b]pyrrole and furan 118 and 119 can be obtained in 99 and 86% yields, respectively, by the aromatization of the corresponding dihydro derivatives 115 and 116 with DDQ. When 113 is treated with manganese dioxide in benzene, azuleno[1,2-c]pyrrole 117 is formed in 37% yield, while the corresponding furan derivative 114 does not show the aromatization under the similar reaction conditions. When 118 is treated in 100% H3PO4 at 90 °C, decarboxylation occurs only on the azulene ring to afford 120 in 95% yield, whereas by further increasing the reaction temperature (180 °C), the decarboxylation of the ester group on the nitrogen takes place to provide azuleno[1,2-b]pyrrole 122 in 97% yield. When a similar reaction is applied to 119 at 90–95 °C, azuleno[1,2-b]furan 121 is obtained in 46% yield. Azuleno[1,2-b]furan and pyrrole 121 and 122 suggested a slight decrease in the aromaticity of these compounds compared to that of the parent azulene, since the coupling constants of these derivatives in 1H NMR spectra show a distinct bond-length alternation at the seven-membered ring.
Scheme 30.
Synthesis of azuleno[1,2-b]pyrroles and furans 117–122.
6. Reactivity and Properties of Azulene Derivatives Prepared from 2H-cyclohepta[b]furan-2-ones
The cycloalkane-fused azulenes produced by the reaction of 2H-cyclohepta[b]furan-2-ones with the enamines prepared from cyclic ketones can be derivatized by Oxidation, condensation, aromatization reactions, and so on.
The oxidation of alkyl groups on the azulene ring to a carbonyl group has been very difficult because azulene derivatives have less tolerance to commonly used oxidizing reagents, such as chromic acid, nitric acid, and permanganic acid. However, Yasunami et al. developed a facile method to transform the α-methylene group of an alkyl group on an azulene ring into a carbonyl group by the treatment with DDQ [61]. The treatment of the cycloalkane-fused azulenes and 1-alkylazulenes with 2.2 equivalents of DDQ in acetone containing 10% water provides the corresponding azulenes 124–126 fused to a cyclic ketone and 127 in high yields (Scheme 31). In the case of 1-alkylazulenes with an electron-withdrawing trifluoroacetyl or nitro group at the 3-position, the oxidation of the α-methylene group at the 1-position of the azulene ring is rather slow. Furthermore, the alkyl group at the 2-position of the azulene ring is not oxidized by the reaction with DDQ in a similar manner. When 1-alkylazulenes are treated with 1.2 equivalents of DDQ in aqueous acetone give alcohols 123 in low yield, which treated with DDQ furnishes the carbonyl derivative in quantitative yield. These findings indicate that alcohols 123 should be the intermediate in the oxidation of the α-methylene group with DDQ. The treatment of 128 with DDQ in 1,4-dioxane containing methanol results in the generation of 129 and 130 (Scheme 32), but the yields have not appeared in the literature.
Scheme 31.
Oxidation of the α-methylene at the 1-position of the azulene ring with DDQ.
Scheme 32.
Oxidation of the α-methylene of 128 with DDQ in the presence of MeOH.
From the above results, the reaction mechanism can be drawn as follows: the hydride ion is abstracted from the α-methylene at the 1-position of the azulene ring by DDQ to form a cationic intermediate F, which is stabilized by the resonance structure where the seven-membered ring of the azulene moiety forms a tropylium ion substructure F’. In acetone or 1,4-dioxane, the nucleophilic addition of water or methanol to the generated cations forms the corresponding intermediates 123, which are further oxidized by DDQ to form 1-carbonylazulenes 124–127.
Azulene-fused aromatic derivatives have attracting theoretical interest from the viewpoint of their aromaticity. Cyclopent[a]azulene, which consists of cyclopentadiene and azulene fused together is one of the promising precursors for the azulene derivatives with extended π-conjugation. Therefore, Yasunami et al. attempted to prepare cyclopent[a]azulenes 136 and 137 and elucidated their reactivity (Scheme 33) [62]. The reaction of 131a with N-bromosuccinimide (NBS) in carbon tetrachloride at 0 °C yields monobromide 132. Attempts of the elimination of hydrogen bromide from 132 with amine are failed to obtain the desired elimination product 133. However, treatment of 132 in refluxing chloroform converts to 133 in 87% yield (two-step yield from 131a). Treatment of 133 with 100% H3PO4 does not afford the desired products, but forms unidentifiable compounds. Hence, first, Diels–Alder reaction with cyclopentadiene is employed to 133 to produce 134. Following hydrolysis of the ester group and acid-catalyzed decarboxylation result in 135. When 135 is treated under FVP conditions (400 °C, 0.5–0.05 mmHg), 136 and 137 are obtained almost quantitatively (96%) in a 1:1 ratio.
Scheme 33.
Synthesis of cyclopent[a]azulenes 136 and 137.
Oxidation of dihydrocyclopent[a]azulenes 131a and 131b with DDQ in an aqueous acetone solution produces the ketones 138a and 138b in excellent yields, which are subsequently converted to the monobromides 139a and 139b by the bromination with NBS (Scheme 34) [63]. The elimination of hydrogen bromide from 139a and 139b by the treatment with triethylamine generates 3H-cyclopent[a]azulen-3-ones 140a and 140b as unstable intermediates, which are trapped by cyclopentadiene to give the bridged compounds 141a and 141b. In the absence of cyclopentadiene, the product 140a generated by the elimination reaction from 139a undergoes a Diels–Alder type cyclodimerization reaction to produce 144 (Scheme 35). The products 142a and 142b can be prepared by trifluoroacetic acid-catalyzed decarboxylation of the carboxylic acids obtained by the hydrolysis of 141a and 141b, although these compounds undergo decomposition when they are treated with 100% H3PO4. The compound 142a can be sublimed by the FVP at 550 °C to afford 3H-cyclopent[a]azulen-3-one 143.
Scheme 34.
Synthesis of 3H-cyclopent[a]azulen-3-one 143 and its precursors.
Scheme 35.
Formation of 144 by the Diels–Alder type cyclodimerization of 140a.
It is well known that the ring-fused azulene derivatives exhibit a bond-length alternation in the seven-membered ring, which is reflected in the vicinal coupling constants in their 1H NMR spectra [64,65,66]. In the 1H NMR spectrum of 143, the bond-length alternation is smaller than that of the usual ring-fused azulene derivatives, because the contribution of the resonance structure of 143’ is more significant to avoid the unstable anti-aromatic cyclopentadienone substructure in 143.
Bromination of 131a with NBS yields unstable bromide 132, which can be used in subsequent reactions without further purification. HBr is readily eliminated from 132 in chloroform under the reflux condition to give 133 as also described in Scheme 33. The product 133 is also prepared by the bromination of 131a with NBS in chloroform at room temperature to afford the dibromide 145 in 45% yield, followed by the treatment with zinc powder in ethanol to afford 133 in 86% yield (Scheme 36). The methylene position of the cyclopentadiene moiety of 133 is readily deprotonated upon the treatment with amines, and subsequent condensation reaction with ketones and aldehydes gives pentafulvene-fused azulene derivatives. For example, the reaction of 133 with acetone in the presence of methylamine furnishes 146 in 47% yield. Condensation reactions of 133 with carbonyl compounds other than acetone are also investigated to produce the desired pentafulvene derivatives with moderate to good yields.
Scheme 36.
Synthesis of dimethylfulvene-fused azulene derivative 146.
Spectroscopic properties and bond-length alternations of pentafulvene 146 and its derivatives obtained by this procedure are evaluated by UV/Vis spectra, as well as by 1H NMR spectra.
Cyclohept[a]azulenylium ion is one of the non-benzene aromatic compounds with a tricyclic carbon skeleton. The theoretical calculations suggest that this ion is a stable cation with a contribution of a 14 π-electron system. Yasunami et al. have investigated the synthesis of cyclohept[a]azulenylium ions 152a+ and 152b+ in order to demonstrate its stability and properties (Scheme 37) [67].
Scheme 37.
Synthesis of cyclohept[a]azulenylium ions 152a+ and 152b+.
The reaction of the ester derivative 147 with 1.2 equivalents of NBS in refluxing CCl4 gives olefinic compound 148b in 85% yield. The decarboxylation of 148b with 100% H3PO4 affords 148a. Treatment of 148a and 148b with 2.2 equivalents of DDQ in aqueous acetone solution resulted in the carbonyl derivatives 149a and 149b in 88 and 91% yields, respectively. Reduction of 149a and 149b with sodium borohydride (NaBH4) leads to unstable alcohols 150a and 150b, which are easily dehydrated by passing through a silica gel column yielding 3H-cyclohept[a]azulenes 151a and 151b. Treatment of 151a and 151b in chloroform with Ph3C+BF4− provides cyclohept[a]azulenylium ions 152a+ (33%) and 52b+ (93%) as tetrafluoroborates.
The 1H NMR spectra of 152a+ and 152b+ show the downfield shift of the ring proton signals attributed to their ionic structures, as well as the observation as equivalent proton signals at the two seven-membered rings. Furthermore, the fact that the 13C NMR spectra of 152a+ and 152b+ exhibit only eight signals corresponding to the ring carbons suggesting the delocalization of the positive charge of 152a+ and 152b+ in both seven-membered rings.
Dicyclohepta[cd,gh]pentalenes have been focused as one of the bridging [14] annulenes and the synthesis was achieved by Vogel and Reel in 1972 [68]. Inspired by their report, Yasunami and co-workers developed a novel approach for the synthesis of dicyclohepta[cd,gh]pentalenes 156a and 156b by the cyclization of 5H-cyclohept[a]azulen-5-one 155 with haloketenes (Scheme 38) [69]. The synthetic precursor 155 was prepared by a two-step route using 153 as a starting material; 153 is brominated with three equivalents of phenyltrimethylammonium perbromide (PTAB) at 0 °C to give dibromo derivative 154 in 95% yield, followed by debromination with six equivalents of lithium chloride (LiCl) in N,N-dimethylformamide (DMF) at 110 °C under a nitrogen atmosphere to form 155 in 91% yield. The reaction of 155 with dichloroketene for 11 hours in benzene under the reflux condition produces dicyclohepta[cd,gh]pentalene 156a in 66% yield. On the other hand, the reaction of 155 with chloromethyl ketene under the similar conditions gives the lactone derivative 157 within five minutes. The conversion of lactone 157 to dicyclohepta[cd,gh]pentalene 156b can be achieved by heating in triethylamine or in dimethylformamide at 120 °C with lithium bromide and lithium carbonate.
Scheme 38.
Synthesis of dicyclohepta[cd,gh]pentalenes 156a,b and 5-oxa-5H-dicyclohept[cd,hi]indene 159.
The reaction of 155 with sulfur ylide, i.e., ethyl dimethyl sulfinylidene acetate (EDSA), produces 158 in 98% yield (Scheme 38) [70]. Oxidation of 158 with Ph3C+BF4− produces a cationic intermediate, which can be treated with a sodium bicarbonate solution to furnish 5-oxa-5H-dicyclohept[cd,hi]indene 159 in 24% yield. Treatment of 158 with DDQ instead of Ph3C+BF4− provides 159 in a two-step yield of 65%.
Ito et al. reported the first synthesis of tri(1-azulenyl)methylium ions 162a+ and 162b+ from azuleno[1,2-b]thiophenes 112a and 112b and revealed their bond-length alternations by both of the coupling constants in 1H NMR spectra and single-crystal X-ray structure analysis (Scheme 39) [59]. The Vilsmeier reaction of 112a and 112b affords formyl derivatives 160a (93%) and 160b (86%), which are condensed with two equivalents of 112a or 112b in acetic acid at room temperature to give the corresponding tri(1-azulenyl)methanes 161a and 161b in 76 and 42% yields, respectively. Hydride abstraction reaction of 161a and 161b with DDQ and subsequent anion exchange with 60% HPF6 solution provides tris(azuleno[1,2-b]thiophene-9-yl)methylium ions 162a+ and 162b+ as hexafluorophosphates in 86 and 75% yields, respectively. In 1H NMR, the vicinal coupling constants in the seven-membered ring of 162a+ show the alternating pattern of J = 8.8 and 10.5 Hz, indicating a clear contribution of the bond-length alternation. In the 6-isopropyl derivative 162b+, the coupling constant increases slightly compared to those of 162a+. The results of X-ray crystallography show that the azuleno[1,2-b]thiophene moiety of the carbocation derived from the 6-isopropyl derivative has an almost planar structure and distinct difference in the carbon–carbon bond length of the seven-membered ring, as expected from the 1H NMR spectrum.
Scheme 39.
Synthesis of tri(1-azulenyl)methylium ions 162a+ and 162b+ and 1,1’-biazulene derivative 163 by the reaction of azuleno[1,2-b]thiophenes 112a and 112b.
Azulene derivatives usually react with NIS to give the corresponding 1-iodoazulene derivatives [71]. However, in the reaction of 112a with NIS, 1,1’-biazulene derivative 163 is formed in 74% yield instead of the expected iodoazulene derivative (Scheme 39) [72]. A similar reaction with NBS and NCS forms neither the corresponding 1-haloazulenes or the 1,1’-biazulene derivative 163, but only the decomposition is observed. Therefore, this homocoupling reaction is a specific reactivity between 112a and NIS, and a slight difference in the oxidation ability of NXS should be attributed to the outcome of the reaction.
1-Phenylazulene and 1,3,5-tri(1-azulenyl)benzenes can be prepared from 5-isopropyl-2H-cyclohepta[b]furan-2-one 13g (Scheme 40). The [8 + 2] cycloaddition reaction of 13g with in situ generated enamine from phenylacetaldehyde and morpholine gives 1-phenylazulene 164 having a ester function in 89% yield [73]. Removal of the ester function of 164 is accomplished by heating in 100% H3PO4 to produce 165 in 83% yield. The synthesis of 1,3,5-tri(1-azulenyl)benzenes 168a and 168b is also performed in four steps using 13g as a starting material. The 1-acetylazulene derivative 167 is obtained by the reaction of 13g with enamine prepared from 1-butanal and morpholine, followed by the oxidation of the α-position of azulene ring by DDQ in aqueous acetone furnishes 167, quantitatively. Benzannulation of 167 with thionyl chloride (SOCl2) in ethanol produces 1,3,5-(1-azulenyl)benzene 168a in 56% yield. 1,3,5-Tris(1-azulenyl)benzene 168a is thought to be generated by trimerization-type benzannulation by successive aldol condensation of the acetyl group of 167 [74]. The ester group of 168a is also decarboxylated by 100% H3PO4 to provide 168b in 98% yield. The 3-position of the azulene ring in 165 and 168 can be functionalized by electrophilic substitution reactions.
Scheme 40.
Synthesis of 1-phenylazulenes 164 and 165, and 1,3,5-tri(1-azulenyl)benzenes 168a and 168b via the reaction of 2H-cyclohepta[b]furan-2-one 13g with in situ generated enamines.
7. Synthesis of 2-arylazulenes by the Reaction of 2H-cyclohepta[b]furan-2-ones with Silyl Enol Ethers
The introduction of aryl moiety to the 2-position of azulene ring is mostly achieved by the cross-coupling reactions using the corresponding haloazulenes as starting materials because of the low reactivity of electrophiles to these sites [75,76,77,78]. There is only one example of the electrophilic substitution reaction by heterocyclic compound at the 2-position of the azulene ring, but in this case, a strong electron-donating group such as dimethylamino group at the 6-position and protection at the 1,3-positions of the azulene ring are both essential [79,80]. Recently, the reaction of 2H-cyclohepta[b]furan-2-ones 13c, 13g, 17, and 26 with silyl enol ethers substituted by various aryl groups have been reported as a new synthetic method for 2-arylazulenes 169–172 (Scheme 41) [81]. This method is applied to the synthesis of 2-arylazulenes, such as 2-(phenyl-, naphthyl-, ferrocenyl-, and heteroaryl)azulenes, although the reaction requires high temperature (190 °C). This method provides 2-arylazulenes, which are difficult to prepare by the reaction using enamines, in good to excellent yields. Furthermore, the ester group of 169 and 170 can be removed by decarboxylation with 100% H3PO4 to give the parent derivatives 171 and 172 in excellent yields. The reaction mechanism for the formation of 2-arylazulenes is thought to be via an [8 + 2] cycloaddition reaction between 2H-cyclohepta[b]furan-2-ones and silyl enol ethers, similar to the reaction with enamines.
Scheme 41.
Synthesis of 2-arylazulenes 169–172 by the reaction of 2H-cyclohepta[b]furan-2-ones with aryl-substituted silyl enol ethers.
The 2-arylazulenes 171 do not show any luminescence in neutral media (i.e., in dichloromethane), whereas they exhibit pronounced fluorescence when trifluoroacetic acid is added to the solution (Figure 3). The emission maxima of 171 in the acidic solution depend on the electronic nature of the substituent at the p-position of the benzene ring. The compounds with an electron-donating group at the p-position of the benzene ring show the red-shift in the luminescence, while the derivatives with an electron-withdrawing group exhibit the opposite effect, i.e., blue-shift.
Figure 3.
Photos of 2-phenylazulenes 171 in acidic media (30% CF3CO2H/CH2Cl2) under the irradiation of UV-light (λex = 365 nm).
8. Conclusions
In this review, we summarize the preparation of 2H-cyclohepta[b]furan-2-ones and their conversion to azulene derivatives, as well as their reactivities and properties. The reaction of 2H-cyclohepta[b]furan-2-ones with active methylenes, olefins, enamines, and silyl enol ethers can lead to azulene derivatives, and each of these synthetic methods has its individual advantages.
The reaction of 2H-cyclohepta[b]furan-2-ones with active methylenes provides 2-amino- and 2-hydroxyazulene derivatives, similar to the azulene synthesis from tropone derivatives reported by Nozoe et al. Furthermore, the amino and hydroxy groups of these derivatives can be further converted into a variety of functional groups. 2H-Cyclohepta[b]furan-2-ones react with olefins and their analogues to generate multiply functionalized azulene derivatives, such as ring-fused, alcohol, and alkyl-substituted ones. The most frequently employed method for the synthesis of azulenes starting from 2H-cyclohepta[b]furan-2-ones is the procedure reported by Yasunami-Takase et al. employing enamines, in which ring-fusing, alkyl, and aryl substituted derivatives can be prepared. However, unfortunately, this method is not suitable for the synthesis of 2-arylazulenes owing to the low yields. In contrast, the reaction of 2H-cyclohepta[b]furan-2-ones with aryl-substituted silyl enol ethers can circumvent such problems, and the corresponding 2-arylazulenes (including heteroaryls) are obtained in good to excellent yields.
Since the methodologies described above are extremely effective for the preparation of novel azulene derivatives with potential as organic materials and pharmaceuticals, we hope that this review will contribute to the development of these fields.
Author Contributions
T.S. and S.I wrote and reviewed the manuscript. Conceptualization, T.S., S.I., and M.Y.; Writing—original draft preparation, T.S. and S.I.; Writing—review and editing, T.S. and S.I. All authors have read and agreed to the published version of the manuscript.
Funding
This research received no external funding.
Conflicts of Interest
The authors declare no conflict of interest.
References
- Ito, S.; Shoji, T.; Morita, N. Recent Advances in the Development of Methods for the Preparation of Functionalized Azulenes for Electrochromic Applications. Synlett 2011, 16, 2279–2298. [Google Scholar] [CrossRef]
- Schmitt, S.; Baumgarten, M.; Simon, J.; Hafner, K. 2,4,6,8-Tetracyanoazulene: A New Building Block for “Organic Metals”. Angew. Chem. Int. Ed. 1998, 37, 1077–1081. [Google Scholar] [CrossRef]
- Morita, T.; Abe, N.; Takase, K. Reactions of diethyl azulene-1,3-dicarboxylate derivatives and 1-azaazulene derivatives with Grignard reagents, and alkyl- and aryllithium. J. Chem. Soc. Perkin Trans. 1 2000, 3063–3070. [Google Scholar] [CrossRef]
- Makosza, M.; Podraza, R. Hydroxylation and Amination of Azulenes by Vicarious Nucleophilic Substitution of Hydrogen. Eur. J. Org. Chem. 2000, 193–198. [Google Scholar] [CrossRef]
- Yanagisawa, T.; Wakabayashi, S.; Tomiyama, T.; Yasunami, M.; Takase, K. Synthesis and Anti-ulcer Activities of Sodium Alkylazulene Sulfonates. Chem. Pharm. Bull. 1988, 36, 641–647. [Google Scholar] [CrossRef] [PubMed]
- Nakamura, H.; Sekido, M.; Yamamoto, Y. Synthesis of Carboranes Containing an Azulene Framework and in Vitro Evaluation as Boron Carriers. J. Med. Chem. 1997, 40, 2825–2830. [Google Scholar] [CrossRef]
- Hong, B.-C.; Jiang, Y.-F.; Kumar, E.S. Microwave-assisted [6+4]-cycloaddition of fulvenes and α-pyrones to azulene–indoles: Facile syntheses of novel antineoplastic agents. Bioorg. Med. Chem. Lett. 2001, 11, 1981–1984. [Google Scholar] [CrossRef]
- Murfin, L.C.; Weber, M.; Park, S.-J.; Kim, W.-T.; Lopez-Alled, C.M.; McMullin, C.L.; Pradaux-Caggiano, F.; Lyall, C.L.; Kociok-Kohn, G.; Wenk, J.; et al. Azulene-Derived Fluorescent Probe for Bioimaging: Detection of Reactive Oxygen and Nitrogen Species by Two-Photon Microscopy. J. Am. Chem. Soc. 2019, 141, 19389–19396. [Google Scholar] [CrossRef] [PubMed]
- Yamaguchi, Y.; Maruya, Y.; Katagiri, H.; Nakayama, K.-I.; Ohba, Y. Synthesis, Properties, and OFET Characteristics of 5,5’-Di(2-azulenyl)-2,20-bithiophene (DAzBT) and 2,5-Di(2-azulenyl)-thieno[3,2-b]thiophene (DAzTT). Org. Lett. 2012, 14, 2316–2319. [Google Scholar] [CrossRef]
- Yamaguchi, Y.; Ogawa, K.; Nakayama, K.-i.; Ohba, Y.; Katagiri, H. Terazulene: A High-Performance n-Type Organic Field-Effect Transistor Based on Molecular Orbital Distribution Control. J. Am. Chem. Soc. 2013, 135, 19095–19098. [Google Scholar] [CrossRef] [PubMed]
- Yamaguchi, Y.; Takubo, M.; Ogawa, K.; Nakayama, K.-i.; Koganezawa, T.; Katagiri, H. Terazulene Isomers: Polarity Change of OFETs through Molecular Orbital Distribution Contrast. J. Am. Chem. Soc. 2016, 138, 11335–11343. [Google Scholar] [CrossRef]
- Nishimura, H.; Ishida, N.; Shimazaki, A.; Wakamiya, A.; Saeki, A.; Scott, L.T.; Murata, Y. Hole-Transporting Materials with a Two-Dimensionally Expanded π-System around an Azulene Core for Efficient Perovskite Solar Cells. J. Am. Chem. Soc. 2015, 137, 15656–15659. [Google Scholar] [CrossRef]
- Xin, H.; Ge, C.; Jiao, X.; Yang, X.; Rundel, K.; McNeill, C.R.; Gao, X. Incorporation of 2,6-Connected Azulene Units into the Backbone of Conjugated Polymers: Towards High-Performance Organic Optoelectronic Materials. Angew. Chem. Int. Ed. 2018, 57, 1322–1326. [Google Scholar] [CrossRef]
- Ziegler, K.; Hafner, K. Eine rationelle Synthese des Azulens. Angew. Chem. 1955, 67, 301. [Google Scholar] [CrossRef]
- Langhals, H.; Eberspaecher, M. A Convenient Synthesis of Azulene. Synthesis 2018, 50, 1862–1866. [Google Scholar] [CrossRef]
- Hafner, K.; Kaiser, H. Zur Kenntnis der Azulene, III. Eine Einfache Synthese Substituierter Azulene. Liebigs Ann. Chem. 1958, 618, 140–152. [Google Scholar] [CrossRef]
- Asao, T.; Ito, S.; Murata, I. Tetsuo Nozoe (1902−1996). Eur. J. Org. Chem. 2004, 899–928. [Google Scholar]
- Shoji, T.; Ariga, Y.; Ito, S.; Yasunami, M. Azuleno[6,5-b]indoles: Palladium-Catalyzed Oxidative Ring-Closing Reaction of 6-(Arylamino)azulenes. Heterocycles 2022, 105. in press. [Google Scholar] [CrossRef]
- Fischer, G. Azulenes Fused to Heterocycles. Adv. Heterocycl. Chem. 2009, 97, 131–218. [Google Scholar]
- Shoji, T.; Ito, S. Azulene-Based Donor–Acceptor Systems: Synthesis, Optical, and Electrochemical Properties. Chem. Eur. J. 2017, 23, 16696–16709. [Google Scholar] [CrossRef]
- Shoji, T.; Ito, S. The Preparation and Properties of Heteroarylazulenes and Hetero-Fused Azulenes. Adv. Heterocycl. Chem. 2018, 126, 1–54. [Google Scholar]
- Shoji, T.; Okujima, T.; Ito, S. Development of Heterocycle-Substituted and Fused Azulenes in the Last Decade (2010–2020). Int. J. Mol. Sci. 2020, 21, 7087. [Google Scholar] [CrossRef]
- Nozoe, T.; Takase, K.; Nakazawa, T.; Fukuda, S. The formation of azulene derivatives from 2H-cyclohepta[b]furan-2-one derivatives. Tetrahedron 1971, 27, 3357–3368. [Google Scholar] [CrossRef]
- Nozoe, T.; Takase, K.; Kato, M.; Nogi, T. The reaction of 2-arylsulfonyloxytropones and active methylene compounds: The formation of 8-hydroxy-2H-cyclohepta[b]furan-2-one and 2-amino-8H-cyclohepta[b]furan-8-one derivatives. Tetrahedron 1971, 27, 6023–6035. [Google Scholar] [CrossRef]
- Yokota, M.; Yanagisawa, T.; Kosakai, K.; Wakabayashi, S.; Tomiyama, T.; Yasunami, M. Synthesis and Analysis of Positive Inotropic Effects of 3-Substituted-2H-cyclohepta[b]furan-2-one Derivatives. Chem. Pharm. Bull. 1994, 42, 865–871. [Google Scholar] [CrossRef]
- Higashi, J.; Okada, K.; Shoji, T.; Toyota, K.; Watanabe, M.; Yasunami, M.; Kikuchi, S.; Ito, S.; Morita, N. Synthesis and Reactivity of 3-Methylsulfinyl-2H-cyclohepta[b]furan-2-ones. Heterocycles 2008, 76, 759–770. [Google Scholar]
- Takeshita, H. Research on Essential Oil Components of Chamaecyparis obtusa. Master’s thesis, Tohoku University, Sendai, Japan, 1957. [Google Scholar]
- Yanagisawa, T.; Kosakai, K.; Tomiyama, T.; Yasunami, M.; Takase, K. Studies on Anti-ulcer Agents. II. Synthesis and Anti-ulcer Activities of 6-Isopropylazulene-1-sodium Sulfonate Derivatives. Chem. Pharm. Bull. 1990, 38, 3355–3358. [Google Scholar] [CrossRef][Green Version]
- Shimoma, F.; Kusaka, H.; Wada, K.; Azami, H.; Yasunami, M.; Suzuki, T.; Hagiwara, H.; Ando, M. A Novel Synthetic Method of the (±)-(3aα,8aα)-Ethyl 8β-Hydroxy-6β-methyl-2-oxooctahydro-2H-cyclohepta[b]furan-3α- carboxylate and Its Chemical Transformation to (±)-(3aα,8aα)-3α,6β-Dimethyl-3,3a,4,5,6,8a-hexahydro-2H- cyclohepta[b]furan-2-one, (+)- and (−)-7β-(2-Acetoxy-1α-methylethyl)-4β-methyl-2-cyclohepten-1β-ol, and (+)- and (−)-7β-(2-Acetoxy-1α-methylethyl)-4β-methyl-2-cyclohepten-1-one. Possible Common Synthetic Intermediates for Pseudoguaianolides, 4,5-Secopseudoguaianolides, Guaianolides, 4,5-Secoguaianolides, and Octalactins. J. Org. Chem. 1998, 63, 920–929. [Google Scholar]
- Trahanovsky, W.S.; Emeis, S.L.; Lee, A.S. Formation of tropolone derivatives (2H-cyclohepta[b]furan-2-ones) by the pyrolysis of aryl propiolates. J. Org. Chem. 1976, 41, 4043–4044. [Google Scholar] [CrossRef]
- Nagel, M.S.; Hansen, H.-J. From phenols to azulenes: An extended and versatile route to polyalkylated azulenes with variable substitution patterns at the seven- and five-membered ring. Synlett 2002, 692–696. [Google Scholar] [CrossRef]
- Nozoe, T.; Asao, T.; Yasunami, M.; Wakui, H.; Suzuki, T.; Ando, M. Formation and Structure of 2-Diazo-2,4-azulenequinone Derivatives. J. Org. Chem. 1995, 60, 5919–5924. [Google Scholar] [CrossRef]
- Shoji, T.; Sugiyama, S.; Miura, K.; Ohta, A.; Sekiguchi, R.; Ito, S.; Mori, S.; Okujima, T. Synthesis of 2-Amino-1-cyanoazulenes: Substituent Effect on 2H-cyclohepta[b]furan-2-ones toward the Reaction with Malononitrile. Heterocycles 2018, 97, 1068–1081. [Google Scholar] [CrossRef]
- Shoji, T.; Higashi, J.; Ito, S.; Oda, M.; Yasunami, M.; Morita, N. Synthesis and Redox Behavior of Cyanovinyl-Substituted 2H-cyclohepta[b]furan-2-ones. Heterocycles 2012, 86, 305–315. [Google Scholar] [CrossRef]
- Nozoe, T.; Yang, P.-W.; Wu, C.-P.; Huang, T.-S.; Lee, T.-H.; Okai, H.; Wakabayashi, H.; Ishikawa, S. A Convenient, One-pot Azulene Synthesis from Cyclohepta[b]furan-2-ones and Vinyl Ether and Its Analogues (I). Vinyl Ethyl Ether, Vinyl Acetates, Dihydrofurans, and Dihydropyrans as Reagent. Heterocycles 1989, 29, 1225–1232. [Google Scholar]
- Nozoe, T.; Wakabayashi, H.; Shindo, K.; Ishikawa, S.; Wu, C.-P.; Yang, P.-W. A Convenient, One-Pot Azulene Synthesis from 2H-cyclohepta[b]furan-2-ones with Vinyl Ether and Its Analogues III. Orthoesters as a reagent. Heterocycles 1991, 32, 213–220. [Google Scholar]
- Wakabayashi, H.; Yang, P.-W.; Wu, C.-P.; Shindo, K.; Ishikawa, S.; Nozoe, T. A Convenient, One-Pot Synthesis of Azulenes Having Versatile Functional Groups by the Reaction of 2H-cyclohepta[b]furan-2-ones with Furan Derivatives. Heterocycles 1992, 34, 429–434. [Google Scholar] [CrossRef]
- Yasunami, M.; Kitamori, Y.; Kikuchi, I.; Ohmi, H.; Takase, K. Peri-Selective Cycloaddition Reactions of 3-Methoxycarbonyl-2H- cyclohepta[b]furan-2-one with 6,6-Dimethylfulvene. Bull. Chem. Soc. Jpn. 1992, 65, 2127–2130. [Google Scholar] [CrossRef]
- Tomioka, H.; Nitta, M. Participation of Superjacent and Subjacent Orbitals for the Cycloaddition Reaction of 2H-4,9-Methanocycloundeca[b]furan-2-one with Electron-Deficient Dienophiles. Heterocycles 1994, 38, 629–640. [Google Scholar]
- Wu, C.-P.; Devendar, B.; Su, H.-C.; Chang, Y.-H.; Ku, C.-K. Efficient synthesis and applications of 2-substituted azulene derivatives: Towards highly functionalized carbo- and heterocyclic molecules. Tetrahedron Lett. 2012, 53, 5019–5022. [Google Scholar] [CrossRef]
- Yasunami, M.; Takase, K. The Syntheses of Azulene Derivatives by the Reaction of 2H-cyclohepta[b]furan-2-ones with Enamines. J. Syn. Org. Chem. Jpn. 1981, 39, 1172–1182. [Google Scholar]
- Yang, P.-W.; Yasunami, M.; Takase, K. The formation of azulene derivatives by the reaction of 2H-cyclohepta[b]furan-2-ones with enamines. Tetrahedron Lett. 1971, 12, 4275–4278. [Google Scholar] [CrossRef]
- Yasunami, M.; Chen, A.; Yang, P.-W.; Takase, K. The Facile Synthesis of 1- and 2-Alkylazulenes by the Reactions of 2H-cyclohepta[b]furan-2-ones with Enamines of Aldehydes and Acyclic Ketones. Chem. Lett. 1980, 9, 579–582. [Google Scholar] [CrossRef]
- Yasunami, M.; Hioki, T.; Kitamori, Y.; Kikuchi, I.; Takase, K. Synthesis of Cyclopent[a]azulenes and 1(3)-Methylenecyclopent[a]azulene Derivatives Having an Electron Withdrawing Group at the 9-Position. Bull. Chem. Soc. Jpn. 1993, 66, 2273–2282. [Google Scholar] [CrossRef]
- Yasunami, M.; Miyoshi, S.; Kanegae, N.; Takase, K. A Versatile Synthetic Method of 1-Alkylazulenes and Azulene by the Reactions of 3-Methoxycarbonyl-2H-cyclohepta[b]furan-2-one with in situ Generated Enamines. Bull. Chem. Soc. Jpn. 1993, 66, 892–899. [Google Scholar] [CrossRef]
- Chen, A.; Yasunami, M.; Takase, K. Syntheses of azulene derivatives by the reaction of 2H-cyclohepta[b]furan-2-one with enamines. 2. Syntheses of indeno[2,1-a]azulene and indeno[1,2-a]azulene. Tetrahedron Lett. 1974, 12, 2581–2584. [Google Scholar] [CrossRef]
- Kuroda, S.; Mouri, M.; Hayashi, K.; Oda, M.; Yamada, M.; Shimao, I.; Osaki, H.; Yasunami, M. Synthesis and Properties of Azuleno[1,2-a]acenaphthylene and Dimethyl acenaphthyleno[1,2-d]heptalene-8,9-dicarboxylate. Chem. Lett. 1994, 23, 85–88. [Google Scholar] [CrossRef]
- Kuroda, S.; Hirooka, S.; Iwaki, H.; Ikeda, M.; Nakao, T.; Ogisu, M.; Yasunami, M.; Takase, K. Synthesis of Methyl Azulen[1,2-b]azulene-2-carboxylate and Dimethyl Azulen[1,2-b]azulene-2,4-dicarboxylate. Chem. Lett. 1986, 15, 2039–2042. [Google Scholar] [CrossRef]
- Nitta, M.; Nishimura, K.; Iino, Y. Synthesis and structural studies of novel azuleno[1,2-a]azulene and its derivatives. Tetrahedron Lett. 1993, 34, 2157–2160. [Google Scholar] [CrossRef]
- Yasunami, M.; Yang, P.W.; Kondo, Y.; Noro, Y.; Takase, K. Syntheses of azulene derivatives by the reactions of 2H-cyclohepta[b]furan-2-one with enamines. III. The synthesis of naphth[2,1-a]- and naphth[2,3-a]azulenes. Chem. Lett. 1980, 9, 167–170. [Google Scholar] [CrossRef]
- Murai, M.; Iba, S.; Ota, H.; Takai, K. Azulene-Fused Linear Polycyclic Aromatic Hydrocarbons with Small Bandgap, High Stability, and Reversible Stimuli Responsiveness. Org. Lett. 2017, 19, 5585–5588. [Google Scholar] [CrossRef]
- Vogel, E.; Roth, H.D. The Cyclodecapentaene System. Angew. Chem. Int. Ed. 1964, 3, 228. [Google Scholar] [CrossRef]
- Tanimoto, S.; Schäfer, R.; Ippen, J.; Vogel, E. 1H-Cyclopropa[a]naphthalene from 2,3-Benzo-1,6-methano[10]annulene. Angew. Chem. Int. Ed. 1976, 15, 613–614. [Google Scholar] [CrossRef]
- Hill, R.K.; Giberson, C.B.; Silverton, J.V. Forfeiture of the aromaticity of a bridged [10]annulene by benzannelation. J. Am. Chem. Soc. 1988, 110, 497–500. [Google Scholar] [CrossRef]
- Ito, K.; Kawaji, H.; Nitta, M. Synthesis and structural properties of 2,7-methanocyclodeca[a]azulene and its derivative. Tetrahedron Lett. 1994, 35, 2561–2564. [Google Scholar] [CrossRef]
- Kuroda, S.; Maeda, S.; Hirooka, S.; Ogisu, M.; Yamazaki, K.; Shimao, I.; Yasunami, M. The synthesis and properties of azuleno[1,2-d]bicyclo[5.4.1]dodeca-1,4,6,8,9a-pentaen-3-one and its cationic species. Tetrahedron Lett. 1989, 30, 1557–1560. [Google Scholar] [CrossRef]
- Yamane, K.; Yamamoto, H.; Nitta, M. Synthesis, Stability, and Spectroscopic and Electronic Properties, of Three Benzocyclohepta[a]azulenylium Ions. J. Org. Chem. 2002, 67, 8114–8122. [Google Scholar] [CrossRef]
- Fujimori, K.; Fujita, T.; Yamane, K.; Yasunami, M.; Takase, K. Synthesis of azuleno[1,2-b]- and azuleno[1,2-c]thiophenes by the reactions of 2H-cyclohepta[b]furan-2-ones with enamines of 3-oxotetrahydrothiophenes. Chem. Lett. 1983, 11, 1721–1724. [Google Scholar] [CrossRef]
- Ito, S.; Kubo, T.; Kondo, M.; Kabuto, C.; Morita, N.; Asao, T.; Fujimori, K.; Watanabe, M.; Harada, N.; Yasunami, M. Synthesis, stability and bonding situation of tris-, bis- and mono[9-(azuleno[1,2-b]thienyl)]methyl cations. Org. Biomol. Chem. 2003, 1, 2572–2580. [Google Scholar] [CrossRef] [PubMed]
- Fujimori, K.; Fukazawa, H.; Nezu, Y.; Yamane, K.; Yasunami, M.; Takase, K. Synthesis of azuleno[1,2-b]pyrrole and azuleno[1,2-b]furan. Chem. Lett. 1986, 6, 1021–1024. [Google Scholar] [CrossRef]
- Amemiya, T.; Yasunami, M.; Takase, K. The Novel Oxidation of 1-Alkylazulenes to 1-Acylazulenes with DDQ. Chem. Lett. 1977, 6, 587–590. [Google Scholar] [CrossRef]
- Kitamori, Y.; Yasunami, M.; Hioki, T.; Kikuchi, I.; Takase, K. Synthesis of a Polycyclic π-Conjugated System Containing an Azulene Unit by the Flash Vacuum Pyrolytic Method. I. Synthesis and Properties of Cyclopent[a]azulenes. Bull. Chem. Soc. Jpn. 1992, 65, 1527–1532. [Google Scholar] [CrossRef]
- Kitamori, Y.; Yasunami, M.; Hioki, T.; Kikuchi, I.; Takase, K. Synthesis of a Polycyclic π-Conjugated System Containing an Azulene Unit by the Flash Vacuum Pyrolytic Method. II. Synthesis and Paratropic Properties of 3H-Cyclopent[a]azulen-3-one and Its Methyl Derivatives. Bull. Chem. Soc. Jpn. 1992, 65, 2131–2140. [Google Scholar] [CrossRef]
- Bertelli, D.J.; Crews, P.O. Synthesis and study of pseudo aromatic compounds. XI. Analysis of the NMR spectra of 2-H-azulenone, and 1,2-benzazulene. Tetrahedron 1970, 26, 4717–4728. [Google Scholar] [CrossRef]
- Shoji, T.; Araki, T.; Iida, N.; Miura, K.; Ohta, A.; Sekiguchi, R.; Ito, S.; Okujima, T. Synthesis of azulenophthalimides by phosphine-mediated annulation of 1,2-diformylazulenes with maleimides. Org. Chem. Front. 2019, 6, 195–204. [Google Scholar] [CrossRef]
- Shoji, T.; Miura, K.; Ohta, A.; Sekiguchi, R.; Ito, S.; Endo, Y.; Nagahata, T.; Mori, S.; Okujima, T. Synthesis of azuleno[2,1-b]thiophenes by cycloaddition of azulenylalkynes with elemental sulfur and their structural, optical and electrochemical properties. Org. Chem. Front. 2019, 6, 2801–2811. [Google Scholar] [CrossRef]
- Yasunami, M.; Amemiya, T.; Takase, K. The synthesis of cyclohept[a]azulenylium ion: A new 14π electron system. Tetrahedron Lett. 1983, 24, 69–70. [Google Scholar] [CrossRef]
- Reel, H.; Vogel, E. Dicyclohepta[cd,gh]pentalene—A New Pyrene Isomer. Angew. Chem. Int. Ed. 1972, 11, 1013–1014. [Google Scholar] [CrossRef]
- Fujimori, K.; Morita, N.; Yasunami, M.; Asao, T.; Takase, K. A novel reaction of 5H-cyclohept[a]azulen-5-ones with haloketenes: Facile synthesis of dicyclohepta[cd,gh]pentalene. Tetrahedron Lett. 1983, 24, 781–784. [Google Scholar] [CrossRef]
- Yasunami, M.; Takagi, A.; Takase, K. Synthetic studies on cyclohept[a]azulene and related compounds. II. The synthesis of 5H-cyclohept[a]azulen-5-one and its novel reaction with a sulfur ylide: The formation of a new heterocyclic system. Chem. Lett. 1982, 11, 2027–2030. [Google Scholar] [CrossRef]
- Shoji, T.; Ito, S.; Toyota, K.; Yasunami, M.; Morita, N. Synthesis, properties, and redox behavior of mono-, bis-, and tris[1,1,4,4,-tetracyano-2-(1-azulenyl)-3-butadienyl] chromophores binding with benzene and thiophene cores. Chem. Eur. J. 2008, 14, 8398–8408. [Google Scholar] [CrossRef]
- Shoji, T.; Shimomura, E.; Inoue, Y.; Maruyama, M.; Yamamoto, A.; Fujimori, K.; Ito, S.; Yasunami, M.; Morita, N. Synthesis of Novel Thiophene-Fused 1,1’-Biazulene Derivative by the Reaction of Azuleno[1,2-b]thiophene with N-Iodosuccinimide. Heterocycles 2013, 87, 303–306. [Google Scholar] [CrossRef]
- Shoji, T.; Maruyama, A.; Tanaka, M.; Nagai, D.; Shimomura, E.; Fujimori, K.; Ito, S.; Okujima, T.; Toyota, K.; Yasunami, M. Synthesis and Properties of (3-Phenyl-1-azulenyl) tetracyanobetadienes and Tris(aryltetracyanobetadiene)s Connected with 1,3,5-Tri(1-azulenyl)benzene Core. ChemistrySelect 2016, 1, 49–56. [Google Scholar] [CrossRef]
- Shoji, T.; Maruyama, A.; Shimomura, E.; Nagai, D.; Ito, S.; Okujima, T.; Toyota, K. Synthesis, Properties, and Redox Behavior of Tris-(1-azulenyltetracyanobutadiene) and Tris[1-azulenylbis(tetracyanobutadiene)] Chromophores Connected to a 1,3,5-Tri(1-azulenyl)benzene Core. Eur. J. Org. Chem. 2015, 1979–1990. [Google Scholar] [CrossRef]
- Ito, S.; Terazono, T.; Kubo, T.; Okujima, T.; Morita, N.; Murafuji, T.; Sugihara, Y.; Fujimori, K.; Kawakami, J.; Tajiri, A. Efficient preparation of 2-azulenylboronate and Miyaura-Suzuki cross-coupling reaction with aryl bromides for easy access to poly(2-azulenyl)benzenes. Tetrahedron 2004, 60, 5357–5366. [Google Scholar] [CrossRef]
- Xin, H.; Li, J.; Lu, R.-Q.; Gao, X.; Swager, T.M. Azulene-Pyridine-Fused Heteroaromatics. J. Am. Chem. Soc. 2020, 142, 13598–13605. [Google Scholar] [CrossRef]
- Ran, H.; Duan, X.; Zheng, R.; Xie, F.; Chen, L.; Zhao, Z.; Han, R.; Lei, Z.; Hu, J.-Y. Two Isomeric Azulene-Decorated Naphthodithiophene Diimide-based Triads: Molecular Orbital Distribution Controls Polarity Change of OFETs Through Connection Position. ACS Appl. Mater. Interfaces 2020, 12, 23225–23235. [Google Scholar] [CrossRef]
- Xin, H.; Li, J.; Yang, X.; Gao, X. Azulene-Based BN-Heteroaromatics. J. Org. Chem. 2020, 85, 70–78. [Google Scholar] [CrossRef]
- Shoji, T.; Inoue, Y.; Ito, S.; Okujima, T.; Morita, N. First synthesis of 2-heteroarylazulenes by the electrophilic substitution of azulene with triflate of N-containing heterocycles. Heterocycles 2012, 85, 35–41. [Google Scholar] [CrossRef]
- Shoji, T.; Maruyama, A.; Maruyama, M.; Ito, S.; Okujima, T.; Higashi, J.; Toyota, K.; Morita, N. Synthesis and properties of 6-methoxy- and 6-dimethylamino-1-methylthio- and 1,3-bis(methylthio)azulenes and triflic anhydride-mediated synthesis of their biaryl derivatives. Bull. Chem. Soc. Jpn. 2014, 87, 141–154. [Google Scholar] [CrossRef]
- Shoji, T.; Sugiyama, S.; Kobayashi, Y.; Yamazaki, A.; Ariga, Y.; Katoh, R.; Wakui, H.; Yasunami, M.; Ito, S. Direct synthesis of 2-arylazulenes by [8+2] cycloaddition of 2H-cyclohepta[b]furan-2-ones with silyl enol ethers. Chem. Commun. 2020, 56, 1485–1488. [Google Scholar] [CrossRef]
Publisher’s Note: MDPI stays neutral with regard to jurisdictional claims in published maps and institutional affiliations. |
© 2021 by the authors. Licensee MDPI, Basel, Switzerland. This article is an open access article distributed under the terms and conditions of the Creative Commons Attribution (CC BY) license (https://creativecommons.org/licenses/by/4.0/).






