New Carvone-Based Deep Eutectic Solvents for Siloxanes Capture from Biogas
Abstract
:1. Introduction
- -
- Very high treatment efficiency with a properly selected solvent;
- -
- Low methane losses (below 1%);
- -
- Simple and relatively inexpensive technology;
- -
- The capacity to be regenerated many times.
2. Results and Discussion
2.1. Screening of DES
2.2. Synthesis of New DESs
2.3. An Experimental DESs Structural Characterization
2.3.1. Fourier Transform Infrared Spectroscopy (FT-IR)
2.3.2. Nuclear Magnetic Resonance Spectroscopy (NMR)
2.3.3. Physicochemical Properties of DESs
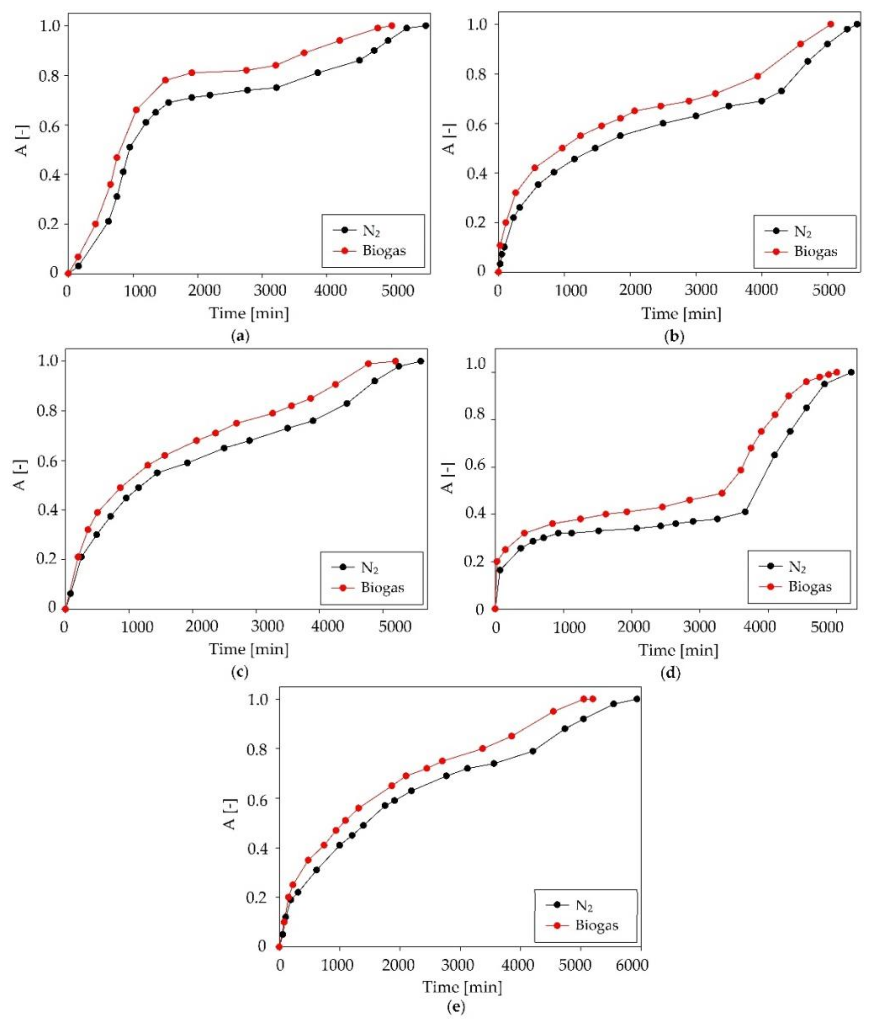
2.4. Absorption Process
2.5. Mechanism of Siloxane Absorption
2.5.1. FT-IR Analysis
2.5.2. NMR Analysis
2.6. Desorption Process
3. Materials and Methods
3.1. Materials
3.2. Apparatus
3.3. Procedures
3.3.1. COSMO-RS Studies
3.3.2. DES Synthesis
3.3.3. DES Structural Characterization
3.3.4. Physicochemical Properties of DES
3.3.5. Preparation of Model Biogas
3.3.6. Absorption Process
3.3.7. Gas Chromatographic Analysis
4. Conclusions
- -
- Based on the COSMO-RS studies, among 90 eutectic mixtures, DESs composed of carveon and carboxylic acids, i.e., decanoic, undecanoic, and dodecanoic acid, have the highest affinity for siloxanes.
- -
- Hydrogen bonds play a dominant role in the formation of DESs. On the other hand, weaker non-bonded interactions are responsible for the efficiency of the removal of siloxanes from biogas.
- -
- From the industrial point of view, new DESs are characterized by favorable physicochemical properties, i.e., low viscosity and density, and a low melting point, which enable efficient mass transfer even at low temperatures.
- -
- DESs can be easily regenerated by bubbling at elevated temperatures, and their efficiency only slightly decreases after five cycles.
- -
- The proposed absorption procedure based on DESs has great potential for the treatment of real biogas streams due to the high capture of siloxanes’ selectivity.
Supplementary Materials
Author Contributions
Funding
Institutional Review Board Statement
Informed Consent Statement
Data Availability Statement
Conflicts of Interest
References
- Al-Hamamre, Z.; Saidan, M.; Hararah, M.; Rawajfeh, K.; Alkhasawneh, H.E.; Al-Shannag, M. Wastes and biomass materials as sustainable-renewable energy resources for Jordan. Renew. Sustain. Energy Rev. 2017, 67, 295–314. [Google Scholar] [CrossRef]
- Hao, S.; Kuah, A.T.; Rudd, C.D.; Wong, K.H.; Lai, N.Y.G.; Mao, J.; Liu, X. A circular economy approach to green energy: Wind turbine, waste, and material recovery. Sci. Total. Environ. 2020, 702, 135054. [Google Scholar] [CrossRef]
- Mahari, W.A.W.; Azwar, E.; Foong, S.Y.; Ahmed, A.; Peng, W.; Tabatabaei, M.; Aghbashlo, M.; Park, Y.-K.; Sonne, C.; Lam, S.S. Valorization of municipal wastes using co-pyrolysis for green energy production, energy security, and environmental sustainability: A review. Chem. Eng. J. 2021, 421, 129749. [Google Scholar] [CrossRef]
- Kaur, A.; Bharti, R.; Sharma, R. Municipal solid waste as a source of energy. Mater. Today Proc. 2021. [Google Scholar] [CrossRef]
- Piechota, G.; Igliński, B. Biomethane in Poland—Current Status, Potential, Perspective and Development. Energies 2021, 14, 1517. [Google Scholar] [CrossRef]
- Igliński, B.; Piechota, G.; Iwański, P.; Skarzatek, M.; Pilarski, G. 15 Years of the Polish agricultural biogas plants: Their history, current status, biogas potential and perspectives. Clean Technol. Environ. Policy 2020, 22, 281–307. [Google Scholar] [CrossRef]
- Rasi, S. Biogas Composition and Upgrading to Biomethane; Lensu, A., Olsbo, P., Tynkkynen, M.-L., Eds.; Jyväskylä University Printing House: Jyväskylä, Finland, 2009. [Google Scholar]
- Rasi, S.; Veijanen, A.; Rintala, J. Trace compounds of biogas from different biogas production plants. Energy 2007, 32, 1375–1380. [Google Scholar] [CrossRef]
- Rasi, S.; Läntelä, J.; Rintala, J. Trace compounds affecting biogas energy utilisation–A review. Energy Convers. Manag. 2011, 52, 3369–3375. [Google Scholar] [CrossRef]
- Macor, A.; Benato, A. A Human Health Toxicity Assessment of Biogas Engines Regulated and Unregulated Emissions. Appl. Sci. 2020, 10, 7048. [Google Scholar] [CrossRef]
- Haak, L.; Roy, R.; Pagilla, K. Toxicity and biogas production potential of refinery waste sludge for anaerobic digestion. Chemosphere 2016, 144, 1170–1176. [Google Scholar] [CrossRef]
- Li, Y.; Alaimo, C.P.; Kim, M.; Kado, N.Y.; Peppers, J.; Xue, J.; Wan, C.; Green, P.G.; Zhang, R.; Jenkins, B.M.; et al. Composition and Toxicity of Biogas Produced from Different Feedstocks in California. Environ. Sci. Technol. 2019, 53, 11569–11579. [Google Scholar] [CrossRef] [PubMed]
- McBean, E.A. Siloxanes in biogases from landfills and wastewater digesters. Can. J. Civ. Eng. 2008, 35, 431–436. [Google Scholar] [CrossRef]
- Santiago, R.; Moya, C.; Palomar, J. Siloxanes capture by ionic liquids: Solvent selection and process evaluation. Chem. Eng. J. 2020, 401, 126078. [Google Scholar] [CrossRef]
- De Hullu, J.; Maassen, J.I.W.; van Meel, P.A.; Shazad, S.; Vaessen, J.M.P.; Bini, L.; Reijenga, J.C. Comparing different biogas upgrading techniques; Final Report for Eindhoven University of Technology; Eindhoven University of Technology: Eindhoven, The Netherlands, 20 July 2008. [Google Scholar]
- Kvist, T.; Aryal, N. Methane loss from commercially operating biogas upgrading plants. Waste Manag. 2019, 87, 295–300. [Google Scholar] [CrossRef] [PubMed]
- Adnan, A.I.; Ong, M.Y.; Nomanbhay, S.; Chew, K.W.; Show, P.L. Technologies for Biogas Upgrading to Biomethane: A Review. Bioengineering 2019, 6, 92. [Google Scholar] [CrossRef] [Green Version]
- Sun, Q.; Li, H.; Yan, J.; Liu, L.; Yu, Z.; Yu, X. Selection of appropriate biogas upgrading technology-a review of biogas cleaning, upgrading and utilisation. Renew. Sustain. Energy Rev. 2015, 51, 521–532. [Google Scholar] [CrossRef]
- Angelidaki, I.; Treu, L.; Tsapekos, P.; Luo, G.; Campanaro, S.; Wenzel, H.; Kougias, P.G. Biogas upgrading and utilization: Current status and perspectives. Biotechnol. Adv. 2018, 36, 452–466. [Google Scholar] [CrossRef] [Green Version]
- Warren, W.K.E.H. A Techno-economic Comparison of Biogas Upgrading Technologies in Europe. Master’s Thesis, Jyväskylän yliopisto—University of Jyväskylä, Jyväskylä, Finland, 2012; p. 44. [Google Scholar]
- Hsu, C.H.; Chu, H.; Cho, C.M. Absorption and reaction kinetics of amines and ammonia solutions with carbon dioxide in flue gas. J. Air Waste Manag. Assoc. 2003, 53, 246–252. [Google Scholar] [CrossRef] [Green Version]
- Zhang, Y.; Ji, X.; Xie, Y.; Lu, X. Thermodynamic analysis of CO2 separation from biogas with conventional ionic liquids. Appl. Energy 2018, 217, 75–87. [Google Scholar] [CrossRef]
- Häckl, K.; Kunz, W. Some aspects of green solvents. Comptes Rendus Chim. 2018, 21, 572–580. [Google Scholar] [CrossRef]
- Han, J.; Dai, C.; Yu, G.; Lei, Z. Parameterization of COSMO-RS model for ionic liquids. Green Energy Environ. 2018, 3, 247–265. [Google Scholar] [CrossRef]
- Pham, T.P.T.; Cho, C.-W.; Yun, Y.-S. Environmental fate and toxicity of ionic liquids: A review. Water Res. 2010, 44, 352–372. [Google Scholar] [CrossRef] [PubMed]
- Soltanmohammadi, F.; Jouyban, A.; Shayanfar, A. New aspects of deep eutectic solvents: Extraction, pharmaceutical applications, as catalyst and gas capture. Chem. Pap. 2021, 75, 439–453. [Google Scholar] [CrossRef]
- Makoś, P.; Słupek, E.; Gębicki, J. Hydrophobic deep eutectic solvents in microextraction techniques–A review. Microchem. J. 2020, 152, 104384. [Google Scholar] [CrossRef]
- Migliorati, V.; Sessa, F.; D’Angelo, P. Deep eutectic solvents: A structural point of view on the role of the cation. Chem. Phys. Lett. X 2019, 2, 100001. [Google Scholar] [CrossRef]
- Makoś, P.; Przyjazny, A.; Boczkaj, G. Hydrophobic deep eutectic solvents as “green” extraction media for polycyclic aromatic hydrocarbons in aqueous samples. J. Chromatogr. A 2018, 1570, 28–37. [Google Scholar] [CrossRef]
- Makoś, P.; Boczkaj, G. Deep eutectic solvents based highly efficient extractive desulfurization of fuels–Eco-friendly approach. J. Mol. Liq. 2019, 296, 111916. [Google Scholar] [CrossRef]
- Ivanović, M.; Razboršek, M.I.; Kolar, M. Innovative Extraction Techniques Using Deep Eutectic Solvents and Analytical Methods for the Isolation and Characterization of Natural Bioactive Compounds from Plant Material. Plants 2020, 9, 1428. [Google Scholar] [CrossRef]
- Cunha, S.C.; Fernandes, J.O. Extraction techniques with deep eutectic solvents. TrAC Trends Anal. Chem. 2018, 105, 225–239. [Google Scholar] [CrossRef]
- Makoś, P.; Słupek, E.; Gębicki, J. Extractive detoxification of feedstocks for the production of biofuels using new hydrophobic deep eutectic solvents–Experimental and theoretical studies. J. Mol. Liq. 2020, 308, 113101. [Google Scholar] [CrossRef]
- Makoś, P.; Fernandes, A.; Przyjazny, A.; Boczkaj, G. Sample preparation procedure using extraction and derivatization of carboxylic acids from aqueous samples by means of deep eutectic solvents for gas chromatographic-mass spectrometric analysis. J. Chromatogr. A 2018, 1555, 10–19. [Google Scholar] [CrossRef] [PubMed]
- Słupek, E.; Makoś, P. Absorptive Desulfurization of Model Biogas Stream Using Choline Chloride-Based Deep Eutectic Solvents. Sustainability 2020, 12, 1619. [Google Scholar] [CrossRef] [Green Version]
- Song, Y.; Chen, S.; Luo, F.; Sun, L. Absorption of Toluene Using Deep Eutectic Solvents: Quantum Chemical Calculations and Experimental Investigation. Ind. Eng. Chem. Res. 2020, 59, 22605–22618. [Google Scholar] [CrossRef]
- Słupek, E.; Makos, P.; Dobrzyniewski, D.; Szulczynski, B.; Gebicki, J. Process control of biogas purification using electronic nose. Chem. Eng. Trans. 2020, 82. [Google Scholar] [CrossRef]
- Słupek, E.; Makoś, P.; Gębicki, J. Deodorization of model biogas by means of novel non-ionic deep eutectic solvent. Arch. Environ. Prot. 2020, 46, 41–46. [Google Scholar] [CrossRef]
- Makoś, P.; Słupek, E.; Małachowska, A. Silica Gel Impregnated by Deep Eutectic Solvents for Adsorptive Removal of BTEX from Gas Streams. Materials 2020, 13, 1894. [Google Scholar] [CrossRef] [Green Version]
- Gomez, E.; Cojocaru, P.; Magagnin, L.; Vallés, E. Electrodeposition of Co, Sm and SmCo from a Deep Eutectic Solvent. J. Electroanal. Chem. 2011, 658, 18–24. [Google Scholar] [CrossRef]
- Smith, E.L.; Abbott, A.; Ryder, K. Deep Eutectic Solvents (DESs) and Their Applications. Chem. Rev. 2014, 114, 11060–11082. [Google Scholar] [CrossRef] [Green Version]
- García, G.; Aparicio, S.; Ullah, R.; Atilhan, M. Deep Eutectic Solvents: Physicochemical Properties and Gas Separation Applications. Energy Fuels 2015, 29, 2616–2644. [Google Scholar] [CrossRef]
- Sarmad, S.; Mikkola, J.-P.; Ji, X. Carbon Dioxide Capture with Ionic Liquids and Deep Eutectic Solvents: A New Generation of Sorbents. ChemSusChem 2017, 10, 324–352. [Google Scholar] [CrossRef]
- Zubeir, L.F.; van Osch, D.; Rocha, M.A.A.; Banat, F.; Kroon, M.C. Carbon Dioxide Solubilities in Decanoic Acid-Based Hydrophobic Deep Eutectic Solvents. J. Chem. Eng. Data 2018, 63, 913–919. [Google Scholar] [CrossRef] [Green Version]
- Wu, H.; Shen, M.; Chen, X.; Yu, G.; Abdeltawab, A.A.; Yakout, S.M. New absorbents for hydrogen sulfide: Deep eutectic solvents of tetrabutylammonium bromide/carboxylic acids and choline chloride/carboxylic acids. Sep. Purif. Technol. 2019, 224, 281–289. [Google Scholar] [CrossRef]
- Gholizadeh, F.; Kamgar, A.; Roostaei, M.; Rahimpour, M.R. Determination of SO2 solubility in ionic liquids: COSMO-RS and modified Sanchez-Lacombe EOS. J. Mol. Liq. 2018, 272, 878–884. [Google Scholar] [CrossRef]
- Aissaoui, T.; AlNashef, I.; Benguerba, Y. Dehydration of natural gas using choline chloride based deep eutectic solvents: COSMO-RS prediction. J. Nat. Gas Sci. Eng. 2016, 30, 571–577. [Google Scholar] [CrossRef]
- Zhong, F.; Huang, K.; Peng, H.-L. Solubilities of ammonia in choline chloride plus urea at (298.2–353.2) K and (0–300) kPa. J. Chem. Thermodyn. 2019, 129, 5–11. [Google Scholar] [CrossRef]
- Gómez, J.S.; Lohmann, H.; Krassowski, J. Determination of volatile organic compounds from biowaste and co-fermentation biogas plants by single-sorbent adsorption. Chemosphere 2016, 153, 48–57. [Google Scholar] [CrossRef] [PubMed]
- Santos-Clotas, E.; Cabrera-Codony, A.; Boada, E.; Gich, F.; Muñoz, R.; Martín, M.J. Efficient removal of siloxanes and volatile organic compounds from sewage biogas by an anoxic biotrickling filter supplemented with activated carbon. Bioresour. Technol. 2019, 294, 122136. [Google Scholar] [CrossRef]
- Aissaoui, T.; Benguerba, Y.; AlOmar, M.K.; Alnashef, I.M. Computational investigation of the microstructural characteristics and physical properties of glycerol-based deep eutectic solvents. J. Mol. Model. 2017, 23, 23. [Google Scholar] [CrossRef] [PubMed]
- García, G.; Atilhan, M.; Aparicio, S. A density functional theory insight towards the rational design of ionic liquids for SO2 capture. Phys. Chem. Chem. Phys. 2015, 17, 13559–13574. [Google Scholar] [CrossRef] [Green Version]
- Moura, L.; Moufawad, T.; Ferreira, M.; Bricout, H.; Tilloy, S.; Monflier, E.; Gomes, M.C.; Landy, D.; Fourmentin, S. Deep eutectic solvents as green absorbents of volatile organic pollutants. Environ. Chem. Lett. 2017, 15, 747–753. [Google Scholar] [CrossRef]
- Makoś-Chełstowska, P.; Słupek, E.; Gębicki, J. Deep eutectic solvent-based green absorbents for the effective removal of volatile organochlorine compounds from biogas. Green Chem. 2021, 23, 4814–4827. [Google Scholar] [CrossRef]
- Słupek, E.; Makoś-Chełstowska, P.; Gębicki, J. Removal of Siloxanes from Model Biogas by Means of Deep Eutectic Solvents in Absorption Process. Materials 2021, 14, 241. [Google Scholar] [CrossRef] [PubMed]
- Awe, O.W.; Zhao, Y.; Nzihou, A.; Minh, D.P.; Lyczko, N. A Review of Biogas Utilisation, Purification and Upgrading Technologies. Waste Biomass Valorization 2017, 8, 267–283. [Google Scholar] [CrossRef] [Green Version]
- Słupek, E.; Makoś, P.; Gębicki, J. Theoretical and Economic Evaluation of Low-Cost Deep Eutectic Solvents for Effective Biogas Upgrading to Bio-Methane. Energies 2020, 13, 3379. [Google Scholar] [CrossRef]
- Ortega, D.R.; Subrenat, A. Siloxane treatment by adsorption into porous materials. Environ. Technol. 2009, 30, 1073–1083. [Google Scholar] [CrossRef]
- Gislon, P.; Galli, S.; Monteleone, G. Siloxanes removal from biogas by high surface area adsorbents. Waste Manag. 2013, 33, 2687–2693. [Google Scholar] [CrossRef]



















| 1H NMR | |||||||
|---|---|---|---|---|---|---|---|
| HBA | DES | HBD | DES | ||||
| atom | δ (ppm) | atom | δ (ppm) | atom | δ (ppm) | atom | δ (ppm) |
| H1 | 2.45 | H1 | 2.31 | H1 | 11.87 | H1 | 11.38 |
| H2 | 2.35 | H2 | 2.30 | H2 | 2.21 | H2 | 2.21 |
| H3 | 2.69 | H3 | 2.56 | H3 | 1.54 | H3 | 1.51 |
| H4 | 4.76 | H4 | 4.68 | H4 | 1.33 | H4 | 1.19 |
| H5 | 4.81 | H5 | 4.64 | H5 | 1.26 | H5 | 1.15 |
| H6 | 1.76 | H6 | 1.63 | H6 | 0.88 | H6 | 0.76 |
| H7 | 2.57 | H7 | 2.48 | ||||
| H8 | 2.35 | H8 | 2.44 | ||||
| H9 | 1.78 | H9 | 1.66 | ||||
| H10 | 6.77 | H10 | 6.65 | ||||
| 13C NMR | |||||||
| C1 | 15.63 | C1 | 15.48 | C1 | 180.81 | C1 | 179.50 |
| C2 | 135.45 | C2 | 135.27 | C2 | 34.26 | C2 | 33.96 |
| C3 | 144.40 | C3 | 144.74 | C3 | 31.99 | C3 | 31.77 |
| C4 | 31.30 | C4 | 31.12 | C4 | 29.53 | C4 | 29.32 |
| C5 | 42.55 | C5 | 42.89 | C5 | 29.38 | C5 | 29.17 |
| C6 | 146.69 | C6 | 146.40 | C6 | 29.38 | C6 | 29.16 |
| C7 | 110.47 | C7 | 110.33 | C7 | 29.19 | C7 | 28.98 |
| C8 | 20.50 | C8 | 20.26 | C8 | 24.79 | C8 | 24.62 |
| C9 | 43.20 | C9 | 42.35 | C9 | 22.77 | C9 | 22.55 |
| C10 | 199.34 | C10 | 199.7 | C10 | 14.13 | C10 | 13.92 |
| 1H NMR | |||||||
| C | C:DA (1:1)+Si | DA | C:DA (1:1)+Si | ||||
| atom | δ (ppm) | atom | δ (ppm) | atom | δ (ppm) | atom | δ (ppm) |
| H1 | 2.31 | H1 | 2.26 | H1 | 11.38 | H1 | 11.22 |
| H2 | 2.35 | H2 | 2.31 | H2 | 2.21 | H2 | 2.17 |
| H3 | 2.56 | H3 | 2.52 | H3 | 1.51 | H3 | 1.48 |
| H4 | 4.68 | H4 | 4.64 | H4 | 1.19 | H4 | 1.16 |
| H5 | 4.64 | H5 | 4.61 | H5 | 1.15 | H5 | 1.13 |
| H6 | 1.63 | H6 | 1.59 | H6 | 0.76 | H6 | 0.74 |
| H7 | 2.48 | H7 | 2.44 | ||||
| H8 | 2.44 | H8 | 2.40 | ||||
| H9 | 1.66 | H9 | 1.62 | ||||
| H10 | 6.65 | H10 | 6.60 | ||||
| 13C NMR | |||||||
| C | C:DA (1:1)+Si | DA | C:DA (1:1)+Si | ||||
| C1 | 15.48 | C1 | 15.38 | C1 | 179.50 | C1 | 179.20 |
| C2 | 135.27 | C2 | 135.30 | C2 | 33.96 | C2 | 33.83 |
| C3 | 144.74 | C3 | 144.40 | C3 | 31.77 | C3 | 31.72 |
| C4 | 31.12 | C4 | 31.08 | C4 | 29.32 | C4 | 29.28 |
| C5 | 42.89 | C5 | 42.83 | C5 | 29.17 | C5 | 29.14 |
| C6 | 146.40 | C6 | 146.10 | C6 | 29.16 | C6 | 29.14 |
| C7 | 110.33 | C7 | 110.10 | C7 | 28.98 | C7 | 28.94 |
| C8 | 20.26 | C8 | 20.17 | C8 | 24.62 | C8 | 24.55 |
| C9 | 42.35 | C9 | 42.32 | C9 | 22.55 | C9 | 22.49 |
| C10 | 199.7 | C10 | 199.40 | C10 | 13.92 | C10 | 13.83 |
Publisher’s Note: MDPI stays neutral with regard to jurisdictional claims in published maps and institutional affiliations. |
© 2021 by the authors. Licensee MDPI, Basel, Switzerland. This article is an open access article distributed under the terms and conditions of the Creative Commons Attribution (CC BY) license (https://creativecommons.org/licenses/by/4.0/).
Share and Cite
Makoś-Chełstowska, P.; Słupek, E.; Kramarz, A.; Gębicki, J. New Carvone-Based Deep Eutectic Solvents for Siloxanes Capture from Biogas. Int. J. Mol. Sci. 2021, 22, 9551. https://doi.org/10.3390/ijms22179551
Makoś-Chełstowska P, Słupek E, Kramarz A, Gębicki J. New Carvone-Based Deep Eutectic Solvents for Siloxanes Capture from Biogas. International Journal of Molecular Sciences. 2021; 22(17):9551. https://doi.org/10.3390/ijms22179551
Chicago/Turabian StyleMakoś-Chełstowska, Patrycja, Edyta Słupek, Aleksandra Kramarz, and Jacek Gębicki. 2021. "New Carvone-Based Deep Eutectic Solvents for Siloxanes Capture from Biogas" International Journal of Molecular Sciences 22, no. 17: 9551. https://doi.org/10.3390/ijms22179551
APA StyleMakoś-Chełstowska, P., Słupek, E., Kramarz, A., & Gębicki, J. (2021). New Carvone-Based Deep Eutectic Solvents for Siloxanes Capture from Biogas. International Journal of Molecular Sciences, 22(17), 9551. https://doi.org/10.3390/ijms22179551

