CSBD Healing in Rats after Application of Bovine Xenogeneic Biomaterial Enriched with Magnesium Alloy
Abstract
1. Introduction
2. Results
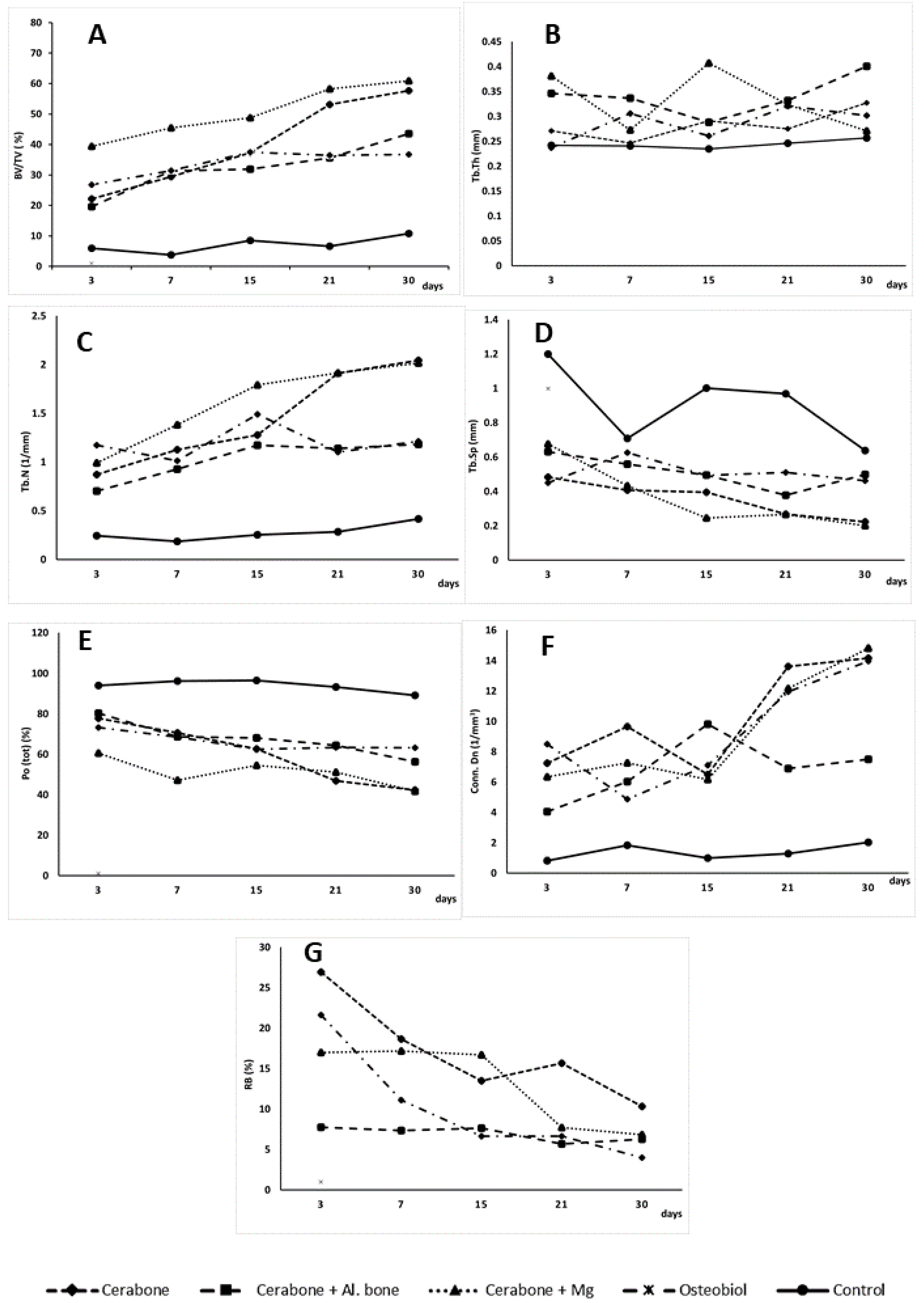
2.1. Micro-CT Analyses
2.2. Histology and Immunohistochemistry
3. Discussion
4. Materials and Methods
4.1. Animals and Experimental Design
4.2. Surgical Protocol
4.3. Laboratory Processing
4.4. Micro-Computerized Tomography (Micro-CT)
4.5. Histological Staining
4.6. Immunohistochemical Method
4.7. Statistical Analyses
5. Conclusions
Author Contributions
Funding
Institutional Review Board Statement
Informed Consent Statement
Acknowledgments
Conflicts of Interest
References
- Horowitz, R.; Holtzclaw, D.; Rosen, P.S. A review on alveolar ridge preservation following tooth extraction. J. Evid. Based Dent. Pract. 2012, 12 (Suppl. 3), 149–160. [Google Scholar] [CrossRef]
- Tan, W.L.; Wong, T.L.; Wong, M.C.; Lang, N.P. A systematic review of post-extractional alveolar hard and soft tissue dimensional changes in humans. Clin. Oral Implant. Res. 2012, 23 (Suppl. 5), 1–21. [Google Scholar] [CrossRef] [PubMed]
- Chappuis, V.; Engel, O.; Reyes, M.; Shahim, K.; Nolte, L.P.; Buser, D. Ridge alterations post-extraction in the esthetic zone: A 3D analysis with CBCT. J. Dent. Res. 2013, 92 (Suppl. 12), 195S–201S. [Google Scholar] [CrossRef] [PubMed]
- Dimitriou, R.; Tsiridis, E.; Giannoudis, P.V. Current concepts of molecular aspects of bone healing. Injury 2005, 36, 1392–1404. [Google Scholar] [CrossRef]
- Kačarević, P.; Kavehei, F.; Houshmand, A.; Franke, J.; Smeets, R.; Rimashevskiy, D.; Wenisch, S.; Schnettler, R.; Jung, O.; Barbeck, M. Purification processes of xenogeneic bone substitutes and their impact on tissue reactions and regeneration. Int. J. Artif. Organs 2018, 41, 789–800. [Google Scholar] [CrossRef] [PubMed]
- Torres, J.; Tamimi, F.; Alkhraisat, M.H.; Manchón, Á.; Linares, R.; Prados-Frutos, J.C.; Hernandez, G.; Cabarcos, E.L. Platelet-rich plasma may prevent titanium-mesh exposure in alveolar ridge augmentation with anorganic bovine bone. J. Clin. Periodontol. 2010, 37, 943–951. [Google Scholar] [CrossRef]
- Lindhe, J.; Cecchinato, D.; Donati, M.; Tomasi, C.; Liljenberg, B. Ridge preservation with the use of deproteinized bovine bone mineral. Clin. Oral Implant. Res. 2014, 25, 786–790. [Google Scholar] [CrossRef] [PubMed]
- Schmitt, C.M.; Doering, H.; Schmidt, T.; Lutz, R.; Neukam, F.W.; Schlegel, K.A. Histological results after maxillary sinus augmentation with Straumann® BoneCeramic, Bio-Oss®, Puros®, and autologous bone. A randomized controlled clinical trial. Clin. Oral Implant. Res. 2013, 24, 576–585. [Google Scholar] [CrossRef]
- Berberi, A.; Samarani, A.; Nader, N.; Noujeim, Z.; Dagher, M.; Kanj, W.; Mearawi, R.; Salemeh, Z.; Badran, B. Physicochemical characteristics of bone substitutes used in oral surgery in comparison to autogenous bone. Biomed. Res. INT 2014, 2, 320790. [Google Scholar] [CrossRef]
- Vanis, S.; Rheinbach, O.; Klawonn, A.; Prymak, O.; Epple, M. Numerical computation of the porosity of bone substitution materials from synchrotron micro computer tomographic data. Mater. Werkst 2006, 37, 469–473. [Google Scholar] [CrossRef]
- Figueiredo, M.; Henriques, J.; Martins, G.; Guerra, F.; Judas, F.; Figueiredo, H. Physicochemical characterization of biomaterials commonly used in dentistry as bone substitutes--comparison with human bone. J. Biomed. Mater. Res. B Appl. Biomater. 2010, 92, 409–419. [Google Scholar] [CrossRef]
- Rolvien, T.; Barbeck, M.; Wenisch, S.; Amling, M.; Krause, M. Cellular Mechanisms Responsible for Success and Failure of Bone Substitute Materials. Int. J. Mol. Sci. 2018, 19, 2893. [Google Scholar] [CrossRef]
- Abdelgawad, M.; Søe, K.; Andersen, T.; Merrild, D.; Christiansen, P.; Kjaersgaard-andersen, P.; Delaissé, J.M. Does collagen trigger the recruitment of osteoblasts into vacated bone resorption lacunae during bone remodeling? Bone 2014, 67, 181–188. [Google Scholar] [CrossRef] [PubMed]
- Tadic, D.; Epple, M. A thorough physicochemical characterisation of 14 calcium phosphate-based bone substitution materials in comparison to natural bone. Biomaterials 2004, 25, 987–994. [Google Scholar] [CrossRef]
- Manfro, R.; Fonseca, F.S.; Bortoluzzi, M.C.; Sendyk, W.R. Comparative, Histological and Histomorphometric Analysis of Three Anorganic Bovine Xenogenous Bone Substitutes: Bio-Oss, Bone-Fill and Gen-Ox Anorganic. J. Maxillofac. Oral Surg. 2014, 13, 464–470. [Google Scholar] [CrossRef] [PubMed]
- Jensen, S.S.; Aaboe, M.; Pinholt, E.M.; Hjørting-Hansen, E.; Melsen, F.; Ruyter, I.E. Tissue reaction and material characteristics of four bone substitutes. Int. J. Oral Maxillofac. Implant. 1996, 11, 55–66. [Google Scholar]
- Wenz, B.; Oesch, B.; Horst, M. Analysis of the risk of transmitting bovine spongiform encephalopathy through bone grafts derived from bovine bone. Biomaterials 2001, 22, 1599–1606. [Google Scholar] [CrossRef]
- Kim, Y.; Nowzari, H.; Rich, S.K. Risk of prion disease transmission through bovine-derived bone substitutes: A systematic review. Clin. Implant. Dent. Relat. Res. 2013, 15, 645–653. [Google Scholar] [CrossRef]
- Will, R.G.; Ironside, J.W.; Zeidler, M.; Estibeiro, K.; Cousens, S.N.; Smith, P.G.; Alperovitch, A.; Poser, S.; Pocchiari, M.; Hofman, A. A new variant of Creutzfeldt-Jakob disease in the UK. Lancet 1996, 347, 921–925. [Google Scholar] [CrossRef]
- Taylor, D.M.; Fraser, H.; McConnell, I.; Brown, D.A.; Brown, K.L.; Lamza, K.A.; Smith, G.R.A. Decontamination studies with the agents of bovine spongiform encephalopathy and scrapie. Arch. Virol. 1994, 139, 313–326. [Google Scholar] [CrossRef]
- Riachi, F.; Naaman, N.; Tabarani, C.; Aboelsaad, N.; Aboushelib, M.N.; Berberi, A.; Salameh, Z. Influence of material properties on rate of resorption of two bone graft materials after sinus lift using radiographic assessment. Int. J. Dent. 2012, 2012, 737262. [Google Scholar] [CrossRef]
- Panagiotou, D.; Özkan Karaca, E.; Dirikan İpçi, Ş.; Çakar, G.; Olgaç, V.; Yılmaz, S. Comparison of two different xenografts in bilateral sinus augmentation: Radiographic and histologic findings. Quintessence Int. 2015, 46, 611–619. [Google Scholar] [CrossRef] [PubMed]
- Nannmark, U.; Sennerby, L. The bone tissue responses to prehydrated and collagenated cortico-cancellous porcine bone grafts: A study in rabbit maxillary defects. Clin. Implant. Dent. Relat. Res. 2008, 10, 264–270. [Google Scholar] [CrossRef] [PubMed]
- Cassetta, M.; Perrotti, V.; Calasso, S.; Piattelli, A.; Sinjari, B.; Iezzi, G. Bone formation in sinus augmentation procedures using autologous bone, porcine bone, and a 50:50 mixture: A human clinical and histological evaluation at 2 months. Clin. Oral Implant. Res. 2015, 26, 1180–1184. [Google Scholar] [CrossRef]
- Probst, A.; Spiegel, H.U. Cellular mechanisms of bone repair. J. Investig. Surg. 1997, 10, 77–86. [Google Scholar] [CrossRef] [PubMed]
- Spicer, P.P.; Kretlow, J.D.; Young, S.; Jansen, J.A.; Kasper, F.K.; Mikos, A.G. Evaluation of bone regeneration using the rat critical size calvarial defect. Nat. Protoc. 2012, 7, 1918–1929. [Google Scholar] [CrossRef] [PubMed]
- Suenaga, H.; Furukawa, K.S.; Suzuki, Y.; Takato, T.; Ushida, T. Bone regeneration in calvarial defects in a rat model by implantation of human bone marrow-derived mesenchymal stromal cell spheroids. J. Mater. Sci. Mater. Med. 2015, 26, 254. [Google Scholar] [CrossRef] [PubMed]
- de Freitas Silva, L.; de Carvalho Reis, E.N.R.; Barbara, T.A.; Bonardi, J.P.; Garcia, I.R.; de Carvalho, P.S.P.; Ponzoni, D. Assessment of bone repair in critical-size defect in the calvarium of rats after the implantation of tricalcium phosphate beta (β-TCP). Acta Histochem. 2017, 119, 624–631. [Google Scholar] [CrossRef] [PubMed][Green Version]
- Kasuya, S.; Inui, S.; Kato-Kogoe, N.; Omori, M.; Yamamoto, K.; Inoue, K.; Ito, Y.; Nakajima, Y.; Hirata, A.; Ueno, T. Evaluation of Guided Bone Regeneration Using the Bone Substitute Bio-Oss® and a Collagen Membrane in a Rat Cranial Bone Defect Model. J. Hard Tissue Biol. 2018, 27, 79–84. [Google Scholar] [CrossRef]
- Stephan, S.J.; Tholpady, S.S.; Gross, B.; Petrie-Aronin, C.E.; Botchway, E.A.; Nair, L.S.; Ogle, R.C.; Park, S.S. Injectable tissue-engineered bone repair of a rat calvarial defect. Laryngoscope 2010, 120, 895–901. [Google Scholar] [CrossRef]
- Lappalainen, O.-P.; Karhula, S.S.; Haapea, M.; Kauppinen, S.; Finnilä, M.; Saarakkala, S.; Serlo, W.; Sándor, G.K. Micro-CT Analysis of Bone Healing in Rabbit Calvarial Critical-Sized Defects with Solid Bioactive Glass, Tricalcium Phosphate Granules or Autogenous Bone. J. Oral Maxillofac. Res. 2016, 7, e4. [Google Scholar] [CrossRef] [PubMed][Green Version]
- Kubasiewicz-Ross, P.; Hadzik, J.; Seeliger, J.; Kozak, K.; Jurczyszyn, K.; Gerber, H.; Dominiak, M.; Kunert-Keil, C. New nano-hydroxyapatite in bone defect regeneration: A histological study in rats. Ann. Anat. 2017, 213, 83–90. [Google Scholar] [CrossRef] [PubMed]
- Zafiropoulos, G.G.; Kačarević, Z.P.; Qasim, S.S.B.; Trajkovski, B. Open-Healing Socket Preservation with a Novel Dense Polytetrafluoroethylene (dPTFE) Membrane: A Retrospective Clinical Study. Medicina 2020, 56, 216. [Google Scholar] [CrossRef]
- Rawat, S.; Gupta, S.; Mohanty, S. Mesenchymal Stem Cells Modulate the Immune System in Developing Therapeutic Interventions. In Immune Response Activation and Immunomodulation; IntechOpen: London, UK, 2019. [Google Scholar] [CrossRef]
- Park, J.-W.; Jang, J.-H.; Bae, S.-R.; An, C.-H.; Suh, J.-Y. Bone formation with various bone graft substitutes in critical-sized rat calvarial defect. Clin. Oral Implant. Res. 2009, 20, 372–378. [Google Scholar] [CrossRef]
- Shakir, M.; Jolly, R.; Khan, A.A.; Ahmed, S.S.; Alam, S.; Rauf, M.A.; Owais, M.; Farooqi, M.A. Resol based chitosan/nano-hydroxyapatite nanoensemble for effective bone tissue engineering. Carbohydr. Polym. 2018, 179, 317–327. [Google Scholar] [CrossRef]
- Witte, F. The history of biodegradable magnesium implants: A review. Acta Biomater. 2010, 6, 1680–1692. [Google Scholar] [CrossRef] [PubMed]
- Witte, F.; Kaese, V.; Haferkamp, H.; Switzer, E.; Meyer-Lindenberg, A.; Wirth, C.; Windhagen, H. In vivo corrosion of four magnesium alloys and the associated bone response. Biomaterials 2005, 26, 3557–3563. [Google Scholar] [CrossRef] [PubMed]
- Park, J.W.; Ko, H.J.; Jang, J.H.; Kang, H.; Suh, J.Y. Increased new bone formation with a surface magnesium-incorporated deproteinized porcine bone substitute in rabbit calvarial defects. J. Biomed. Mater. Res. A 2012, 100, 834–840. [Google Scholar] [CrossRef] [PubMed]





| Xenogeneic Biomaterial | ||||||||||||||||
|---|---|---|---|---|---|---|---|---|---|---|---|---|---|---|---|---|
| Cerabone (N = 3) | Cerabone + Al. Bone (N = 3) | Cerabone + Mg (N = 3) | Osteobiol (N = 3) | Control (N = 3) | ||||||||||||
| Days | μCT Parameters | Minimum | Median | Maximum | Minimum | Median | Maximum | Minimum | Median | Maximum | Minimum | Median | Maximum | Minimum | Median | Maximum |
| 3 | BV/TV (%) | 21.615 | 22.141 d | 31.559 | 18.768 | 19.644 | 45.274 | 26.764 | 39.376 d | 47.881 | 21.237 | 26.772 d | 30.633 | 2.494 | 5.941 | 7.151 |
| Tb.Th (mm) | 0.247 | 0.271 | 0.278 | 0.278 | 0.346 h | 0.347 | 0.298 | 0.381 h | 0.397 | 0.213 | 0.237 | 0.261 | 0.194 | 0.242 | 0.265 | |
| Tb.N (1/mm) | 0.794 | 0.873 d | 1.161 | 0.539 | 0.704 d | 1.306 | 0.703 | 0.991 d | 1.605 | 0.894 | 1.173 d | 1.254 | 0.128 | 0.244 | 0.269 | |
| Tb.Sp (mm) | 0.457 | 0.484 | 0.679 | 0.406 | 0.631 | 0.862 | 0.358 | 0.676 | 0.863 | 0.378 | 0.451 | 0.479 | 0.841 | 1.199 | 1.366 | |
| Po (tot) (%) | 68.441 | 77.858 f,g | 78.384 | 54.725 | 80.355 f,g | 81.231 | 52.119 | 60.623 | 73.235 | 69.366 | 73.227 | 78.762 | 92.849 | 94.059 | 97.505 | |
| Conn.Dn (1/mm3) | 7.013 | 7.254 | 7.679 | 2.615 | 4.053 | 8.032 | 3.907 | 6.342 | 9.693 | 5.594 | 8.502 | 11.204 | 0.589 | 0.828 | 1.027 | |
| RB (%) | 17.721 | 26.924 f | 28.848 | 6.304 | 7.772 | 9.985 | 14.821 | 16.988 q | 20.851 | 14.804 | 21.654 f | 27.866 | no value | no value | no value | |
| 7 | BV/TV (%) | 27.967 | 29.417 d | 47.735 | 26.506 | 31.334 | 31.511 | 37.726 | 45.431 d | 52.738 | 19.231 | 31.442 d | 33.426 | 2.094 | 3.782 | 14.357 |
| Tb.Th (mm) | 0.136 | 0.247 | 0.271 | 0.332 | 0.337 i | 0.362 | 0.171 | 0.273 | 0.306 | 0.287 | 0.306 i | 0.329 | 0.203 | 0.241 | 0.292 | |
| Tb.N (1/mm) | 1.081 | 1.129 | 3.492 | 0.731 | 0.927 | 0.946 | 1.037 | 1.383 | 1.493 | 0.669 | 1.014 | 1.027 | 0.086 | 0.185 | 0.491 | |
| Tb.Sp (mm) | 0.135 | 0.408 | 0.584 | 0.506 | 0.559 | 0.561 | 0.299 | 0.433 | 0.494 | 0.522 | 0.626 | 0.911 | 0.625 | 0.709 | 0.863 | |
| Po (tot) (%) | 52.264 | 70.582 f,g | 72.039 | 68.489 | 68.665 f,g | 73.493 | 33.047 | 47.261 | 76.421 | 66.573 | 68.557 | 80.768 | 85.642 | 96.217 l | 97.905 | |
| Conn.Dn (1/mm3) | 6.614 | 9.672 d | 20.836 | 3.268 | 6.043 d | 6.908 | 4.702 | 7.275 d | 9.469 | 4.714 | 4.883 d | 10.034 | 0.854 | 1.831 | 2.396 | |
| RB (%) | 14.667 | 18.661 f | 21.943 | 6.104 | 7.355 | 9.362 | 16.403 | 17.165 q | 17.587 | 7.909 | 11.101 f | 11.573 | no value | no value | no value | |
| 15 | BV/TV (%) | 16.533 | 37.279 | 62.705 | 27.549 | 31.931 | 33.825 | 34.554 | 48.751 | 76.492 | 29.281 | 37.469 | 41.221 | 3.654 | 8.558 | 12.544 |
| Tb.Th (mm) | 0.234 | 0.291 | 0.307 | 0.251 | 0.288 d | 0.323 | 0.272 | 0.407 d,e | 0.437 | 0.249 | 0.261 | 0.276 | 0.188 | 0.235 | 0.247 | |
| Tb.N (1/mm) | 0.705 | 1.279 d | 2.038 | 0.851 | 1.173 d | 1.271 | 0.791 | 1.792 d | 2.567 | 1.124 | 1.489 d | 1.501 | 0.241 | 0.254 | 0.325 | |
| Tb.Sp (mm) | 0.217 | 0.395 | 0.601 | 0.416 | 0.495 | 0.523 | 0.239 | 0.246 | 0.304 | 0.381 | 0.494 | 0.578 | 0.987 | 1.002 | 1.107 | |
| Po (tot) (%) | 37.294 | 62.721 f | 83.466 | 66.174 | 68.069 f | 72.451 | 39.105 | 54.568 | 62.273 | 58.779 | 62.531 | 70.719 | 91.362 | 96.563 m | 98.744 | |
| Conn.Dn (1/mm3) | 3.834 | 6.506 d | 15.699 | 4.683 | 9.828 d | 10.005 | 3.508 | 6.177 | 11.395 | 3.591 | 7.124 d | 10.193 | 0.306 | 1.003 | 2.401 | |
| RB (%) | 10.074 | 13.497 | 22.628 | 5.244 | 7.646 | 7.651 | 13.335 | 16.697 q | 17.037 | 5.055 | 6.655 f | 9.498 | no value | no value | no value | |
| 21 | BV/TV (%) | 52.721 | 53.085 b,d | 57.076 | 33.561 | 35.613 c | 42.202 | 29.211 | 58.212 d | 63.878 | 33.637 | 36.507 d | 37.291 | 4.836 | 6.669 | 18.649 |
| Tb.Th (mm) | 0.274 | 0.275 | 0.322 | 0.294 | 0.332 | 0.389 | 0.248 | 0.324 | 0.369 | 0.257 | 0.321 | 0.331 | 0.232 | 0.246 | 0.382 | |
| Tb.N (1/mm) | 1.769 | 1.911 d,k | 1.937 | 0.914 | 1.141 d | 1.269 | 1.031 | 1.915 d,k | 2.464 | 1.047 | 1.102 d | 1.451 | 0.195 | 0.286 | 0.487 | |
| Tb.Sp (mm) | 0.275 | 0.268 | 0.331 | 0.354 | 0.379 | 0.482 | 0.182 | 0.267 | 0.846 | 0.343 | 0.511 | 0.533 | 0.716 | 0.969 | 1.092 | |
| Po (tot) (%) | 42.923 | 46.914 | 47.279 | 57.797 | 64.386 n | 66.439 | 23.507 | 51.249 | 65.445 | 62.709 | 63.492 n | 66.362 | 81.351 | 93.331 l | 95.163 | |
| Conn.Dn (1/mm3) | 13.031 | 13.628 d,o | 18.893 | 5.541 | 6.902 d | 9.961 | 3.753 | 12.174 d,o | 14.556 | 8.055 | 11.965 d,o | 25.211 | 0.706 | 1.282 | 3.964 | |
| RB (%) | 9.776 | 15.682 | 15.941 | 4.003 | 5.695 | 9,065 | 6.823 | 7.721 | 10.727 | 6.233 | 6.639 f | 8.507 | no value | no value | no value | |
| 30 | BV/TV (%) | 47.331 | 57.671 a,d | 68.793 | 43.436 | 43.584 a,d | 53.287 | 23.578 | 60.894 d,e | 66.952 | 26.333 | 36.714 | 46.624 | 3.939 | 10.786 | 37.248 |
| Tb.Th (mm) | 0.277 | 0.327 | 0.336 | 0.367 | 0.401 j | 0.401 | 0.228 | 0.271 | 0.275 | 0.251 | 0.302 | 0.321 | 0.236 | 0.257 | 0.355 | |
| Tb.N (1/mm) | 1.444 | 2.043 d,k | 2.074 | 0.819 | 1.182 d | 1.328 | 1.781 | 2.017 d,k | 2.495 | 0.821 | 1.213 d | 1.854 | 0.166 | 0.418 | 1.047 | |
| Tb.Sp (mm) | 0.185 | 0.224 | 0.361 | 0.408 | 0.499 | 0.763 | 0.192 | 0.201 | 0.284 | 0.232 | 0.463 | 0.556 | 0.495 | 0.639 | 1.214 | |
| Po (tot) (%) | 31.206 | 42.328 | 52.668 | 46.712 | 56.415 | 56.563 | 36.121 | 41.787 | 70.788 | 53.375 | 63.285 n | 73.666 | 62.751 | 89.213 p | 96.061 | |
| Conn.Dn (1/mm3) | 3.765 | 14.178 d,o | 16.361 | 5.151 | 7.505 d | 8.707 | 7.181 | 14.815 d,o | 16.148 | 11.968 | 13.986 d,o | 18.506 | 0.406 | 2.038 | 2.245 | |
| RB (%) | 6.736 | 10.329 | 10.435 | 3.003 | 6.283 | 9.555 | 3.734 | 6.835 | 7.754 | 2.075 | 4.011 | 4.642 | no value | no value | no value | |
| Group Number | Group | Number of Animals (N) | Time Points (TP/days) | TOTAL |
|---|---|---|---|---|
| 1 | Cerabone® | 3 | 5 (3, 7, 15, 21, 30 days) | 15 |
| 2 | Cerabone® + Al. bone | 3 | 5 (3, 7, 15, 21, 30 days) | 15 |
| 3 | Cerabone + Mg | 3 | 5 (3, 7, 15, 21, 30 days) | 15 |
| 4 | OsteoBiol® | 3 | 5 (3, 7, 15, 21, 30 days) | 15 |
| 5 | Control | 3 | 5 (3, 7, 15, 21, 30 days) | 15 |
Publisher’s Note: MDPI stays neutral with regard to jurisdictional claims in published maps and institutional affiliations. |
© 2021 by the authors. Licensee MDPI, Basel, Switzerland. This article is an open access article distributed under the terms and conditions of the Creative Commons Attribution (CC BY) license (https://creativecommons.org/licenses/by/4.0/).
Share and Cite
Jerbić Radetić, A.T.; Zoričić Cvek, S.; Tomas, M.; Erjavec, I.; Oguić, M.; Perić Kačarević, Ž.; Cvijanović Peloza, O. CSBD Healing in Rats after Application of Bovine Xenogeneic Biomaterial Enriched with Magnesium Alloy. Int. J. Mol. Sci. 2021, 22, 9089. https://doi.org/10.3390/ijms22169089
Jerbić Radetić AT, Zoričić Cvek S, Tomas M, Erjavec I, Oguić M, Perić Kačarević Ž, Cvijanović Peloza O. CSBD Healing in Rats after Application of Bovine Xenogeneic Biomaterial Enriched with Magnesium Alloy. International Journal of Molecular Sciences. 2021; 22(16):9089. https://doi.org/10.3390/ijms22169089
Chicago/Turabian StyleJerbić Radetić, Ana Terezija, Sanja Zoričić Cvek, Matej Tomas, Igor Erjavec, Matko Oguić, Željka Perić Kačarević, and Olga Cvijanović Peloza. 2021. "CSBD Healing in Rats after Application of Bovine Xenogeneic Biomaterial Enriched with Magnesium Alloy" International Journal of Molecular Sciences 22, no. 16: 9089. https://doi.org/10.3390/ijms22169089
APA StyleJerbić Radetić, A. T., Zoričić Cvek, S., Tomas, M., Erjavec, I., Oguić, M., Perić Kačarević, Ž., & Cvijanović Peloza, O. (2021). CSBD Healing in Rats after Application of Bovine Xenogeneic Biomaterial Enriched with Magnesium Alloy. International Journal of Molecular Sciences, 22(16), 9089. https://doi.org/10.3390/ijms22169089

