Adsorption on Ligand-Tethered Nanoparticles
Abstract
1. Introduction
2. Model and Simulation Methodology
3. Results and Discussion
3.1. Description of the Studied Systems
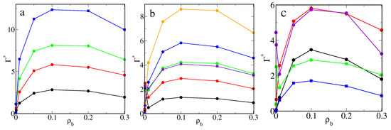
3.2. Excess Adsorption Isotherms
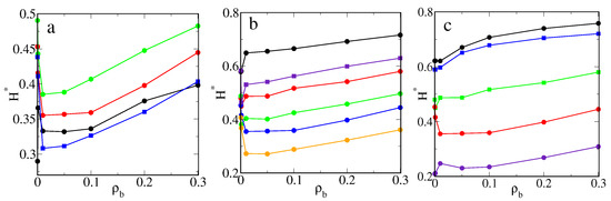
3.3. Thickness of Polymer Layer
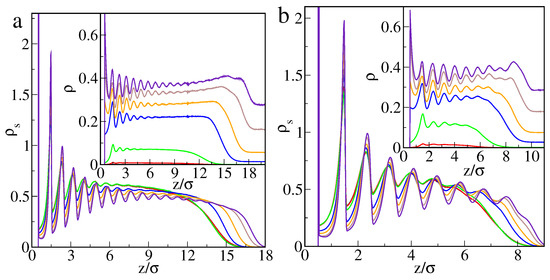
3.4. Structure of Interfacial Layers Formed on Nanoparticles
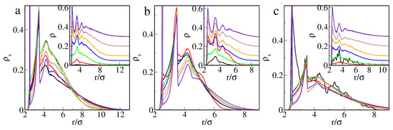
3.5. Structure of Interfacial Layers Formed on a Flat Substrate
3.6. Other Models for Adsorption on Ligand-Tethered Nanoparticles
4. Conclusions
Author Contributions
Funding
Institutional Review Board Statement
Conflicts of Interest
References
- Barbey, R.; Lavanant, L.; Paripovic, D.; Schüwer, N.; Sugnaux, C.; Tugulu, S.; Klok, H.A. Polymer Brushes via Surface-Initiated Controlled Radical Polymerization: Synthesis, Characterization, Properties, and Applications. Chem. Rev. 2009, 109, 5437–5527. [Google Scholar] [CrossRef]
- Moffitt, M.G. Self-Assembly of Polymer Brush-Functionalized Inorganic Nanoparticles: From Hairy Balls to Smart Molecular Mimics. J. Phys. Chem. Lett. 2013, 4, 3654–3666. [Google Scholar] [CrossRef]
- Zhao, B.; Zhu, L. Mixed Polymer Brush-Grafted Particles: A New Class of Environmentally Responsive Nanostructured Materials. Macromolecules 2009, 42, 9369–9383. [Google Scholar] [CrossRef]
- Pyun, J.; Matyjaszewski, K. Synthesis of Nanocomposite Organic/Inorganic Hybrid Materials Using Controlled/”Living” Radical Polymerization. Chem. Mater. 2001, 13, 3436–3448. [Google Scholar] [CrossRef]
- Wu, T.; Zou, G.; Hu, J.; Liu, S. Fabrication of Photoswitchable and Thermotunable Multicolor Fluorescent Hybrid Silica Nanoparticles Coated with Dye-Labeled Poly(N-isopropylacrylamide) Brushes. Chem. Mater. 2009, 21, 3788–3798. [Google Scholar] [CrossRef]
- Pengo, P.; Şologan, M.; Pasquato, L.; Guida, F.; Pacor, S.; Tossi, A.; Stellacci, F.; Marson, D.; Boccardo, S.; Pricl, S.; et al. Gold nanoparticles with patterned surface monolayers for nanomedicine: Current perspectives. Eur. Biophys. J. 2017, 46, 749–771. [Google Scholar] [CrossRef]
- Ulbrich, K.; Holá, K.; Šubr, V.; Bakandritsos, A.; Tuček, J.; Zbořil, R. Targeted Drug Delivery with Polymers and Magnetic Nanoparticles: Covalent and Noncovalent Approaches, Release Control, and Clinical Studies. Chem. Rev. 2016, 116, 5338–5431. [Google Scholar] [CrossRef]
- Zhang, L.; Bei, H.P.; Piao, Y.; Wang, Y.; Yang, M.; Zhao, X. Polymer-Brush-Grafted Mesoporous Silica Nanoparticles for Triggered Drug Delivery. ChemPhysChem 2018, 19, 1956–1964. [Google Scholar] [CrossRef]
- Rahman, H.; Hossain, M.R.; Ferdous, T. The recent advancement of low-dimensional nanostructured materials for drug delivery and drug sensing application: A brief review. J. Mol. Liq. 2020, 320, 114427. [Google Scholar] [CrossRef]
- Banerjee, I.; Pangule, R.C.; Kane, R.S. Antifouling Coatings: Recent Developments in the Design of Surfaces That Prevent Fouling by Proteins, Bacteria, and Marine Organisms. Adv. Mater. 2011, 23, 690–718. [Google Scholar] [CrossRef]
- Pavithra, D.; Doble, M. Biofilm formation, bacterial adhesion and host response on polymeric implants—Issues and prevention. Biomed. Mater. 2008, 3, 034003. [Google Scholar] [CrossRef] [PubMed]
- Chivere, V.T.; Kondiah, P.P.D.; Choonara, Y.E.; Pillay, V. Nanotechnology-Based Biopolymeric Oral Delivery Platforms for Advanced Cancer Treatment. Cancers 2020, 12, 522. [Google Scholar] [CrossRef]
- Horák, D.; Babič, M.; Macková, H.; Beneš, M.J. Preparation and properties of magnetic nano- and microsized particles for biological and environmental separations. J. Sep. Sci. 2007, 30, 1751–1772. [Google Scholar] [CrossRef]
- Sheldon, R.A.; van Pelt, S. Enzyme immobilisation in biocatalysis: Why, what and how. Chem. Soc. Rev. 2013, 42, 6223–6235. [Google Scholar] [CrossRef]
- Currie, E.; Norde, W.; Cohen Stuart, M. Tethered polymer chains: Surface chemistry and their impact on colloidal and surface properties. Adv. Colloid Interface Sci. 2003, 100–102, 205–265. [Google Scholar] [CrossRef]
- Descas, R.; Sommer, J.U.; Blumen, A. Grafted Polymer Chains Interacting with Substrates: Computer Simulations and Scaling. Macromol. Theory Simul. 2008, 17, 429–453. [Google Scholar] [CrossRef]
- Ballauff, M.; Borisov, O. Polyelectrolyte brushes. Curr. Opin. Colloid Interface Sci. 2006, 11, 316–323. [Google Scholar] [CrossRef]
- Becker, A.L.; Henzler, K.; Welsch, N.; Ballauff, M.; Borisov, O. Proteins and polyelectrolytes: A charged relationship. Curr. Opin. Colloid Interface Sci. 2012, 17, 90–96. [Google Scholar] [CrossRef]
- Binder, K.; Milchev, A. Polymer brushes on flat and curved surfaces: How computer simulations can help to test theories and to interpret experiments. J. Polym. Sci. Part B 2012, 50, 1515–1555. [Google Scholar] [CrossRef]
- Ohno, K.; Morinaga, T.; Takeno, S.; Tsujii, Y.; Fukuda, T. Suspensions of Silica Particles Grafted with Concentrated Polymer Brush: Effects of Graft Chain Length on Brush Layer Thickness and Colloidal Crystallization. Macromolecules 2007, 40, 9143–9150. [Google Scholar] [CrossRef]
- Ohno, K.; Morinaga, T.; Takeno, S.; Tsujii, Y.; Fukuda, T. Suspensions of Silica Particles Grafted with Concentrated Polymer Brush: A New Family of Colloidal Crystals. Macromolecules 2006, 39, 1245–1249. [Google Scholar] [CrossRef]
- Daoud, M.; Cotton, J.P. Star shaped polymers: A model for the conformation and its concentration dependence. J. Phys. France 1982, 43, 531–538. [Google Scholar] [CrossRef]
- Dan, N.; Tirrell, M. Polymers tethered to curves interfaces: A self-consistent-field analysis. Macromolecules 1992, 25, 2890–2895. [Google Scholar] [CrossRef]
- Wijmans, C.M.; Zhulina, E.B. Polymer brushes at curved surfaces. Macromolecules 1993, 26, 7214–7224. [Google Scholar] [CrossRef]
- Lo Verso, F.; Egorov, S.A.; Milchev, A.; Binder, K. Spherical polymer brushes under good solvent conditions: Molecular dynamics results compared to density functional theory. J. Chem. Phys. 2010, 133, 184901. [Google Scholar] [CrossRef] [PubMed]
- Borówko, M.; Sokołowski, S.; Staszewski, T. A density functional approach to retention in chromatography with chemically bonded phases. J. Chromatogr. A 2011, 1218, 711–720. [Google Scholar] [CrossRef]
- Borówko, M.; Rżysko, W.; Sokołowski, S.; Staszewski, T. Density Functional Approach to Adsorption and Retention of Spherical Molecules on Surfaces Modified with End-Grafted Polymers. J. Phys. Chem. B 2009, 113, 4763–4770. [Google Scholar] [CrossRef]
- Borówko, M.; Sokołowski, S.; Staszewski, T. Adsorption on chemically bonded chain layers with embedded active groups. Mol. Phys. 2015, 113, 1014–1021. [Google Scholar] [CrossRef]
- Borówko, M.; Sokołowski, S.; Staszewski, T. Adsorption from Binary Solutions on the Polymer-Tethered Surfaces. J. Phys. Chem. B 2012, 116, 3115–3124. [Google Scholar] [CrossRef]
- Carignano, M.; Szleifer, I. Prevention of protein adsorption by flexible and rigid chain molecules. Colloids Surfaces. Biointerfaces 2000, 18, 169–182. [Google Scholar] [CrossRef]
- Fang, F.; Szleifer, I. Effect of Molecular Structure on the Adsorption of Protein on Surfaces with Grafted Polymers. Langmuir 2002, 18, 5497–5510. [Google Scholar] [CrossRef]
- Milchev, A.; Egorov, S.A.; Binder, K. Absorption/expulsion of oligomers and linear macromolecules in a polymer brush. J. Chem. Phys. 2010, 132, 184905. [Google Scholar] [CrossRef]
- Borówko, M.; Sokołowski, S.; Staszewski, T. Adsorption of oligomers on the polymer-tethered surfaces. J. Colloid Interface Sci. 2011, 356, 267–276. [Google Scholar] [CrossRef] [PubMed]
- Borówko, M.; Sokołowski, S.; Staszewski, T. Adsorption from Oligomer–Monomer Solutions on the Surfaces Modified with End-Grafted Chains. J. Phys. Chem. B 2012, 116, 12842–12849. [Google Scholar] [CrossRef] [PubMed]
- Leermakers, F.A.M.; Ballauff, M.; Borisov, O.V. On the Mechanism of Uptake of Globular Proteins by Polyelectrolyte Brushes: A Two-Gradient Self-Consistent Field Analysis. Langmuir 2007, 23, 3937–3946. [Google Scholar] [CrossRef]
- Jönsson, M.; Johansson, H.O. Effect of surface grafted polymers on the adsorption of different model proteins. Colloids Surfaces. Biointerfaces 2004, 37, 71–81. [Google Scholar] [CrossRef] [PubMed]
- Halperin, A.; Kröger, M. Ternary Protein Adsorption onto Brushes: Strong versus Weak. Langmuir 2009, 25, 11621–11634. [Google Scholar] [CrossRef]
- Halperin, A. Collapse of Thermoresponsive Brushes and the Tuning of Protein Adsorption. Macromolecules 2011, 44, 6986–7005. [Google Scholar] [CrossRef]
- Tavanti, F.; Pedone, A.; Matteini, P.; Menziani, M.C. Computational Insight into the Interaction of Cytochrome C with Wet and PVP-Coated Ag Surfaces. J. Phys. Chem. B 2017, 121, 9532–9540. [Google Scholar] [CrossRef]
- Borówko, M.; Pöschel, T.; Sokołowski, S.; Staszewski, T. Janus Particles at Walls Modified with Tethered Chains. J. Phys. Chem. B 2013, 117, 1166–1175. [Google Scholar] [CrossRef]
- Staszewski, T.; Borówko, M. Janus dumbbells near surfaces modified with tethered chains. Adsorption 2019, 25, 459–468. [Google Scholar] [CrossRef]
- Lane, J.M.D.; Ismail, A.E.; Chandross, M.; Lorenz, C.D.; Grest, G.S. Forces between functionalized silica nanoparticles in solution. Phys. Rev. E 2009, 79, 050501. [Google Scholar] [CrossRef]
- Peters, B.L.; Lane, J.M.D.; Ismail, A.E.; Grest, G.S. Fully Atomistic Simulations of the Response of Silica Nanoparticle Coatings to Alkane Solvents. Langmuir 2012, 28, 17443–17449. [Google Scholar] [CrossRef]
- Salerno, K.M.; Ismail, A.E.; Lane, J.M.D.; Grest, G.S. Coating thickness and coverage effects on the forces between silica nanoparticles in water. J. Chem. Phys. 2014, 140, 194904. [Google Scholar] [CrossRef] [PubMed]
- Bolintineanu, D.S.; Lane, J.M.D.; Grest, G.S. Effects of Functional Groups and Ionization on the Structure of Alkanethiol-Coated Gold Nanoparticles. Langmuir 2014, 30, 11075–11085. [Google Scholar] [CrossRef]
- Lane, J.M.D.; Grest, G.S. Assembly of responsive-shape coated nanoparticles at water surfaces. Nanoscale 2014, 6, 5132–5137. [Google Scholar] [CrossRef]
- Brancolini, G.; Tozzini, V. Building Minimalist Models for Functionalized Metal Nanoparticles. Front. Mol. Biosci. 2019, 6, 50. [Google Scholar] [CrossRef] [PubMed]
- Chew, A.K.; Dallin, B.C.; Van Lehn, R.C. The Interplay of Ligand Properties and Core Size Dictates the Hydrophobicity of Monolayer-Protected Gold Nanoparticles. ACS Nano 2021, 15, 4534–4545. [Google Scholar] [CrossRef]
- Tavanti, F.; Pedone, A.; Menziani, M.C.; Alexander-Katz, A. Computational Insights into the Binding of Monolayer-Capped Gold Nanoparticles onto Amyloid-β Fibrils. ACS Chem. Neurosci. 2020, 11, 3153–3160. [Google Scholar] [CrossRef] [PubMed]
- Staszewski, T.; Borówko, M. Adsorption-induced co-assembly of hairy and isotropic particles. Phys. Chem. Chem. Phys. 2020, 22, 8757–8767. [Google Scholar] [CrossRef]
- Wang, S.; Chen, K.; Xu, Y.; Yu, X.; Wang, W.; Li, L.; Guo, X. Protein immobilization and separation using anionic/cationic spherical polyelectrolyte brushes based on charge anisotropy. Soft Matter 2013, 9, 11276–11287. [Google Scholar] [CrossRef]
- Henzler, K.; Haupt, B.; Lauterbach, K.; Wittemann, A.; Borisov, O.; Ballauff, M. Adsorption of β-Lactoglobulin on Spherical Polyelectrolyte Brushes: Direct Proof of Counterion Release by Isothermal Titration Calorimetry. J. Am. Chem. Soc. 2010, 132, 3159–3163. [Google Scholar] [CrossRef] [PubMed]
- Aydin, F.; Uppaladadium, G.; Dutt, M. Harnessing steric hindrance to control interfacial adsorption of patchy nanoparticles onto hairy vesicles. Colloids Surfaces. Biointerfaces 2016, 141, 458–466. [Google Scholar] [CrossRef] [PubMed]
- Welsch, N.; Lu, Y.; Dzubiella, J.; Ballauff, M. Adsorption of proteins to functional polymeric nanoparticles. Polymer 2013, 54, 2835–2849. [Google Scholar] [CrossRef]
- Becker, A.L.; Welsch, N.; Schneider, C.; Ballauff, M. Adsorption of RNase A on cationic polyelectrolyte brushes: A study by isothermal titration calorimetry. Biomacromolecules 2011, 12, 3936–3944. [Google Scholar] [CrossRef]
- Marschelke, C.; Raguzin, I.; Matura, A.; Fery, A.; Synytska, A. Controlled and tunable design of polymer interface for immobilization of enzymes: Does curvature matter? Soft Matter 2017, 13, 1074–1084. [Google Scholar] [CrossRef]
- Marschelke, C.; Müller, M.; Köpke, D.; Matura, A.; Sallat, M.; Synytska, A. Hairy Particles with Immobilized Enzymes: Impact of Particle Topology on the Catalytic Activity. ACS Appl. Mater. Interfaces 2019, 11, 1645–1654. [Google Scholar] [CrossRef]
- Yan, X.; Kong, J.; Yang, C.; Fu, G. Facile synthesis of hairy core–shell structured magnetic polymer submicrospheres and their adsorption of bovine serum albumin. J. Colloid Interface Sci. 2015, 445, 9–15. [Google Scholar] [CrossRef]
- Toxvaerd, S.; Dyre, J.C. Communication: Shifted forces in molecular dynamics. J. Chem. Phys. 2011, 134, 081102. [Google Scholar] [CrossRef]
- Available online: http://lammps.sandia.gov (accessed on 29 April 2019).
- Plimpton, S. Fast Parallel Algorithms for Short-Range Molecular Dynamics. J. Comput. Phys. 1995, 117, 1–19. [Google Scholar] [CrossRef]
- Borówko, M.; Patrykiejew, A.; Pizio, O.; Sokołowski, S. Changes in the structure of tethered chain molecules as predicted by density functional approach. Condens. Matter Phys. 2011, 14, 33604. [Google Scholar] [CrossRef][Green Version]
- Borówko, M.; Sokołowski, S.; Staszewski, T. Adsorption-induced changes of the structure of the tethered chain layers in a simple fluid. J. Chem. Phys. 2014, 140, 234904. [Google Scholar] [CrossRef] [PubMed]
- Kudina, O.; Zakharchenko, A.; Trotsenko, O.; Tokarev, A.; Ionov, L.; Stoychev, G.; Puretskiy, N.; Pryor, S.W.; Voronov, A.; Minko, S. Highly Efficient Phase Boundary Biocatalysis with Enzymogel Nanoparticles. Angew. Chem. Int. Ed. 2014, 53, 483–487. [Google Scholar] [CrossRef] [PubMed]











| Interactions | Models M1, M2 | Models M1a, M2a |
|---|---|---|
| segment–core | repulsive | repulsive |
| particle–core | repulsive | repulsive |
| segment–segment | repulsive | attractive |
| particle–particle | repulsive | attractive |
| particle–segment | attractive | attractive |
Publisher’s Note: MDPI stays neutral with regard to jurisdictional claims in published maps and institutional affiliations. |
© 2021 by the authors. Licensee MDPI, Basel, Switzerland. This article is an open access article distributed under the terms and conditions of the Creative Commons Attribution (CC BY) license (https://creativecommons.org/licenses/by/4.0/).
Share and Cite
Borówko, M.; Staszewski, T. Adsorption on Ligand-Tethered Nanoparticles. Int. J. Mol. Sci. 2021, 22, 8810. https://doi.org/10.3390/ijms22168810
Borówko M, Staszewski T. Adsorption on Ligand-Tethered Nanoparticles. International Journal of Molecular Sciences. 2021; 22(16):8810. https://doi.org/10.3390/ijms22168810
Chicago/Turabian StyleBorówko, Małgorzata, and Tomasz Staszewski. 2021. "Adsorption on Ligand-Tethered Nanoparticles" International Journal of Molecular Sciences 22, no. 16: 8810. https://doi.org/10.3390/ijms22168810
APA StyleBorówko, M., & Staszewski, T. (2021). Adsorption on Ligand-Tethered Nanoparticles. International Journal of Molecular Sciences, 22(16), 8810. https://doi.org/10.3390/ijms22168810

