Polysaccharide-Based Injection Matrix for Serial Crystallography
Abstract
1. Introduction
2. Results
2.1. Characterization of the Starch Injection Matrix
2.2. Measurement of Background Scattering
2.3. Application of WS and Alginate Injection Media for SMX
3. Discussion
4. Materials and Methods
4.1. Protein Crystal Preparation
4.2. Preparation of Starch and Aginate Injection Matrix
4.3. Data Collection
4.4. Data Processing and Structure Determination
4.5. Background Scattering Analysis
Funding
Acknowledgments
Conflicts of Interest
Abbreviations
| SX | serial crystallography |
| SMX | serial millisecond crystallography |
| SFX | serial femtosecond crystallography |
| WS | wheat starch |
| ADU | analog-to-digital unit |
| GI | glucose isomerase |
References
- Egli, M. Diffraction techniques in structural biology. Curr. Protoc. Nucleic. Acid. Chem. 2016, 65, 7.13.1–7.13.41. [Google Scholar] [CrossRef] [PubMed]
- Su, X.D.; Zhang, H.; Terwilliger, T.C.; Liljas, A.; Xiao, J.; Dong, Y. Protein Crystallography from the Perspective of Technology Developments. Cryst. Rev. 2015, 21, 122–153. [Google Scholar] [CrossRef] [PubMed]
- Pomes, A.; Chruszcz, M.; Gustchina, A.; Minor, W.; Mueller, G.A.; Pedersen, L.C.; Wlodawer, A.; Chapman, M.D. 100 Years later: Celebrating the contributions of x-ray crystallography to allergy and clinical immunology. J. Allergy Clin. Immun. 2015, 136, 29–37. [Google Scholar] [CrossRef] [PubMed]
- Blundell, T.L. Protein crystallography and drug discovery: Recollections of knowledge exchange between academia and industry. IUCrJ. 2017, 4, 308–321. [Google Scholar] [CrossRef]
- Holton, J.M.; Frankel, K.A. The minimum crystal size needed for a complete diffraction data set. Acta. Cryst. D 2010, 66, 393–408. [Google Scholar] [CrossRef]
- Taberman, H. Radiation Damage in Macromolecular Crystallography—An Experimentalist’s View. Crystals 2018, 8, 157. [Google Scholar] [CrossRef]
- Standfuss, J.; Spence, J. Serial crystallography at synchrotrons and X-ray lasers. IUCrJ. 2017, 4, 100–101. [Google Scholar] [CrossRef]
- Weinert, T.; Olieric, N.; Cheng, R.; Brunle, S.; James, D.; Ozerov, D.; Gashi, D.; Vera, L.; Marsh, M.; Jaeger, K.; et al. Serial millisecond crystallography for routine room-temperature structure determination at synchrotrons. Nat. Commun. 2017, 8, 542. [Google Scholar] [CrossRef]
- Schlichting, I. Serial femtosecond crystallography: The first five years. IUCrJ. 2015, 2, 246–255. [Google Scholar] [CrossRef]
- Kim, J.; Kim, H.Y.; Park, J.; Kim, S.; Kim, S.; Rah, S.; Lim, J.; Nam, K.H. Focusing X-ray free-electron laser pulses using Kirkpatrick-Baez mirrors at the NCI hutch of the PAL-XFEL. J. Synchrotron Radiat. 2018, 25, 289–292. [Google Scholar] [CrossRef]
- Nogly, P.; James, D.; Wang, D.; White, T.A.; Zatsepin, N.; Shilova, A.; Nelson, G.; Liu, H.; Johansson, L.; Heymann, M.; et al. Lipidic cubic phase serial millisecond crystallography using synchrotron radiation. IUCrJ. 2015, 2, 168–176. [Google Scholar] [CrossRef]
- Ebrahim, A.; Moreno-Chicano, T.; Appleby, M.V.; Chaplin, A.K.; Beale, J.H.; Sherrell, D.A.; Duyvesteyn, H.M.E.; Owada, S.; Tono, K.; Sugimoto, H.; et al. Dose-resolved serial synchrotron and XFEL structures of radiation-sensitive metalloproteins. IUCrJ. 2019, 6, 543–551. [Google Scholar] [CrossRef] [PubMed]
- Spence, J.C.H. Approaches to time-resolved diffraction using an XFEL. Faraday Discuss 2014, 171, 429–438. [Google Scholar] [CrossRef] [PubMed]
- Martin-Garcia, J.M.; Conrad, C.E.; Nelson, G.; Stander, N.; Zatsepin, N.A.; Zook, J.; Zhu, L.; Geiger, J.; Chun, E.; Kissick, D.; et al. Serial millisecond crystallography of membrane and soluble protein microcrystals using synchrotron radiation. IUCrJ. 2017, 4, 439–454. [Google Scholar] [CrossRef] [PubMed]
- Martiel, I.; Muller-Werkmeister, H.M.; Cohen, A.E. Strategies for sample delivery for femtosecond crystallography. Acta. Cryst. D Struct. Biol. 2019, 75, 160–177. [Google Scholar] [CrossRef] [PubMed]
- DePonte, D.P.; Weierstall, U.; Schmidt, K.; Warner, J.; Starodub, D.; Spence, J.C.H.; Doak, R.B. Gas dynamic virtual nozzle for generation of microscopic droplet streams. J. Phys. D 2008, 41. [Google Scholar] [CrossRef]
- Weierstall, U.; James, D.; Wang, C.; White, T.A.; Wang, D.J.; Liu, W.; Spence, J.C.H.; Doak, R.B.; Nelson, G.; Fromme, P.; et al. Lipidic cubic phase injector facilitates membrane protein serial femtosecond crystallography. Nat. Commun. 2014, 5, 3309. [Google Scholar] [CrossRef]
- Sierra, R.G.; Gati, C.; Laksmono, H.; Dao, E.H.; Gul, S.; Fuller, F.; Kern, J.; Chatterjee, R.; Ibrahim, M.; Brewster, A.S.; et al. Concentric-flow electrokinetic injector enables serial crystallography of ribosome and photosystem II. Nat Methods 2016, 13, 59–62. [Google Scholar] [CrossRef]
- Sugahara, M.; Mizohata, E.; Nango, E.; Suzuki, M.; Tanaka, T.; Masudala, T.; Tanaka, R.; Shimamura, T.; Tanaka, Y.; Suno, C.; et al. Grease matrix as a versatile carrier of proteins for serial crystallography. Nat Methods 2015, 12, 61–63. [Google Scholar] [CrossRef]
- Berntsen, P.; Hadian Jazi, M.; Kusel, M.; Martin, A.V.; Ericsson, T.; Call, M.J.; Trenker, R.; Roque, F.G.; Darmanin, C.; Abbey, B. The serial millisecond crystallography instrument at the Australian Synchrotron incorporating the “Lipidico” injector. Rev. Sci. Instrum. 2019, 90, 085110. [Google Scholar] [CrossRef]
- Park, S.Y.; Nam, K.H. Sample delivery using viscous media, a syringe and a syringe pump for serial crystallography. J. Synchrotron Radiat 2019, 26, 1815–1819. [Google Scholar] [CrossRef] [PubMed]
- Hunter, M.S.; Segelke, B.; Messerschmidt, M.; Williams, G.J.; Zatsepin, N.A.; Barty, A.; Benner, W.H.; Carlson, D.B.; Coleman, M.; Graf, A.; et al. Fixed-target protein serial microcrystallography with an x-ray free electron laser. Sci. Rep. 2014, 4, 6026. [Google Scholar] [CrossRef] [PubMed]
- Roedig, P.; Ginn, H.M.; Pakendorf, T.; Sutton, G.; Harlos, K.; Walter, T.S.; Meyer, J.; Fischer, P.; Duman, R.; Vartiainen, I.; et al. High-speed fixed-target serial virus crystallography. Nat Methods 2017, 14, 805–810. [Google Scholar] [CrossRef] [PubMed]
- Lee, D.; Baek, S.; Park, J.; Lee, K.; Kim, J.; Lee, S.J.; Chung, W.K.; Lee, J.L.; Cho, Y.; Nam, K.H. Nylon mesh-based sample holder for fixed-target serial femtosecond crystallography. Sci. Rep. 2019, 9, 6971. [Google Scholar] [CrossRef]
- Cohen, A.E.; Soltis, S.M.; Gonzalez, A.; Aguila, L.; Alonso-Mori, R.; Barnes, C.O.; Baxter, E.L.; Brehmer, W.; Brewster, A.S.; Brunger, A.T.; et al. Goniometer-based femtosecond crystallography with X-ray free electron lasers. Proc. Natl. Acad. Sci. USA 2014, 111, 17122–17127. [Google Scholar] [CrossRef]
- Roessler, C.G.; Kuczewski, A.; Stearns, R.; Ellson, R.; Olechno, J.; Orville, A.M.; Allaire, M.; Soares, A.S.; Héroux, A. Acoustic methods for high-throughput protein crystal mounting at next-generation macromolecular crystallographic beamlines. J. Synchrotron Radiat 2013, 20, 805–808. [Google Scholar] [CrossRef]
- Monteiro, D.C.F.; Vakili, M.; Harich, J.; Sztucki, M.; Meier, S.M.; Horrell, S.; Josts, I.; Trebbin, M. A microfluidic flow-focusing device for low sample consumption serial synchrotron crystallography experiments in liquid flow. J. Synchrotron Radiat 2019, 26, 406–412. [Google Scholar] [CrossRef]
- Calvey, G.D.; Katz, A.M.; Pollack, L. Microfluidic Mixing Injector Holder Enables Routine Structural Enzymology Measurements with Mix-and-Inject Serial Crystallography Using X-ray Free Electron Lasers. Anal. Chem. 2019, 91, 7139–7144. [Google Scholar] [CrossRef]
- Stellato, F.; Oberthur, D.; Liang, M.; Bean, R.; Gati, C.; Yefanov, O.; Barty, A.; Burkhardt, A.; Fischer, P.; Galli, L.; et al. Room-temperature macromolecular serial crystallography using synchrotron radiation. IUCrJ. 2014, 1, 204–212. [Google Scholar] [CrossRef]
- Nam, K.H. Stable sample delivery in viscous media via a capillary for serial crystallography. J. Appl. Cryst. 2020, 53, 45–50. [Google Scholar] [CrossRef]
- Mathews, I.I.; Allison, K.; Robbins, T.; Lyubimov, A.Y.; Uervirojnangkoorn, M.; Brunger, A.T.; Khosla, C.; DeMirci, H.; McPhillips, S.E.; Hollenbeck, M.; et al. The Conformational Flexibility of the Acyltransferase from the Disorazole Polyketide Synthase Is Revealed by an X-ray Free-Electron Laser Using a Room-Temperature Sample Delivery Method for Serial Crystallography. Biochemistry 2017, 56, 4751–4756. [Google Scholar] [CrossRef] [PubMed]
- Lee, D.; Park, S.; Lee, K.; Kim, J.; Park, G.; Nam, K.H.; Baek, S.; Chung, W.K.; Lee, J.-L.; Cho, Y.; et al. Application of a high-throughput microcrystal delivery system to serial femtosecond crystallography. J. Appl. Cryst. 2020, 53, 477–485. [Google Scholar] [CrossRef] [PubMed]
- Nam, K.H. Sample Delivery Media for Serial Crystallography. Int. J. Mol. Sci. 2019, 20, 1094. [Google Scholar] [CrossRef] [PubMed]
- Sugahara, M.; Song, C.Y.; Suzuki, M.; Masuda, T.; Inoue, S.; Nakane, T.; Yumoto, F.; Nango, E.; Tanaka, R.; Tono, K.; et al. Oil-free hyaluronic acid matrix for serial femtosecond crystallography. Sci. Rep. 2016, 6, 24484. [Google Scholar] [CrossRef] [PubMed]
- Sugahara, M.; Nakane, T.; Masuda, T.; Suzuki, M.; Inoue, S.; Song, C.Y.; Tanaka, R.; Nakatsu, T.; Mizohata, E.; Yumoto, F.; et al. Hydroxyethyl cellulose matrix applied to serial crystallography. Sci. Rep. 2017, 7, 703. [Google Scholar] [CrossRef]
- Sugahara, M.; Motomura, K.; Suzuki, M.; Masuda, T.; Joti, Y.; Numata, K.; Tono, K.; Yabashi, M.; Ishikawa, T. Viscosity-adjustable grease matrices for serial nanocrystallography. Sci. Rep. 2020, 10, 1371. [Google Scholar] [CrossRef]
- Nam, K.H. Shortening injection matrix for serial crystallography. Sci. Rep. 2020, 10, 107. [Google Scholar] [CrossRef]
- Conrad, C.E.; Basu, S.; James, D.; Wang, D.; Schaffer, A.; Roy-Chowdhury, S.; Zatsepin, N.A.; Aquila, A.; Coe, J.; Gati, C.; et al. A novel inert crystal delivery medium for serial femtosecond crystallography. Iucrj 2015, 2, 421–430. [Google Scholar] [CrossRef]
- Kovacsova, G.; Grunbein, M.L.; Kloos, M.; Barends, T.R.M.; Schlesinger, R.; Heberle, J.; Kabsch, W.; Shoeman, R.L.; Doak, R.B.; Schlichting, I. Viscous hydrophilic injection matrices for serial crystallography. IUCrJ. 2017, 4, 400–410. [Google Scholar] [CrossRef]
- Park, J.; Park, S.; Kim, J.; Park, G.; Cho, Y.; Nam, K.H. Polyacrylamide injection matrix for serial femtosecond crystallography. Sci. Rep. 2019, 9, 2525. [Google Scholar] [CrossRef]
- Bertoft, E. Understanding Starch Structure: Recent Progress. Agronomy 2017, 7, 56. [Google Scholar] [CrossRef]
- Zobel, H.F. Molecules to Granules: A Comprehensive Starch Review. Starch - Stärke 1988, 40, 44–50. [Google Scholar] [CrossRef]
- Draget, K.I.; Smidsrød, O.; Skjåk-Bræk, G.; Vandamme, E.J.; De Baets, S.; Steinbüchel, A. Alginates from Algae. In Biopolymers Online; Wiley-VCH: Weinheim, Germany, 2005. [Google Scholar]
- Tako, M. The Principle of Polysaccharide Gels. Adv. Biosci. Biotechnol. 2015, 06, 22–36. [Google Scholar] [CrossRef]
- Tester, R.F.; Karkalas, J. CARBOHYDRATES | Interactions with Other Food Components. In Encyclopedia of Food Sciences and Nutrition; Academic Press: Cambridge, UK, 2003; pp. 875–881. [Google Scholar]
- Bae, J.E.; Hwang, K.Y.; Nam, K.H. Structural analysis of substrate recognition by glucose isomerase in Mn2+ binding mode at M2 site in S. rubiginosus. Biochem. Biophys. Res. Commun. 2018, 503, 770–775. [Google Scholar] [CrossRef] [PubMed]
- Bae, J.E.; Kim, I.J.; Nam, K.H. Crystal structure of glucose isomerase in complex with xylitol inhibitor in one metal binding mode. Biochem. Biophys. Res. Commun. 2017, 493, 666–670. [Google Scholar] [CrossRef]
- Park, S.Y.; Ha, S.C.; Kim, Y.G. The Protein Crystallography Beamlines at the Pohang Light Source II. Biodesign 2017, 5, 30–34. [Google Scholar]
- Barty, A.; Kirian, R.A.; Maia, F.R.; Hantke, M.; Yoon, C.H.; White, T.A.; Chapman, H. Cheetah: Software for high-throughput reduction and analysis of serial femtosecond X-ray diffraction data. J. Appl. Cryst. 2014, 47, 1118–1131. [Google Scholar] [CrossRef]
- White, T.A.; Mariani, V.; Brehm, W.; Yefanov, O.; Barty, A.; Beyerlein, K.R.; Chervinskii, F.; Galli, L.; Gati, C.; Nakane, T.; et al. Recent developments in CrystFEL. J. Appl. Cryst. 2016, 49, 680–689. [Google Scholar] [CrossRef]
- Adams, P.D.; Afonine, P.V.; Bunkoczi, G.; Chen, V.B.; Davis, I.W.; Echols, N.; Headd, J.J.; Hung, L.W.; Kapral, G.J.; Grosse-Kunstleve, R.W.; et al. PHENIX: A comprehensive Python-based system for macromolecular structure solution. Acta. Cryst. D 2010, 66, 213–221. [Google Scholar] [CrossRef]
- Emsley, P.; Cowtan, K. Coot: Model-building tools for molecular graphics. Acta. Cryst. D Biol. Cryst. 2004, 60, 2126–2132. [Google Scholar] [CrossRef]
- Afonine, P.V.; Grosse-Kunstleve, R.W.; Echols, N.; Headd, J.J.; Moriarty, N.W.; Mustyakimov, M.; Terwilliger, T.C.; Urzhumtsev, A.; Zwart, P.H.; Adams, P.D. Towards automated crystallographic structure refinement with phenix.refine. Acta. Cryst. D Biol. Cryst. 2012, 68, 352–367. [Google Scholar] [CrossRef] [PubMed]
- Williams, C.J.; Headd, J.J.; Moriarty, N.W.; Prisant, M.G.; Videau, L.L.; Deis, L.N.; Verma, V.; Keedy, D.A.; Hintze, B.J.; Chen, V.B.; et al. MolProbity: More and better reference data for improved all-atom structure validation. Protein Sci. 2018, 27, 293–315. [Google Scholar] [CrossRef] [PubMed]




| Data Collection | Glucose Isomerase Embedded in WS | Lysozyme Embedded in WS | Glucose Isomerase Embedded in Alginate | Lysozyme Embedded in Alginate |
|---|---|---|---|---|
| Energy (eV) | 12,659 | |||
| Expose time | 100 ms | |||
| Space group | I222 | P43212 | I222 | P43212 |
| Cell dimension (Å) | ||||
| a | 94.49 | 79.36 | 94.09 | 79.45 |
| b | 100.19 | 79.36 | 99.88 | 79.45 |
| c | 103.40 | 38.63 | 103.00 | 38.47 |
| Collected images | 81,798 | 34,484 | 25,000 | 4563 |
| Hits images | 8361 | 4231 | 10,268 | 3968 |
| Indexed images | 7732 | 3789 | 9946 | 1506 |
| Indexed pattern | 8281 | 4383 | 11,289 | 2066 |
| Resolution (Å) | 72.5-2.00 (2.07-2.00) | 80.0-2.00 (2.07-2.00) | 72.5-2.00 (2.07-2.00) | 80.0-1.90 (1.97-1.90) |
| Unique reflections | 33,248 (3247) | 8808 (844) | 32,970 (3233) | 10,209 (989) |
| Completeness (%) | 100.0 (100.0) | 100.0 (100.0) | 100.0 (100.0) | 100.0 (100.0) |
| Redundancy | 148.5 (101.5) | 126.6 (88.4) | 241.9 (167.8) | 158.1 (112.7) |
| SNR | 4.01 (1.59) | 4.04 (1.59) | 4.19 (1.28) | 3.91 (1.31) |
| CC | 0.9755 (0.5966) | 0.9637 (0.6351) | 0.9817 (0.4492) | 0.9672 (0.4418) |
| CC* | 0.9937 (0.8644) | 0.9907 (0.8814) | 0.9953 (0.7873) | 0.9916 (0.7828) |
| Rpslit (%) a | 17.22 (65.64) | 17.06 (66.17) | 18.99 (87.37) | 17.70 (85.37) |
| Wilson B factor (Å2) | 28.23 | 32.20 | 22.48 | 27.89 |
| Refinement | ||||
| Resolution (Å) | 70.29-2.00 | 56.13-2.00 | 71.70-2.00 | 56.18-1.90 |
| Rwork/Rworkb | 17.05/21.30 | 18.41/23.33 | 19.23/22.58 | 18.96/23.82 |
| R.m.s. deviations | ||||
| Bond length (Å) | 0.007 | 0.006 | 0.007 | 0.008 |
| Bond angle (°) | 0.860 | 0.838 | 0.836 | 0.970 |
| B factors (Å) | ||||
| Protein | 29.59 | 38.61 | 26.29 | 33.55 |
| Ligands | 38.88 | 47.50 | 40.40 | 41.15 |
| Ramachandran (%) | ||||
| Preferred | 95.72 | 95.80 | 96.22 | 95.97 |
| Allowed | 3.74 | 4.20 | 3.24 | 4.03 |
| Outliers | 0.53 | 0 | 0.54 | 0 |
| Delivery Medium | Chemical Structure | Component | Reference |
|---|---|---|---|
| Agarose | ![]() | β-(1-4)-(3,6)-anhydro-L-galactose and α-(1-3)-D-galactose | [34] |
| Hyaluronic acid (HA) | ![]() | β-d-(1-3) glucuronic acid and β-d-(1-4)-N-acetylglucosamine | [32] |
| Hydroxyethyl cellulose (HEC) | ![]() | R is H or hydroxyl ethyl group (–CH2CH2–OH) | [31] |
| Sodium carboxymethyl cellulose (NaCMC) | ![]() | R is H or carboxymethyl groups (–CH2–COOH) | [35] |
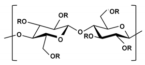
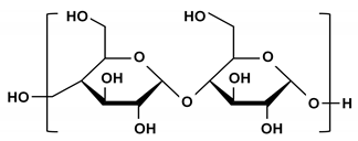
| Wheat starch (WS) | ![]() | Polymer of glucose | This study |
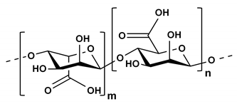
| Alginate | ![]() | (1,4)-linked β-d-mannuronic acid and α-l-guluronic acid | This study |
© 2020 by the author. Licensee MDPI, Basel, Switzerland. This article is an open access article distributed under the terms and conditions of the Creative Commons Attribution (CC BY) license (http://creativecommons.org/licenses/by/4.0/).
Share and Cite
Nam, K.H. Polysaccharide-Based Injection Matrix for Serial Crystallography. Int. J. Mol. Sci. 2020, 21, 3332. https://doi.org/10.3390/ijms21093332
Nam KH. Polysaccharide-Based Injection Matrix for Serial Crystallography. International Journal of Molecular Sciences. 2020; 21(9):3332. https://doi.org/10.3390/ijms21093332
Chicago/Turabian StyleNam, Ki Hyun. 2020. "Polysaccharide-Based Injection Matrix for Serial Crystallography" International Journal of Molecular Sciences 21, no. 9: 3332. https://doi.org/10.3390/ijms21093332
APA StyleNam, K. H. (2020). Polysaccharide-Based Injection Matrix for Serial Crystallography. International Journal of Molecular Sciences, 21(9), 3332. https://doi.org/10.3390/ijms21093332






