JA-Ile-Macrolactone 5b Induces Tea Plant (Camellia sinensis) Resistance to Both Herbivore Ectropis obliqua and Pathogen Colletotrichum camelliae
Abstract
1. Introduction
2. Results
2.1. Optimized Synthesis of JA-Ile-Macrolactones
2.2. Effect of JA-Ile-Macrolactones on TG Performance
2.3. Effect of JA-Ile-Macrolactones on the Infection of Colletotrichum camelliae
2.4. Effects of JA-Ile-Macrolactones on Transcriptional Expression Level of CsOPR3
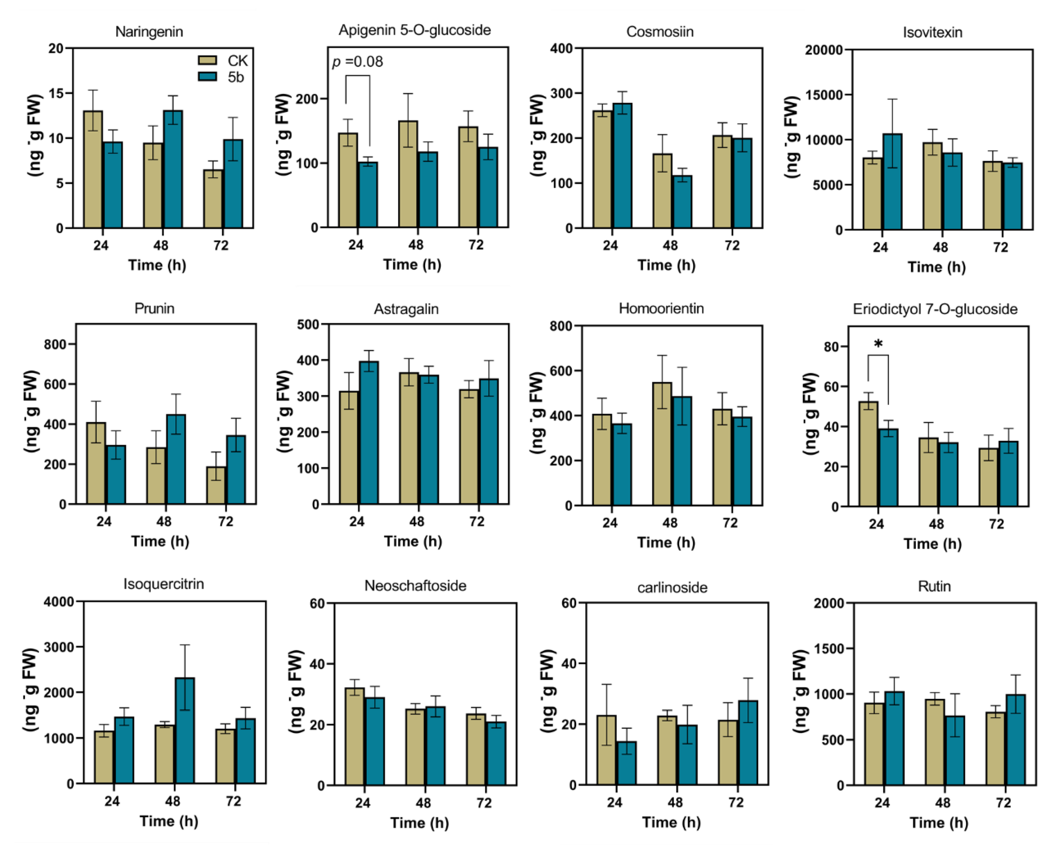
2.5. The Elicitation of Flavonoids
2.6. Effects of EDG on the Performance of TG and the Infection of Colletotrichum camelliae
3. Discussion
4. Materials and Methods
4.1. Insects
4.2. The Optimized Synthesis of JA-Ile-Macrolactones
4.3. Tea Plants and Treatments
4.4. Effect of JA-Ile-Macrolactones-Treated Tea Leaves on E. obliqua Performance
4.5. Effect of JA-Ile-Macrolactones-Treated Tea Leaves on C. camelliae Infection
4.6. RNA Extraction, cDNA Synthesis, and Real-Time PCR (qPCR) Analysis
4.7. Flavonoids Quantification
4.8. In Vitro Bioassay of E. obliqua Performance and C. camelliae Infection
4.9. Statistical Analysis
Supplementary Materials
Author Contributions
Funding
Acknowledgments
Conflicts of Interest
Abbreviations
| JA | Jasmonic acid |
| SA | Salicylic acid |
| ET | Ethylene |
| BTH | Benzo (1,2,3) thiadiazole-7-carbothioic acid S-methyl ester |
| INA | 2,6-Dichloroisonicotinic acid |
| BABA | β-aminobutyric acid |
| TDL | Tiadinil |
| MeJA | Methyl jasmonate |
| JAs | Jasmonates |
| JA-Ile | (+)-7-iso-Jasmonoyl-L-isoleucine |
| COI1 | CORONATINE INSENSITIVE 1 |
| JAZ | JASMONATE ZIM-DOMAIN |
| TG | Tea geometrid |
| OPR | 12-Oxophytodienoate reductase |
| HPL | hydroperoxide lyase |
| ACX | Acyl-CoA oxidase |
| PPO | polyphenol oxidase |
| LOX | lipoxygenase |
| p-TsOH | p-toluenesulfonic acid |
| MeCN | acetonitrile |
| EDG | Eriodictyol 7-O-glucuronide |
| RG | Reference Gene |
| SE | Standard Error |
| SD | Standard Deviation |
References
- Qi, J.F.; Sun, G.L.; Wang, L.; Zhao, C.X.; Hettenhausen, C.; Schuman, M.C.; Baldwin, I.T.; Li, J.; Song, J.; Liu, Z.D.; et al. Oral secretions from Mythimna separata insects specifically induce defence responses in maize as revealed by high-dimensional biological data. Plant Cell Environ. 2016, 39, 1749–1766. [Google Scholar] [CrossRef] [PubMed]
- Howe, G.A.; Jander, G. Plant immunity to insect herbivores. Annu. Rev. Plant Biol. 2008, 59, 41–66. [Google Scholar] [CrossRef] [PubMed]
- Fonseca, S.; Rosado, A.; Vaughan-Hirsch, J.; Bishopp, A.; Chini, A. Molecular locks and keys: The role of small molecules in phytohormone research. Front. Plant Sci. 2014, 5, 709. [Google Scholar] [CrossRef] [PubMed]
- Per, T.S.; Khan, M.I.R.; Anjum, N.A.; Masood, A.; Hussain, S.J.; Khan, N.A. Jasmonates in plants under abiotic stresses: Crosstalk with other phytohormones matters. Environ. Exp. Bot. 2018, 145, 104–120. [Google Scholar] [CrossRef]
- Zhou, M.; Wang, W. Recent advances in synthetic chemical inducers of plant immunity. Front. Plant Sci. 2018, 9, 1613. [Google Scholar] [CrossRef]
- Qiu, D.W.; Dong, Y.J.; Zhang, Y.; Li, S.P.; Shi, F.C. Plant immunity inducer development and application. Mol. Plant-Microbe Interact. 2017, 30, 355–360. [Google Scholar]
- Tsubata, K.; Kuroda, K.; Yamamoto, Y.; Yasokawa, N. Development of a novel plant activator for rice diseases, tiadinil. J. Pestic. Sci. 2006, 31, 161–162. [Google Scholar] [CrossRef]
- Beckers, G.J.; Conrath, U. Priming for stress resistance: From the lab to the field. Curr. Opin. Plant Biol. 2007, 10, 425–431. [Google Scholar] [CrossRef]
- Bektas, Y.; Eulgem, T. Synthetic plant defense elicitors. Front. Plant Sci. 2015, 5, 804. [Google Scholar] [CrossRef]
- Yan, J.X.; Deng, Y.A.; Yu, J.; Zhang, Y.Q.; Chi, D.F. A study on JA- and BTH-induced resistance of Rosa rugosa ‘Plena’ to powdery mildew (Sphaerotheca pannosa). J. For. Res. 2018, 29, 823–831. [Google Scholar] [CrossRef]
- Jiang, H.; Wang, B.; Ma, L.; Zheng, X.Y.; Gong, D.; Xue, H.L.; Bi, Y.; Wang, Y.; Zhang, Z.; Prusky, D. Benzo-(1,2,3)-thiadiazole-7-carbothioic acid s-methyl ester (BTH) promotes tuber wound healing of potato by elevation of phenylpropanoid metabolism. Postharvest Biol. Technol. 2019, 153, 125–132. [Google Scholar] [CrossRef]
- Qin, J.H.; Wu, M.; Liu, H.; Gao, Y.B.; Ren, A.Z. Endophyte infection and methyl jasmonate treatment increased the resistance of achnatherum sibiricum to insect herbivores independently. Toxins 2019, 11, 7. [Google Scholar] [CrossRef] [PubMed]
- Schuler, G.; Mithofer, A.; Baldwin, I.T.; Berger, S.; Ebel, J.; Santos, J.G.; Herrmann, G.; Holscher, D.; Kramell, R.; Kutchan, T.M.; et al. Coronalon: A powerful tool in plant stress physiology. FEBS Lett. 2004, 563, 17–22. [Google Scholar] [CrossRef]
- Xin, Z.J.; Chen, S.L.; Ge, L.G.; Li, X.W.; Sun, X.L. The involvement of a herbivore-induced acyl-CoA oxidase gene, CsACX1, in the synthesis of jasmonic acid and its expression in flower opening in tea plant (Camellia sinensis). Plant Physiol. Biochem. 2019, 135, 132–140. [Google Scholar] [CrossRef]
- Frew, A.; Weston, L.A.; Gurr, G.M. Silicon reduces herbivore performance via different mechanisms, depending on host-plant species. Austral Ecol. 2019, 44, 1092–1097. [Google Scholar] [CrossRef]
- Xin, Z.J.; Yu, Z.N.; Erb, M.; Turlings, T.C.J.; Wang, B.H.; Qi, J.F.; Liu, S.N.; Lou, Y.G. The broad-leaf herbicide 2,4-dichlorophenoxyacetic acid turns rice into a living trap for a major insect pest and a parasitic wasp. New Phytol. 2012, 194, 498–510. [Google Scholar] [CrossRef]
- Moraes, M.C.B.; Birkett, M.A.; Gordon-Weeks, R.; Smart, L.E.; Martin, J.L.; Pye, B.J.; Bromilow, R.; Pickett, J.A. cis-Jasmone induces accumulation of defence compounds in wheat, Triticum aestivum. Phytochemistry 2008, 69, 9–17. [Google Scholar] [CrossRef]
- Cooper, W.R.; Horton, D.R. Elicitors of host plant defenses partially suppress cacopsylla pyricola (Hemiptera: Psyllidae) Populations under Field Conditions. J. Insect Sci. 2017, 17, 2. [Google Scholar] [CrossRef]
- Bayram, A.; Tonga, A. Methyl Jasmonate Affects population densities of phytophagous and entomophagous insects in wheat. Appl. Ecol. Environ. Res. 2018, 16, 181–198. [Google Scholar] [CrossRef]
- Campos, M.L.; Kang, J.H.; Howe, G.A. Jasmonate-Triggered Plant Immunity. J. Chem. Ecol. 2014, 40, 657–675. [Google Scholar] [CrossRef]
- Wasternack, C.; Feussner, I. The oxylipin pathways: Biochemistry and function. Annu. Rev. Plant Biol. 2018, 69, 363–386. [Google Scholar] [CrossRef] [PubMed]
- Wasternack, C.; Strnad, M. Jasmonate signaling in plant stress responses and development - active and inactive compounds. N. Biotechnol. 2016, 33, 604–613. [Google Scholar] [CrossRef] [PubMed]
- Wasternack, C.; Strnad, M. Jasmonates are signals in the biosynthesis of secondary metabolites - Pathways, transcription factors and applied aspects—A brief review. N. Biotechnol. 2019, 48, 1–11. [Google Scholar] [CrossRef]
- Sheard, L.B.; Tan, X.; Mao, H.B.; Withers, J.; Ben-Nissan, G.; Hinds, T.R.; Kobayashi, Y.; Hsu, F.F.; Sharon, M.; Browse, J.; et al. Jasmonate perception by inositol-phosphate-potentiated COI1-JAZ co-receptor. Nature 2010, 468, 400–405. [Google Scholar] [CrossRef]
- Rohwer, C.L.; Erwin, J.E. Horticultural applications of jasmonates: A review. J. Horticult. Sci. Biotechnol. 2008, 83, 283–304. [Google Scholar] [CrossRef]
- Cui, J.; Bahrami, A.K.; Pringle, E.G.; Hernandez-Guzman, G.; Bender, C.L.; Pierce, N.E.; Ausubel, F.M. Pseudomonas syringae manipulates systemic plant defenses against pathogens and herbivores. Proc. Natl. Acad. Sci. USA 2005, 102, 1791–1796. [Google Scholar] [CrossRef]
- Pieterse, C.M.J.; van Wees, S.C.M.; van Pelt, J.A.; Knoester, M.; Laan, R.; Gerrits, N.; Weisbeek, P.J.; van Loon, L.C. A novel signaling pathway controlling induced systemic resistance in Arabidopsis. Plant Cell 1998, 10, 1571–1580. [Google Scholar] [CrossRef]
- Svoboda, J.; Boland, W. Plant defense elicitors: Analogues of jasmonoyl-isoleucine conjugate. Phytochemistry 2010, 71, 1445–1449. [Google Scholar] [CrossRef]
- Yan, J.B.; Li, S.H.; Gu, M.; Yao, R.; Li, Y.W.; Chen, J.; Yang, M.; Tong, J.H.; Xiao, L.T.; Nan, F.J.; et al. Endogenous bioactive jasmonate is composed of a set of (+)-7-iso-JA- amino acid conjugates. Plant Physiol. 2016, 172, 2154–2164. [Google Scholar] [CrossRef]
- Ichihara, A.; Shiraishi, K.; Sato, H.; Sakamura, S.; Nishiyama, K.; Sakai, R.; Furusaki, A.; Matsumoto, T. The structure of coronatine. J. Am. Chem. Soc. 1977, 99, 636–637. [Google Scholar] [CrossRef]
- Ballare, C.L.; Austin, A.T. Recalculating growth and defense strategies under competition: Key roles of photoreceptors and jasmonates. J. Exp. Bot. 2019, 70, 3425–3434. [Google Scholar] [CrossRef]
- Jimenez-Aleman, G.H.; Machado, R.A.R.; Gorls, H.; Baldwin, I.T.; Boland, W. Synthesis, structural characterization and biological activity of two diastereomeric JA-Ile macrolactones. Org. Biomol. Chem. 2015, 13, 5885–5893. [Google Scholar] [CrossRef]
- Jimenez-Aleman, G.H.; Machado, R.A.R.; Baldwin, I.T.; Boland, W. JA-Ile-macrolactones uncouple growth and defense in wild tobacco. Org. Biomol. Chem. 2017, 15, 3391–3395. [Google Scholar] [CrossRef]
- Burketova, L.; Trda, L.; Ott, P.G.; Valentova, O. Bio-based resistance inducers for sustainable plant protection against pathogens. Biotechnol. Adv. 2015, 33, 994–1004. [Google Scholar] [CrossRef]
- Wang, D.; Li, C.F.; Ma, C.L.; Chen, L. Novel insights into the molecular mechanisms underlying the resistance of Camellia sinensis to Ectropis oblique provided by strategic transcriptomic comparisons. Sci. Hortic. 2015, 192, 429–440. [Google Scholar] [CrossRef]
- Zeng, W.A.; Zhou, G.S.; Deng, Z.P.; Kuan, C.F. Biological control progress of Ectropis Obliqua Prout. Tea Comm. 2008, 35, 30–32. [Google Scholar]
- Wang, Y.; Hao, X.; Huang, Y.; Yue, C.; Wang, B.; Cao, H.; Wang, L.; Wang, X.; Yang, Y.; Xiao, B. Phylogenetic study of colletotrichum species associated with Camellia sinensis from the major tea areas in China. Sci. Agri. Sin. 2015, 48, 4924–4935. [Google Scholar]
- Yang, Z.W.; Duan, X.N.; Jin, S.; Li, X.W.; Chen, Z.M.; Ren, B.Z.; Sun, X.L. Regurgitant derived from the tea geometrid Ectropis obliqua suppresses wound-induced polyphenol oxidases activity in tea plants. J. Chem. Ecol. 2013, 39, 744–751. [Google Scholar] [CrossRef]
- Xin, Z.J.; Zhang, J.; Ge, L.G.; Lei, S.; Han, J.J.; Zhang, X.; Li, X.W.; Sun, X.L. A putative 12-oxophytodienoate reductase gene CsOPR3 from Camellia sinensis, is involved in wound and herbivore infestation responses. Gene 2017, 615, 18–24. [Google Scholar] [CrossRef]
- Xin, Z.J.; Zhang, L.P.; Zhang, Z.Q.; Chen, Z.M.; Sun, X.L. A tea hydroperoxide lyase gene, CsiHPL1, regulates tomato defense response against Prodenia Litura (Fabricius) and Alternaria Alternata f. sp Lycopersici by modulating green leaf volatiles (GLVs) release and jasmonic acid (JA) gene expression. Plant Mol. Biol. Rep. 2014, 32, 62–69. [Google Scholar] [CrossRef]
- Huang, C.; Zhang, J.; Zhang, X.; Yu, Y.C.; Bian, W.B.; Zeng, Z.P.; Sun, X.L.; Li, X.H. Two new polyphenol oxidase genes of tea plant (Camellia sinensis) respond differentially to the regurgitant of tea geometrid, Ectropis obliqua. Int. J. Mol. Sci. 2018, 19, 2414. [Google Scholar] [CrossRef]
- Li, X.; Ahammed, G.J.; Li, Z.X.; Tang, M.J.; Yan, P.; Han, W.Y. Decreased biosynthesis of jasmonic acid via lipoxygenase pathway compromised caffeine-induced resistance to Colletotrichum gloeosporioides under elevated CO2 in tea seedlings. Phytopathology 2016, 106, 1270–1277. [Google Scholar] [CrossRef]
- Zhang, J.; Zhang, X.; Ye, M.; Li, X.W.; Lin, S.B.; Sun, X.L. The jasmonic acid pathway positively regulates the polyphenol oxidase-based defense against tea geometrid caterpillars in the tea plant (Camellia sinensis). J. Chem. Ecol. 2020. [Google Scholar] [CrossRef]
- Jimenez-Aleman, G.H.; Secinti, S.; Boland, W. A succinct access to omega-hydroxylated jasmonates via olefin metathesis. Z. Naturforsch. C. 2017, 72, 285–292. [Google Scholar] [CrossRef]
- Hao, X.Y.; Horvath, D.P.; Chao, W.S.; Yang, Y.J.; Wang, X.C.; Xiao, B. Identification and evaluation of reliable reference genes for quantitative Real-Time PCR analysis in tea Plant (Camellia sinensis (L.) O. Kuntze). Int. J. Mol. Sci. 2014, 15, 22155–22172. [Google Scholar] [CrossRef]
- Ma, Q.P.; Hao, S.; Chen, X.; Li, X.H. Validation of reliability for reference genes under various abiotic stresses in tea plant. Russ. J. Plant. Physl. 2016, 63, 423–432. [Google Scholar] [CrossRef]
- Wu, Z.J.; Tian, C.; Jiang, Q.; Li, X.H.; Zhuang, J. Selection of suitable reference genes for qRT-PCR normalization during leaf development and hormonal stimuli in tea plant (Camellia sinensis). Sci. Rep. 2016, 6, 19748. [Google Scholar] [CrossRef]
- Wang, M.L.; Li, Q.H.; Xin, H.H.; Chen, X.; Zhu, X.J.; Li, X.H. Reliable reference genes for normalization of gene expression data in tea plants (Camellia sinensis) exposed to metal stresses. Plos ONE 2017, 12, 4. [Google Scholar] [CrossRef]
- Vandesompele, J.; De Preter, K.; Pattyn, F.; Poppe, B.; Van Roy, N.; De Paepe, A.; Speleman, F. Accurate normalization of real-time quantitative RT-PCR data by geometric averaging of multiple internal control genes. Genome Biol. 2002, 3, 7. [Google Scholar] [CrossRef]
- Andersen, C.L.; Jensen, J.L.; Orntoft, T.F. Normalization of real-time quantitative reverse transcription-PCR data: A model-based variance estimation approach to identify genes suited for normalization, applied to bladder and colon cancer data sets. Cancer Res. 2004, 64, 5245–5250. [Google Scholar] [CrossRef]
- Pfaffl, M.W.; Tichopad, A.; Prgomet, C.; Neuvians, T.P. Determination of stable housekeeping genes, differentially regulated target genes and sample integrity: BestKeeper - Excel-based tool using pair-wise correlations. Biotechnol. Lett. 2004, 26, 509–515. [Google Scholar] [CrossRef] [PubMed]
- He, X.R.; Yu, Z.N.; Jiang, S.J.; Zhang, P.Z.; Shang, Z.C.; Lou, Y.G.; Wu, J. Finding new elicitors that induce resistance in rice to the white-backed planthopper Sogatella furcifera. Bioorg. Med. Chem. Lett. 2015, 25, 5601–5603. [Google Scholar] [CrossRef] [PubMed]
- Pare, P.W.; Farag, M.A.; Krishnamachari, V.; Zhang, H.M.; Ryu, C.M.; Kloepper, J.W. Elicitors and priming agents initiate plant defense responses. Photosynth. Res. 2005, 85, 149–159. [Google Scholar] [CrossRef] [PubMed]
- Terry, L.A.; Joyce, D.C. Elicitors of induced disease resistance in postharvest horticultural crops: A brief review. Postharvest Biol. Technol. 2004, 32, 1–13. [Google Scholar] [CrossRef]
- Xin, Z.J.; Li, X.W.; Li, J.C.; Chen, Z.M.; Sun, X.L. Application of chemical elicitor (Z)-3-hexenol enhances direct and indirect plant defenses against tea geometrid Ectropis obliqua. BioControl 2016, 61, 1–12. [Google Scholar] [CrossRef]
- Schaller, F.; Biesgen, C.; Mussig, C.; Altmann, T.; Weiler, E.W. 12-oxophytodienoate reductase 3 (OPR3) is the isoenzyme involved in jasmonate biosynthesis. Planta 2000, 210, 979–984. [Google Scholar] [CrossRef]
- Browse, J. Jasmonate Passes Muster: A receptor and targets for the defense hormone. Annu. Rev. Plant Biol. 2009, 60, 183–205. [Google Scholar] [CrossRef]
- Mussig, C.; Biesgen, C.; Lisso, J.; Uwer, U.; Weiler, E.W.; Altmann, T. A novel stress-inducible 12-oxophytodienoate reductase from Arabidopsis thaliana provides a potential link between Brassinosteroid-action and Jasmonic-acid synthesis. J. Plant Physiol. 2000, 157, 143–152. [Google Scholar] [CrossRef]
- Giri, C.C.; Zaheer, M. Chemical elicitors versus secondary metabolite production in vitro using plant cell, tissue and organ cultures: Recent trends and a sky eye view appraisal. Plant Cell Tiss. Org. 2016, 126, 1–18. [Google Scholar] [CrossRef]
- Baldwin, I.T. Inducible nicotine production in native Nicotiana as an example of adaptive phenotypic plasticity. J. Chem. Ecol. 1999, 25, 3–30. [Google Scholar] [CrossRef]
- Abou-Zaid, M.M.; Beninger, C.W.; Arnason, J.T.; Nozzolillo, C. The effect of one flavone, two catechins and four flavonols on mortality and growth of the European corn borer (Ostrinia nubilalis Hubner). Biochem. Syst. Ecol. 1993, 21, 415–420. [Google Scholar] [CrossRef]
- Wang, Y.C.; Qian, W.J.; Li, N.N.; Hao, X.Y.; Wang, L.; Xiao, B.; Wang, X.C.; Yang, Y.J. Metabolic changes of caffeine in tea plant (Camellia sinensis (L.) O. Kuntze) as defense response to Colletotrichum fructicola. J. Agric. Food. Chem. 2016, 64, 6685–6693. [Google Scholar] [CrossRef]
- Liao, Y.Y.; Yu, Z.M.; Liu, X.Y.; Zeng, L.T.; Cheng, S.H.; Li, J.L.; Tang, J.C.; Yang, Z.Y. Effect of major tea insect attack on formation of quality-related nonvolatile specialized metabolites in tea (Camellia sinensis) leaves. J. Agric. Food. Chem. 2019, 67, 6716–6724. [Google Scholar] [CrossRef]
- Beninger, C.W.; Abou-Zaid, M.M.; Kistner, A.L.E.; Hallett, R.H.; Iqbal, M.J.; Grodzinski, B.; Hall, J.C. A flavanone and two phenolic acids from Chrysanthemum morifolium with phytotoxic and insect growth regulating activity. J. Chem. Ecol. 2004, 30, 589–606. [Google Scholar] [CrossRef]








| Rank | geNorm | NormFinder | BestKeeper | ΔCt | Total | |||||
|---|---|---|---|---|---|---|---|---|---|---|
| RG 1 | Stability | RG 1 | Stability | RG 1 | SD 2 | r | RG 1 | SD 2 | ||
| 1 | CsCLATHRIN | 0.374 | CsTBP | 0.242 | CsEF1 | 0.48 | 0.726 | CsTBP | 0.60 | CsCLATHRIN |
| 2 | CsUBC | 0.374 | CsCLATHRIN | 0.414 | CsACTIN | 0.49 | 0.615 | CsCLATHRIN | 0.66 | CsTBP |
| 3 | CsTBP | 0.399 | CsUBC | 0.430 | CsGAPDH | 0.49 | 0.734 | CsUBC | 0.67 | CsUBC |
| 4 | CsGAPDH | 0.542 | CsPTB | 0.479 | CsSAND | 0.49 | 0.742 | CsGAPDH | 0.71 | CsEF1 |
| 5 | CsSAND | 0.580 | CsEF1 | 0.489 | CsCLATHRIN | 0.51 | 0.874 | CsSAND | 0.71 | CsGAPDH |
| 6 | CsTIP | 0.595 | CsGAPDH | 0.490 | CsUBC | 0.53 | 0.824 | CsEF1 | 0.71 | CsSAND |
| 7 | CsEF1 | 0.618 | CsSAND | 0.492 | CsTBP | 0.53 | 0.936 | CsPTB | 0.72 | CsACTIN |
| 8 | CsPTB | 0.638 | CsTIP | 0.570 | CsTIP | 0.55 | 0.778 | CsTIP | 0.76 | CsPTB |
| 9 | CsACTIN | 0.657 | CsACTIN | 0.573 | CsPTB | 0.56 | 0.800 | CsACTIN | 0.77 | CsTIP |
| 10 | CsTUA | 0.734 | CsTUA | 0.940 | CsTUA | 0.76 | 0.675 | CsTUA | 1.04 | CsTUA |
© 2020 by the authors. Licensee MDPI, Basel, Switzerland. This article is an open access article distributed under the terms and conditions of the Creative Commons Attribution (CC BY) license (http://creativecommons.org/licenses/by/4.0/).
Share and Cite
Lin, S.; Dong, Y.; Li, X.; Xing, Y.; Liu, M.; Sun, X. JA-Ile-Macrolactone 5b Induces Tea Plant (Camellia sinensis) Resistance to Both Herbivore Ectropis obliqua and Pathogen Colletotrichum camelliae. Int. J. Mol. Sci. 2020, 21, 1828. https://doi.org/10.3390/ijms21051828
Lin S, Dong Y, Li X, Xing Y, Liu M, Sun X. JA-Ile-Macrolactone 5b Induces Tea Plant (Camellia sinensis) Resistance to Both Herbivore Ectropis obliqua and Pathogen Colletotrichum camelliae. International Journal of Molecular Sciences. 2020; 21(5):1828. https://doi.org/10.3390/ijms21051828
Chicago/Turabian StyleLin, Songbo, Yanan Dong, Xiwang Li, Yuxian Xing, Miaomiao Liu, and Xiaoling Sun. 2020. "JA-Ile-Macrolactone 5b Induces Tea Plant (Camellia sinensis) Resistance to Both Herbivore Ectropis obliqua and Pathogen Colletotrichum camelliae" International Journal of Molecular Sciences 21, no. 5: 1828. https://doi.org/10.3390/ijms21051828
APA StyleLin, S., Dong, Y., Li, X., Xing, Y., Liu, M., & Sun, X. (2020). JA-Ile-Macrolactone 5b Induces Tea Plant (Camellia sinensis) Resistance to Both Herbivore Ectropis obliqua and Pathogen Colletotrichum camelliae. International Journal of Molecular Sciences, 21(5), 1828. https://doi.org/10.3390/ijms21051828

