Identification and Molecular Characterization of a Pellino Protein in Kuruma Prawn (Marsupenaeus Japonicus) in Response to White Spot Syndrome Virus and Vibrio Parahaemolyticus Infection
Abstract
1. Introduction
2. Results
2.1. Characterization of the cDNA Sequence of MjPellino
2.2. Multiple-Sequence Alignment and Phylogenetic Analysis
2.3. Tissue Distribution of MjPellino
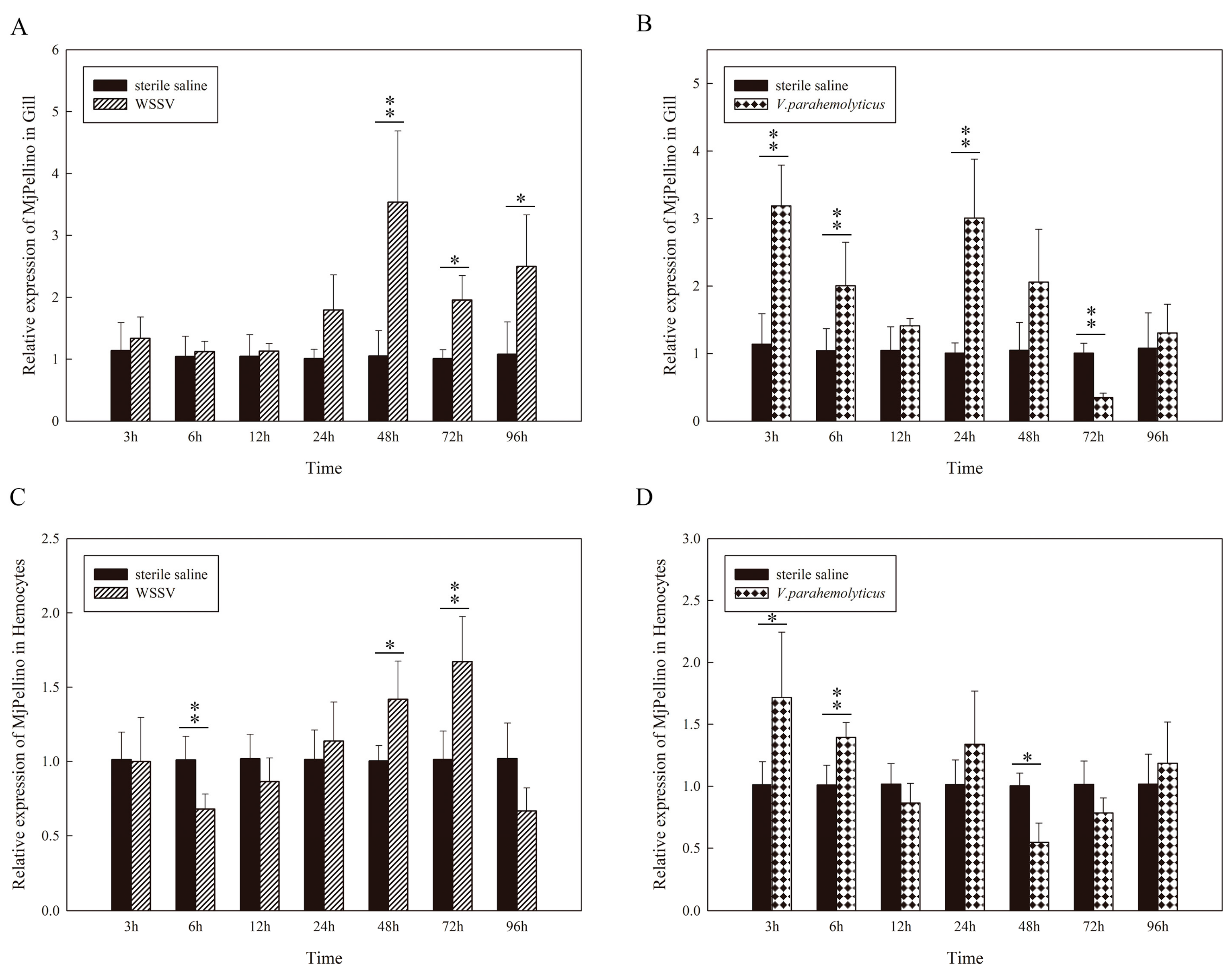
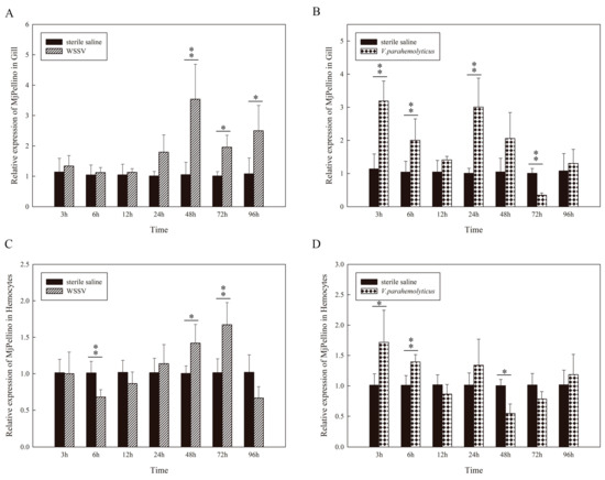
2.4. MjPellino was Upregulated by WSSV and Vibrio Parahaemolyticus Challenge
2.5. Three-Dimensional Modeling and Protein-Protein Docking Assays
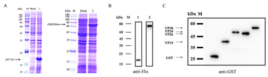
2.6. Expression and Purification of Recombinant Proteins
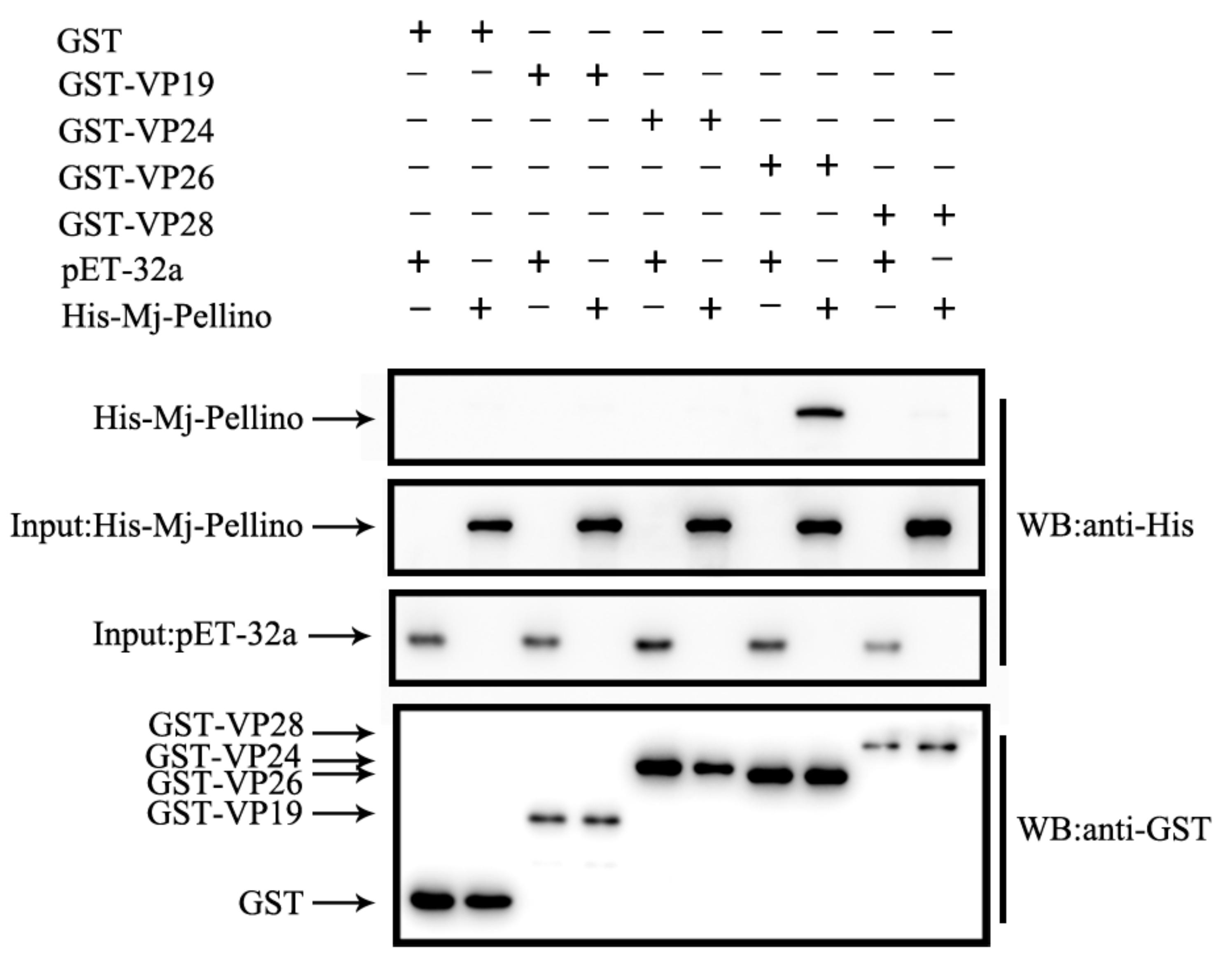
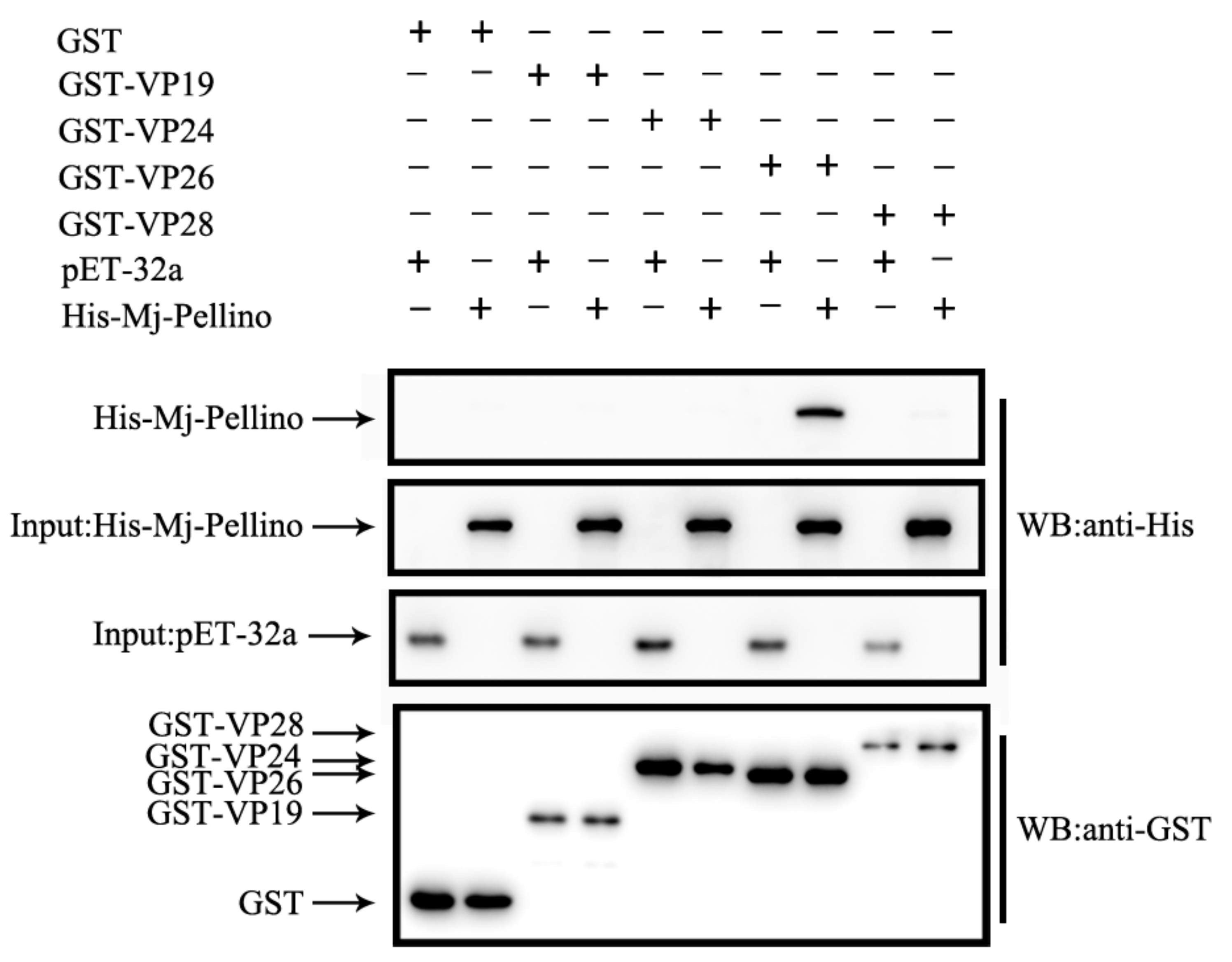
2.7. MjPellino Can Interact with VP26 of WSSV
2.8. Inhibition of MjPellino Expression in Vivo
3. Discussion
4. Materials and Methods
4.1. Animals Used for Research
4.2. Cloning of the Full-Length Mjpellino Gene
4.3. Immune Challenge Assays and Tissue Collection
4.4. Quantitative Real-Time PCR Analysis
4.5. Three-Dimensional Modeling and Protein-Protein Docking Assays
4.6. Construction of the Recombinant Prokaryotic Plasmid and Protein Expression
4.7. GST Pull-Down and Western Blot Analysis
4.8. Knockdown of MjPellino and Analysis of Its Effect on MjAMP Gene Expression
4.9. Bioinformatics Analysis and Statistical Analysis
Supplementary Materials
Author Contributions
Funding
Acknowledgments
Conflicts of Interest
Abbreviations
| MDPI | Multidisciplinary Digital Publishing Institute |
| DOAJ | Directory of open access journals |
| TLA | Three letter acronym |
| LD | linear dichroism |
| EF1-α | elongation factor 1-α |
| ZLAB | Zhiping Weng′s laboratory |
| eGFP | enhanced green fluorescent protein |
References
- Dall, W.; Hill, B.; Rothlisberg, P.; Sharples, D. The biology of the Penaeidae. Adv. Marine Biol. 1990, 27, 489. [Google Scholar]
- Devi, D. Molecular Docking Analyses of Cynodon Dactylon Derived Phytochemicals Against White Spot Syndrome VIRUS (WSSV) Structural Protein VP26. Int. J. Appl. Biol. Pharm. Technol. 2015, 6, 182–188. [Google Scholar]
- Li, F.; Xiang, J. Recent advances in researches on the innate immunity of shrimp in China. Dev. Comp. Immunol. 2013, 39, 11–26. [Google Scholar] [CrossRef] [PubMed]
- Li, L.; Meng, H.; Gu, D.; Li, Y.; Jia, M. Molecular mechanisms of Vibrio parahaemolyticus pathogenesis. Microbiol. Res. 2019, 222, 43–51. [Google Scholar] [CrossRef]
- Lightner, D.V. A Handbook of Shrimp Pathology and Diagnostic Procedures for Diseases of Cultured Penaeid Shrimp; World Aquaculture Society Baton Rouge: Baton Rouge, LA, USA, 1996; Volume 305. [Google Scholar]
- Leu, J.-H.; Yang, F.; Zhang, X.; Xu, X.; Kou, G.-H.; Lo, C.-F. Whispovirus. In Lesser Known Large dsDNA Viruses; Van Etten, J.L., Ed.; Springer-Verlag: Berlin/Heidelberg, Germany, 2009; pp. 197–227. [Google Scholar]
- Francki, R.I.B.; Fauquet, C.; Knudson, D.; Brown, F. Classification and Nomenclature of Viruses: Fifth Report of the International Committee on Taxonomy of Viruses for the Virology Division of the International Union of Microbiological Societies; Springer Science & Business Media: Wien, Austria, 2012; Volume 2. [Google Scholar]
- Mettenleiter, T.C. Budding events in herpesvirus morphogenesis. Virus Res. 2004, 106, 167–180. [Google Scholar] [CrossRef]
- Chazal, N.; Gerlier, D. Virus entry, assembly, budding, and membrane rafts. Microbiol. Mol. Biol. Rev. 2003, 67, 226–237. [Google Scholar] [CrossRef]
- Rajcáni, J. Molecular mechanisms of virus spread and virion components as tools of virulence. Acta Microbiol. Et Immunol. Hung. 2003, 50, 407–431. [Google Scholar] [CrossRef]
- Kawato, S.; Shitara, A.; Wang, Y.; Nozaki, R.; Kondo, H.; Hirono, I. Crustacean Genome Exploration Reveals the Evolutionary Origin of White Spot Syndrome Virus. J. Virol. 2019, 93, e01144-18. [Google Scholar] [CrossRef]
- Jyh-Ming, T.; Han-Ching, W.; Jiann-Horng, L.; He-Hsuan, H.; Andrew H.-J., W.; Guang-Hsiung, K.; Chu-Fang, L. Genomic and proteomic analysis of thirty-nine structural proteins of shrimp white spot syndrome virus. J. Virol. 2004, 78, 11360–11370. [Google Scholar]
- Li, Z.; Xu, L.; Li, F.; Zhou, Q.; Yang, F. Analysis of white spot syndrome virus envelope protein complexome by two-dimensional blue native/SDS PAGE combined with mass spectrometry. Arch. Virol. 2011, 156, 1125–1135. [Google Scholar] [CrossRef][Green Version]
- Tang, X.; Wu, J.; Sivaraman, J.; Hew, C.L. Crystal structures of major envelope proteins VP26 and VP28 from white spot syndrome virus shed light on their evolutionary relationship. J. Virol. 2007, 81, 6709–6717. [Google Scholar] [CrossRef] [PubMed]
- Iwanaga, S.; Lee, B.-L. Recent advances in the innate immunity of invertebrate animals. BMB Rep. 2005, 38, 128–150. [Google Scholar] [CrossRef] [PubMed]
- Rauta, P.R.; Mrinal, S.; Dash, H.R.; Bismita, N.; Surajit, D. Toll-like receptors (TLRs) in aquatic animals: Signaling pathways, expressions and immune responses. Immunol. Lett. 2014, 158, 14–24. [Google Scholar] [CrossRef] [PubMed]
- Nie, L.; Cai, S.-Y.; Shao, J.-Z.; Chen, J. Toll-like receptors, associated biological roles, and signaling networks in non-mammals. Front. Immunol. 2018, 9, 1523. [Google Scholar] [CrossRef] [PubMed]
- Großhans, J.; Schnorrer, F.; Nüsslein-Volhard, C. Oligomerisation of Tube and Pelle leads to nuclear localisation of dorsal. Mech. Dev. 1999, 81, 127–138. [Google Scholar] [CrossRef]
- Kim, T.W.; Yu, M.; Zhou, H.; Cui, W.; Wang, J.; DiCorleto, P.; Fox, P.; Xiao, H.; Li, X. Pellino 2 is critical for Toll-like receptor/interleukin-1 receptor (TLR/IL-1R)-mediated post-transcriptional control. J. Biol. Chem. 2012, 287, 25686–25695. [Google Scholar] [CrossRef]
- Moynagh, P.N. The Pellino family: IRAK E3 ligases with emerging roles in innate immune signalling. Trends Immunol. 2009, 30, 33–42. [Google Scholar] [CrossRef]
- Murphy, M.B.; Xiong, Y.; Pattabiraman, G.; Manavalan, T.T.; Qiu, F.; Medvedev, A.E. Pellino-3 promotes endotoxin tolerance and acts as a negative regulator of TLR2 and TLR4 signaling. J. Leukoc. Biol. 2015, 98, 963–974. [Google Scholar] [CrossRef]
- Schauvliege, R.; Janssens, S.; Beyaert, R. Pellino proteins: Novel players in TLR and IL-1R signalling. J. Cell. Mol. Med. 2007, 11, 453–461. [Google Scholar] [CrossRef]
- Jiang, Z.; Johnson, H.J.; Nie, H.; Qin, J.; Bird, T.A.; Li, X. Pellino 1 is required for interleukin-1 (IL-1)-mediated signaling through its interaction with the IL-1 receptor-associated kinase 4 (IRAK4)-IRAK-tumor necrosis factor receptor-associated factor 6 (TRAF6) complex. J. Biol. Chem. 2003, 278, 10952–10956. [Google Scholar] [CrossRef]
- Haghayeghi, A.; Sarac, A.; Czerniecki, S.; Grosshans, J.; Schöck, F. Pellino enhances innate immunity in Drosophila. Mech. Dev. 2010, 127, 301–307. [Google Scholar] [CrossRef]
- Lin, C.-C.; Huoh, Y.-S.; Schmitz, K.R.; Jensen, L.E.; Ferguson, K.M. Pellino proteins contain a cryptic FHA domain that mediates interaction with phosphorylated IRAK1. Structure 2008, 16, 1806–1816. [Google Scholar] [CrossRef] [PubMed]
- National Center for Biotechnology Information Support Center Home Page. Available online: https://www.ncbi.nlm.nih.gov/ (accessed on 24 December 2019).
- Li, C.; Chai, J.; Li, H.; Zuo, H.; Wang, S.; Qiu, W.; Weng, S.; He, J.; Xu, X. Pellino protein from pacific white shrimp Litopenaeus vannamei positively regulates NF-κB activation. Dev. Comp. Immunol. 2014, 44, 341–350. [Google Scholar] [CrossRef] [PubMed]
- SignalP-5.0 server. Available online: http://www.cbs.dtu.dk/services/SignalP/ (accessed on 23 January 2019).
- Kumar, S.; Stecher, G.; Tamura, K. MEGA7: Molecular Evolutionary Genetics Analysis Version 7.0 for Bigger Datasets. Mol. Biol. Evol. 2016, 33, 1870–1874. [Google Scholar] [CrossRef] [PubMed]
- Johansson, M.W.; Keyser, P.; Sritunyalucksana, K.; Soderhall, K. Crustacean haemocytes and haematopoiesis. Aquaculture 2000, 191, 45–52. [Google Scholar] [CrossRef]
- Li, C.; Chen, Y.; Weng, S.; Li, S.; Zuo, H.; Yu, X.; Li, H.; He, J.; Xu, X. Presence of Tube isoforms in Litopenaeus vannamei suggests various regulatory patterns of signal transduction in invertebrate NF-κB pathway. Dev. Comp. Immunol. 2014, 42, 174–185. [Google Scholar] [CrossRef] [PubMed]
- The Protein Data Bank (PDB) Home Page. Available online: https://www.rcsb.org/ (accessed on 24 August 2019).
- Fiachra, H.; Moynagh, P.N. Molecular and physiological roles of Pellino E3 ubiquitin ligases in immunity. Immunol. Rev. 2015, 266, 93–108. [Google Scholar]
- Jeon, Y.K.; Kim, C.K.; Hwang, K.R.; Park, H.-Y.; Koh, J.; Chung, D.H.; Lee, C.-W.; Ha, G.-H. Pellino-1 promotes lung carcinogenesis via the stabilization of Slug and Snail through K63-mediated polyubiquitination. Cell Death Differ. 2017, 24, 469. [Google Scholar] [CrossRef]
- Lee, C.-W.; Kim, S.; Bae, S.; Park, J.; Ha, G.-H.; Hwang, K.; Kim, H.-S.; Ji, J.-H.; Go, H. Pellino 1 Communicates Intercellular Signaling in Chronic Skin Inflammatory Microenvironment. bioRxiv 2018, 334433. [Google Scholar]
- Aaron, C.; Ronen, B.S. N-terminal ubiquitination: More protein substrates join in. Trends Cell Biol. 2004, 14, 103–106. [Google Scholar]
- Ding, Y.; Jiang, S.; Li, Y.; Yang, Q.; Jiang, S.; Yang, L.; Huang, J.; Zhou, F. Molecular cloning and expression analysis of Pellino in black tiger shrimp (Penaeus monodon) under different stress. South. China Fish. Sci. 2019, 15, 87–96. [Google Scholar] [CrossRef]
- Rameshthangam, P.; Ramasamy, P. Antioxidant and membrane bound enzymes activity in WSSV-infected Penaeus monodon Fabricius. Aquaculture 2006, 254, 32–39. [Google Scholar] [CrossRef]
- Li, C.; Li, H.; Yin, B.; Sheng, W.; Fu, Q.; Bang, X.; Kai, L.; He, J. RNAi screening identifies a new Toll from shrimp that restricts WSSV infection through activating Dorsal to induce antimicrobial peptides. PLoS Pathog. 2018, 14, e1007109. [Google Scholar] [CrossRef] [PubMed]
- Wssv, O.; Wang, P.; Gu, Z.; Wan, D.; Zhang, M.; Weng, S.; Yu, X.; Guo, H. The Shrimp NF-kB Pathway Is Activated by White Spot Syndrome Virus (WSSV) 449 to Facilitate the Expression. PLoS ONE 2013, 6, e24773. [Google Scholar]
- Berman, H.M.; Bourne, P.E.; Westbrook, J.; Zardecki, C. The protein data bank. In Protein Structure; Chasman, D., Ed.; CRC Press: Boca Raton, FL, USA, 2003; pp. 394–410. [Google Scholar]
- Bernstein, F.C.; Koetzle, T.F.; Williams, G.J.; Meyer, E.F., Jr.; Brice, M.D.; Rodgers, J.R.; Kennard, O.; Shimanouchi, T.; Tasumi, M. The Protein Data Bank: A computer-based archival file for macromolecular structures. J. Mol. Biol. 1977, 112, 535–542. [Google Scholar] [CrossRef]
- Abbasi, W.A.; Minhas, F.U. Issues in performance evaluation for host–pathogen protein interaction prediction. J. Bioinform. Comput. Biol. 2016, 14, 1650011. [Google Scholar] [CrossRef] [PubMed]
- Sritunyalucksana, K.; Utairungsee, T.; Sirikharin, R.; Srisala, J. Virus-binding proteins and their roles in shrimp innate immunity. Fish. Shellfish Immunol. 2013, 34, 1018–1024. [Google Scholar] [CrossRef]
- Huang, P.-Y.; Leu, J.-H.; Chen, L.-L. A newly identified protein complex that mediates white spot syndrome virus infection via chitin-binding protein. J. Gen. Virol. 2014, 95, 1799–1808. [Google Scholar] [CrossRef]
- Hulten, V.M.C.; Westenberg, M.; Goodall, S.D.; Vlak, J.M. Identification of Two Major Virion Protein Genes of White Spot Syndrome Virus of Shrimp. Virology 2000, 266, 227–236. [Google Scholar] [CrossRef]
- Jyh-Ming, T.; Han-Ching, W.; Jiann-Horng, L.; Andrew, H.-J.W.; Ying, Z.; Walker, P.J.; Guang-Hsiung, K.; Chu-Fang, L. Identification of the nucleocapsid, tegument, and envelope proteins of the shrimp white spot syndrome virus virion. J. Virol. 2006, 80, 3021. [Google Scholar]
- Zhang, X.; Huang, C.; Xu, X.; Hew, C.L. Transcription and identification of an envelope protein gene (p22) from shrimp white spot syndrome virus. J. Gen. Virol. 2002, 83, 471–477. [Google Scholar] [CrossRef] [PubMed]
- Xie, X.; Yang, F. Interaction of white spot syndrome virus VP26 protein with actin. Virology 2005, 336, 93–99. [Google Scholar] [CrossRef] [PubMed]
- Wan, Q.; Xu, L.; Yang, F. VP26 of white spot syndrome virus functions as a linker protein between the envelope and nucleocapsid of virions by binding with VP51. J. Virol. 2008, 82, 12598–12601. [Google Scholar] [CrossRef] [PubMed]
- Xixian, X.; Limei, X.; Feng, Y. Proteomic analysis of the major envelope and nucleocapsid proteins of white spot syndrome virus. J. Virol. 2006, 80, 10615–10623. [Google Scholar]
- Wang, P.-H.; Yang, L.-S.; Gu, Z.-H.; Weng, S.-P.; Yu, X.-Q.; He, J.-G. Nucleic acid-induced antiviral immunity in shrimp. Antivir. Res. 2013, 99, 270–280. [Google Scholar] [CrossRef]
- Zhong, S.; Mao, Y.; Wang, J.; Liu, M.; Zhang, M.; Su, Y. Transcriptome analysis of Kuruma shrimp (Marsupenaeus japonicus) hepatopancreas in response to white spot syndrome virus (WSSV) under experimental infection. Fish. Shellfish Immunol. 2017, 70, 710–719. [Google Scholar] [CrossRef]
- BLAST®. Available online: https://blast.ncbi.nlm.nih.gov/Blast.cgi (accessed on 24 December 2018).
- Zheng, J.; Mao, Y.; Qiao, Y.; Shi, Z.; Su, Y.; Wang, J. Identification of two isoforms of CYP4 in Marsupenaeus japonicus and their mRNA expression profile response to benzo[a]pyrene. Mar. Env. Res. 2015, 112, 96–103. [Google Scholar] [CrossRef]
- Livak, K.J.; Schmittgen, T.D. Analysis of relative gene expression data using real-time quantitative PCR and the 2(-Delta Delta C(T)) Method. Methods 2001, 25, 402–408. [Google Scholar] [CrossRef]
- Eswar, N.; Webb, B.; Marti-Renom, M.A.; Madhusudhan, M.; Eramian, D.; Shen, M.Y.; Pieper, U.; Sali, A. Comparative protein structure modeling using Modeller. Curr. Protoc. Bioinform. 2006, 15, 5–6. [Google Scholar] [CrossRef]
- Morris, G.M.; Lim-Wilby, M. Molecular docking. Methods Mol. Biol. 2008, 443, 365–382. [Google Scholar]
- Hooft, R.W.W.; Sander, C.; Vriend, G. Objectively judging the quality of a protein structure from a Ramachandran plot. Bioinformatics 1997, 13, 425–430. [Google Scholar] [CrossRef] [PubMed]
- ZDOCK Servier Home Page. Available online: http://zdock.umassmed.edu/ (accessed on 24 August 2019).
- Pierce, B.G.; Wiehe, K.; Hwang, H.; Kim, B.H.; Vreven, T.; Weng, Z. ZDOCK server: Interactive docking prediction of protein-protein complexes and symmetric multimers. Bioinformatics 2014, 30, 1771–1773. [Google Scholar] [CrossRef] [PubMed]
- Chen, R.; Li, L.; Weng, Z. ZDOCK: An initial-stage protein-docking algorithm. Proteins Struct. Funct. Bioinform. 2003, 52, 80–87. [Google Scholar] [CrossRef] [PubMed]
- Simple Modular Architecture Research Tool (SMART) Home Page. Available online: http://smart.embl-heidelberg.de/ (accessed on 2 January 2019).
- ExPASy Bioinformatics Resource Portal Home Page. Available online: https://web.expasy.org/compute_pi/ (accessed on 2 January 2019).
- Larkin, M.A.; Blackshields, G.; Brown, N.P.; Chenna, R.; McGettigan, P.A.; McWilliam, H.; Valentin, F.; Wallace, I.M.; Wilm, A.; Lopez, R.; et al. Clustal W and Clustal X version 2.0. Bioinformatics 2007, 23, 2947–2948. [Google Scholar] [CrossRef]
- Robert, X.; Gouet, P. Deciphering key features in protein structures with the new ENDscript server. Nucleic Acids Res. 2014, 42, W320–W324. [Google Scholar] [CrossRef]
- Easy Sequencing in PostScript (ESPript) 3.0 program Home Page. Available online: http://espript.ibcp.fr/ESPript/ESPript/ (accessed on 2 January 2019).







| Primer | Sequence (5′–3′) | Sequence Information |
|---|---|---|
| Pellino-5′-out | AGGTGTTTCAGACGACCGACCAATTTGA | 5′-RACE PCR |
| Pellino-5′-in | CCACAATCACCGCTTGGTTTCGTGACAGT | 5′-RACE PCR |
| Pellino-3′-out | CAGGTGAAACTCAATTTGTCAAGACATAT | 3′-RACE PCR |
| Pellino-3′-in | AAGTAGAGTGAATCAAACCCACTGCTGGG | 3′-RACE PCR |
| M13-F | TGTAAAACGACGGCCAGT | PCR |
| M13-R | CAGGAAACAGCTATGACC | PCR |
| EF1-α-F | GGAACTGGAGGCAGGACC | internal control |
| EF1-α-R | AGCCACCGTTTGCTTCAT | internal control |
| Pellino-qPCR-F | TGGAGTATCAGTTAGACACCGAGACA | qRT-PCR |
| Pellino-qPCR-R | GCGAGTTGTTCTGTGAGCAATTATACG | qRT-PCR |
| T7-F | TAATACGACTCACTATAGG | recombinant protein |
| T7-R | TGCTAGTTATTGCTCAGCGG | recombinant protein |
| Pellino-BamHI-F | CGCGGATCCGCGATGCCCGACCCTCCTATAAT | recombinant protein |
| Pellino-HindIII-R | CCCAAGCTTGGGTCAGTCGCAGTTGTCTTGAAAAATGAGTC | recombinant protein |
| VP19-F | CGCGGATCCATGGCCACCACGACTAACAC | recombinant protein |
| VP19-R | CCGGAATTCTTATCCCTGGTCCTGTTCTTATATT | recombinant protein |
| VP24-F | CGCGGATCCAACATAGAACTTAACAAGAAATTGGAC | recombinant protein |
| VP24-R | CCGGAATTCTTATTTTTCCCCAACCTTAAACA | recombinant protein |
| VP26-F | CGCGGATCCACACGTGTTGGAAGAAGCGT | recombinant protein |
| VP26-R | CCGGAATTCTTACTTCTTCTTGATTTCGTCCTTG | recombinant protein |
| VP28-F | CGCGGATCCATGGATCTTTCTTTCACTCTTTCG | recombinant protein |
| VP28-R | CCGGAATTCTTACTCGGTCTCAGTGCCAGAG | recombinant protein |
| dsRNA-MjPellino-T7-F | GATCACTAATACGACTCACTATAGGGAAGCGGTGATTGTGGAGTATC | RNAi |
| dsRNA-MjPellino-T7-R | GATCACTAATACGACTCACTATAGGGCATAGTAACGTAGCTCCACACAAGTC | RNAi |
| dseGFP-T7-F | GATCACTAATACGACTCACTATAGGGACCCTCGTGACCACCCTGAC | RNAi |
| dseGFP-T7-R | GATCACTAATACGACTCACTATAGGGTCTCGTTGGGGTCTTTGCTC | RNAi |
| MjALF-D-qPCR-F | CTTCCTCCTCAGTGACCAGTCCT | qRT-PCR |
| MjALF-D-qPCR-R | AGAATCCGAAACTCGCAGCCAAT | qRT-PCR |
© 2020 by the authors. Licensee MDPI, Basel, Switzerland. This article is an open access article distributed under the terms and conditions of the Creative Commons Attribution (CC BY) license (http://creativecommons.org/licenses/by/4.0/).
Share and Cite
Zhang, H.; Cheng, W.; Zheng, J.; Wang, P.; Liu, Q.; Li, Z.; Shi, T.; Zhou, Y.; Mao, Y.; Yu, X. Identification and Molecular Characterization of a Pellino Protein in Kuruma Prawn (Marsupenaeus Japonicus) in Response to White Spot Syndrome Virus and Vibrio Parahaemolyticus Infection. Int. J. Mol. Sci. 2020, 21, 1243. https://doi.org/10.3390/ijms21041243
Zhang H, Cheng W, Zheng J, Wang P, Liu Q, Li Z, Shi T, Zhou Y, Mao Y, Yu X. Identification and Molecular Characterization of a Pellino Protein in Kuruma Prawn (Marsupenaeus Japonicus) in Response to White Spot Syndrome Virus and Vibrio Parahaemolyticus Infection. International Journal of Molecular Sciences. 2020; 21(4):1243. https://doi.org/10.3390/ijms21041243
Chicago/Turabian StyleZhang, Heqian, Wenzhi Cheng, Jinbin Zheng, Panpan Wang, Qinghui Liu, Zhen Li, Tianyi Shi, Yijian Zhou, Yong Mao, and Xiangyong Yu. 2020. "Identification and Molecular Characterization of a Pellino Protein in Kuruma Prawn (Marsupenaeus Japonicus) in Response to White Spot Syndrome Virus and Vibrio Parahaemolyticus Infection" International Journal of Molecular Sciences 21, no. 4: 1243. https://doi.org/10.3390/ijms21041243
APA StyleZhang, H., Cheng, W., Zheng, J., Wang, P., Liu, Q., Li, Z., Shi, T., Zhou, Y., Mao, Y., & Yu, X. (2020). Identification and Molecular Characterization of a Pellino Protein in Kuruma Prawn (Marsupenaeus Japonicus) in Response to White Spot Syndrome Virus and Vibrio Parahaemolyticus Infection. International Journal of Molecular Sciences, 21(4), 1243. https://doi.org/10.3390/ijms21041243
