MicroRNAs and Neutrophil Activation Markers Predict Venous Thrombosis in Pancreatic Ductal Adenocarcinoma and Distal Extrahepatic Cholangiocarcinoma
Abstract
1. Introduction
2. Results
2.1. Clinical Characteristics of the Study Subjects
2.2. miRNA Expression Levels: Screening Stage
2.3. miRNA Expression Levels: Confirmation Stage
2.4. Identification of the miRNAs’ Targets
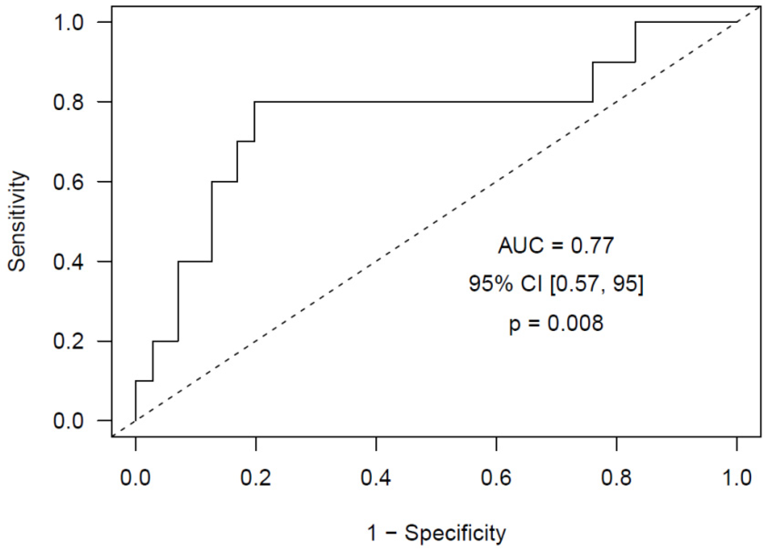
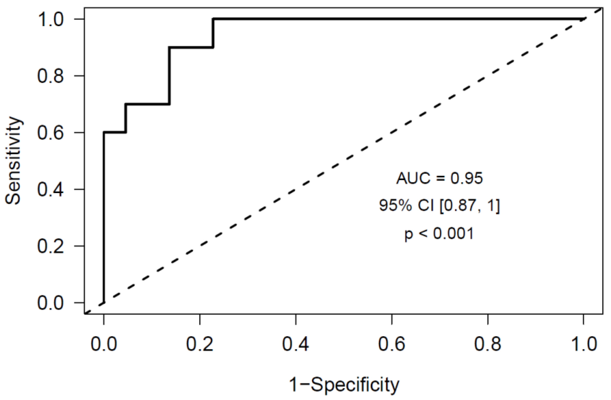
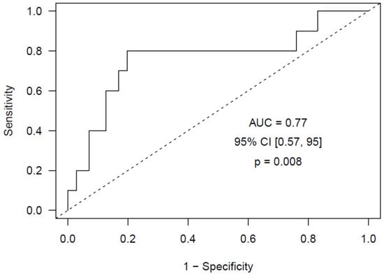
2.5. Neutrophil Activation Markers and Risk of Thrombosis
3. Discussion
4. Materials and Methods
4.1. Study Subjects
4.2. Blood Collection
4.3. RNA Isolation
4.4. Quantification of the Expression Level of miRNAs
4.4.1. Screening Stage
4.4.2. Confirmation Stage
4.5. Identification of the miRNAs’ Targets
4.6. Quantification of Neutrophil Activation Markers
4.7. Statistical Analysis
Author Contributions
Funding
Conflicts of Interest
References
- Sorensen, H.T.; Mellemkjaer, L.; Olsen, J.H.; Baron, J.A. Prognosis of cancers associated with venous thromboembolism. N. Engl. J. Med. 2000, 343, 1846–1850. [Google Scholar] [CrossRef]
- Kourlaba, G.; Relakis, J.; Mylonas, C.; Kapaki, V.; Kontodimas, S.; Holm, M.V.; Maniadakis, N. The humanistic and economic burden of venous thromboembolism in cancer patients: A systematic review. Blood Coagul. Fibrinolysis 2015, 26, 13–31. [Google Scholar] [CrossRef] [PubMed]
- Ganti, S.; Taylor, S.L.; Kim, K.; Hoppel, C.L.; Guo, L.; Yang, J.; Evans, C.; Weiss, R.H. Urinary acylcarnitines are altered in human kidney cancer. Int. J. Cancer 2012, 130, 2791–2800. [Google Scholar] [CrossRef]
- Stein, P.D.; Beemath, A.; Meyers, F.A.; Skaf, E.; Sánchez, J.; Olson, R.E. Incidence of venous thromboembolism in patients hospitalized with cancer. Am. J. Med. 2006, 119, 60–68. [Google Scholar] [CrossRef] [PubMed]
- Mandala, M.; Reni, M.; Cascinu, S.; Barni, S.; Floriani, I.; Cereda, S.; Berardi, R.; Mosconi, S.; Torri, V.; Labianca, R. Venous thromboembolism predicts poor prognosis in irresectable pancreatic cancer patients. Ann. Oncol. 2007, 18, 1660–1665. [Google Scholar] [CrossRef] [PubMed]
- Urquidi, V.; Rosser, C.J.; Goodison, S. Molecular diagnostic trends in urological cancer: Biomarkers for non-invasive diagnosis. Curr. Med. Chem. 2012, 19, 3653–3663. [Google Scholar] [CrossRef] [PubMed]
- Hanahan, D.; Weinberg, R.A. Hallmarks of cancer: The next generation. Cell 2011, 144, 646–674. [Google Scholar] [CrossRef]
- Kind, T.; Tolstikov, V.; Fiehn, O.; Weiss, R.H. A comprehensive urinary metabolomic approach for identifying kidney cancerr. Anal. Biochem. 2007, 363, 185–195. [Google Scholar] [CrossRef]
- Kim, K.; Taylor, S.L.; Ganti, S.; Guo, L.; Osier, M.V.; Weiss, R.H. Urine metabolomic analysis identifies potential biomarkers and pathogenic pathways in kidney cancer. OMICS 2011, 15, 293–303. [Google Scholar] [CrossRef]
- Khorana, A.A.; Kuderer, N.M.; Culakova, E.; Lyman, G.H.; Francis, C.W. Development and validation of a predictive model for chemotherapy-associated thrombosis. Blood 2008, 111, 4902–4907. [Google Scholar] [CrossRef]
- Patell, R.; Rybicki, L.; McCrae, K.R.; Khorana, A.A. Predicting risk of venous thromboembolism in hospitalized cancer patients: Utility of a risk assessment tool. Am. J. Hematol. 2017, 92, 501–507. [Google Scholar] [CrossRef] [PubMed]
- Kruger, S.; Haas, M.; Burkl, C.; Goehring, P.; Kleespies, A.; Roeder, F.; Gallmeier, E.; Ormanns, S.; Westphalen, C.B.; Heinemann, V.; et al. Incidence, outcome and risk stratification tools for venous thromboembolism in advanced pancreatic cancer—A retrospective cohort study. Thromb. Res. 2017, 157, 9–15. [Google Scholar] [CrossRef] [PubMed]
- Ferroni, P.; Zanzotto, F.M.; Scarpato, N.; Riondino, S.; Guadagni, F.; Roselli, M. Validation of a machine learning approach for venous thromboembolism risk prediction in oncology. Dis. Markers 2017, 2017, 8781379. [Google Scholar] [CrossRef] [PubMed]
- Munoz Martin, A.J.; Ortega, I.; Font, C.; Pachon, V.; Castellon, V.; Martinez-Marin, V.; Salgado, M.; Martinez, E.; Calzas, J.; Ruperez, A.; et al. Multivariable clinical-genetic risk model for predicting venous thromboembolic events in patients with cancer. Br. J. Cancer 2018, 118, 1056–1061. [Google Scholar] [CrossRef]
- Fuentes, H.E.; Paz, L.H.; Wang, Y.; Oramas, D.M.; Simons, C.R.; Tafur, A.J. Performance of current thromboembolism risk assessment tools in patients with gastric cancer and validity after first treatment. Clin. Appl. Thromb. Hemost. 2018, 24, 790–796. [Google Scholar] [CrossRef]
- Tafur, A.J.; Caprini, J.A.; Cote, L.; Trujillo-Santos, J.; Del Toro, J.; Garcia-Bragado, F.; Tolosa, C.; Barillari, G.; Visona, A.; Monreal, M.; et al. Predictors of active cancer thromboembolic outcomes. Riete experience of the khorana score in cancer-associated thrombosis. Thromb. Haemost. 2017, 117, 1192–1198. [Google Scholar]
- Van Es, N.; Di Nisio, M.; Cesarman, G.; Kleinjan, A.; Otten, H.M.; Mahe, I.; Wilts, I.T.; Twint, D.C.; Porreca, E.; Arrieta, O.; et al. Comparison of risk prediction scores for venous thromboembolism in cancer patients: A prospective cohort study. Haematologica 2017, 102, 1494–1501. [Google Scholar] [CrossRef]
- Metcalf, R.L.; Al-Hadithi, E.; Hopley, N.; Henry, T.; Hodgson, C.; McGurk, A.; Mansoor, W.; Hasan, J. Characterisation and risk assessment of venous thromboembolism in gastrointestinal cancers. World J. Gastrointest. Oncol. 2017, 9, 363–371. [Google Scholar] [CrossRef]
- Khorana, A.A.; Francis, C.W. Risk prediction of cancer-associated thrombosis: Appraising the first decade and developing the future. Thromb. Res. 2018, 164 (Suppl. 1), S70–S76. [Google Scholar] [CrossRef]
- Alatri, A.; Mazzolai, L.; Font, C.; Tafur, A.; Valle, R.; Marchena, P.J.; Ballaz, A.; Tiraferri, E.; Font, L.; Monreal, M.; et al. Low discriminating power of the modified ottawa vte risk score in a cohort of patients with cancer from the riete registry. Thromb. Haemost 2017, 117, 1630–1636. [Google Scholar] [CrossRef]
- Van Es, N.; Franke, V.F.; Middeldorp, S.; Wilmink, J.W.; Buller, H.R. The khorana score for the prediction of venous thromboembolism in patients with pancreatic cancer. Thromb. Res. 2017, 150, 30–32. [Google Scholar] [CrossRef] [PubMed]
- Monteiro, M.S.; Barros, A.S.; Pinto, J.; Carvalho, M.; Pires-Luis, A.S.; Henrique, R.; Jeronimo, C.; Bastos, M.L.; Gil, A.M.; Guedes de Pinho, P. Nuclear magnetic resonance metabolomics reveals an excretory metabolic signature of renal cell carcinoma. Sci. Rep. 2016, 6, 37275. [Google Scholar] [CrossRef] [PubMed]
- Halkova, T.; Cuperkova, R.; Minarik, M.; Benesova, L. Micrornas in pancreatic cancer: Involvement in carcinogenesis and potential use for diagnosis and prognosis. Gastroenterol. Res. Pract. 2015, 2015, 892903. [Google Scholar] [CrossRef] [PubMed]
- Khan, M.A.; Zubair, H.; Srivastava, S.K.; Singh, S.; Singh, A.P. Insights into the role of micrornas in pancreatic cancer pathogenesis: Potential for diagnosis, prognosis, and therapy. Adv. Exp. Med. Biol. 2015, 889, 71–87. [Google Scholar] [PubMed]
- Abreu, F.B.; Liu, X.; Tsongalis, G.J. Mirna analysis in pancreatic cancer: The dartmouth experience. Clin. Chem. Lab. Med. 2017, 55, 755–762. [Google Scholar] [CrossRef]
- Qu, K.; Zhang, X.; Lin, T.; Liu, T.; Wang, Z.; Liu, S.; Zhou, L.; Wei, J.; Chang, H.; Li, K.; et al. Circulating mirna-21-5p as a diagnostic biomarker for pancreatic cancer: Evidence from comprehensive mirna expression profiling analysis and clinical validation. Sci. Rep. 2017, 7, 1692. [Google Scholar] [CrossRef]
- Bonaventura, A.; Liberale, L.; Carbone, F.; Vecchie, A.; Diaz-Canestro, C.; Camici, G.G.; Montecucco, F.; Dallegri, F. The pathophysiological role of neutrophil extracellular traps in inflammatory diseases. Thromb. Haemost 2018, 118, 6–27. [Google Scholar] [CrossRef]
- Fuchs, T.A.; Brill, A.; Wagner, D.D. Neutrophil extracellular trap (net) impact on deep vein thrombosis. Arterioscler. Thromb. Vasc. Biol. 2012, 32, 1777–1783. [Google Scholar] [CrossRef]
- Demers, M.; Wagner, D.D. Neutrophil extracellular traps: A new link to cancer-associated thrombosis and potential implications for tumor progression. Oncoimmunology 2013, 2, e22946. [Google Scholar] [CrossRef]
- Demers, M.; Krause, D.S.; Schatzberg, D.; Martinod, K.; Voorhees, J.R.; Fuchs, T.A.; Scadden, D.T.; Wagner, D.D. Cancers predispose neutrophils to release extracellular DNA traps that contribute to cancer-associated thrombosis. Proc. Natl. Acad. Sci. USA 2012, 109, 13076–13081. [Google Scholar] [CrossRef]
- Abdol Razak, N.; Elaskalani, O.; Metharom, P. Pancreatic cancer-induced neutrophil extracellular traps: A potential contributor to cancer-associated thrombosis. Int. J. Mol. Sci. 2017, 18, 487. [Google Scholar] [CrossRef] [PubMed]
- Boone, B.A.; Murthy, P.; Miller-Ocuin, J.; Doerfler, W.R.; Ellis, J.T.; Liang, X.; Ross, M.A.; Wallace, C.T.; Sperry, J.L.; Lotze, M.T.; et al. Chloroquine reduces hypercoagulability in pancreatic cancer through inhibition of neutrophil extracellular traps. BMC Cancer 2018, 18, 678. [Google Scholar] [CrossRef] [PubMed]
- Larsen, A.C.; Brondum Frokjaer, J.; Wishwanath Iyer, V.; Vincents Fisker, R.; Sall, M.; Yilmaz, M.K.; Kuno Moller, B.; Kristensen, S.R.; Thorlacius-Ussing, O. Venous thrombosis in pancreaticobiliary tract cancer: Outcome and prognostic factors. J. Thromb. Haemost 2015, 13, 555–562. [Google Scholar] [CrossRef]
- Sorensen, H.T.; Horvath-Puho, E.; Pedersen, L.; Baron, J.A.; Prandoni, P. Venous thromboembolism and subsequent hospitalisation due to acute arterial cardiovascular events: A 20-year cohort study. Lancet 2007, 370, 1773–1779. [Google Scholar] [CrossRef]
- Iorio, M.V.; Croce, C.M. Microrna dysregulation in cancer: Diagnostics, monitoring and therapeutics. A comprehensive review. EMBO Mol. Med. 2012, 4, 143–159. [Google Scholar] [CrossRef] [PubMed]
- Bray, F.; Ferlay, J.; Soerjomataram, I.; Siegel, R.L.; Torre, L.A.; Jemal, A. Global cancer statistics 2018: Globocan estimates of incidence and mortality worldwide for 36 cancers in 185 countries. CA Cancer J. Clin. 2018, 68, 394–424. [Google Scholar] [CrossRef] [PubMed]
- Monteiro, M.; Carvalho, M.; Henrique, R.; Jeronimo, C.; Moreira, N.; De Lourdes Bastos, M.; De Pinho, P.G. Analysis of volatile human urinary metabolome by solid-phase microextraction in combination with gas chromatography-mass spectrometry for biomarker discovery: Application in a pilot study to discriminate patients with renal cell carcinoma. Eur. J. Cancer 2014, 50, 1993–2002. [Google Scholar] [CrossRef]
- Kim, K.; Aronov, P.; Zakharkin, S.O.; Anderson, D.; Perroud, B.; Thompson, I.M.; Weiss, R.H. Urine metabolomics analysis for kidney cancer detection and biomarker discovery. Mol. Cell Proteomics 2009, 8, 558–570. [Google Scholar] [CrossRef]
- Bournet, B.; Buscail, C.; Muscari, F.; Cordelier, P.; Buscail, L. Targeting kras for diagnosis, prognosis, and treatment of pancreatic cancer: Hopes and realities. Eur. J. Cancer 2016, 54, 75–83. [Google Scholar] [CrossRef]
- Chiorean, E.G.; Coveler, A.L. Pancreatic cancer: Optimizing treatment options, new, and emerging targeted therapies. Drug Des. Devel. Ther. 2015, 9, 3529–3545. [Google Scholar] [CrossRef]
- Cicenas, J.; Kvederaviciute, K.; Meskinyte, I.; Meskinyte-Kausiliene, E.; Skeberdyte, A.; Cicenas, J. Kras, tp53, cdkn2a, smad4, brca1, and brca2 mutations in pancreatic cancer. Cancers 2017, 9, 42. [Google Scholar] [CrossRef]
- Furukawa, T. Impacts of activation of the mitogen-activated protein kinase pathway in pancreatic cancer. Front. Oncol. 2015, 5, 23. [Google Scholar] [CrossRef]
- Muglia, V.F.; Prando, A. Renal cell carcinoma: Histological classification and correlation with imaging findings. Radiol. Bras. 2015, 48, 166–174. [Google Scholar] [CrossRef] [PubMed]
- Chira, S.; Gulei, D.; Hajitou, A.; Berindan-Neagoe, I. Restoring the p53 ’guardian’ phenotype in p53-deficient tumor cells with crispr/cas9. Trends Biotechnol. 2018, 36, 653–660. [Google Scholar] [CrossRef] [PubMed]
- Svoronos, A.A.; Engelman, D.M.; Slack, F.J. Oncomir or tumor suppressor? The duplicity of micrornas in cancer. Cancer Res. 2016, 76, 3666–3670. [Google Scholar] [CrossRef] [PubMed]
- Mo, J.W.; Zhang, D.F.; Ji, G.L.; Liu, X.Z.; Fan, B. Tgf-beta1 and serpine 1 expression changes in traumatic deep vein thrombosis. Genet. Mol. Res. 2015, 14, 13835–13842. [Google Scholar] [CrossRef]
- Chen, H.; Davids, J.A.; Zheng, D.; Bryant, M.; Bot, I.; Van Berckel, T.J.; Biessen, E.; Pepine, C.; Ryman, K.; Progulski-Fox, A.; et al. The serpin solution; targeting thrombotic and thrombolytic serine proteases in inflammation. Cardiovasc. Hematol. Disord. Drug Targets 2013, 13, 99–110. [Google Scholar] [CrossRef]
- Teruel-Montoya, R.; Rosendaal, F.R.; Martinez, C. Micrornas in hemostasis. J. Thromb. Haemost 2015, 13, 170–181. [Google Scholar] [CrossRef]
- Teruel, R.; Perez-Sanchez, C.; Corral, J.; Herranz, M.T.; Perez-Andreu, V.; Saiz, E.; Garcia-Barbera, N.; Martinez-Martinez, I.; Roldan, V.; Vicente, V.; et al. Identification of mirnas as potential modulators of tissue factor expression in patients with systemic lupus erythematosus and antiphospholipid syndrome. J. Thromb. Haemost 2011, 9, 1985–1992. [Google Scholar] [CrossRef]
- Liao, Y.C.; Wang, Y.S.; Guo, Y.C.; Lin, W.L.; Chang, M.H.; Juo, S.H. Let-7g improves multiple endothelial functions through targeting transforming growth factor-beta and sirt-1 signaling. J. Am. Coll. Cardiol. 2014, 63, 1685–1694. [Google Scholar] [CrossRef]
- Van Montfoort, M.L.; Stephan, F.; Lauw, M.N.; Hutten, B.A.; Van Mierlo, G.J.; Solati, S.; Middeldorp, S.; Meijers, J.C.; Zeerleder, S. Circulating nucleosomes and neutrophil activation as risk factors for deep vein thrombosis. Arterioscler. Thromb. Vasc. Biol. 2013, 33, 147–151. [Google Scholar] [CrossRef] [PubMed]
- Díaz, J.A.; Fuchs, T.A.; Jackson, T.O.; Kremer Hovinga, J.A.; Lammle, B.; Henke, P.K.; Myers, D.D., Jr.; Wagner, D.D.; Wakefield, T.W.; Michigan Research Venous Group. Plasma DNA is elevated in patients with deep vein thrombosis. J. Vasc. Surg. Venous Lymphat Disord. 2013, 1, 341–348. [Google Scholar]
- Fuchs, T.A.; Kremer Hovinga, J.A.; Schatzberg, D.; Wagner, D.D.; Lämmle, B. Circulating DNA and myeloperoxidase indicate disease activity in patients with thrombotic microangiopathies. Blood 2012, 120, 1157–1164. [Google Scholar] [CrossRef] [PubMed]
- Vallés, J.; Lago, A.; Santos, M.T.; Latorre, A.M.; Tembl, J.I.; Salom, J.B.; Nieves, C.; Moscardó, A. Neutrophil extracellular traps are increased in patients with acute ischemic stroke: Prognostic significance. Thromb. Haemost 2017, 117, 1919–1929. [Google Scholar] [CrossRef] [PubMed]
- Arroyo, A.B.; De Los Reyes-Garcia, A.M.; Rivera-Caravaca, J.M.; Valledor, P.; Garcia-Barbera, N.; Roldan, V.; Vicente, V.; Martinez, C.; Gonzalez-Conejero, R. Mir-146a regulates neutrophil extracellular trap formation that predicts adverse cardiovascular events in patients with atrial fibrillation. Arterioscler. Thromb. Vasc. Biol. 2018, 38, 892–902. [Google Scholar] [CrossRef] [PubMed]
- Vincent, D.; Klinke, M.; Eschenburg, G.; Trochimiuk, M.; Appl, B.; Tiemann, B.; Bergholz, R.; Reinshagen, K.; Boettcher, M. Nec is likely a nets dependent process and markers of netosis are predictive of nec in mice and humans. Sci. Rep. 2018, 8, 12612. [Google Scholar] [CrossRef]
- Mauracher, L.M.; Posch, F.; Martinod, K.; Grilz, E.; Daullary, T.; Hell, L.; Brostjan, C.; Zielinski, C.; Ay, C.; Wagner, D.D.; et al. Citrullinated histone h3, a biomarker of neutrophil extracellular trap formation, predicts the risk of venous thromboembolism in cancer patients. J. Thromb. Haemost 2018, 16, 508–518. [Google Scholar] [CrossRef]
- Fagerhol, M.K. Calprotectin, a faecal marker of organic gastrointestinal abnormality. Lancet 2000, 356, 1783–1784. [Google Scholar] [CrossRef]
- Jin, W.; Xu, H.X.; Zhang, S.R.; Li, H.; Wang, W.Q.; Gao, H.L.; Wu, C.T.; Xu, J.Z.; Qi, Z.H.; Li, S.; et al. Tumor-infiltrating nets predict postsurgical survival in patients with pancreatic ductal adenocarcinoma. Ann. Surg. Oncol. 2019, 26, 635–643. [Google Scholar] [CrossRef]
- Ficarra, V.; Martignoni, G.; Galfano, A.; Novara, G.; Gobbo, S.; Brunelli, M.; Pea, M.; Zattoni, F.; Artibani, W. Prognostic role of the histologic subtypes of renal cell carcinoma after slide revision. Eur. Urol. 2006, 50, 786–793; discussion 793–784. [Google Scholar] [CrossRef]
- Ramon-Nunez, L.A.; Martos, L.; Fernandez-Pardo, A.; Oto, J.; Medina, P.; Espana, F.; Navarro, S. Comparison of protocols and rna carriers for plasma mirna isolation. Unraveling rna carrier influence on mirna isolation. PLoS ONE 2017, 12, e0187005. [Google Scholar] [CrossRef] [PubMed]


| VTE Patients | Non-VTE Patients | Statistical Significance p | |
|---|---|---|---|
| N (% of total) | 10 (31.3) | 22 (68.8) | - |
| Age, y, median (range) | 64 (50–79) | 66 (51–84) | 0.57 |
| Female sex, N (%) | 4 (40) | 9 (40.4) | 0.64 * |
| Time to VTE, months, median (range) | 3 (1–24) | ||
| Tumor location | |||
| PDAC N (%) | 9 (90) | 17 (77.3) | |
| DECC N (%) | 1 (10) | 5 (22.7) | 0.64 * |
| Leukocyte count | |||
| Neutrophil count | 8.6 ± 3.2 × 109/L | 8.7 ± 2.5 × 109/L | 0.92 |
| (Mean ± SD) | 6.6 ± 3.6 × 109/L | 6.1 ± 2.5 ×109/L | 0.65 |
| Treatment | |||
| Curative intended surgery | 2 | 11 | |
| Neoadjuvant treatment | 1 | 0 | |
| Postop. Chemotherapy | 0 | 3 | |
| Palliative gemcitabine | 7 | 11 | 0.12 * |
| UICC stage | |||
| I | 1 | 4 | |
| II | 2 | 6 | |
| III | 2 | 5 | |
| IV | 5 | 7 | 0.83 * |
| WHO performance score | |||
| 0 | 3 (30) | 18 (81.8) | |
| 1 | 5 (50) | 3 (13.6) | |
| 2 | 2 (20) | 1 (4.6) | 0.012 * |
| CCI score | |||
| 0 | 5 (50) | 18 (81.8) | |
| 1 | 2 (20) | 3 (13.6) | |
| 2 | 2 (20) | 1 (4.6) | |
| 4 | 1 (10) | 0 | 0.14 * |
| Khorana score | |||
| 2 | 3 (30) | 9 (40.9) | |
| 3 | 4 (40) | 8 (36.4) | |
| 4 | 3 (30) | 4 (18.2) | |
| 5 | 0 | 1 (4.6) | 0.92 * |
| miRNA | Sequence | Fold-Change | Coefficient |
|---|---|---|---|
| hsa-miR-486-5p | uccuguacugagcugccccgag | 1.82 | 0.041 |
| hsa-miR-32-5p | uauugcacauuacuaaguugca | 2.60 | 0.082 |
| hsa-miR-106b-5p | uaaagugcugacagugcagau | 1.96 | 1.235 |
| hsa-miR-326 | ccucugggcccuuccuccag | −2.58 | −0.761 |
| hsa-let-7i-5p | ugagguaguaguuugugcuguu | 1.87 | 0.668 |
| hsa-let-7g-5p | ugagguaguaguuuguacaguu | 1.74 | 0.066 |
| hsa-miR-144-5p | ggauaucaucauauacuguaag | 3.57 | 2.509 |
| hsa-miR-144-3p | uacaguauagaugauguacu | 4.28 | 0.166 |
| hsa-miR-19a-3p | ugugcaaaucuaugcaaaacuga | 1.51 | 0.201 |
| hsa-miR-103a-3p | agcagcauuguacagggcuauga | 1.73 | 0.284 |
| hsa-miR-30e-3p | cuuucagucggauguuuacagc | 2.63 | 1.820 |
| miRNA | Sequence | p (t-Test) | Delta |
|---|---|---|---|
| hsa-miR-30e-3p | cuuucagucggauguuuacagc | 0.015 | −0.035 |
| hsa-let-7i-5p | ugagguaguaguuugugcuguu | 0.026 | −0.062 |
| hsa-let-7g-5p | ugagguaguaguuuguacaguu | 0.03 | −0.34 |
| hsa-miR-144-3p | uacaguauagaugauguacu | 0.03 | −0.8 |
| hsa-miR-199a-3p | acaguagucugcacauugguua | 0.025 | −0.11 |
| hsa-miR-101-3p | uacaguacugugauaacugaa | 0.029 | −0.26 |
| hsa-miR-15a-5p | uagcagcacauaaugguuugug | 0.031 | −0.07 |
| Pancreatic Cancer Pathway | Complement and Coagulation Cascades Pathways | |||
|---|---|---|---|---|
| miRNA | Validated Target | Predicted Target | Validated Target | Predicted Target |
| hsa-miR-486-5p | - | CDK4 | SERPINE1 | F2R, F9, C6, C8A, PLAT, C5AR1, SERPING1 |
| hsa-miR-32-5p | - | MAPK8, PIK3CB, BRAF, CASP9, PLD1, CDC42 | - | - |
| hsa-miR-106b-5p | ACVR1B, CCND1, CDC42, E2F1, E2F2, E2F3, JAK1, MAPK1, MAPK9, RB1, SMAD4, STAT3, TGFBR2, TP53, VEGFA | BRAF, KRAS | F2R, F3 | CD46, C5 |
| hsa-miR-326 | AKT1, CCND1, ERBB2, KRAS | TGFA, PGF, CDKN2A, RAC2, MAPK10 | C1R, F9 | BDKRB2, C8G, C2, SERPINF2, C8B, C1S, MASP1 |
| hsa-let-7i-5p | CCND1 | MAPK8, AKT2, BCL2L1, TP53 | CD59 | - |
| hsa-let-7g-5p | AKT2, BCL2L1, CCND1, CDKN2A, KRAS, SMAD2, TGFBR1 | MAPK8, TP53 | CD59 | - |
| hsa-miR-144-5p | - | STAT1, STAT3, E2F3 | - | F2R |
| hsa-miR-144-3p | RAC1, TGFB1 | STAT1, E2F3, MAPK9, CDC42, AKT2, PIK3CG | FGA, FGB, FGG | F13B, PLAT, PLG, CR1, CR2 |
| hsa-miR-19a-3p | AKT1, CCND1, MAPK1, PIK3R3, RAF1, SMAD4, TGFBR2, TP53 | CCND1, RAF1, PIK3CA, PIK3R1 | PLAU | TFPI, CR2, C7, F3, PLAU, THBD, C6, CD55, SERPIND1, BDKRB2 |
| hsa-miR-103a-3p | CDK6, PIK3R1, RAD51 | SMAD4, PLD1, FIGF, RALBP1, CDC42, MAPK3, IKBKG, RALGDS | - | C1QB, MASP1, SERPING1, VWF, C1S, SERPINC1, CR2 |
| hsa-miR-30e-3p | KRAS | MAPK10, RALBP1, ERBB2, RALB, CASP9, RAD51 | C6 | C1S, FGG |
| Pancreatic Cancer Pathway | Complement and Coagulation Cascades Pathways | |||
|---|---|---|---|---|
| miRNA | Validated Target | Predicted Target | Validated Target | Predicted Target |
| hsa-miR-30e-3p | KRAS | MAPK10, RALBP1, ERBB2, RALB, CASP9, RAD51 | C6 | C1S, FGG |
| hsa-let-7i-5p | CCND1 | MAPK8, AKT2, BCL2L1, TP53 | CD59 | - |
| hsa-let-7g-5p | AKT2, BCL2L1, CCND1, CDKN2A, KRAS, SMAD2, TGFBR1 | MAPK8, TP53 | CD59 | - |
| hsa-miR-144-3p | RAC1, TGFB1 | STAT1, E2F3, MAPK9, CDC42, AKT2, PIK3CG | FGA, FGB, FGG | F13B, PLAT, PLG, CR1, CR2 |
| hsa-miR-199a-3p | AKT1, E2F2, MAPK1, MAPK8, MAPK9 | CDC42 | - | C4BPA, PLG, C3AR1 |
| hsa-miR-101-3p | E2F3, MAP2K1, RAC1, TGFBR1, TGFBR2, VEGFA | ACVR1C, BRAF, EGFR, PLD1, CDC42, AKT2, PIK3CG | CD46 | FGA, CR2, F13B, PLAT, PLG |
| hsa-miR-15a-5p | ACVR1B, AKT3, CCND1, CDK6, CHUK, E2F3, IKBKG, NFKB1, PIK3R1, SMAD3, TP53, VEGFA | SMAD4, IKBKB, MAP2K1, RAF1, ARHGEF6 | - | - |
© 2020 by the authors. Licensee MDPI, Basel, Switzerland. This article is an open access article distributed under the terms and conditions of the Creative Commons Attribution (CC BY) license (http://creativecommons.org/licenses/by/4.0/).
Share and Cite
Oto, J.; Navarro, S.; Larsen, A.C.; Solmoirago, M.J.; Plana, E.; Hervás, D.; Fernández-Pardo, Á.; España, F.; Kristensen, S.R.; Thorlacius-Ussing, O.; et al. MicroRNAs and Neutrophil Activation Markers Predict Venous Thrombosis in Pancreatic Ductal Adenocarcinoma and Distal Extrahepatic Cholangiocarcinoma. Int. J. Mol. Sci. 2020, 21, 840. https://doi.org/10.3390/ijms21030840
Oto J, Navarro S, Larsen AC, Solmoirago MJ, Plana E, Hervás D, Fernández-Pardo Á, España F, Kristensen SR, Thorlacius-Ussing O, et al. MicroRNAs and Neutrophil Activation Markers Predict Venous Thrombosis in Pancreatic Ductal Adenocarcinoma and Distal Extrahepatic Cholangiocarcinoma. International Journal of Molecular Sciences. 2020; 21(3):840. https://doi.org/10.3390/ijms21030840
Chicago/Turabian StyleOto, Julia, Silvia Navarro, Anders C. Larsen, María José Solmoirago, Emma Plana, David Hervás, Álvaro Fernández-Pardo, Francisco España, Søren R. Kristensen, Ole Thorlacius-Ussing, and et al. 2020. "MicroRNAs and Neutrophil Activation Markers Predict Venous Thrombosis in Pancreatic Ductal Adenocarcinoma and Distal Extrahepatic Cholangiocarcinoma" International Journal of Molecular Sciences 21, no. 3: 840. https://doi.org/10.3390/ijms21030840
APA StyleOto, J., Navarro, S., Larsen, A. C., Solmoirago, M. J., Plana, E., Hervás, D., Fernández-Pardo, Á., España, F., Kristensen, S. R., Thorlacius-Ussing, O., & Medina, P. (2020). MicroRNAs and Neutrophil Activation Markers Predict Venous Thrombosis in Pancreatic Ductal Adenocarcinoma and Distal Extrahepatic Cholangiocarcinoma. International Journal of Molecular Sciences, 21(3), 840. https://doi.org/10.3390/ijms21030840

