Small Noncoding RNA Signatures for Determining the Developmental Potential of an Embryo at the Morula Stage
Abstract
1. Introduction
2. Results
2.1. Search for Interrelations between the ART Program Outcome, Parameters of Gametogenesis, and IVF/ICSI Protocol
2.2. Characterization of the Morula Secretome by RNA-Seq
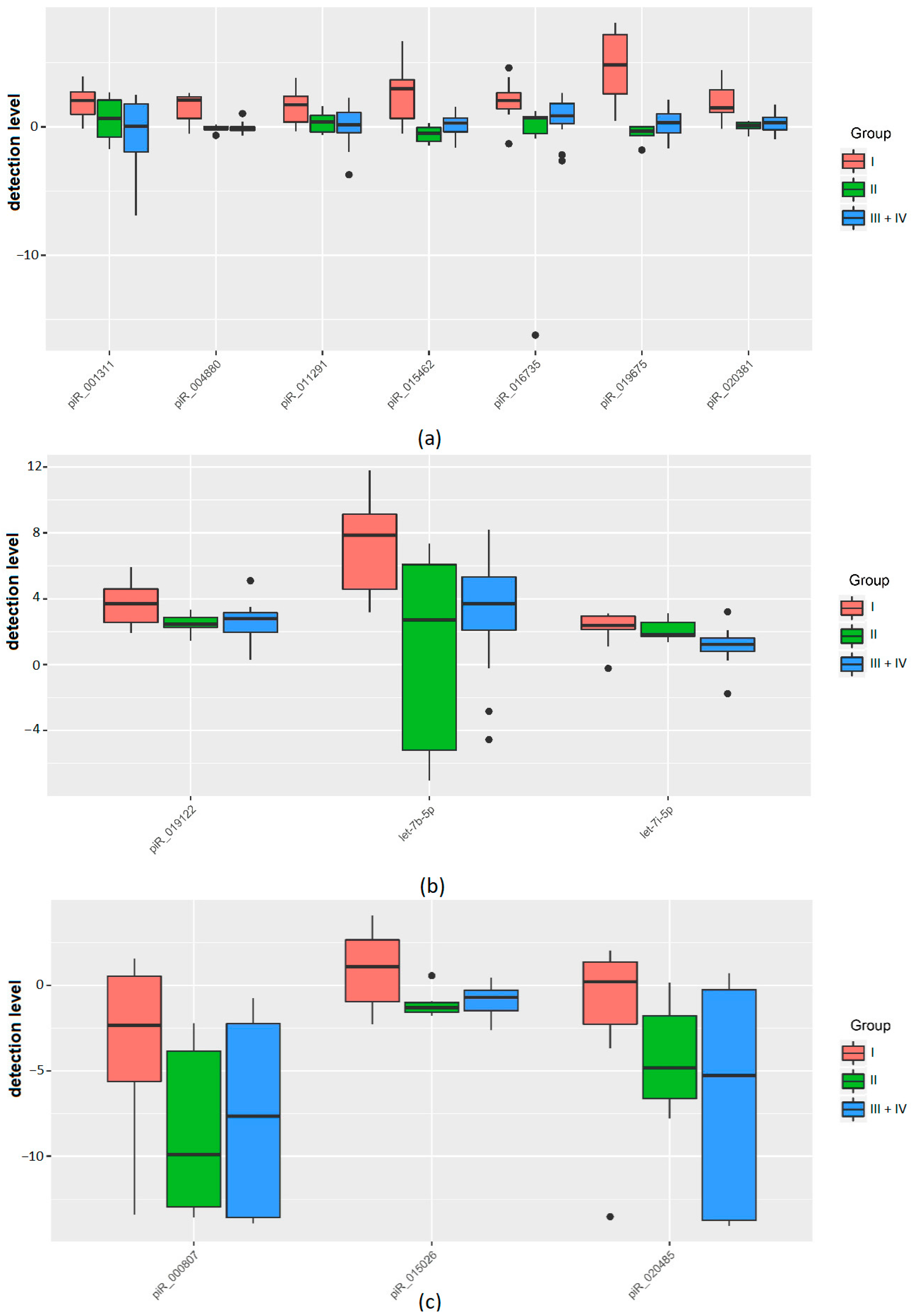
2.3. Gene Expression Validation by Quantitative Real-Time PCR
2.4. Identification of piRNA and miRNA Targets
3. Discussion
4. Materials and Methods
4.1. Experimental Design
4.2. Clinical Characteristics of Couples and Stimulation Protocol in the ART Program
4.3. Oocytes Fertilization Protocol
4.4. Extraction of RNA from Spent Culture Medium
4.5. cDNA Library Preparation and RNA Deep Sequencing
4.6. Quantitative Real-Time RT-PCR
4.7. Statistical Analysis of the Obtained Data
4.8. Ethics Statement
Supplementary Materials
Author Contributions
Funding
Conflicts of Interest
Abbreviations
| sncRNA | small noncoding ribonucleic acid |
| MZT | maternal-to-zygotic transition |
| miRNA | microribonucleic acid |
| piRNA | piwi-interacting ribonucleic acid |
| NGS | next-generation sequencing |
| RT-PCR | reverse transcription-polymerase chain reaction |
| IVF | in vitro fertilization |
| ART | assisted reproductive technology |
| ICSI | intracytoplasmic sperm injection |
| LH | luteinizing hormone |
| FSH | follicle-stimulating hormone |
| rFSH | recombinant follicle-stimulating hormone |
| a-GnRH | gonadotropin-releasing hormone agonist |
| ant-GnRH | gonadotropin-releasing hormone antagonist |
| DOR | diminished ovarian reserve |
| OHSS | ovarian hyperstimulation syndrome |
| hCG | human chorionic gonadotropin |
| mRNA | messenger RNA |
| mRNP | message ribonucleoprotein |
| BBX | bobby sox homolog |
| AMH | anti-Müllerian hormone |
| r-FSH | recombinant follicle stimulating hormone |
| BMI | body mass index |
| OCC | oocyte–cumulus complexes |
| MII oocyte | metaphase II oocytes |
| HMG | human menopause gonadotrophins |
| tRNA | transfer ribonucleic acid |
| rRNA | ribosomal ribonucleic acid |
| AKT2 | AKT serine/threonine kinase 2 |
| XYLT1 | xylosyltransferase 1 |
| WDR37 | WD repeat domain 37 |
| MID1 | midline 1 |
| GABBR2 | gamma-aminobutyric acid type b receptor subunit 2 |
| TAF9B | TATA-box binding protein associated factor 9b |
| AGPAT3 | 1-acylglycerol-3-phosphate o-acyltransferase 3 |
| RTTN | Rotatin |
| SPATA6 | spermatogenesis-associated protein 6 |
| LRRC17 | leucine rich repeat containing 17 |
| TCEB3B | elongin A2 |
| GAB2 | grb2 associated binding protein 2 |
| TRAFD1 | TRAF-type zinc finger domain containing 1 |
| DAAM1 | disheveled associated activator of morphogenesis 1 |
| BUB1B | BUB1 mitotic checkpoint serine/threonine kinase B |
| CSGALNACT1 | chondroitin sulfate N-acetylgalactosaminyltransferase 1 |
| MEX3D | mex-3 RNA-binding family member D |
| EHMT1 | euchromatic histone lysine methyltransferase 1 |
| TPD52 | tumor protein D52 |
| KIFC3 | kinesin family member C3 |
| LYPD6 | Ly6/PLAUR domain-containing protein 6 |
| FRAS1 | Fraser extracellular matrix complex subunit 1 |
| ATP2B1 | plasma membrane calcium-transporting ATPase 1 |
| VPS33A | vacuolar protein sorting-associated protein 33A |
| ARHGAP28 | rho GTPase activating protein 28 |
| PLCXD1 | phosphatidylinositol specific phospholipase C X domain containing 1 |
| PFAS | phosphoribosylformylglycinamidine synthase |
| MLLT4 | myeloid/lymphoid or mixed-lineage leukemia; translocated to, 4 |
| REEP3 | receptor expression-enhancing protein 3 |
| B3GNT5 | UDP-GlcNAc:BetaGal beta-1,3-N-acetylglucosaminyltransferase 5 |
| PLSCR3 | phospholipid scramblase 3 |
| PAPOLG | poly(A) polymerase gamma |
| ACSL6 | acyl-CoA synthetase long chain family member 6 |
| IGF2BP2 | insulin like growth factor 2 mRNA-binding protein 2 |
| PCSK6 | proprotein convertase subtilisin/kexin type 6 |
| PDXK | pyridoxal kinase |
| ZNRF1 | zinc and ring finger 1 |
| RGS16 | regulator of G protein signaling 16 |
| KIAA0319L | KIAA0319 like |
| CCR7 | C-C motif chemokine receptor 7 |
| ATPAF1 | ATP synthase mitochondrial F1 complex assembly factor 1 |
| IL11RA | interleukin 11 receptor subunit alpha |
| FZD5 | frizzled class receptor 5 |
| MGLL | monoglyceride lipase |
| PHF16 | jade family PHD finger 3 |
| ELMOD2 | ELMO domain containing 2 |
| TEAD1 | TEA domain transcription factor 1 |
| DPH1 | diphthamide biosynthesis 1 |
| GPR56 | adhesion G protein-coupled receptor G1 |
| RBPMS | RNA-binding protein, mRNA processing factor |
| DEPDC1 | DEP domain containing 1 |
| IGSF3 | immunoglobulin superfamily member 3 |
| FBXO22 | F-box protein 22 |
| NAGA | alpha-N-acetylgalactosaminidase |
| QARS | glutaminyl-tRNA synthetase 1 |
| MTAP | methylthioadenosine phosphorylase |
| SOD2 | superoxide dismutase 2 |
| VPS13A | vacuolar protein sorting 13 homolog A |
| SLC45A4 | solute carrier family 45 member 4 |
| DLX4 | distal-less homeobox 4 |
| CNDP2 | carnosine dipeptidase 2 |
| EHD4 | EH domain containing 4 |
| HEMK1 | HemK methyltransferase family member 1 |
| TRERF1 | transcriptional regulating factor 1 |
| FOXRED1 | FAD dependent oxidoreductase domain containing 1 |
| RGS3 | regulator of G protein signaling 3 |
| EXT2 | exostosin glycosyltransferase 2 |
| TEAD3 | TEA domain transcription factor 3 |
| SP3 | Sp3 transcription factor |
| COL4A1 | collagen type IV alpha 1 chain |
| MX1 | MX dynamin like GTPase 1 |
| JUP | junction plakoglobin |
| ZBTB38 | zinc finger and BTB domain containing 38 |
| B3GALT6 | beta-1,3-galactosyltransferase 6 |
| TMEM2 | cell migration inducing hyaluronidase 2 |
| ZNF814 | zinc finger protein 814 |
| ZNF280B | zinc finger protein 280B |
| HOXA1 | homeobox A1 |
| ZNF557 | zinc finger protein 557 |
| GNAL | G protein subunit alpha L |
| NEDD4L | NEDD4 like E3 ubiquitin protein ligase |
| ZNF324 | zinc finger protein 324 |
| PSD3 | pleckstrin and Sec7 domain containing 3 |
| CPD | carboxypeptidase D |
| NRAS | NRAS proto-oncogene, GTPase |
| CDC14B | cell division cycle 14B |
| PAFAH1B2 | platelet activating factor acetylhydrolase 1b catalytic subunit 2 |
| ARG2 | arginase 2 |
| BTRC | beta-transducin repeat containing E3 ubiquitin protein ligase |
| STX3 | syntaxin 3 |
| AKAP1 | A-kinase anchoring protein 1 |
| SP1 | Sp1 transcription factor |
| SYN2 | synapsin II |
| PRAME | PRAME nuclear receptor transcriptional regulator |
| GBX2 | gastrulation brain homeobox 2 |
| NPHP4 | nephrocystin 4 |
| MGAT5B | alpha-1,6-mannosylglycoprotein 6-beta-N-acetylglucosaminyltransferase B |
| MVP | major vault protein |
| GON4L | gon-4 like |
| ELF1 | E74 like ETS transcription factor 1 |
| PAX8 | paired box 8 |
| API5 | apoptosis inhibitor 5 |
| HOXB6 | homeobox B6 |
| G3BP2 | G3BP stress granule assembly factor 2 |
| ESR1 | estrogen receptor 1 |
| CREBBP | CREB binding protein |
| YAP | Yes1 associated transcriptional regulator |
References
- Huang, J.Y.J.; Rosenwaks, Z. Assisted reproductive techniques. Methods Mol. Biol. 2014, 1154, 171–231. [Google Scholar]
- Gleicher, N.; Kushnir, V.A.; Barad, D.H. Worldwide decline of IVF birth rates and its probable causes. Hum. Reprod. Open 2019, 2019. [Google Scholar] [CrossRef]
- Van Wely, M.; Kwan, I.; Burt, A.L.; Thomas, J.; Vail, A.; Van der Veen, F.; Al-Inany, H.G. Recombinant versus urinary gonadotrophin for ovarian stimulation in assisted reproductive technology cycles. Cochrane Database Syst. Rev. 2011. [Google Scholar] [CrossRef]
- Howie, R.; Kay, V. Controlled ovarian stimulation for in-vitro fertilization. Br. J. Hosp. Med. 2018, 79, 194–199. [Google Scholar] [CrossRef]
- Huang, J.Y.J.; Chian, R.-C.; Tan, S.L. Ovarian Hyperstimulation Syndrome Prevention Strategies: In Vitro Maturation. Semin Reprod Med 2010, 28, 519–531. [Google Scholar] [CrossRef] [PubMed]
- Gasca, S.; Pellestor, F.; Assou, S.; Loup, V.; Anahory, T.; Dechaud, H.; De Vos, J.; Hamamah, S. Identifying new human oocyte marker genes: A microarray approach. Reprod. Biomed. Online 2007, 14, 175–183. [Google Scholar] [CrossRef]
- Virant-Klun, I.; Krijgsveld, J. Proteomes of Animal Oocytes: What Can We Learn for Human Oocytes in the In Vitro Fertilization Programme? BioMed Res. Int. 2014, 2014, 856907. [Google Scholar] [CrossRef] [PubMed][Green Version]
- Biase, F.H.; Everts, R.E.; Oliveira, R.; Santos-Biase, W.K.F.; Fonseca Merighe, G.K.; Smith, L.C.; Martelli, L.; Lewin, H.; Meirelles, F.V. Messenger RNAs in metaphase II oocytes correlate with successful embryo development to the blastocyst stage. Zygote 2014, 22, 69–79. [Google Scholar] [CrossRef]
- Yan, L.; Yang, M.; Guo, H.; Yang, L.; Wu, J.; Li, R.; Liu, P.; Lian, Y.; Zheng, X.; Yan, J.; et al. Single-cell RNA-Seq profiling of human preimplantation embryos and embryonic stem cells. Nat. Struct. Mol. Biol. 2013, 20, 1131–1139. [Google Scholar] [CrossRef]
- Vassena, R.; Boué, S.; González-Roca, E.; Aran, B.; Auer, H.; Veiga, A.; Belmonte, J.C.I. Waves of early transcriptional activation and pluripotency program initiation during human preimplantation development. Development 2011, 138, 3699–3709. [Google Scholar] [CrossRef] [PubMed]
- Zhang, P.; Zucchelli, M.; Bruce, S.; Hambiliki, F.; Stavreus-Evers, A.; Levkov, L.; Skottman, H.; Kerkelä, E.; Kere, J.; Hovatta, O. Transcriptome Profiling of Human Pre-Implantation Development. PLoS ONE 2009, 4, e7844. [Google Scholar] [CrossRef]
- Hüttenhofer, A.; Schattner, P.; Polacek, N. Non-coding RNAs: Hope or hype? Trends Genet. 2005, 21, 289–297. [Google Scholar] [CrossRef]
- Iwasaki, Y.W.; Siomi, M.C.; Siomi, H. PIWI-Interacting RNA: Its Biogenesis and Functions. Annu. Rev. Biochem. 2015, 84, 405–433. [Google Scholar] [CrossRef]
- Salilew-Wondim, D.; Gebremedhn, S.; Hoelker, M.; Tholen, E.; Hailay, T.; Tesfaye, D. The Role of MicroRNAs in Mammalian Fertility: From Gametogenesis to Embryo Implantation. Int. J. Mol. Sci. 2020, 21, 585. [Google Scholar] [CrossRef] [PubMed]
- Cech, T.R.; Steitz, J.A. The noncoding RNA revolution-trashing old rules to forge new ones. Cell 2014, 157, 77–94. [Google Scholar] [CrossRef] [PubMed]
- Ramat, A.; Simonelig, M. Functions of PIWI Proteins in Gene Regulation: New Arrows Added to the piRNA Quiver. Trends Genet. 2020. [Google Scholar] [CrossRef] [PubMed]
- Rojas-Ríos, P.; Simonelig, M. piRNAs and PIWI proteins: Regulators of gene expression in development and stem cells. Development 2018, 145. [Google Scholar] [CrossRef] [PubMed]
- Jodar, M. Sperm and seminal plasma RNAs: What roles do they play beyond fertilization? Reproduction 2019, 158, R113–R123. [Google Scholar] [CrossRef] [PubMed]
- Kropp, J.; Salih, S.M.; Khatib, H. Expression of microRNAs in bovine and human pre-implantation embryo culture media. Front. Genet. 2014, 5, 91. [Google Scholar] [CrossRef] [PubMed]
- Sánchez-Ribas, I.; Diaz-Gimeno, P.; Quiñonero, A.; Ojeda, M.; Larreategui, Z.; Ballesteros, A.; Domínguez, F. NGS Analysis of Human Embryo Culture Media Reveals miRNAs of Extra Embryonic Origin. Reprod. Sci. 2019, 26, 214–222. [Google Scholar] [CrossRef]
- Abu-Halima, M.; Khaizaran, Z.A.; Ayesh, B.M.; Fischer, U.; Khaizaran, S.A.; Al-Battah, F.; Hammadeh, M.; Keller, A.; Meese, E. MicroRNAs in combined spent culture media and sperm are associated with embryo quality and pregnancy outcome. Fertil. Steril. 2020, 113, 970–980. [Google Scholar] [CrossRef] [PubMed]
- Cuman, C.; Van Sinderen, M.; Gantier, M.P.; Rainczuk, K.; Sorby, K.; Rombauts, L.; Osianlis, T.; Dimitriadis, E. Human Blastocyst Secreted microRNA Regulate Endometrial Epithelial Cell Adhesion. EBioMedicine 2015, 2, 1528–1535. [Google Scholar] [CrossRef] [PubMed]
- Timofeeva, A.V.; Chagovets, V.V.; Drapkina, Y.S.; Makarova, N.P.; Kalinina, E.A.; Sukhikh, G.T. Cell-Free, Embryo-Specific sncRNA as a Molecular Biological Bridge between Patient Fertility and IVF Efficiency. Int. J. Mol. Sci. 2019, 20, 2912. [Google Scholar] [CrossRef] [PubMed]
- Rosenbluth, E.M.; Shelton, D.N.; Wells, L.M.; Sparks, A.E.T.; Van Voorhis, B.J. Human embryos secrete microRNAs into culture media--a potential biomarker for implantation. Fertil. Steril. 2014, 101, 1493–1500. [Google Scholar] [CrossRef] [PubMed]
- Noli, L.; Capalbo, A.; Dajani, Y.; Cimadomo, D.; Bvumbe, J.; Rienzi, L.; Ubaldi, F.M.; Ogilvie, C.; Khalaf, Y.; Ilic, D. Human Embryos Created by Embryo Splitting Secrete Significantly Lower Levels of miRNA-30c. Stem Cells Dev. 2016, 25, 1853–1862. [Google Scholar] [CrossRef] [PubMed]
- Schlosser, K.; Hanson, J.; Villeneuve, P.J.; Dimitroulakos, J.; McIntyre, L.; Pilote, L.; Stewart, D.J. Assessment of Circulating LncRNAs Under Physiologic and Pathologic Conditions in Humans Reveals Potential Limitations as Biomarkers. Sci. Rep. 2016, 6, 36596. [Google Scholar] [CrossRef]
- Donati, S.; Ciuffi, S.; Brandi, M.L. Human Circulating miRNAs Real-time qRT-PCR-based Analysis: An Overview of Endogenous Reference Genes Used for Data Normalization. Int. J. Mol. Sci. 2019, 20, 4353. [Google Scholar] [CrossRef]
- Zhang, Y.; Tang, W.; Peng, L.; Tang, J.; Yuan, Z. Identification and validation of microRNAs as endogenous controls for quantitative polymerase chain reaction in plasma for stable coronary artery disease. Cardiol. J. 2016, 23, 694–703. [Google Scholar] [CrossRef]
- Vigneron, N.; Meryet-Figuière, M.; Guttin, A.; Issartel, J.-P.; Lambert, B.; Briand, M.; Louis, M.-H.; Vernon, M.; Lebailly, P.; Lecluse, Y.; et al. Towards a new standardized method for circulating miRNAs profiling in clinical studies: Interest of the exogenous normalization to improve miRNA signature accuracy. Mol. Oncol. 2016, 10, 981–992. [Google Scholar] [CrossRef]
- Kirkegaard, K.; Yan, Y.; Sørensen, B.S.; Hardarson, T.; Hanson, C.; Ingerslev, H.J.; Knudsen, U.B.; Kjems, J.; Lundin, K.; Ahlström, A. Comprehensive analysis of soluble RNAs in human embryo culture media and blastocoel fluid. J. Assist. Reprod. Genet. 2020, 37, 2199–2209. [Google Scholar] [CrossRef]
- El-Khoury, V.; Pierson, S.; Kaoma, T.; Bernardin, F.; Berchem, G. Assessing cellular and circulating miRNA recovery: The impact of the RNA isolation method and the quantity of input material. Sci. Rep. 2016, 6, 19529. [Google Scholar] [CrossRef] [PubMed]
- Cimadomo, D.; Rienzi, L.; Giancani, A.; Alviggi, E.; Dusi, L.; Canipari, R.; Noli, L.; Ilic, D.; Khalaf, Y.; Ubaldi, F.M.; et al. Definition and validation of a custom protocol to detect miRNAs in the spent media after blastocyst culture: Searching for biomarkers of implantation. Hum. Reprod. 2019, 34, 1746–1761. [Google Scholar] [CrossRef] [PubMed]
- Park, Y.-S.; Kim, S.; Park, D.-G.; Kim, D.H.; Yoon, K.-W.; Shin, W.; Han, K. Comparison of library construction kits for mRNA sequencing in the Illumina platform. Genes Genom. 2019, 41, 1233–1240. [Google Scholar] [CrossRef] [PubMed]
- Corral-Vazquez, C.; Salas-Huetos, A.; Blanco, J.; Vidal, F.; Sarrate, Z.; Anton, E. Sperm microRNA pairs: New perspectives in the search for male fertility biomarkers. Fertil. Steril. 2019, 112, 831–841. [Google Scholar] [CrossRef] [PubMed]
- Carmell, M.A.; Girard, A.; van de Kant, H.J.G.; Bourc’his, D.; Bestor, T.H.; de Rooij, D.G.; Hannon, G.J. MIWI2 Is Essential for Spermatogenesis and Repression of Transposons in the Mouse Male Germline. Dev. Cell 2007, 12, 503–514. [Google Scholar] [CrossRef]
- Bühler, M.; Spies, N.; Bartel, D.P.; Moazed, D. TRAMP-mediated RNA surveillance prevents spurious entry of RNAs into the Schizosaccharomyces pombe siRNA pathway. Nat. Struct. Mol. Biol. 2008, 15, 1015–1023. [Google Scholar] [CrossRef]
- Roy, J.; Mallick, B. Investigating piwi-interacting RNA regulome in human neuroblastoma. Genes Chromosom. Cancer 2018, 57, 339–349. [Google Scholar] [CrossRef]
- Goh, W.S.S.; Falciatori, I.; Tam, O.H.; Burgess, R.; Meikar, O.; Kotaja, N.; Hammell, M.; Hannon, G.J. PiRNA-directed cleavage of meiotic transcripts regulates spermatogenesis. Genes Dev. 2015, 29, 1032–1044. [Google Scholar] [CrossRef]
- Zhang, P.; Ni, X.; Guo, Y.; Guo, X.; Wang, Y.; Zhou, Z.; Huo, R.; Sha, J. Proteomic-based identification of maternal proteins in mature mouse oocytes. BMC Genom. 2009, 10, 348. [Google Scholar] [CrossRef]
- Gardner, D.K.; Kelley, R.L. Impact of the IVF laboratory environment on human preimplantation embryo phenotype. J. Dev. Orig. Health Dis. 2017, 8, 418–435. [Google Scholar] [CrossRef]
- Ubaldi, F.M.; Cimadomo, D.; Capalbo, A.; Vaiarelli, A.; Buffo, L.; Trabucco, E.; Ferrero, S.; Albani, E.; Rienzi, L.; Levi Setti, P.E. Preimplantation genetic diagnosis for aneuploidy testing in women older than 44 years: A multicenter experience. Fertil. Steril. 2017, 107, 1173–1180. [Google Scholar] [CrossRef] [PubMed]
- Capalbo, A.; Hoffmann, E.R.; Cimadomo, D.; Maria Ubaldi, F.; Rienzi, L. Human female meiosis revised: New insights into the mechanisms of chromosome segregation and aneuploidies from advanced genomics and time-lapse imaging. Hum. Reprod. Update 2017, 23, 706–722. [Google Scholar] [CrossRef] [PubMed]
- Mazzilli, R.; Cimadomo, D.; Vaiarelli, A.; Capalbo, A.; Dovere, L.; Alviggi, E.; Dusi, L.; Foresta, C.; Lombardo, F.; Lenzi, A.; et al. Effect of the male factor on the clinical outcome of intracytoplasmic sperm injection combined with preimplantation aneuploidy testing: Observational longitudinal cohort study of 1,219 consecutive cycles. Fertil. Steril. 2017, 108, 961–972. [Google Scholar] [CrossRef] [PubMed]
- Cimadomo, D.; Fabozzi, G.; Vaiarelli, A.; Ubaldi, N.; Ubaldi, F.M.; Rienzi, L. Impact of Maternal Age on Oocyte and Embryo Competence. Front. Endocrinol. 2018, 9, 327. [Google Scholar] [CrossRef] [PubMed]
- Hutchison, C.A.; Newbold, J.E.; Potter, S.S.; Edgell, M.H. Maternal inheritance of mammalian mitochondrial DNA. Nature 1974, 251, 536–538. [Google Scholar] [CrossRef] [PubMed]
- Keefe, D.L. Telomeres, Reproductive Aging, and Genomic Instability During Early Development. Reprod. Sci. 2016, 23, 1612–1615. [Google Scholar] [CrossRef]
- Cheng, J.-M.; Liu, Y.-X. Age-Related Loss of Cohesion: Causes and Effects. Int. J. Mol. Sci. 2017, 18, 1578. [Google Scholar] [CrossRef]
- Bennabi, I.; Terret, M.-E.; Verlhac, M.-H. Meiotic spindle assembly and chromosome segregation in oocytes. J. Cell Biol. 2016, 215, 611–619. [Google Scholar] [CrossRef]
- Gat, I.; AlKudmani, B.; Wong, K.; Zohni, K.; Weizman, N.F.; Librach, C.; Sharma, P. Significant correlation between anti-müllerian hormone and embryo euploidy in a subpopulation of infertile patients. Reprod. Biomed. Online 2017, 35, 602–608. [Google Scholar] [CrossRef]
- Tal, R.; Tal, O.; Seifer, B.J.; Seifer, D.B. Antimüllerian hormone as predictor of implantation and clinical pregnancy after assisted conception: A systematic review and meta-analysis. Fertil. Steril. 2015, 103, 119–130. [Google Scholar] [CrossRef]
- Knight, P.G.; Glister, C. Local roles of TGF-β superfamily members in the control of ovarian follicle development. Anim. Reprod. Sci. 2003, 78, 165–183. [Google Scholar] [CrossRef]
- Shrestha, D.; La, X.; Feng, H.L. Comparison of different stimulation protocols used in in vitro fertilization: A review. Ann. Transl. Med. 2015, 3, 1–7. [Google Scholar] [CrossRef]
- Santos, M.A.; Kuijk, E.W.; Macklon, N.S. The impact of ovarian stimulation for IVF on the developing embryo. Reproduction 2010, 139, 23–34. [Google Scholar] [CrossRef] [PubMed]
- Wagner, D.E.; Weinreb, C.; Collins, Z.M.; Briggs, J.A.; Megason, S.G.; Klein, A.M. Single-cell mapping of gene expression landscapes and lineage in the zebrafish embryo. Science 2018, 360, 981–987. [Google Scholar] [CrossRef]
- Smith, H.L.; Stevens, A.; Minogue, B.; Sneddon, S.; Shaw, L.; Wood, L.; Adeniyi, T.; Xiao, H.; Lio, P.; Kimber, S.J.; et al. Systems based analysis of human embryos and gene networks involved in cell lineage allocation. BMC Genom. 2019, 20, 171. [Google Scholar] [CrossRef]
- Sari, I.; Gumus, E.; Taskiran, A.S.; Karakoc Sokmensuer, L. Effect of ovarian stimulation on the expression of piRNA pathway proteins. PLoS ONE 2020, 15, e0232629. [Google Scholar] [CrossRef]
- McCallie, B.R.; Parks, J.C.; Trahan, G.D.; Jones, K.L.; Coate, B.D.; Griffin, D.K.; Schoolcraft, W.B.; Katz-Jaffe, M.G. Compromised global embryonic transcriptome associated with advanced maternal age. J. Assist. Reprod. Genet. 2019, 36, 915–924. [Google Scholar] [CrossRef]
- Hashimoto, M.; Sasaki, H. Epiblast Formation by TEAD-YAP-Dependent Expression of Pluripotency Factors and Competitive Elimination of Unspecified Cells. Dev. Cell 2019, 50, 139–154. [Google Scholar] [CrossRef]
- Bai, R.; Kusama, K.; Nakamura, K.; Sakurai, T.; Kimura, K.; Ideta, A.; Aoyagi, Y.; Imakawa, K. Down-regulation of transcription factor OVOL2 contributes to epithelial–mesenchymal transition in a noninvasive type of trophoblast implantation to the maternal endometrium. FASEB J. 2018, 32, 3371–3384. [Google Scholar] [CrossRef]
- Williams, M.L.K.; Sawada, A.; Budine, T.; Yin, C.; Gontarz, P.; Solnica-Krezel, L. Gon4l regulates notochord boundary formation and cell polarity underlying axis extension by repressing adhesion genes. Nat. Commun. 2018, 9. [Google Scholar] [CrossRef]
- Liu, H.-B.; Muhammad, T.; Guo, Y.; Li, M.-J.; Sha, Q.-Q.; Zhang, C.-X.; Liu, H.; Zhao, S.-G.; Zhao, H.; Zhang, H.; et al. RNA-Binding Protein IGF2BP2/IMP2 is a Critical Maternal Activator in Early Zygotic Genome Activation. Adv. Sci. 2019, 6, 1900295. [Google Scholar] [CrossRef] [PubMed]
- Fiorenza, M.T.; Russo, G.; Narducci, M.G.; Bresin, A.; Mangia, F.; Bevilacqua, A. Protein kinase Akt2/PKBβ is involved in blastomere proliferation of preimplantation mouse embryos. J. Cell. Physiol. 2020, 235, 3393–3401. [Google Scholar] [CrossRef] [PubMed]
- Yanez, L.Z.; Han, J.; Behr, B.B.; Pera, R.A.R.; Camarillo, D.B. Human oocyte developmental potential is predicted by mechanical properties within hours after fertilization. Nat. Commun. 2016, 7, 10809. [Google Scholar] [CrossRef] [PubMed]
- Tao, J.; Tamis, R.; Fink, K.; Williams, B.; Nelson-White, T.; Craig, R. The neglected morula/compact stage embryo transfer. Hum. Reprod. 2002, 17, 1513–1518. [Google Scholar] [CrossRef] [PubMed]
- Alpha Scientists in Reproductive Medicine and ESHRE Special Interest Group of Embryology. The Istanbul consensus workshop on embryo assessment: Proceedings of an expert meeting†. Hum. Reprod. 2011, 26, 1270–1283. [Google Scholar] [CrossRef]
- Langmead, B.; Trapnell, C.; Pop, M.; Salzberg, S.L. Ultrafast and memory-efficient alignment of short DNA sequences to the human genome. Genome Biol. 2009, 10. [Google Scholar] [CrossRef]
- R Core Team. The R Project for Statistical Computing. Available online: https://www.r-project.org/ (accessed on 13 August 2018).
- Love, M.I.; Huber, W.; Anders, S. Moderated estimation of fold change and dispersion for RNA-seq data with DESeq2. Genome Biol. 2014, 15, 550. [Google Scholar] [CrossRef]
- RStudio Team. RStudio: Integrated Development for R. RStudio. Available online: http://www.rstudio.com/ (accessed on 13 August 2018).




| IVF/ICSI Protocol Result | Age of Female 1 | Age of Male 1 | Female, BMI 1 | Female, AMH, ng/mL 1 | Number of OCC 1 | Number of Metaphase II (MII) Oocytes 1 | Sperm Concentration, Million per Milliliter 1 | Sperm with Progressive Motility, % 1 | Morphologically Normal Spermatozoa, % 1 | r-FSH for Ovarian Stimulation 2 |
| delivery (n = 11) | 30 (29.5, 32) | 32 (31.5, 34) | 23 (23, 24) | 2.7 (2.15, 3.1) | 10 (4.5, 13) | 6 (4, 10) | 84 (36, 90) | 65 (39.5, 70) | 2 (1.5, 3) | 9 (81, 8%) |
| negative (n = 16) | 33 (30, 38) | 35 (33, 36) | 24 (22.75, 24) | 1.6 (1.17, 2.13) | 10 (4, 14.5) | 6 (3.5, 8) | 57 (26.75, 73) | 65 (39.5, 70) | 2.5 (1.75, 3) | 4 (25%) |
| p | 0.0702 | 0.1713 | 0.9581 | 0.0061 | 0.9792 | 0.7149 | 0.2667 | 0.7669 | 0.7322 | 0.0065 |
| IVF/ICSI Protocol Result | HMG for Ovarian Stimulation 2 | Gonadotropin Dosage 1 | Stimulation Duration, Days 1 | HCG for Triggering Final Oocyte Maturation, 8000–10,000 IU 2 | Decapeptyl for Triggering Final Oocyte Maturation, 0.2 mg 2 | % Excellent/Good-Quality Blastocysts on Day 5 a.f. 1 | % Fair-Quality Blastocysts on Day 5 a.f. 1 | % Bad-Quality Blastocysts on Day 5 a.f. 1 | % Degraded Morula on Day 5 a.f. 1 | % Morula Arrested in Development on Day 5 a.f. 1 |
| delivery (n = 11) | 0 (0%) | 1650 (1200, 1987.5) | 9 (8.5, 10) | 10 (90.9%) | 1 (9.1%) | 50 (24, 58) | 0 (0, 12.5) | 0 (0, 8.5) | 50 (16.5, 50) | 0 (0, 5.5) |
| negative (n = 16) | 9 (56.3%) | 2100 (1850, 2550) | 11 (9.5, 11) | 12 (75%) | 3 (18.8%) | 35.5 (0, 67.5) | 0 (0, 0) | 0 (0, 0) | 29.5 (0, 54.25) | 0 (0, 22.75) |
| p | 0.0025 | 0.0101 | 0.0226 | 0.3833 | 0.6252 | 0.822 | 0.3697 | 0.4232 | 0.7997 | 0.4272 |
| sncRNA | Sample Group (I-IV), Sample ID (#) 1 | I vs. (III + IV), p-Value | II vs. (III + IV), p-Value | |||||||||||||
|---|---|---|---|---|---|---|---|---|---|---|---|---|---|---|---|---|
| I | I | I | II | II | II | III | III | III | III | IV | IV | IV | Reference | |||
| #150 | #118 | #154 | #170 | #176 | #147 | #124 | #157 | #206 | #200 | #127 | #177 | #134 | #207 | |||
| hsa_piR_011291 | 69 | 80 | 58 | 40 | 29 | 27 | 26 | 4 | 69 | 53 | 24 | 42 | 17 | 55 | 0.017 | 0.004 |
| hsa_piR_019122 | 42 | 23 | 54 | 31 | 5 | 7 | 19 | 8 | 11 | 9 | 7 | 12 | 5 | 35 | 0.001 | 0.054 |
| hsa_piR_001311 | 150 | 66 | 150 | 207 | 15 | 78 | 96 | 21 | 87 | 81 | 54 | 87 | 75 | 48 | 0.029 | 0.372 |
| hsa_piR_015026 | 120 | 65 | 140 | 185 | 15 | 55 | 75 | 10 | 35 | 70 | 80 | 110 | 45 | 15 | 0.041 | 0.349 |
| hsa_piR_015462 | 1290 | 1302 | 1688 | 1156 | 392 | 884 | 1764 | 428 | 1046 | 668 | 700 | 1068 | 594 | 1102 | 0.047 | 0.038 |
| hsa_piR_016735 | 170 | 232 | 265 | 174 | 106 | 207 | 221 | 35 | 155 | 176 | 85 | 178 | 40 | 104 | 0.039 | 0.107 |
| hsa_piR_019675 | 2563 | 2074 | 4699 | 1865 | 947 | 1639 | 2913 | 661 | 1941 | 1823 | 1185 | 1392 | 663 | 1847 | 0.023 | 0.064 |
| hsa_piR_020381 | 9635 | 7413 | 14,019 | 6381 | 5229 | 7449 | 5778 | 1965 | 6726 | 6621 | 3318 | 4833 | 1497 | 5532 | 0.004 | 0.061 |
| hsa_piR_020485 | 170 | 250 | 340 | 1078 | 147 | 525 | 672 | 182 | 672 | 448 | 343 | 357 | 560 | 532 | 0.052 | 0.148 |
| hsa_piR_004880 | 754 | 651 | 839 | 568 | 195 | 439 | 878 | 213 | 518 | 333 | 347 | 532 | 297 | 549 | 0.029 | 0.023 |
| hsa_piR_000807 | 1290 | 1300 | 1684 | 1156 | 392 | 880 | 1760 | 428 | 1046 | 668 | 700 | 1064 | 594 | 1102 | 0.046 | 0.038 |
| hsa_piR_001312 | 450 | 198 | 450 | 621 | 54 | 234 | 288 | 63 | 261 | 252 | 162 | 261 | 234 | 144 | 0.031 | 0.377 |
| hsa_piR_020365 | 56 | 53 | 40 | 97 | 19 | 13 | 46 | 11 | 53 | 47 | 8 | 11 | 14 | 9 | 0.055 | 0.410 |
| hsa_piR_022628 | 28 | 119 | 133 | 28 | 42 | 175 | 21 | 7 | 21 | 28 | 0 | 14 | 28 | 14 | 0.003 | 0.424 |
| hsa_piR_022104 | 200 | 314 | 471 | 628 | 0 | 0 | 471 | 0 | 0 | 157 | 157 | 0 | 0 | 1099 | 0.048 | 0.311 |
| hsa_piR_019752 | 135 | 243 | 45 | 90 | 9 | 108 | 18 | 9 | 108 | 81 | 36 | 45 | 18 | 72 | 0.023 | 0.165 |
| hsa_piR_019269 | 33 | 23 | 55 | 31 | 5 | 7 | 19 | 8 | 11 | 9 | 7 | 12 | 5 | 35 | 0.001 | 0.073 |
| hsa_piR_006927 | 32 | 23 | 54 | 31 | 5 | 7 | 19 | 8 | 11 | 9 | 7 | 12 | 5 | 35 | 0.001 | 0.076 |
| hsa_piR_002769 | 10 | 82 | 164 | 41 | 0 | 0 | 0 | 0 | 0 | 0 | 0 | 0 | 0 | 0 | 0.006 | 0.099 |
| hsa_piR_008112 | 14 | 7 | 9 | 0 | 0 | 0 | 1 | 0 | 14 | 7 | 0 | 0 | 0 | 0 | 0.042 | 0.004 |
| hsa_piR_006710 | 18 | 16 | 24 | 16 | 2 | 4 | 14 | 0 | 4 | 4 | 14 | 10 | 2 | 20 | 0.005 | 0.037 |
| hsa_piR_010119 | 35 | 78 | 83 | 43 | 21 | 56 | 41 | 30 | 35 | 64 | 17 | 24 | 36 | 29 | 0.023 | 0.120 |
| hsa_piR_020668 | 30 | 53 | 192 | 84 | 17 | 24 | 25 | 6 | 41 | 28 | 26 | 45 | 25 | 71 | 0.038 | 0.207 |
| hsa_piR_018552 | 17 | 6 | 18 | 11 | 2 | 7 | 12 | 3 | 10 | 7 | 7 | 5 | 5 | 11 | 0.027 | 0.103 |
| hsa-let_7b_5p | 35 | 29 | 32 | 41 | 11 | 9 | 34 | 9 | 6 | 2 | 20 | 9 | 32 | 17 | 0.036 | 0.164 |
| hsa-let_7i_5p | 29 | 23 | 26 | 10 | 26 | 10 | 24 | 0 | 1 | 1 | 14 | 14 | 30 | 18 | 0.045 | 0.065 |
| sncRNA 1 | Accession Number 1 | Nucleotide Sequence of Sense Primer for PCR, 5′-3′ | PCR Primers Annealing Temperature, °C |
|---|---|---|---|
| hsa_piR_011291 | DQ585247 | TGCGACTCACTGTAGTGCTGGGGATCC | 46.2 |
| hsa_piR_019122 | DQ596252 | GACAGAGAAAACAAGGTGGTGAACTATGCCC | 46.2 |
| hsa_piR_001311 | DQ571812 | ATTGGTGGTTCAGTGGTAGAATTCTCGCC | 45 |
| hsa_piR_015026 | DQ590548 | TGGTTCAGTGGTAGAATTCTCGCCTCC | 45 |
| hsa_piR_015462 | DQ591122 | CCTGGGCCAGCCTGATGATGTCCTCCTC | 45 |
| hsa_piR_016735 | DQ593039 | CCTGGGAATACCGGGTGCTGTAGGCTTA | 50 |
| hsa_piR_019675 | DQ596992 | GCAATAACAGGTCTGTGATGCCCTTAGA | 53 |
| hsa_piR_020381 | DQ597997 | GGCGGGAGTAACTATGACTCTCTTAAGGTA | 53 |
| hsa_piR_020485 | DQ598159 | GATGTAGCTCAGTGGTAGAGCGCATGCT | 53 |
| hsa_piR_004880 | DQ576715 | TTGTCCTGGACCAGCCTGATGATGTCCTC | 45 |
| hsa_piR_000807 | DQ571005 | CTGATGATGTCCTCCTCCAGTTGCCGC | 53 |
| hsa_piR_001312 | DQ571813 | ATTGGTGGTTCAGTGGTAGAATTCTCGCCTG | 46.2 |
| hsa_piR_020365 | DQ597975 | GGCCGTGATCGTATAGTGGTTAGTACTCTG | 46.2 |
| hsa_piR_022628 | DQ600952 | TAGAGCATGAGACTCTTAATCTCAGGGTCGTG | 48.9 |
| hsa_piR_022104 | DQ600278 | TACCTAGGTGATGGGATGATCTGTGC | 48.9 |
| hsa_piR_020388 | DQ598008 | GGCTCGTTGGTCTAGGGGTATGATTCTCGG | 45 |
| hsa_piR_019752 | DQ597110 | GCAGAGTGGCGCAGCGGAAGCGTGCTGGGCCC | 61.6 |
| hsa-let-7b-5p | MIMAT0000063 | Hs_let-7b_1 miScript Primer Assay, Cat.No. MS00003122 | 55 |
| hsa-let-7i-5p | MIMAT0000415 | Hs_let-7i_1 miScript Primer Assay, Cat.No. MS00003157 | 55 |
| sncRNA | Sample Group | Me 1 | Log2(Me) | Log2(Q1) | Log2(Q3) | p-Value | ||
|---|---|---|---|---|---|---|---|---|
| I vs. III + IV | I vs. II | II vs. III + IV | ||||||
| hsa_piR_011291 | I | 3.3173 | 1.73 | 0.38 | 2.38 | 0.023651 | ||
| III + IV | 1.6245 | 0.7 | −0.31 | 1.14 | ||||
| II | 1.3104 | 0.39 | −0.4 | 0.9 | ||||
| hsa_piR_019122 | I | 13.0864 | 3.71 | 2.56 | 4.6 | 0.043099 | ||
| III + IV | 6.9163 | 2.79 | 2.11 | 3.31 | ||||
| II | 5.5022 | 2.46 | 2.26 | 2.87 | ||||
| hsa_piR_001311 | I | 4.1699 | 2.06 | 0.98 | 2.73 | 0.003247 | ||
| III + IV | 0.9862 | −0.02 | −1.86 | 1.09 | ||||
| II | 1.5801 | 0.66 | −0.79 | 2.09 | ||||
| hsa_piR_015026 | I | 2.1435 | 1.1 | −0.95 | 2.67 | 0.030825 | ||
| III + IV | 0.5987 | −0.74 | −1.47 | −0.08 | ||||
| II | 0.4033 | −1.31 | −1.56 | −1.01 | ||||
| hsa_piR_015462 | I | 7.9447 | 2.99 | 0.65 | 3.67 | 0.003247 | 0.015984 | |
| III + IV | 1.0210 | 0.03 | −0.58 | 0.62 | ||||
| II | 0.7022 | −0.51 | −1.14 | −0.04 | ||||
| hsa_piR_016735 | I | 4.1699 | 2.06 | 1.41 | 2.66 | 0.013416 | ||
| III + IV | 1.8404 | 0.88 | 0.3 | 1.58 | ||||
| II | 1.6358 | 0.71 | −0.54 | 0.81 | ||||
| hsa_piR_019675 | I | 28.2465 | 4.82 | 2.58 | 7.2 | p < 0.001 | p < 0.001 | 0.031124 |
| III + IV | 1.2834 | 0.36 | −0.33 | 1.01 | ||||
| II | 0.7900 | −0.34 | −0.67 | 0.01 | ||||
| hsa_piR_020381 | I | 2.8089 | 1.49 | 1.14 | 2.88 | 0.003247 | 0.002997 | |
| III + IV | 1.3104 | 0.39 | 0.04 | 1.26 | ||||
| II | 1.0792 | 0.11 | −0.12 | 0.35 | ||||
| hsa_piR_020485 | I | 1.1567 | 0.21 | −2.27 | 1.37 | 0.001523 | ||
| III + IV | 0.0171 | −5.87 | −13.71 | −2.95 | ||||
| II | 0.0349 | −4.84 | −6.64 | −1.78 | ||||
| hsa_piR_004880 | I | 4.2871 | 2.1 | 0.65 | 2.34 | p < 0.001 | 0.004745 | |
| III + IV | 0.9266 | −0.11 | −0.36 | 0.09 | ||||
| II | 0.9659 | −0.05 | −0.21 | 0.04 | ||||
| hsa_piR_000807 | I | 0.1975 | −2.34 | −5.62 | 0.53 | 0.012145 | ||
| III + IV | 0.0013 | −9.55 | −13.58 | −2.43 | ||||
| II | 0.0011 | −9.89 | −12.96 | −3.85 | ||||
| hsa-let-7b-5p | I | 230.7201 | 7.85 | 4.59 | 9.13 | 0.00462 | ||
| III + IV | 13.6422 | 3.77 | 1.58 | 5.26 | ||||
| II | 6.6346 | 2.73 | −5.2 | 6.07 | ||||
| hsa-let-7i-5p | I | 5.2416 | 2.39 | 2.15 | 2.95 | 0.001976 | 0.006596 | |
| III + IV | 2.1735 | 1.12 | 0.79 | 1.49 | ||||
| II | 3.5554 | 1.83 | 1.72 | 2.58 | ||||
| Stages of Embryo Development Being Compared | Target-Genes 1 of hsa-let-7b-5p (Table S3, Sheet 3) | Target-Genes 1 of hsa-let-7i-5p (Table S3, Sheet 2) | Target-Genes 1 of hsa_piR_011291, hsa_piR_019122, hsa_piR_001311, hsa_piR_015026, hsa_piR_015462, hsa_piR_016735, hsa_piR_019675, hsa_piR_020381, hsa_piR_004880 (Table S3, Sheet 1) |
|---|---|---|---|
| 8-cell stage (Day 3 a.f.) versus 4-cell stage (Day 2 a.f.), down-regulated genes are listed in Table S3 (Sheet 4) | AGPAT3, AKT2, GAB2, GABBR2, LRRC17, MID1, RTTN, SPATA6, TAF9B, TCEB3B, WDR37, XYLT1 | AKT2, BUB1B, DAAM1, TRAFD1, WDR37, XYLT1 | CSGALNACT1, EHMT1, KIFC3, LYPD6, MEX3D, TPD52, ZBTB38 |
| 8-cell stage (Day 3 a.f.) versus blastocyst stage (Day 5 a.f.), down-regulated genes are listed in Table S3 (Sheet 5) | ACSL6, AKT2, ARHGAP28, ATP2B1, ATPAF1, B3GNT5, CCR7, FRAS1, GAB2, IGF2BP2, IL11RA, KIAA0319L, MID1, MLLT4, PAPOLG, PCSK6, PDXK, PFAS, PLCXD1, PLSCR3, REEP3, RGS16, VPS33A, ZNRF1 | AKT2, ARHGAP28, ATP2B1, DEPDC1, DPH1, ELMOD2, FBXO22, FRAS1, FZD5, GPR56, IGSF3, MGLL, MTAP, NAGA, PHF16, PLCXD1, QARS, RBPMS, TEAD1, VPS33A | B3GALT6, CNDP2, COL4A1, DLX4, EHD4, EXT2, FOXRED1, HEMK1, JUP, MX1, RGS3, SLC45A4, SOD2, SP3, STX3, TEAD3, TRERF1, VPS13A, ZBTB38 |
| Blastocyst stage (Day 5 a.f.) versus 8-cell stage (Day 3 a.f.), down-regulated genes are listed in Table S3 (Sheet 6) | AGPAT3, ATPAF1, GNAL, HOXA1, LRRC17, NEDD4L, PAPOLG, TMEM2, WDR37, XYLT1, ZNF280B, ZNF324, ZNF557, ZNF814 | ARG2, CDC14B, CPD, DAAM1, HOXA1, NRAS, PAFAH1B2, PSD3, TMEM2, TRAFD1, WDR37, XYLT1, ZNF280B, ZNF557, ZNF814 | AKAP1, API5, BTRC, ELF1, G3BP2, GBX2, GON4L, HOXB6, KIFC3, MGAT5B, MVP, NPHP4, PAX8, PRAME, SP1, STX3, SYN2, TPD52 |
Publisher’s Note: MDPI stays neutral with regard to jurisdictional claims in published maps and institutional affiliations. |
© 2020 by the authors. Licensee MDPI, Basel, Switzerland. This article is an open access article distributed under the terms and conditions of the Creative Commons Attribution (CC BY) license (http://creativecommons.org/licenses/by/4.0/).
Share and Cite
Timofeeva, A.; Drapkina, Y.; Fedorov, I.; Chagovets, V.; Makarova, N.; Shamina, M.; Kalinina, E.; Sukhikh, G. Small Noncoding RNA Signatures for Determining the Developmental Potential of an Embryo at the Morula Stage. Int. J. Mol. Sci. 2020, 21, 9399. https://doi.org/10.3390/ijms21249399
Timofeeva A, Drapkina Y, Fedorov I, Chagovets V, Makarova N, Shamina M, Kalinina E, Sukhikh G. Small Noncoding RNA Signatures for Determining the Developmental Potential of an Embryo at the Morula Stage. International Journal of Molecular Sciences. 2020; 21(24):9399. https://doi.org/10.3390/ijms21249399
Chicago/Turabian StyleTimofeeva, Angelika, Yulia Drapkina, Ivan Fedorov, Vitaliy Chagovets, Nataliya Makarova, Maria Shamina, Elena Kalinina, and Gennady Sukhikh. 2020. "Small Noncoding RNA Signatures for Determining the Developmental Potential of an Embryo at the Morula Stage" International Journal of Molecular Sciences 21, no. 24: 9399. https://doi.org/10.3390/ijms21249399
APA StyleTimofeeva, A., Drapkina, Y., Fedorov, I., Chagovets, V., Makarova, N., Shamina, M., Kalinina, E., & Sukhikh, G. (2020). Small Noncoding RNA Signatures for Determining the Developmental Potential of an Embryo at the Morula Stage. International Journal of Molecular Sciences, 21(24), 9399. https://doi.org/10.3390/ijms21249399

