Proteomic Profiling of Archived Tissue of Primary Melanoma Identifies Proteins Associated with Metastasis
Abstract
1. Introduction
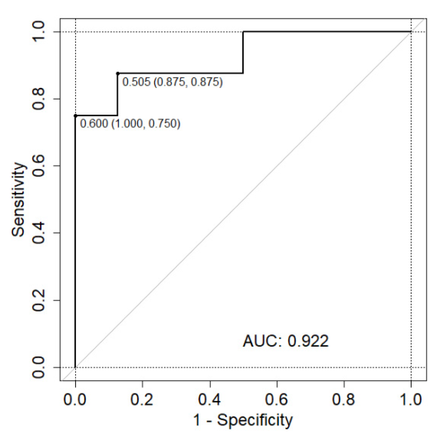
2. Results
3. Discussion
4. Materials and Methods
4.1. Tissue Samples
4.2. Microdissection and Processing of FFPE Tumour Samples
4.3. Liquid Chromatography Mass Spectrometry (LC-MSE)
4.4. Data and Statistical Analysis
4.5. NCBI GEO and TCGA Analysis
4.6. Machine Learning
Author Contributions
Funding
Conflicts of Interest
Abbreviations
| AUC | Area under the curve |
| FFPE | Formalin fixed, paraffin embedded |
| FDR | False discovery rate |
| GO | Gene ontology |
| IPA | Ingenuity pathway analysis |
| LC-MS | Liquid chromatography – mass spectrometry |
| P-M | Primary metastatic |
| P-NM | Primary non-metastatic |
| ROC | Receiver operating characteristic curve |
| TCGA | The Cancer Genome Atlas |
References
- Wisniewski, J.R. Proteomic sample preparation from formalin fixed and paraffin embedded tissue. J. Vis. Exp. 2013, 79, 50589. [Google Scholar] [CrossRef] [PubMed]
- Wisniewski, J.R.; Ostasiewicz, P.; Mann, M. High Recovery Fasp Applied to The Proteomic Analysis of Microdissected Formalin Fixed Paraffin Embedded Cancer Tissues Retrieves Known Colon Cancer Markers. J. Proteome. Res. 2011, 10, 304–309. [Google Scholar] [CrossRef] [PubMed]
- Dapic, I.; Baljeu-Neuman, L.; Uwugiaren, N.; Kers, J.; Goodlett, D.R.; Corthals, G.L. Proteome Analysis of Tissues by Mass Spectrometry. Mass. Spectrom. Rev. 2019, 38, 403–441. [Google Scholar] [CrossRef] [PubMed]
- Schadendorf, D.; van, A.; Alexander, C.J.; Berking, C.; Griewank, K.G.; Gutzmer, R.; Hauschild, A.; Stang, A.; Roesch, A.; Ugurel, S. Melanoma. Lancet 2018, 392, 971–984. [Google Scholar] [CrossRef]
- GLOBOCAN. GLOBOCAN 2017. Available online: http://globocan.iarc.fr/Default.aspx (accessed on 1 September 2019).
- Kalady, M.F.; White, R.R.; Johnson, J.L.; Tyler, D.S.; Seigler, H.F. Thin Melanomas: Predictive Lethal Characteristics from A 30-Year Clinical Experience. Ann. Surg. 2003, 238, 528. [Google Scholar] [CrossRef]
- Sandru, A.; Voinea, S.; Panaitescu, E.; Blidaru, A. Survival Rates of Patients with Metastatic Malignant Melanoma. J. Med. Life 2014, 7, 572. [Google Scholar]
- Meier, F.; Will, S.; Ellwanger, U.; Schlagenhauff, B.; Schittek, B.; Rassner, G.; Garbe, C. Metastatic Pathways and Time Courses in The Orderly Progression of Cutaneous Melanoma. Br. J. Dermatol. 2002, 147, 62–70. [Google Scholar] [CrossRef]
- Siegel, R.L.; Miller, K.D.; Jemal, A. Cancer Statistics, 2016. CA Cancer J Clin. 2016, 66, 7–30. [Google Scholar] [CrossRef]
- Eggermont, A.M.M.; Spatz, A.; Robert, C. Cutaneous Melanoma. Lancet 2014, 383, 816–827. [Google Scholar] [CrossRef]
- Dowling, P.; Moran, B.; McAuley, E.; Meleady, P.; Henry, M.; Clynes, M.; McMenamin, M.; Leonard, N.; Monks, M.; Wynne, B.; et al. Quantitative Label-Free Mass Spectrometry Analysis of Formalin-Fixed, Paraffin-Embedded Tissue Representing The Invasive Cutaneous Malignant Melanoma Proteome. Oncol. Lett. 2016, 12, 3296–3304. [Google Scholar] [CrossRef]
- Byrum, S.; Avaritt, N.L.; Mackintosh, S.G.; Munkberg, J.M.; Badgwell, B.D.; Cheung, W.L.; Tackett, A.J. A quantitative proteomic analysis of FFPE melanoma. J. Cutan. Pathol. 2011, 38, 933. [Google Scholar] [CrossRef] [PubMed]
- Byrum, S.D.; Larson, S.K.; Avaritt, N.L.; Moreland, L.E.; Mackintosh, S.G.; Cheung, W.L.; Tackett, A.J. Quantitative Proteomics Identifies Activation of Hallmark Pathways of Cancer in Patient Melanoma. J. Proteom. Bioinform. 2013, 6, 43–50. [Google Scholar] [CrossRef] [PubMed]
- Ge, L.; Vilain, R.E.; Lo, S.; Aivazian, K.; Scolyer, R.A.; Thompson, J.F. Breslow Thickness Measurements of Melanomas Around American Joint Committee on Cancer Staging Cut-Off Points: Imprecision and Terminal Digit Bias Have Important Implications for Staging and Patient Management. Ann. Surg. Oncol. 2016, 23, 2658–2663. [Google Scholar] [CrossRef]
- Breslow, A. Thickness, Cross-Sectional Areas and Depth of Invasion in The Prognosis of Cutaneous Melanoma. Ann. Surg. 1970, 172, 902. [Google Scholar] [CrossRef]
- Bantscheff, M.; Lemeer, S.; Savitski, M.M.; Kuster, B. Quantitative Mass Spectrometry in Proteomics: Critical Review Update from 2007 to The Present. Anal. Bioanal. Chem. 2012, 404, 939–965. [Google Scholar] [CrossRef]
- Webb-Robertson, B.J.; Wiberg, H.K.; Matzke, M.M.; Brown, J.N.; Wang, J.; Mcdermott, J.E.; Smith, R.D.; Rodland, K.D.; Metz, T.O.; Pounds, J.G.; et al. Review, Evaluation, and Discussion of The Challenges of Missing Value Imputation for Mass Spectrometry-Based Label-Free Global Proteomics. J. Proteome. Res. 2015, 14, 1993–2001. [Google Scholar] [CrossRef] [PubMed]
- Liu, J.; Zhong, X.; Li, J.; Liu, B.; Guo, S.; Chen, J.; Tan, Q.; Wang, Q.; Ma, W.; Wu, Z.; et al. Screening and Identification of Lung Cancer Metastasis-Related Genes by Suppression Subtractive Hybridization. Thorac. Cancer 2012, 3, 207–216. [Google Scholar] [CrossRef]
- Hsu, H.-M.; Chu, C.-M.; Chang, Y.-J.; Yu, J.-C.; Chen, C.-T.; Jian, C.-E.; Lee, C.-Y.; Yueh, C.-T.; Chi, W.C.; Chang, Y.-T. Six Novel Immunoglobulin Genes as Biomarkers for Better Prognosis in Triple-Negative Breast Cancer by Gene Co-Expression Network Analysis. Sci. Rep. 2019, 9, 4484. [Google Scholar] [CrossRef]
- Yang, Q.; Roehrl, M.H.; Wang, J.Y. Proteomic Profiling of Antibody-Inducing Immunogens in Tumor Tissue Identifies PSMA1, LAP3, ANXA3, and Maspin as Colon Cancer Markers. Oncotarget 2017, 9, 3996–4019. [Google Scholar] [CrossRef]
- Yu, L.; Li, X.; Li, H.; Chen, H.; Liu, H. Rab11a Sustains GSK3beta/Wnt/Beta-Catenin Signaling to Enhance Cancer Progression in Pancreatic Cancer. Tumour. Biol. J. Int. Soc. Oncodevelopmental Biol. Med. 2016, 37, 13821. [Google Scholar] [CrossRef]
- Xu, Y.F.; Yi, Y.; Qiu, S.J.; Gao, Q.; Li, Y.W.; Dai, C.X.; Cai, M.-Y.; Ju, M.-J.; Zhou, J.; Zhang, B.-H.; et al. PEBP1 Downregulation Is Associated to Poor Prognosis in HCC Related to Hepatitis B Infection. J. Hepatol. 2010, 53, 872–879. [Google Scholar] [CrossRef] [PubMed]
- Chen, S.L.; Lu, S.X.; Liu, L.L.; Wang, C.H.; Yang, X.; Zhang, Z.Y.; Zhang, H.-Z.; Yun, J.-p. eEF1A1 Overexpression Enhances Tumor Progression and Indicates Poor Prognosis in Hepatocellular Carcinoma. Transl. Oncol. 2018, 11, 125–131. [Google Scholar] [CrossRef] [PubMed]
- Wang, B.; Qi, X.; Liu, J.; Zhou, R.; Lin, C.; Shangguan, J.; Hang, Z.; Zhao, L.; Li, G. MYH9 Promotes Growth and Metastasis via Activation of MAPK/AKT Signaling in Colorectal Cancer. J. Cancer. 2019, 10, 874. [Google Scholar] [CrossRef]
- Liu, L.; Yi, J.; Deng, X.; Yuan, J.; Zhou, B.; Lin, Z.; Zeng, Z. MYH9 Overexpression Correlates with Clinicopathological Parameters and Poor Prognosis of Epithelial Ovarian Cancer. Oncol. Lett. 2019, 18, 1049–1056. [Google Scholar] [CrossRef]
- Fukuda, K.; Sugihara, E.; Ohta, S.; Izuhara, K.; Funakoshi, T.; Amagai, M.; Saya, S. Periostin Is a Key Niche Component for Wound Metastasis of Melanoma. PLoS ONE. 2015, 10, e0129704. [Google Scholar] [CrossRef]
- Wen, Q.; Shang, J.; Mise, S.R.L.; Bai, L. Effects of Periostin on Hepatocellular Carcinoma Cells Invasion, Metastasis and Prognosis. Chin. J. Hepatol. 2019, 27, 766–771. [Google Scholar]
- Wang, Z.; Xiong, S.; Mao, Y.; Chen, M.; Ma, X.; Zhou, X.; Ma, Z.; Liu, F.; Huang, Z.; Luo, Q.; et al. Periostin Promotes Immunosuppressive Premetastatic Niche Formation to Facilitate Breast Tumour Metastasis. J. Pathol. 2016, 239, 484–495. [Google Scholar] [CrossRef]
- Yu, L.; Liu, X.; Cui, K.; Di, Y.; Xin, L.; Sun, X.; Zhang, W.; Yang, X.; Wei, M.; Yao, Z.; et al. SND1 Acts Downstream of TGFbeta1 and Upstream of Smurf1 to Promote Breast Cancer Metastasis. Cancer Res. 2015, 75, 1275–1286. [Google Scholar] [CrossRef]
- Zhan, F.; Zhong, Y.; Qin, Y.; Li, L.; Wu, W.; Yao, M. SND1 Facilitates The Invasion and Migration of Cervical Cancer Cells by Smurf1-Mediated Degradation of FOXA2. Exp. Cell Res. 2019, 388, 111809. [Google Scholar] [CrossRef] [PubMed]
- Agaimy, A.; Specht, K.; Stoehr, R.; Lorey, T.; Märkl, B.; Niedobitek, G.; Straub, M.; Hager, T.; Reis, A.-C.; Schilling, B.; et al. Metastatic Malignant Melanoma with Complete Loss of Differentiation Markers (Undifferentiated/Dedifferentiated Melanoma). Am. J. Surg. Pathol. 2016, 40, 181–191. [Google Scholar] [CrossRef]
- Ruggero, D. Translational Control in Cancer Etiology. Cold Spring Harb. Perspect. Biol. 2013, 5, a012336. [Google Scholar] [CrossRef] [PubMed]
- Yamaguchi, H.; Wyckoff, J.; Condeelis, J. Cell Migration in Tumors. Curr. Opin. Cell Biol. 2005, 17, 559–564. [Google Scholar] [CrossRef]
- Ellenbroek, S.I.; Collard, J.G. Rho GTPases: Functions and Association with Cancer. Clin. Exp. Metastasis. 2007, 24, 657–672. [Google Scholar] [CrossRef] [PubMed]
- Yamaguchi, H.; Lorenz, M.; Kempiak, S.; Sarmiento, C.; Coniglio, S.; Symons, M.; Segall, J.; Eddy, R.; Miki, H.; Takenawa, T.; et al. Molecular Mechanisms of Invadopodium Formation: The Role of the N-WASP–Arp2/3 Complex Pathway and Cofilin. J. Cell Biol. 2005, 168, 441–452. [Google Scholar] [CrossRef]
- Gowda, R.; Robertson, B.M.; Iyer, S.; Barry, J.; Dinavahi, S.S.; Robertson, G.P. The Role of Exosomes in Metastasis and Progression of Melanoma. Cancer Treat. Rev. 2020, 85, 101975. [Google Scholar] [CrossRef]
- Wu, M.; Wang, G.; Hu, W.; Yao, Y.; Yu, X.-F. Emerging Roles and Therapeutic Value of Exosomes in Cancer Metastasis. Mol. Cancer. 2019, 18, 53. [Google Scholar] [CrossRef] [PubMed]
- Shapanis, A.; Lai, C.; Smith, S.; Coltart, G.; Sommerlad, M.; Schofield, J.; Parkinson, E.; Skipp, P.; Healy, E. Identification of proteins associated with development of metastasis from cutaneous squamous cell carcinomas (cSCCs) via proteomic analysis of primary cSCCs. Br. J. Dermatol. 2020. [Google Scholar] [CrossRef]
- Lai, C.; August, S.; Albibas, A.; Behar, R.; Cho, S.Y.; Polak, M.E.; Theaker, J.; MacLeod, A.S.; French, R.R.; Glennie, M.J. OX40+ Regulatory T Cells in Cutaneous Squamous Cell Carcinoma Suppress Effector T-Cell Responses and Associate with Metastatic Potential. Clin. cancer Res. 2016, 22, 4236–4248. [Google Scholar] [CrossRef]
- Euvrard, S.; Kanitakis, J.; Claudy, A. Skin Cancers after Organ Transplantation. N. Engl. J. Med. 2003, 348, 1681–1691. [Google Scholar] [CrossRef]
- Martinez, J.C.; Otley, C.C.; Stasko, T.; Euvrard, S.; Brown, C.; Schanbacher, C.F.; Weaver, A.L. Defining the Clinical Course of Metastatic Skin Cancer in Organ Transplant Recipients: A Multicenter Collaborative Study. Arch. Dermatol. 2003, 139, 301–306. [Google Scholar] [CrossRef]
- Dubois, S.; Conlon, K.C.; Müller, J.R.; Hsu-Albert, J.; Beltran, N.; Bryant, B.R.; Waldmann, T.A. IL15 Infusion of Cancer Patients Expands The Subpopulation of Cytotoxic CD56bright NK Cells and Increases NK-Cell Cytokine Release Capabilities. Cancer Immunol. Res. 2017, 5, 929–938. [Google Scholar] [CrossRef] [PubMed]
- Waldmann, T.A. The Biology of Interleukin-2 and Interleukin-15: Implications for Cancer Therapy and Vaccine Design. Nat. Rev. Immunol. 2006, 6, 595–601. [Google Scholar] [CrossRef]
- Bae, J.; Munshi, A.; Li, C.; Samur, M.; Prabhala, R.; Mitsiades, C.; Anderson, K.C.; Munshi, N.C. Heat shock protein 90 is critical for regulation of phenotype and functional activity of human T lymphocytes and NK cells. J. Immunol. 2013, 190, 1360–1371. [Google Scholar] [CrossRef] [PubMed]
- Zhu, Y.; Ju, S.; Chen, E.; Dai, S.; Li, C.; Morel, P.; Liu, L.; Zhang, X.; Lu, B. T-Bet and Eomesodermin are Required for T Cell-Mediated Antitumor Immune Responses. J. Immunol. 2010, 185, 3174–3183. [Google Scholar] [CrossRef]
- Li, J.; He, Y.; Hao, J.; Ni, L.; Dong, C. High Levels of Eomes Promote Exhaustion of Anti-Tumor CD8(+) T Cells. Front. Immunol. 2018, 9, 2981. [Google Scholar] [CrossRef] [PubMed]
- Sharma, P.; Diergaarde, B.; Ferrone, S.; Kirkwood, J.M.; Whiteside, T.L. Melanoma Cell-Derived Exosomes in Plasma of Melanoma Patients Suppress Functions of Immune Effector Cells. Sci. Rep. 2020, 10, 92. [Google Scholar] [CrossRef] [PubMed]






Publisher’s Note: MDPI stays neutral with regard to jurisdictional claims in published maps and institutional affiliations. |
© 2020 by the authors. Licensee MDPI, Basel, Switzerland. This article is an open access article distributed under the terms and conditions of the Creative Commons Attribution (CC BY) license (http://creativecommons.org/licenses/by/4.0/).
Share and Cite
Shapanis, A.; Lai, C.; Sommerlad, M.; Parkinson, E.; Healy, E.; Skipp, P. Proteomic Profiling of Archived Tissue of Primary Melanoma Identifies Proteins Associated with Metastasis. Int. J. Mol. Sci. 2020, 21, 8160. https://doi.org/10.3390/ijms21218160
Shapanis A, Lai C, Sommerlad M, Parkinson E, Healy E, Skipp P. Proteomic Profiling of Archived Tissue of Primary Melanoma Identifies Proteins Associated with Metastasis. International Journal of Molecular Sciences. 2020; 21(21):8160. https://doi.org/10.3390/ijms21218160
Chicago/Turabian StyleShapanis, Andrew, Chester Lai, Mathew Sommerlad, Erika Parkinson, Eugene Healy, and Paul Skipp. 2020. "Proteomic Profiling of Archived Tissue of Primary Melanoma Identifies Proteins Associated with Metastasis" International Journal of Molecular Sciences 21, no. 21: 8160. https://doi.org/10.3390/ijms21218160
APA StyleShapanis, A., Lai, C., Sommerlad, M., Parkinson, E., Healy, E., & Skipp, P. (2020). Proteomic Profiling of Archived Tissue of Primary Melanoma Identifies Proteins Associated with Metastasis. International Journal of Molecular Sciences, 21(21), 8160. https://doi.org/10.3390/ijms21218160

