Revisiting Ionic Liquid Structure-Property Relationship: A Critical Analysis
Abstract
1. Introduction
2. Structure–Property Relationships
3. Structural Organization
3.1. Ion Pairs
3.2. Free Volume
3.2.1. Free Volume Theory and Transport Properties
3.2.2. Experimental Techniques for Free Volume Determination
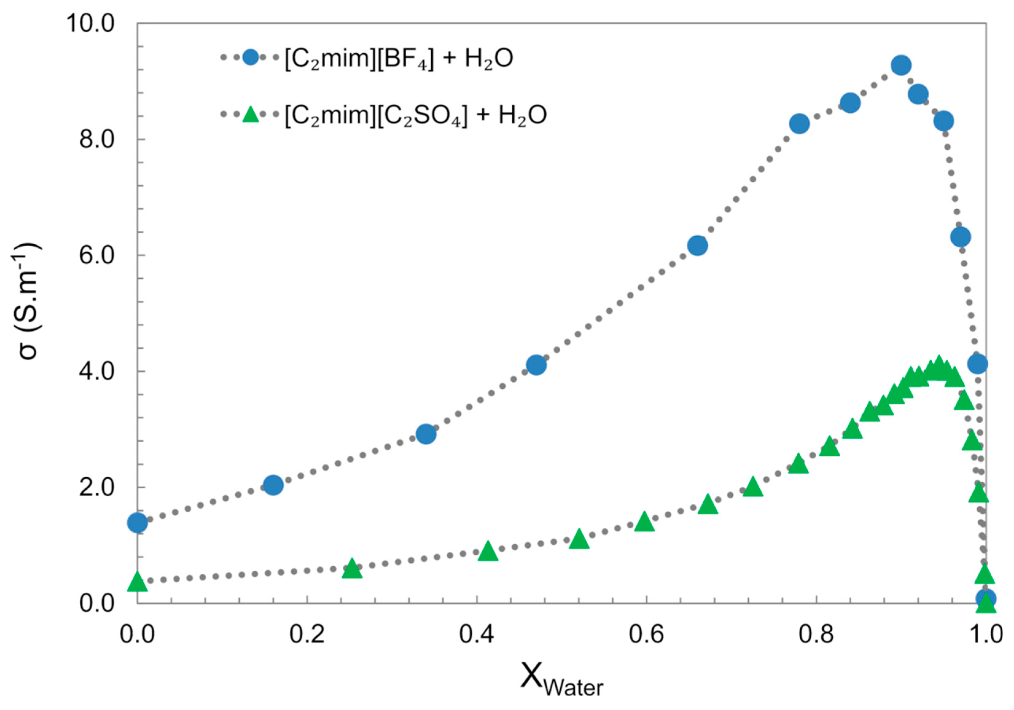
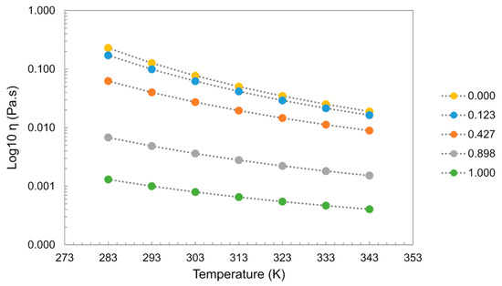
4. Water Effect
5. Conclusions
- The free volume () of ionic liquids increases with temperature (isobaric expansion) and decreases with pressure (isothermal compression);
- The molar volume () of ILs is associated with the free volume;
- The free volume is distributed in holes/voids;
- The size of holes is correlated with the ability of ILs to diffuse and to solubilize gases;
- The nature of the cation–anion interaction will determine how hole volume (), free volume () and the ion pair volume () will influence the transport properties of liquids.
- Low water content (water in IL; xH2O < 0.1) regime; the water molecules are dispersed in the IL nanostructure, filling the structural holes present in the ILs 3D network, without disrupting it;
- Intermediate regime (0.2 < xH2O < 0.8). Increasing the IL dilution, water starts to aggregate, forming clusters. While the formation of clusters has been accepted by the majority of studies, the shape, size and morphology are still subject to discussion, in which the formation of water “pockets” and creek like structures (water dispersion in IL) are the two main hypotheses, connecting polar domains of the IL;
- High water regime (IL in water; 0.8 < xH2O < 0.9). The clusters are partially or totally destroyed, with the ions experiencing a solvent-mediated ion pair, leading to increased spatial associations between ions and, thus, having a strong effect on translational and rotational dynamics of ion species in mixtures;
- Diluted solutions (xH2O > 0.95). Above this water content, there is an infinite dilution of ILs in water, with the ions fully hydrated, forming a loose ion pair, with physicochemical properties similar to pure water.
- While the topics of this review have been addressed separately, they cannot be dissociated from one another. In the case of aqueous IL solutions, the heterogeneity and the clustering of water not only affects the physicochemical properties and dynamics but can also be rationalized as a function of the structural organization.
Author Contributions
Funding
Acknowledgments
Conflicts of Interest
Abbreviations
| Symbols | |
| isobaric expansivity | |
| δ | chemical shift |
| η | viscosity |
| ρ | density |
| σ | conductivity |
| self-diffusion | |
| free volume fraction | |
| I | ionicity |
| isothermal compressibility | |
| molecular weight | |
| M | molar concentration |
| Avogadro number | |
| crystallization temperature | |
| glass transition | |
| melting point | |
| volume of holes | |
| molecular volume of the ion pair | |
| volume of crystal | |
| volume of the counterion | |
| volume interstitial | |
| free volume | |
| volume molecular of anion | |
| volume molecular of cation | |
| volume of liquid | |
| volume molar | |
| volume occupied | |
| Van der Waals volume | |
| molar fraction | |
| General Abbreviations | |
| APIL | Aprotic ionic liquid |
| API | Active Pharmaceutical Ingredients |
| COSMO-RS | Conductor-like Screening Model for Real Solvents |
| DFT | Density Functional Theory |
| EHB | hydrogen-bonding interaction energy |
| HB | hydrogen bond |
| EoS | equation of state |
| EPR | electron paramagnetic resonance |
| Eq | equation |
| FIR | Far-infrared |
| HSE-DD | Heisenberg spin exchange-dipole–dipole |
| IC | ionic cage |
| IL | ionic liquid |
| ImIL | imidazolium-based ionic liquid |
| IP | ion pair |
| MD | molecular dynamics |
| NP | nanoparticles |
| PALS | Positron Annihilation Lifetime Spectroscopy |
| PGSE | pulse-field-gradient spin–echo |
| PIL | Protic ionic liquid |
| PCM | polarizable continuum model |
| Ps | positroniums |
| pDTEMPONE | 2,2,6,6-tetramethyl-4-oxopiperidine-1-oxyl |
| QENS | quasielastic neutron scattering |
| SL | Sanchez–Lacombe |
| SANS | Small angle neutron scattering |
| SAXS | Small angle X-ray scattering |
| VdW | Van der Waals |
| Ionic liquids acronym | |
| [Ac]− | acetate |
| [BETI]− | bis(pentafluoroethylsulfonyl)imide) |
| [BF4]− | tetrafluoroborate |
| [B(hfip)4]− | 1,1,1,3,3,3-hexafluoropropan-2-yl)oxy)borate |
| [BPy]+ | N-butylpyridinium |
| [C2NH2]+ | diethylammonium |
| [C2SO4]− | ethylsulfate |
| [C2eim]+ | 1,3-diethylimidazolium |
| [C2mim]+ | 1-ethyl-3-methylimidazolium |
| [C3mim]+ | 1-propyl-3-methylimidazolium |
| [C4mim]+ | 1-butyl-3-methylimidazolium |
| [C12mim]+ | 1-dodecyl-3-methylimidazolium |
| [C4mmim]+ | 1-butyl-2,3-dimethylimidazolium |
| [C4mpyr]+ | N-butyl-N-methylpyrrolidinium |
| [C4NMe3]+ | butyltrimethylammonium |
| [C5mpyr]+ | N-pentyl-N-methylpyrrolidinium |
| [C5NEt3]+ | pentyltriethylammonium |
| [C6mim]+ | 1-hexyl-3-methylimidazolium |
| [C8mim]+ | 1-octyl-3-methylimidazolium |
| [(C6H13)3P(C14H29)]+ | trihexyltetradecylphosphonium |
| [CF3CO2]− | trifluoroacetate |
| [DCA]− | dicyanamide |
| [DEME]+ | N,N-diethyl-N-methyl-N-(2-methoxyethyl) ammonium |
| [EtNH3]+ | ethylammonium |
| [FAP]− | tris(perfluoroalkyl)trifluorophosphate |
| [FPI]− | bis[bis(pentafluoroethyl)phosphinyl]imide |
| [NTF2]− | bis(trifluoromethylsulfonyl)Imide |
| [MeSPh2]+ | methyldiphenylsulfonium |
| [MeSO4]− | methylsulfate |
| [NO3]− | nitrate |
| [OcSO4]− | octyl sulfate |
| [OTF]− | triflate |
| [PF6]− | hexafluorophosphate |
| [SEt3]+ | triethylsulfonium |
References
- Plechkova, N.V.; Seddon, K.R. Applications of ionic liquids in the chemical industry. Chem. Soc. Rev. 2008, 37, 123–150. [Google Scholar] [CrossRef] [PubMed]
- Kohno, Y.; Ohno, H. Ionic liquid/water mixtures: From hostility to conciliation. Chem. Commun. 2012, 48, 7119–7130. [Google Scholar] [CrossRef] [PubMed]
- Beichel, W.; Yu, Y.; Dlubek, G.; Krause-Rehberg, R.; Pionteck, J.; Pfefferkorn, D.; Bulut, S.; Bejan, D.; Friedrich, C.; Krossing, I. Free volume in ionic liquids: A connection of experimentally accessible observables from PALS and PVT experiments with the molecular structure from XRD data. Phys. Chem. Chem. Phys. 2013, 15, 8821. [Google Scholar] [CrossRef]
- Hallett, J.P.; Welton, T. Room-Temperature Ionic Liquids: Solvents for Synthesis and Catalysis. 2. Chem. Rev. 2011, 111, 3508–3576. [Google Scholar] [CrossRef] [PubMed]
- Sheldon, R. Catalytic reactions in ionic liquids. Chem. Commun. 2011, 2399–2407. [Google Scholar] [CrossRef]
- Zhang, X.; Zhang, X.; Dong, H.; Zhao, Z.; Zhang, S.; Huang, Y. Carbon capture with ionic liquids: Overview and progress. Energy Environ. Sci. 2012, 5, 6668. [Google Scholar] [CrossRef]
- Bernard, F.L.; Duczinski, R.B.; Rojas, M.F.; Fialho, M.C.C.; Carreño, L.Á.; Chaban, V.V.; Vecchia, F.D.; Einloft, S. Cellulose based poly(ionic liquids): Tuning cation-anion interaction to improve carbon dioxide sorption. Fuel 2018, 211, 76–86. [Google Scholar] [CrossRef]
- Corvo, M.C.; Sardinha, J.; Casimiro, T.; Marin, G.; Seferin, M.; Einloft, S.; Menezes, S.C.; Dupont, J.; Cabrita, E.J. A Rational Approach to CO2 Capture by Imidazolium Ionic Liquids: Tuning CO2 Solubility by Cation Alkyl Branching. ChemSusChem 2015, 8, 1935–1946. [Google Scholar] [CrossRef]
- MacFarlane, D.R.; Tachikawa, N.; Forsyth, M.; Pringle, J.M.; Howlett, P.C.; Elliott, G.D.; Davis, J.H.; Watanabe, M.; Simon, P.; Angell, C.A. Energy applications of ionic liquids. Energy Environ. Sci. 2014, 7, 232–250. [Google Scholar] [CrossRef]
- Brandt, A.; Gräsvik, J.; Hallett, J.P.; Welton, T. Deconstruction of lignocellulosic biomass with ionic liquids. Green Chem. 2013, 15, 550. [Google Scholar] [CrossRef]
- Passos, H.; Freire, M.G.; Coutinho, J.A.P. Ionic liquid solutions as extractive solvents for value-added compounds from biomass. Green Chem. 2014, 16, 4786–4815. [Google Scholar] [CrossRef]
- Ferraz, R.; Branco, L.C.; Prudêncio, C.; Noronha, J.P.; Petrovski, Ž. Ionic Liquids as Active Pharmaceutical Ingredients. ChemMedChem 2011, 6, 975–985. [Google Scholar] [CrossRef] [PubMed]
- Marrucho, I.M.; Branco, L.C.; Rebelo, L.P.N. Ionic Liquids in Pharmaceutical Applications. Annu. Rev. Chem. Biomol. Eng. 2014, 5, 527–546. [Google Scholar] [CrossRef]
- Lopes, J.N.C.; Rebelo, L.P.N. Ionic liquids and reactive azeotropes: The continuity of the aprotic and protic classes. Phys. Chem. Chem. Phys. 2010, 12, 1948. [Google Scholar] [CrossRef] [PubMed]
- Greaves, T.L.; Drummond, C.J. Protic Ionic Liquids: Properties and Applications. Chem. Rev. 2008, 108, 206–237. [Google Scholar] [CrossRef]
- Walden, P. Molecular weights and electrical conductivity of several fused salts. Bull. Acad. Imper. Sci. St. Petersburg 1914, 1800, 405–422. [Google Scholar]
- Gabriel, S.; Weiner, J. Ueber einige Abkömmlinge des Propylamins. Ber. Dtsch. Chem. Ges. 1888, 21, 2669–2679. (In German) [Google Scholar] [CrossRef]
- Wilkes, J.S.; Levisky, J.A.; Wilson, R.A.; Hussey, C.L. Dialkylimidazolium chloroaluminate melts: A new class of room-temperature ionic liquids for electrochemistry, spectroscopy and synthesis. Inorg. Chem. 1982, 21, 1263–1264. [Google Scholar] [CrossRef]
- Wilkes, J.S.; Zaworotko, M.J. Air and water stable 1-ethyl-3-methylimidazolium based ionic liquids. J. Chem. Soc. Chem. Commun. 1992, 965. [Google Scholar] [CrossRef]
- Morton, M.D.; Hamer, C.K. Ionic liquids—The beginning of the end or the end of the beginning?—A look at the life of ionic liquids through patent claims. Sep. Purif. Technol. 2018, 196, 3–9. [Google Scholar] [CrossRef]
- Visser, A.E.; Swatloski, R.P.; Reichert, W.M.; Davis, J.H., Jr.; Rogers, R.D.; Mayton, R.; Sheff, S.; Wierzbicki, A. Task-specific ionic liquids for the extraction of metal ions from aqueous solutions. Chem. Commun. 2001, 135–136. [Google Scholar] [CrossRef]
- Davis, J.H. Task-specific ionic liquids. Chem. Lett. 2004, 33, 1072–1077. [Google Scholar] [CrossRef]
- Hough, W.L.; Smiglak, M.; Rodríguez, H.; Swatloski, R.P.; Spear, S.K.; Daly, D.T.; Pernak, J.; Grisel, J.E.; Carliss, R.D.; Soutullo, M.D.; et al. The third evolution of ionic liquids: Active pharmaceutical ingredients. New J. Chem. 2007, 31, 1429. [Google Scholar] [CrossRef]
- Le, T.; Epa, V.C.; Burden, F.R.; Winkler, D.A. Quantitative Structure–Property Relationship Modeling of Diverse Materials Properties. Chem. Rev. 2012, 112, 2889–2919. [Google Scholar] [CrossRef] [PubMed]
- Hayes, R.; Warr, G.G.; Atkin, R. Structure and Nanostructure in Ionic Liquids. Chem. Rev. 2015, 115, 6357–6426. [Google Scholar] [CrossRef]
- Amarasekara, A.S. Acidic Ionic Liquids. Chem. Rev. 2016, 116, 6133–6183. [Google Scholar] [CrossRef]
- Greaves, T.L.; Drummond, C.J. Protic Ionic Liquids: Evolving Structure-Property Relationships and Expanding Applications. Chem. Rev. 2015, 115, 11379–11448. [Google Scholar] [CrossRef]
- Sepehri, B. A review on created QSPR models for predicting ionic liquids properties and their reliability from chemometric point of view. J. Mol. Liq. 2020, 297, 112013. [Google Scholar] [CrossRef]
- Hosseini, S.M.; Mulero, A.; Alavianmehr, M.M. Predictive methods and semi-classical Equations of State for pure ionic liquids: A review. J. Chem. Thermodyn. 2019, 130, 47–94. [Google Scholar] [CrossRef]
- Coutinho, J.A.P.; Carvalho, P.J.; Oliveira, N.M.C. Predictive methods for the estimation of thermophysical properties of ionic liquids. RSC Adv. 2012, 2, 7322. [Google Scholar] [CrossRef]
- Saielli, G. Bulk Structure Elucidation: Computational Spectroscopy of Ionic Liquids for Bulk Structure Elucidation. Adv. Theory Simul. 2018, 1, 1870026. [Google Scholar] [CrossRef]
- Dong, K.; Liu, X.; Dong, H.; Zhang, X.; Zhang, S. Multiscale Studies on Ionic Liquids. Chem. Rev. 2017, 117, 6636–6695. [Google Scholar] [CrossRef] [PubMed]
- Tokuda, H.; Hayamizu, K.; Ishii, K.; Susan, M.A.B.H.; Watanabe, M. Physicochemical Properties and Structures of Room Temperature Ionic Liquids. 1. Variation of Anionic Species. J. Phys. Chem. B 2004, 108, 16593–16600. [Google Scholar] [CrossRef]
- Tokuda, H.; Hayamizu, K.; Ishii, K.; Susan, M.A.B.H.; Watanabe, M. Physicochemical Properties and Structures of Room Temperature Ionic Liquids. 2. Variation of Alkyl Chain Length in Imidazolium Cation. J. Phys. Chem. B 2005, 109, 6103–6110. [Google Scholar] [CrossRef]
- Tokuda, H.; Ishii, K.; Susan, M.A.B.H.; Tsuzuki, S.; Hayamizu, K.; Watanabe, M. Physicochemical Properties and Structures of Room-Temperature Ionic Liquids. 3. Variation of Cationic Structures. J. Phys. Chem. B 2006, 110, 2833–2839. [Google Scholar] [CrossRef] [PubMed]
- Tokuda, H.; Tsuzuki, S.; Susan, M.A.B.H.; Hayamizu, K.; Watanabe, M. How Ionic Are Room-Temperature Ionic Liquids? An Indicator of the Physicochemical Properties. J. Phys. Chem. B 2006, 110, 19593–19600. [Google Scholar] [CrossRef] [PubMed]
- Jin, H.; O’Hare, B.; Dong, J.; Arzhantsev, S.; Baker, G.A.; Wishart, J.F.; Benesi, A.J.; Maroncelli, M. Physical Properties of Ionic Liquids Consisting of the 1-Butyl-3-Methylimidazolium Cation with Various Anions and the Bis(trifluoromethylsulfonyl)imide Anion with Various Cations. J. Phys. Chem. B 2008, 112, 81–92. [Google Scholar] [CrossRef]
- Chen, H.; Chen, X.; Deng, J.; Zheng, J. Isotropic ordering of ions in ionic liquids on the sub-nanometer scale. Chem. Sci. 2018, 9, 1464–1472. [Google Scholar] [CrossRef]
- Dong, K.; Song, Y.; Liu, X.; Cheng, W.; Yao, X.; Zhang, S. Understanding Structures and Hydrogen Bonds of Ionic Liquids at the Electronic Level. J. Phys. Chem. B 2012, 116, 1007–1017. [Google Scholar] [CrossRef]
- Wang, Y.-L.; Li, B.; Sarman, S.; Mocci, F.; Lu, Z.-Y.; Yuan, J.; Laaksonen, A.; Fayer, M.D. Microstructural and Dynamical Heterogeneities in Ionic Liquids. Chem. Rev. 2020, 120, 5798–5877. [Google Scholar] [CrossRef]
- Urahata, S.M.; Ribeiro, M.C.C. Structure of ionic liquids of 1-alkyl-3-methylimidazolium cations: A systematic computer simulation study. J. Chem. Phys. 2004, 120, 1855–1863. [Google Scholar] [CrossRef] [PubMed]
- Wang, Y.; Voth, G.A. Unique spatial heterogeneity in ionic liquids. J. Am. Chem. Soc. 2005, 127, 12192–12193. [Google Scholar] [CrossRef]
- Wang, Y.; Jiang, W.; Voth, G.A. Spatial heterogeneity in ionic liquids. In ACS Symposium Series; American Chemical Society: Washington, DC, USA, 2007; Volume 975, pp. 272–307. [Google Scholar]
- Wang, Y.; Voth, G.A. Molecular dynamics simulations of polyglutamine aggregation using solvent-free multiscale coarse-grained models. J. Phys. Chem. B 2010, 114, 8735–8743. [Google Scholar] [CrossRef] [PubMed]
- Canongia Lopes, J.N.A.; Pádua, A.A.H. Nanostructural Organization in Ionic Liquids. J. Phys. Chem. B 2006, 110, 3330–3335. [Google Scholar] [CrossRef] [PubMed]
- Dibrov, S.M.; Kochi, J.K. Crystallographic view of fluidic structures for room-temperature ionic liquids: 1-butyl-3-methylimidazolium hexafluorophosphate. Acta Crystallogr. Sect. C Cryst. Struct. Commun. 2006, 62, 19–21. [Google Scholar] [CrossRef] [PubMed]
- Fuller, J.; Carlin, R.T.; De Long, H.C.; Haworth, D. Structure of 1-ethyl-3-methylimidazolium hexafluorophosphate: Model for room temperature molten salts. J. Chem. Soc. Chem. Commun. 1994, 299. [Google Scholar] [CrossRef]
- Triolo, A.; Russina, O.; Fazio, B.; Triolo, R.; Di Cola, E. Morphology of 1-alkyl-3-methylimidazolium hexafluorophosphate room temperature ionic liquids. Chem. Phys. Lett. 2008, 457, 362–365. [Google Scholar] [CrossRef]
- Triolo, A.; Russina, O.; Bleif, H.-J.; Di Cola, E. Nanoscale Segregation in Room Temperature Ionic Liquids. J. Phys. Chem. B 2007, 111, 4641–4644. [Google Scholar] [CrossRef]
- Hardacre, C.; Holbrey, J.D.; Mullan, C.L.; Youngs, T.G.A.; Bowron, D.T. Small angle neutron scattering from 1-alkyl-3-methylimidazolium hexafluorophosphate ionic liquids ([Cnmim][PF6], n=4, 6, and 8). J. Chem. Phys. 2010, 133, 074510. [Google Scholar] [CrossRef]
- Gordon, C.M.; Holbrey, J.D.; Kennedy, A.R.; Seddon, K.R. Ionic liquid crystals: Hexafluorophosphate salts. J. Mater. Chem. 1998, 8, 2627–2636. [Google Scholar] [CrossRef]
- Dupont, J. From Molten Salts to Ionic Liquids: A “Nano” Journey. Acc. Chem. Res. 2011, 44, 1223–1231. [Google Scholar] [CrossRef] [PubMed]
- Zanatta, M.; dos Santos, F.P.; Biehl, C.; Marin, G.; Ebeling, G.; Netz, P.A.; Dupont, J. Organocatalytic Imidazolium Ionic Liquids H/D Exchange Catalysts. J. Org. Chem. 2017, 82, 2622–2629. [Google Scholar] [CrossRef] [PubMed]
- Schulz, P.S.; Müller, N.; Bösmann, A.; Wasserscheid, P. Effective Chirality Transfer in Ionic Liquids through Ion-Pairing Effects. Angew. Chem. Int. Ed. 2007, 46, 1293–1295. [Google Scholar] [CrossRef] [PubMed]
- Zanatta, M.; Simon, N.M.; dos Santos, F.P.; Corvo, M.C.; Cabrita, E.J.; Dupont, J. Correspondence on “Preorganization and Cooperation for Highly Efficient and Reversible Capture of Low-Concentration CO2 by Ionic Liquids. ” Angew. Chem. Int. Ed. 2019, 58, 382–385. [Google Scholar] [CrossRef] [PubMed]
- Simon, N.M.; Zanatta, M.; dos Santos, F.P.; Corvo, M.C.; Cabrita, E.J.; Dupont, J. Carbon Dioxide Capture by Aqueous Ionic Liquid Solutions. ChemSusChem 2017, 10. [Google Scholar] [CrossRef] [PubMed]
- Anderson, J.L.; Armstrong, D.W. High-Stability Ionic Liquids. A New Class of Stationary Phases for Gas Chromatography. Anal. Chem. 2003, 75, 4851–4858. [Google Scholar] [CrossRef] [PubMed]
- Jin, X.; Yu, H.; Ma, Y. Reversed-phase ion-pair chromatography of hydroxyl functionalized imidazolium ionic liquid cations and its application in analysis of environmental water and measurement of hydrophobicity constants. Microchem. J. 2019, 145, 988–995. [Google Scholar] [CrossRef]
- Bhattacharjee, A.; Varanda, C.; Freire, M.G.; Matted, S.; Santos, L.M.N.B.F.; Marrucho, I.M.; Coutinho, J.A.P. Density and Viscosity Data for Binary Mixtures of 1-Alkyl-3-methylimidazolium Alkylsulfates + Water. J. Chem. Eng. Data 2012, 57, 3473–3482. [Google Scholar] [CrossRef]
- Gaciño, F.M.; Regueira, T.; Lugo, L.; Comuñas, M.J.P.; Fernández, J. Influence of Molecular Structure on Densities and Viscosities of Several Ionic Liquids. J. Chem. Eng. Data 2011, 56, 4984–4999. [Google Scholar] [CrossRef]
- Jarosik, A.; Krajewski, S.R.; Lewandowski, A.; Radzimski, P. Conductivity of ionic liquids in mixtures. J. Mol. Liq. 2006, 123, 43–50. [Google Scholar] [CrossRef]
- Boruń, A. Conductance and ionic association of selected imidazolium ionic liquids in various solvents: A review. J. Mol. Liq. 2019, 276, 214–224. [Google Scholar] [CrossRef]
- Marcus, Y.; Hefter, G. Ion Pairing. Chem. Rev. 2006, 106, 4585–4621. [Google Scholar] [CrossRef]
- Hollóczki, O.; Malberg, F.; Welton, T.; Kirchner, B. On the origin of ionicity in ionic liquids. Ion pairing versus charge transfer. Phys. Chem. Chem. Phys. 2014, 16, 16880–16890. [Google Scholar] [CrossRef] [PubMed]
- MacFarlane, D.R.; Forsyth, M.; Izgorodina, E.I.; Abbott, A.P.; Annat, G.; Fraser, K. On the concept of ionicity in ionic liquids. Phys. Chem. Chem. Phys. 2009, 11, 4962. [Google Scholar] [CrossRef]
- Ueno, K.; Tokuda, H.; Watanabe, M. Ionicity in ionic liquids: Correlation with ionic structure and physicochemical properties. Phys. Chem. Chem. Phys. 2010, 12, 1649. [Google Scholar] [CrossRef]
- Cláudio, A.F.M.; Swift, L.; Hallett, J.P.; Welton, T.; Coutinho, J.A.P.; Freire, M.G. Extended scale for the hydrogen-bond basicity of ionic liquids. Phys. Chem. Chem. Phys. 2014, 16, 6593. [Google Scholar] [CrossRef]
- Ab Rani, M.A.; Brant, A.; Crowhurst, L.; Dolan, A.; Lui, M.; Hassan, N.H.; Hallett, J.P.; Hunt, P.A.; Niedermeyer, H.; Perez-Arlandis, J.M.; et al. Understanding the polarity of ionic liquids. Phys. Chem. Chem. Phys. 2011, 13, 16831. [Google Scholar] [CrossRef] [PubMed]
- Kirchner, B.; Malberg, F.; Firaha, D.S.; Hollóczki, O. Ion pairing in ionic liquids. J. Phys. Condens. Matter 2015, 27. [Google Scholar] [CrossRef] [PubMed]
- Del Pópolo, M.G.; Voth, G.A. On the Structure and Dynamics of Ionic Liquids. J. Phys. Chem. B 2004, 108, 1744–1752. [Google Scholar] [CrossRef]
- Zhao, W.; Leroy, F.; Heggen, B.; Zahn, S.; Kirchner, B.; Balasubramanian, S.; Müller-Plathe, F. Are There Stable Ion-Pairs in Room-Temperature Ionic Liquids? Molecular Dynamics Simulations of 1-n-Butyl-3-methylimidazolium Hexafluorophosphate. J. Am. Chem. Soc. 2009, 131, 15825–15833. [Google Scholar] [CrossRef]
- Zhang, Y.; Maginn, E.J. Direct Correlation between Ionic Liquid Transport Properties and Ion Pair Lifetimes: A Molecular Dynamics Study. J. Phys. Chem. Lett. 2015, 6, 700–705. [Google Scholar] [CrossRef] [PubMed]
- Fumino, K.; Stange, P.; Fossog, V.; Hempelmann, R.; Ludwig, R. Equilibrium of contact and solvent-separated ion pairs in mixtures of protic ionic liquids and molecular solvents controlled by polarity. Angew. Chem. Int. Ed. 2013, 52, 12439–12442. [Google Scholar] [CrossRef]
- Stassen, H.K.; Ludwig, R.; Wulf, A.; Dupont, J. Imidazolium salt ion Pairs in solution. Chem. Eur. J. 2015, 21, 8324–8335. [Google Scholar] [CrossRef]
- Gabl, S.; Steinhauser, O.; Weingärtner, H. From Short-Range to Long-Range Intermolecular NOEs in Ionic Liquids: Frequency Does Matter. Angew. Chem. Int. Ed. 2013, 52, 9242–9246. [Google Scholar] [CrossRef] [PubMed]
- Corvo, M.C.; Sardinha, J.; Menezes, S.C.; Einloft, S.; Seferin, M.; Dupont, J.; Casimiro, T.; Cabrita, E.J. Solvation of carbon dioxide in [c4mim][bf4] and [c4mim][pf6] ionic liquids revealed by high-pressure NMR spectroscopy. Angew. Chem. Int. Ed. 2013, 52, 13024–13027. [Google Scholar] [CrossRef] [PubMed]
- Martin, P.-A.; Salager, E.; Forsyth, M.; O’Dell, L.A.; Deschamps, M. On the measurement of intermolecular heteronuclear cross relaxation rates in ionic liquids. Phys. Chem. Chem. Phys. 2018, 20, 13357–13364. [Google Scholar] [CrossRef]
- Hu, X.; Lin, Q.; Gao, J.; Wu, Y.; Zhang, Z. Anion-cation and ion-solvent interaction of some typical ionic liquids in solvents with different dielectric constant. Chem. Phys. Lett. 2011, 516, 35–39. [Google Scholar] [CrossRef]
- Slattery, J.M.; Daguenet, C.; Dyson, P.J.; Schubert, T.J.S.; Krossing, I. How to Predict the Physical Properties of Ionic Liquids: A Volume-Based Approach. Angew. Chem. Int. Ed. 2007, 46, 5384–5388. [Google Scholar] [CrossRef]
- Ye, C.; Shreeve, J.M. Rapid and Accurate Estimation of Densities of Room-Temperature Ionic Liquids and Salts. J. Phys. Chem. A 2007, 111, 1456–1461. [Google Scholar] [CrossRef]
- Lei, Z.; Dai, C.; Chen, B. Gas Solubility in Ionic Liquids. Chem. Rev. 2014, 114, 1289–1326. [Google Scholar] [CrossRef]
- Yu, Y.; Bejan, D.; Krause-Rehberg, R. Free volume investigation of imidazolium ionic liquids from positron lifetime spectroscopy. Fluid Phase Equilib. 2014, 363, 48–54. [Google Scholar] [CrossRef]
- Beichel, W.; Eiden, P.; Krossing, I. Establishing Consistent van der Waals Volumes of Polyatomic Ions from Crystal Structures. ChemPhysChem 2013, 14, 3221–3226. [Google Scholar] [CrossRef]
- Brooks, N.J.; Castiglione, F.; Doherty, C.M.; Dolan, A.; Hill, A.J.; Hunt, P.A.; Matthews, R.P.; Mauri, M.; Mele, A.; Simonutti, R.; et al. Linking the structures, free volumes, and properties of ionic liquid mixtures. Chem. Sci. 2017, 8, 6359–6374. [Google Scholar] [CrossRef]
- Guerrieri, Y.; Valverde, K.; Nunes Costa, G.M.; Embiruu, M. A Survey of Equations of State for Polymers. In Polymerization; InTech: Rijeka, Croatia, 2012; Volume i, pp. 357–402. [Google Scholar]
- Sanchez, I.C.; Lacombe, R.H. Statistical Thermodynamics of Polymer Solutions. Macromolecules 1978, 11, 1145–1156. [Google Scholar] [CrossRef]
- Esperança, J.M.S.S.; Guedes, H.J.R.; Blesic, M.; Rebelo, L.P.N. Densities and Derived Thermodynamic Properties of Ionic Liquids. 3. Phosphonium-Based Ionic Liquids over an Extended Pressure Range. J. Chem. Eng. Data 2006, 51, 237–242. [Google Scholar] [CrossRef]
- Gonçalves, F.A.M.M.; Costa, C.S.M.F.; Ferreira, C.E.; Bernardo, J.C.S.; Johnson, I.; Fonseca, I.M.A.; Ferreira, A.G.M. Pressure-volume-temperature measurements of phosphonium-based ionic liquids and analysis with simple equations of state. J. Chem. Thermodyn. 2011, 43, 914–929. [Google Scholar] [CrossRef]
- Machida, H.; Sato, Y.; Smith, R.L. Pressure-volume-temperature (PVT) measurements of ionic liquids ([bmim+][PF6−], [bmim+][BF4−], [bmim+][OcSO4−]) and analysis with the Sanchez–Lacombe equation of state. Fluid Phase Equilib. 2008, 264, 147–155. [Google Scholar] [CrossRef]
- Tomé, L.I.N.; Gardas, R.L.; Carvalho, P.J.; Pastoriza-Gallego, M.J.; Piñeiro, M.M.; Coutinho, J.A.P. Measurements and Correlation of High-Pressure Densities of Phosphonium Based Ionic Liquids. J. Chem. Eng. Data 2011, 56, 2205–2217. [Google Scholar] [CrossRef]
- Shannon, M.S.; Tedstone, J.M.; Danielsen, S.P.O.; Hindman, M.S.; Irvin, A.C.; Bara, J.E. Free Volume as the Basis of Gas Solubility and Selectivity in Imidazolium-Based Ionic Liquids. Ind. Eng. Chem. Res. 2012, 51, 5565–5576. [Google Scholar] [CrossRef]
- Doolittle, A.K. Studies in Newtonian Flow. II. The Dependence of the Viscosity of Liquids on Free-Space. J. Appl. Phys. 1951, 22, 1471–1475. [Google Scholar] [CrossRef]
- Cohen, M.H.; Turnbull, D. Molecular Transport in Liquids and Glasses. J. Chem. Phys. 1959, 31, 1164–1169. [Google Scholar] [CrossRef]
- Turnbull, D.; Cohen, M.H. On the Free-Volume Model of the Liquid-Glass Transition. J. Chem. Phys. 1970, 52, 3038–3041. [Google Scholar] [CrossRef]
- Turnbull, D.; Cohen, M.H. Free-volume model of the amorphous phase: Glass transition. J. Chem. Phys. 1961, 34, 120–125. [Google Scholar] [CrossRef]
- Cohen, M.H.; Grest, G.S. Liquid-glass transition, a free-volume approach. Phys. Rev. B 1979, 20, 1077–1098. [Google Scholar] [CrossRef]
- Macedo, P.B.; Litovitz, T.A. On the Relative Roles of Free Volume and Activation Energy in the Viscosity of Liquids. J. Chem. Phys. 1965, 42, 245–256. [Google Scholar] [CrossRef]
- Miller, A.A. “Free Volume” and the Viscosity of Liquid Water. J. Chem. Phys. 1963, 38, 1568–1571. [Google Scholar] [CrossRef]
- Viswanathan, B. Microscopic, Spectroscopic, and Physical Techniques. In Encyclopedia of Materials: Science and Technology; Elsevier: Amsterdam, The Netherlands, 2001; pp. 5661–5666. ISBN 9780080431529. [Google Scholar]
- Ismail, A.F.; Khulbe, K.C.; Matsuura, T. RO Membrane Characterization. In Reverse Osmosis; Elsevier: Amsterdam, The Netherlands, 2019; pp. 57–90. ISBN 9780128114681. [Google Scholar]
- Yu, Y.; Beichel, W.; Dlubek, G.; Krause-Rehberg, R.; Paluch, M.; Pionteck, J.; Pfefferkorn, D.; Bulut, S.; Friedrich, C.; Pogodina, N.; et al. Free volume and phase transitions of 1-butyl-3-methylimidazolium based ionic liquids from positron lifetime spectroscopy. Phys. Chem. Chem. Phys. 2012, 14, 6856. [Google Scholar] [CrossRef] [PubMed]
- Urahata, S.M.; Ribeiro, M.C.C. Single particle dynamics in ionic liquids of 1-alkyl-3-methylimidazolium cations. J. Chem. Phys. 2005, 122, 024511. [Google Scholar] [CrossRef]
- Liu, H.; Maginn, E. A molecular dynamics investigation of the structural and dynamic properties of the ionic liquid 1-n-butyl-3-methylimidazolium bis(trifluoromethanesulfonyl)imide. J. Chem. Phys. 2011, 135, 124507. [Google Scholar] [CrossRef]
- Merunka, D.; Peric, M. An analysis of radical diffusion in ionic liquids in terms of free volume theory. J. Chem. Phys. 2020, 152, 024502. [Google Scholar] [CrossRef]
- Zanatta, M.; Antunes, V.U.; Tormena, C.F.; Dupont, J.; Dos Santos, F.P. Dealing with supramolecular structure for ionic liquids: A DOSY NMR approach. Phys. Chem. Chem. Phys. 2019, 21, 2567–2571. [Google Scholar] [CrossRef]
- Cascão, J.; Silva, W.; Ferreira, A.S.D.; Cabrita, E.J. Ion pair and solvation dynamics of [Bmim][BF4] + water system. Magn. Reson. Chem. 2018, 56, 127–139. [Google Scholar] [CrossRef]
- Weber, C.C.; Brooks, N.J.; Castiglione, F.; Mauri, M.; Simonutti, R.; Mele, A.; Welton, T. On the structural origin of free volume in 1-alkyl-3-methylimidazolium ionic liquid mixtures: A SAXS and 129 Xe NMR study. Phys. Chem. Chem. Phys. 2019, 21, 5999–6010. [Google Scholar] [CrossRef]
- Morgado, P.; Shimizu, K.; Esperança, J.M.S.S.; Reis, P.M.; Rebelo, L.P.N.; Canongia Lopes, J.N.; Filipe, E.J.M. Using 129 Xe NMR to Probe the Structure of Ionic Liquids. J. Phys. Chem. Lett. 2013, 4, 2758–2762. [Google Scholar] [CrossRef]
- Castiglione, F.; Simonutti, R.; Mauri, M.; Mele, A. Cage-Like Local Structure of Ionic Liquids Revealed by a 129 Xe Chemical Shift. J. Phys. Chem. Lett. 2013, 4, 1608–1612. [Google Scholar] [CrossRef] [PubMed]
- Saielli, G.; Bagno, A.; Castiglione, F.; Simonutti, R.; Mauri, M.; Mele, A. Understanding Cage Effects in Imidazolium Ionic Liquids by 129 Xe NMR: MD Simulations and Relativistic DFT Calculations. J. Phys. Chem. B 2014, 118, 13963–13968. [Google Scholar] [CrossRef]
- Bryant, R.G. The NMR time scale. J. Chem. Educ. 1983, 60, 933. [Google Scholar] [CrossRef]
- Dong, Q.; Muzny, C.D.; Kazakov, A.; Diky, V.; Magee, J.W.; Widegren, J.A.; Chirico, R.D.; Marsh, K.N.; Frenkel, M. ILThermo: A Free-Access Web Database for Thermodynamic Properties of Ionic Liquids †. J. Chem. Eng. Data 2007, 52, 1151–1159. [Google Scholar] [CrossRef]
- Di Francesco, F.; Calisi, N.; Creatini, M.; Melai, B.; Salvo, P.; Chiappe, C. Water sorption by anhydrous ionic liquids. Green Chem. 2011, 13, 1712. [Google Scholar] [CrossRef]
- Stevanovic, S.; Podgoršek, A.; Pádua, A.A.H.; Costa Gomes, M.F. Effect of Water on the Carbon Dioxide Absorption by 1-Alkyl-3-methylimidazolium Acetate Ionic Liquids. J. Phys. Chem. B 2012, 116, 14416–14425. [Google Scholar] [CrossRef] [PubMed]
- Zakrzewska, M.E.; Nunes da Ponte, M. Influence of Water on the Carbon Dioxide Solubility in [OTf]- and [eFAP]-Based Ionic Liquids. J. Chem. Eng. Data 2018, 63, 907–912. [Google Scholar] [CrossRef]
- Dyson, P.J.; Ellis, D.J.; Welton, T. A temperature-controlled reversible ionic liquid-water two phase—Single phase protocol for hydrogenation catalysis. Can. J. Chem. 2001, 79, 705–708. [Google Scholar] [CrossRef]
- Yu, S.; Jain, P.K. Plasmonic photosynthesis of C1–C3 hydrocarbons from carbon dioxide assisted by an ionic liquid. Nat. Commun. 2019, 10, 2022. [Google Scholar] [CrossRef]
- Saihara, K.; Yoshimura, Y.; Ohta, S.; Shimizu, A. Properties of Water Confined in Ionic Liquids. Sci. Rep. 2015, 5, 10619. [Google Scholar] [CrossRef] [PubMed]
- Gao, J.; Wagner, N.J. Water Nanocluster Formation in the Ionic Liquid 1-Butyl-3-methylimidazolium Tetrafluoroborate ([C 4 mim][BF 4 ])–D 2 O Mixtures. Langmuir 2016, 32, 5078–5084. [Google Scholar] [CrossRef]
- Ma, C.; Laaksonen, A.; Liu, C.; Lu, X.; Ji, X. The peculiar effect of water on ionic liquids and deep eutectic solvents. Chem. Soc. Rev. 2018, 47, 8685–8720. [Google Scholar] [CrossRef] [PubMed]
- Foroutan, M.; Fatemi, S.M.; Esmaeilian, F. A review of the structure and dynamics of nanoconfined water and ionic liquids via molecular dynamics simulation. Eur. Phys. J. E 2017, 40, 19. [Google Scholar] [CrossRef]
- Podgoršek, A.; Jacquemin, J.; Pádua, A.A.H.; Costa Gomes, M.F. Mixing Enthalpy for Binary Mixtures Containing Ionic Liquids. Chem. Rev. 2016, 116, 6075–6106. [Google Scholar] [CrossRef]
- Mahmood Fatemi, S.; Foroutan, M. Recent findings about ionic liquids mixtures obtained by molecular dynamics simulation. J. Nanostruct. Chem. 2015, 5, 243–253. [Google Scholar] [CrossRef]
- Troncoso, J. Isobaric Heat Capacity of Ionic Liquids in Aqueous Solutions. A Review. J. Chem. Eng. Data 2019, 64, 4611–4618. [Google Scholar] [CrossRef]
- Tariq, M.; Freire, M.G.; Saramago, B.; Coutinho, J.A.P.; Lopes, J.N.C.; Rebelo, L.P.N. Surface tension of ionic liquids and ionic liquid solutions. Chem. Soc. Rev. 2012, 41, 829–868. [Google Scholar] [CrossRef] [PubMed]
- Rilo, E.; Vila, J.; García-Garabal, S.; Varela, L.M.; Cabeza, O. Electrical Conductivity of Seven Binary Systems Containing 1-Ethyl-3-methyl Imidazolium Alkyl Sulfate Ionic Liquids with Water or Ethanol at Four Temperatures. J. Phys. Chem. B 2013, 117, 1411–1418. [Google Scholar] [CrossRef] [PubMed]
- Lemmon, E.W.; McLinden, M.O.; Friend, D.G. Thermophysical Properties of Fluid Systems. In NIST Chemistry Webbook; NIST Standard Reference Database No. 69; Linstrom, P.J., Mallard, W.G., Eds.; National Institute of Standards and Technology: Gaithersburg, MD, USA, 1998. [Google Scholar]
- Zhou, J.; Liu, X.; Zhang, S.; Zhang, X.; Yu, G. Effect of small amount of water on the dynamics properties and microstructures of ionic liquids. AIChE J. 2017, 63, 2248–2256. [Google Scholar] [CrossRef]
- Saielli, G. Computational NMR Spectroscopy of Ionic Liquids: [C4C1im]Cl/Water Mixtures. Molecules 2020, 25, 2085. [Google Scholar] [CrossRef]
- Voss, J.M.; Marsh, B.M.; Zhou, J.; Garand, E. Interaction between ionic liquid cation and water: Infrared predissociation study of [bmim] +·(H2O) n clusters. Phys. Chem. Chem. Phys. 2016, 18, 18905–18913. [Google Scholar] [CrossRef] [PubMed]
- Cammarata, L.; Kazarian, S.G.; Salter, P.A.; Welton, T. Molecular states of water in room temperature ionic liquids. Phys. Chem. Chem. Phys. 2001, 3, 5192–5200. [Google Scholar] [CrossRef]
- Varela, L.M.; Méndez-Morales, T.; Carrete, J.; Gómez-González, V.; Docampo-Álvarez, B.; Gallego, L.J.; Cabeza, O.; Russina, O. Solvation of molecular cosolvents and inorganic salts in ionic liquids: A review of molecular dynamics simulations. J. Mol. Liq. 2015, 210, 178–188. [Google Scholar] [CrossRef]
- Verma, A.; Stoppelman, J.P.; McDaniel, J.G. Tuning Water Networks via Ionic Liquid/Water Mixtures. Int. J. Mol. Sci. 2020, 21, 403. [Google Scholar] [CrossRef]
- Kobayashi, T.; Kemna, A.; Fyta, M.; Braunschweig, B.; Smiatek, J. Aqueous Mixtures of Room-Temperature Ionic Liquids: Entropy-Driven Accumulation of Water Molecules at Interfaces. J. Phys. Chem. C 2019, 123, 13795–13803. [Google Scholar] [CrossRef]
- Kaneko, K.; Saihara, K.; Masuda, Y.; Yoshimura, Y.; Shimizu, A. Dynamic properties of water molecules in ionic liquid/water mixture with various alkyl chain length. J. Mol. Liq. 2018, 264, 337–342. [Google Scholar] [CrossRef]
- Nanda, R.; Damodaran, K. A review of NMR methods used in the study of the structure and dynamics of ionic liquids. Magn. Reson. Chem. 2018, 56, 62–72. [Google Scholar] [CrossRef] [PubMed]
- Murgia, S.; Monduzzi, M.; Lopez, F.; Palazzo, G. Mesoscopic Structure in Mixtures of Water and 1-Butyl-3-methyl imidazolium tetrafluoborate: A Multinuclear NMR Study. J. Solut. Chem. 2013, 42, 1111–1122. [Google Scholar] [CrossRef]
- Bystrov, S.S.; Matveev, V.V.; Egorov, A.V.; Chernyshev, Y.S.; Konovalov, V.A.; Balevičius, V.; Chizhik, V.I. Translational Diffusion in a Set of Imidazolium-Based Ionic Liquids [bmim] + A—And Their Mixtures with Water. J. Phys. Chem. B 2019, 123, 9187–9197. [Google Scholar] [CrossRef] [PubMed]
- Abe, H.; Takekiyo, T.; Yoshimura, Y.; Shimizu, A. Static and dynamic properties of nano-confined water in room-temperature ionic liquids. J. Mol. Liq. 2019, 290, 111216. [Google Scholar] [CrossRef]
- Almásy, L.; Turmine, M.; Perera, A. Structure of Aqueous Solutions of Ionic Liquid 1-Butyl-3-methylimidazolium Tetrafluoroborate by Small-Angle Neutron Scattering. J. Phys. Chem. B 2008, 112, 2382–2387. [Google Scholar] [CrossRef]
- Jeon, Y.; Sung, J.; Seo, C.; Lim, H.; Cheong, H.; Kang, M.; Moon, B.; Ouchi, Y.; Kim, D. Structures of Ionic Liquids with Different Anions Studied by Infrared Vibration Spectroscopy. J. Phys. Chem. B 2008, 112, 4735–4740. [Google Scholar] [CrossRef]
- Yoshimura, Y.; Mori, T.; Kaneko, K.; Nogami, K.; Takekiyo, T.; Masuda, Y.; Shimizu, A. Confirmation of local water structure confined in ionic liquids using H/D exchange. J. Mol. Liq. 2019, 286. [Google Scholar] [CrossRef]
- Dominguez-Vidal, A.; Kaun, N.; Ayora-Cañada, M.J.; Lendl, B. Probing Intermolecular Interactions in Water/Ionic Liquid Mixtures by Far-infrared Spectroscopy. J. Phys. Chem. B 2007, 111, 4446–4452. [Google Scholar] [CrossRef] [PubMed]
- Kausteklis, J.; Talaikis, M.; Aleksa, V.; Balevičius, V. Raman spectroscopy study of water confinement in ionic liquid 1-butyl-3-methylimidzolium nitrate. J. Mol. Liq. 2018, 271, 747–755. [Google Scholar] [CrossRef]
- Wang, T.-H.; Wu, M.-S.; Chang, H.-C. Characterization of Local Structures of Confined Imidazolium Ionic Liquids in PVdF-co-HFP Matrices by High Pressure Infrared Spectroscopy. Nanomaterials 2020, 10, 1973. [Google Scholar] [CrossRef]
- Hanke, C.G.; Lynden-Bell, R.M. A Simulation Study of Water−Dialkylimidazolium Ionic Liquid Mixtures. J. Phys. Chem. B 2003, 107, 10873–10878. [Google Scholar] [CrossRef]
- Hanke, C.G.; Price, S.L.; Lynden-Bell, R.M. Intermolecular potentials for simulations of liquid imidazolium salts. Mol. Phys. 2001, 99, 801–809. [Google Scholar] [CrossRef]
- Shah, J.K.; Maginn, E.J. Monte Carlo Simulations of Gas Solubility in the Ionic Liquid 1-n-Butyl-3-methylimidazolium Hexafluorophosphate. J. Phys. Chem. B 2005, 109, 10395–10405. [Google Scholar] [CrossRef] [PubMed]
- Morrow, T.I.; Maginn, E.J. Molecular Dynamics Study of the Ionic Liquid 1-n-Butyl-3-methylimidazolium Hexafluorophosphate. J. Phys. Chem. B 2002, 106, 12807–12813. [Google Scholar] [CrossRef]
- Koishi, T. Molecular Dynamics Study of the Effect of Water on Hydrophilic and Hydrophobic Ionic Liquids. J. Phys. Chem. B 2018, 122, 12342–12350. [Google Scholar] [CrossRef]
- Dhakal, P.; Shah, J.K. Recent advances in molecular simulations of ionic liquid–ionic liquid mixtures. Curr. Opin. Green Sustain. Chem. 2019, 18, 90–97. [Google Scholar] [CrossRef]
- Kirchner, B. Ionic Liquids from Theoretical Investigations. In Ionic Liquids; Kirchner, B., Ed.; Springer: Berlin/Heidelberg, Germany, 2008; pp. 213–262. ISBN 978-3-642-01780-3. [Google Scholar]
- Wang, Y.; Li, H.; Han, S. A Theoretical Investigation of the Interactions between Water Molecules and Ionic Liquids. J. Phys. Chem. B 2006, 110, 24646–24651. [Google Scholar] [CrossRef]
- Bernardes, C.E.S.; Minas da Piedade, M.E.; Canongia Lopes, J.N. The Structure of Aqueous Solutions of a Hydrophilic Ionic Liquid: The Full Concentration Range of 1-Ethyl-3-methylimidazolium Ethylsulfate and Water. J. Phys. Chem. B 2011, 115, 2067–2074. [Google Scholar] [CrossRef]
- Méndez-Morales, T.; Carrete, J.; Cabeza, O.; Gallego, L.J.; Varela, L.M. Molecular Dynamics Simulation of the Structure and Dynamics of Water–1-Alkyl-3-methylimidazolium Ionic Liquid Mixtures. J. Phys. Chem. B 2011, 115, 6995–7008. [Google Scholar] [CrossRef]
- Abe, H.; Takekiyo, T.; Yoshimura, Y.; Saihara, K.; Shimizu, A. Anomalous Freezing of Nano-Confined Water in Room-Temperature Ionic Liquid 1-Butyl-3-Methylimidazolium Nitrate. ChemPhysChem 2016, 17, 1136–1142. [Google Scholar] [CrossRef]
- Abe, H.; Takekiyo, T.; Shigemi, M.; Yoshimura, Y.; Tsuge, S.; Hanasaki, T.; Ohishi, K.; Takata, S.; Suzuki, J. Direct Evidence of Confined Water in Room-Temperature Ionic Liquids by Complementary Use of Small-Angle X-ray and Neutron Scattering. J. Phys. Chem. Lett. 2014, 5, 1175–1180. [Google Scholar] [CrossRef] [PubMed]
- Abe, H.; Takekiyo, T.; Shigemi, M.; Yoshimura, Y.; Tsuge, S.; Hanasaki, T.; Ohishi, K.; Takata, S.; Suzuki, J. Size-tunable Confined Water in a Room Temperature Ionic Liquid. In Proceedings of the 2nd International Symposium on Science at J-PARC—Unlocking the Mysteries of Life, Matter and the Universe, Tsukuba, Japan, 12–15 July 2014. [Google Scholar] [CrossRef]
- Moreno, M.; Castiglione, F.; Mele, A.; Pasqui, C.; Raos, G. Interaction of Water with the Model Ionic Liquid [bmim][BF 4 ]: Molecular Dynamics Simulations and Comparison with NMR Data. J. Phys. Chem. B 2008, 112, 7826–7836. [Google Scholar] [CrossRef] [PubMed]
- Rollet, A.-L.; Porion, P.; Vaultier, M.; Billard, I.; Deschamps, M.; Bessada, C.; Jouvensal, L. Anomalous Diffusion of Water in [BMIM][TFSI] Room-Temperature Ionic Liquid. J. Phys. Chem. B 2007, 111, 11888–11891. [Google Scholar] [CrossRef] [PubMed]
























| Entry | [Anion]− Group | [Cation]+ | Vionpair (nm3) [a] |
|---|---|---|---|
| 1 | [NTF2] | [C2mim] | 0.388 |
| 2 | [C3mim] | 0.410 | |
| 3 | [C4mim] | 0.428 | |
| 4 | [C5mim] | 0.451 | |
| 5 | [C4mmim] | 0.461 | |
| 6 | [C4NMe3] | 0.430 | |
| 7 | [C4mpyr] | 0.453 | |
| 8 | [C5mpyr] | 0.470 | |
| 9 | [C5NEt3] | 0.500 | |
| 10 | [SEt3] | 0.409 | |
| 11 | [bpy] | 0.430 | |
| 12 | [MeSPh2] | 0.500 | |
| 13 | [BF4] | [C4mim] | 0.269 |
| 14 | [C6mim] | 0.315 | |
| 15 | [C8mim] | 0.361 | |
| 16 | [PF6] | [C4mim] | 0.305 |
| 17 | [C6mim] | 0.351 | |
| 18 | [C8mim] | 0.397 | |
| 19 | [DCA] | [C2mim] | 0.240 |
| 20 | [C4mim] | 0.267 | |
| 21 | [C4mpyr] | 0.295 |
| Entry | [X]− | |||||
|---|---|---|---|---|---|---|
| 1 | [Cl] | 238 | 2.50 | 253 | 69.8 | 251 |
| 2 | [BF4] | 276 | 9.88 | 281 | 9.8 | 274 |
| 3 | [PF6] | 308 | 10.56 | 315 | 9.7 | 308 |
| 4 | [OTF] | 323 | 6.13 | 333 | 8.0 | 324 |
| 5 | [NTF2] | 430 | 7.16 | 432 | 6.4 | 423 |
| 6 | [B(hfip)4] | 753 | 15.44 | 879 | 0.8 | 839 |
| Entry | ILs | γV * [a]/Å3 | γV * [b]/Å3 | |||
|---|---|---|---|---|---|---|
| 1 | [C2mim][BF4] | 41.8 | 264 ± 20 | 245.9 ± 3.4 | 272 ± 21 | 253.3 ± 3.5 |
| 2 | [C4mim][BF4] | 39.1 | 371 ± 35 | 302.4 ± 4.2 | 579 ± 47 | 321.1 ± 3.6 |
| 3 | [C6mim][BF4] | 39.4 | 214 ± 14 | 313.2 ± 3.2 | 153.1 ± 7.2 | 295.4 ± 2.2 |
| 4 | [C8mim][BF4] | 40.6 | 68.9 ± 0.9 | 294.4 ± 0.6 | 85.4 ± 1.6 | 296.1 ± 0.9 |
| 5 | [C2mim][NTF2] | 58.0 | 94.6 ± 3.6 | 296.6 ± 2.6 | 74.9 ± 2.4 | 315.4 ± 2.2 |
| 6 | [C4mim][NTF2] | 59.6 | 103.5 ± 4.8 | 352.3 ± 3.2 | 97.6 ± 4.1 | 364.3 ± 3.0 |
| 7 | [C6mim][NTF2] | 60.7 | 83.3 ± 2.1 | 370.4 ± 1.8 | 75.8 ± 2.1 | 373.3 ± 2.0 |
| 8 | [C8mim][NTF2] | 61.2 | 57.2 ± 0.5 | 370.6 ± 0.7 | 57.1 ± 0.5 | 373.3 ± 0.6 |
Publisher’s Note: MDPI stays neutral with regard to jurisdictional claims in published maps and institutional affiliations. |
© 2020 by the authors. Licensee MDPI, Basel, Switzerland. This article is an open access article distributed under the terms and conditions of the Creative Commons Attribution (CC BY) license (http://creativecommons.org/licenses/by/4.0/).
Share and Cite
Silva, W.; Zanatta, M.; Ferreira, A.S.; Corvo, M.C.; Cabrita, E.J. Revisiting Ionic Liquid Structure-Property Relationship: A Critical Analysis. Int. J. Mol. Sci. 2020, 21, 7745. https://doi.org/10.3390/ijms21207745
Silva W, Zanatta M, Ferreira AS, Corvo MC, Cabrita EJ. Revisiting Ionic Liquid Structure-Property Relationship: A Critical Analysis. International Journal of Molecular Sciences. 2020; 21(20):7745. https://doi.org/10.3390/ijms21207745
Chicago/Turabian StyleSilva, Wagner, Marcileia Zanatta, Ana Sofia Ferreira, Marta C. Corvo, and Eurico J. Cabrita. 2020. "Revisiting Ionic Liquid Structure-Property Relationship: A Critical Analysis" International Journal of Molecular Sciences 21, no. 20: 7745. https://doi.org/10.3390/ijms21207745
APA StyleSilva, W., Zanatta, M., Ferreira, A. S., Corvo, M. C., & Cabrita, E. J. (2020). Revisiting Ionic Liquid Structure-Property Relationship: A Critical Analysis. International Journal of Molecular Sciences, 21(20), 7745. https://doi.org/10.3390/ijms21207745

