Tuning Water Networks via Ionic Liquid/Water Mixtures
Abstract
1. Introduction
2. Methods
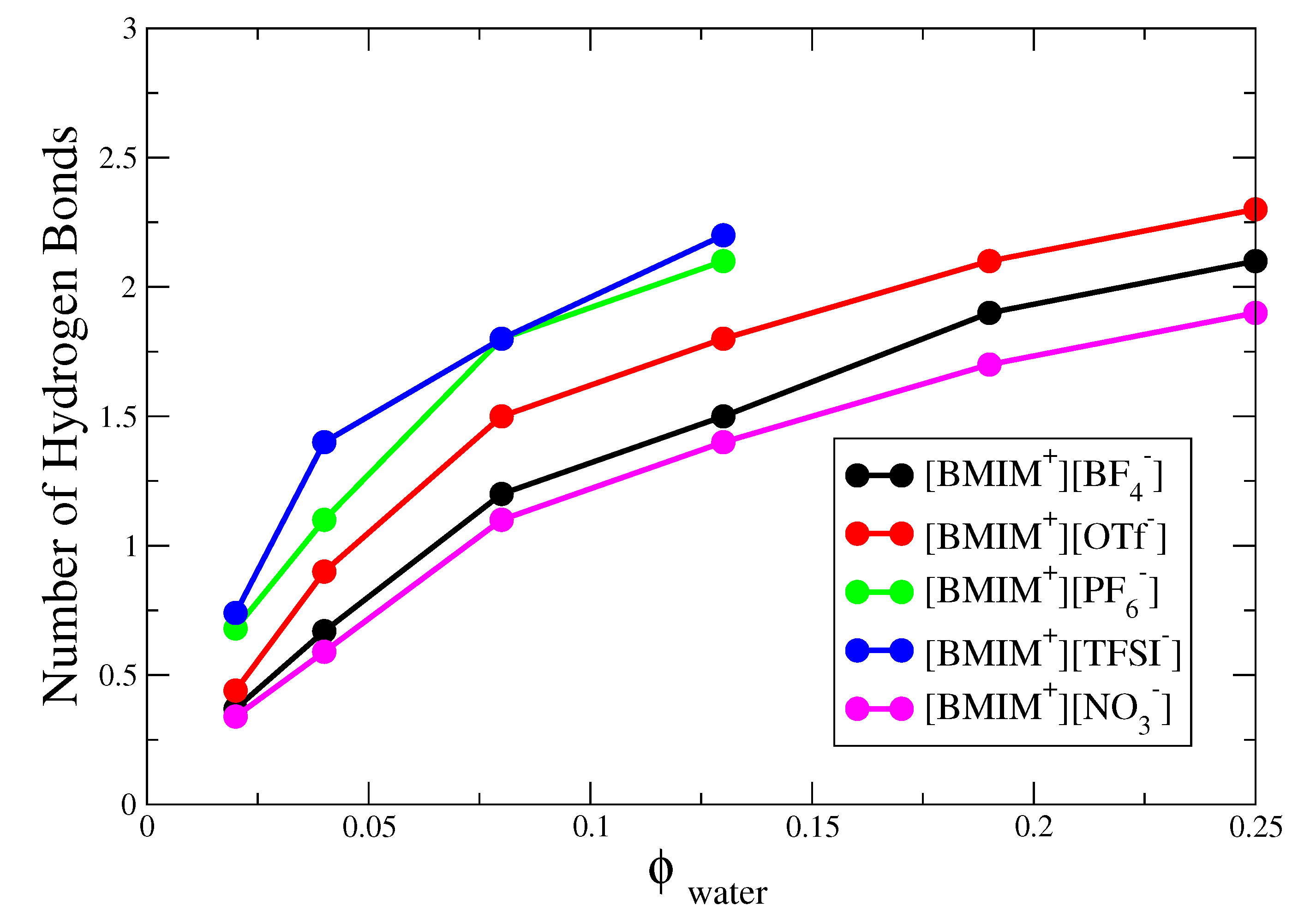
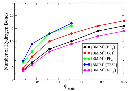
3. Results and Discussion
4. Conclusions
Supplementary Materials
Author Contributions
Funding
Acknowledgments
Conflicts of Interest
References
- Chandler, D. Interfaces and the Driving Force of Hydrophobic Assembly. Nature 2005, 437, 640–647. [Google Scholar] [CrossRef]
- Nandi, N.; Bhattacharyya, K.; Bagchi, B. Dielectric Relaxation and Solvation Dynamics of Water in Complex Chemical and Biological Systems. Chem. Rev. 2000, 100, 2013–2046. [Google Scholar] [CrossRef]
- Mauritz, K.A.; Moore, R.B. State of Understanding of Nafion. Chem. Rev. 2004, 104, 4535–4586. [Google Scholar] [CrossRef]
- Rasaiah, J.C.; Garde, S.; Hummer, G. Water in Nonpolar Confinement: From Nanotubes to Proteins and Beyond. Annu. Rev. Phys. Chem. 2008, 59, 713–740. [Google Scholar] [CrossRef]
- Fayer, M.D.; Levinger, N.E. Analysis of Water in Confined Geometries and at Interfaces. Annu. Rev. Anal. Chem. 2010, 3, 89–107. [Google Scholar] [CrossRef]
- Berkowitz, M.L.; Vacha, R. Aqueous Solutions at the Interface with Phospholipid Bilayers. Acc. Chem. Res. 2012, 45, 74–82. [Google Scholar] [CrossRef]
- Nihonyanagi, S.; Mondal, J.A.; Yamaguchi, S.; Tahara, T. Structure and Dynamics of Interfacial Water Studied by Heterodyne-Detected Vibrational Sum-Frequency Generation. Annu. Rev. Phys. Chem. 2013, 64, 579–603. [Google Scholar] [CrossRef]
- Cerveny, S.; Mallamace, F.; Swenson, J.; Vogel, M.; Xu, L. Confined Water as Model of Supercooled Water. Chem. Rev. 2016, 116, 7608–7625. [Google Scholar] [CrossRef]
- Kraytsberg, A.; Ein-Eli, Y. Review of Advanced Materials for Proton Exchange Membrane Fuel Cells. Energy Fuels 2014, 28, 7303–7330. [Google Scholar] [CrossRef]
- Berrod, Q.; Lyonnard, S.; Guillermo, A.; Ollivier, J.; Frick, B.; Manseri, A.; Améduri, B.; Gébel, G. Nanostructure and Transport Properties of Proton Conducting Self-Assembled Perfluorinated Surfactants: A Bottom-Up Approach toward PFSA Fuel Cell Membranes. Macromolecules 2015, 48, 6166–6176. [Google Scholar] [CrossRef]
- Agmon, N. The Grotthuss Mechanism. Chem. Phys. Lett. 1995, 244, 456–462. [Google Scholar] [CrossRef]
- Voth, G.A. Computer Simulation of Proton Solvation and Transport in Aqueous and Biomolecular Systems. Acc. Chem. Res. 2006, 39, 143–150. [Google Scholar] [CrossRef]
- Knight, C.; Voth, G.A. The Curious Case of the Hydrated Proton. Acc. Chem. Res. 2011, 45, 101–109. [Google Scholar] [CrossRef]
- Dellago, C.; Naor, M.M.; Hummer, G. Proton Transport through Water-Filled Carbon Nanotubes. Phys. Rev. Lett. 2003, 90, 105902. [Google Scholar] [CrossRef]
- Welton, T. Room-Temperature Ionic Liquids. Solvents for Synthesis and Catalysis. Chem. Rev. 1999, 99, 2071–2084. [Google Scholar] [CrossRef]
- Hallett, J.P.; Welton, T. Room-Temperature Ionic Liquids: Solvents for Synthesis and Catalysis. Chem. Rev. 2011, 111, 3508–3576. [Google Scholar] [CrossRef]
- Hayes, R.; Warr, G.G.; Atkin, R. Structure and Nanostructure in Ionic Liquids. Chem. Rev. 2015, 115, 6357–6426. [Google Scholar] [CrossRef]
- Armand, M.; Endres, F.; MacFarlane, D.R.; Ohno, H.; Scrosati, B. Ionic-liquid Materials for the Electrochemical Challenges of the Future. Nat. Mater. 2009, 8, 621–629. [Google Scholar] [CrossRef]
- Maginn, E.J. Molecular Simulation of Ionic Liquids: Current Status and Future Opportunities. J. Phys. Condens. Matter 2009, 21, 373101. [Google Scholar] [CrossRef]
- Castner, E.W.; Wishart, J.F. Spotlight on Ionic Liquids. J. Chem. Phys. 2010, 132, 120901. [Google Scholar] [CrossRef] [PubMed]
- Fedorov, M.V.; Kornyshev, A.A. Ionic Liquids at Electrified Interfaces. Chem. Rev. 2014, 114, 2978–3036. [Google Scholar] [CrossRef] [PubMed]
- Lynden-Bell, R.M.; Del Popolo, M.G.; Youngs, T.G.A.; Kohanoff, J.; Hanke, C.G.; Harper, J.B.; Pinilla, C.C. Simulations of Ionic Liquids, Solutions, and Surfaces. Acc. Chem. Res. 2007, 40, 1138–1145. [Google Scholar] [CrossRef] [PubMed]
- Huddleston, J.G.; Visser, A.E.; Reichert, W.M.; Willauer, H.D.; Broker, G.A.; Rogers, R.D. Characterization and Comparison of Hydrophilic and Hydrophobic Room Temperature Ionic Liquids Incorporating the Imidazolium Cation. Green Chem. 2001, 3, 156–164. [Google Scholar] [CrossRef]
- Gutowski, K.E.; Broker, G.A.; Willauer, H.D.; Huddleston, J.G.; Swatloski, R.P.; Holbrey, J.D.; Rogers, R.D. Controlling the Aqueous Miscibility of Ionic Liquids: Aqueous Biphasic Systems of Water-Miscible Ionic Liquids and Water-Structuring Salts for Recycle, Metathesis, and Separations. J. Am. Chem. Soc. 2003, 125, 6632–6633. [Google Scholar] [CrossRef] [PubMed]
- Cammarata, L.; Kazarian, S.G.; Salter, P.A.; Welton, T. Molecular States of Water in Room Temperature Ionic Liquids. Phys. Chem. Chem. Phys. 2001, 3, 5192–5200. [Google Scholar] [CrossRef]
- Plechkova, N.V.; Seddon, K.R. Applications of Ionic Liquids in the Chemical Industry. Chem. Soc. Rev. 2008, 37, 123–150. [Google Scholar] [CrossRef]
- Kohno, Y.; Ohno, H. Ionic Liquid/Water Mixtures: From Hostility to Conciliation. ChemComm 2012, 48, 7119–7130. [Google Scholar] [CrossRef]
- McDaniel, J.G.; Verma, A. On the Miscibility and Immiscibility of Ionic Liquids and Water. J. Phys. Chem. B 2019, 123, 5343–5356. [Google Scholar] [CrossRef]
- Schmidt, C.; Gluck, T.; Schmidt-Naake, G. Modification of Nafion Membranes by Impregnation with Ionic Liquids. Chem. Eng. Technol. 2008, 31, 13–22. [Google Scholar] [CrossRef]
- Di Noto, V.; Negro, E.; Sanchez, J.Y.; lojoiu, C. Structure-Relaxation Interplay of a New Nanostructured Membrane Based on Tetraethylammonium Trifluoromethanesulfonate Ionic Liquid and Neutralized Nation 117 for High-Temperature Fuel Cells. J. Am. Chem. Soc. 2010, 132, 2183–2195. [Google Scholar] [CrossRef]
- Martinez, M.; Molmeret, Y.; Cointeaux, L.; Iojoiu, C.; Lepretre, J.C.; El Kissi, N.; Judeinstein, P.; Sanchez, J.Y. Proton-Conducting Ionic Liquid-Based Proton Exchange Membrane Fuel Cell Membranes: The Key Role of Ionomer-Ionic Liquid Interaction. J. Power Sources 2010, 195, 5829–5839. [Google Scholar] [CrossRef]
- Neves, L.A.; Benavente, J.; Coelhoso, I.M.; Crespo, J.G. Design and Characterisation of Nafion Membranes with Incorporated Ionic Liquids Cations. J. Membr. Sci. 2010, 347, 42–52. [Google Scholar] [CrossRef]
- Moilanen, D.E.; Piletic, I.R.; Fayer, M.D. Water Dynamics in Nafion Fuel Cell Membranes: The Effects of Confinement and Structural Changes on the Hydrogen Bond Network. J. Phys. Chem. C 2007, 111, 8884–8891. [Google Scholar] [CrossRef] [PubMed]
- Domanska, U.; Okuniewska, P.; Paduszynski, K.; Krolikowska, M.; Zawadzki, M.; Wieckowski, M. Extraction of 2-Phenylethanol (PEA) from Aqueous Solution Using Ionic Liquids: Synthesis, Phase Equilibrium Investigation, Selectivity in Separation, and Thermodynamic Models. J. Phys. Chem. B 2017, 121, 7689–7698. [Google Scholar] [CrossRef] [PubMed]
- Sas, O.G.; Dominguez, I.; Gonzalez, B.; Dominguez, A. Liquid-liquid Extraction of Phenolic Compounds from Water using Ionic Liquids: Literature Review and New Experimental Data using [C2mim]FSI. J. Environ. Manag. 2018, 228, 475–482. [Google Scholar] [CrossRef]
- Takekiyo, T.; Fukudome, K.; Yamazaki, K.; Abe, H.; Yoshimura, Y. Protein Aggregation and Partial Globular State in Aqueous 1-Alkyl-3-methylimidazolium Nitrate Solutions. Chem. Phys. Lett. 2014, 602, 22–27. [Google Scholar] [CrossRef]
- Schroder, C. Proteins in Ionic Liquids: Current Status of Experiments and Simulations. In Ionic Liquids II; Kirchner, B., Perlt, E., Eds.; Springer International Publishing: Cham, Switzerland, 2018; pp. 127–152. [Google Scholar] [CrossRef]
- Zeindlhofer, V.; Schroder, C. Computational Solvation Analysis of Biomolecules in Aqueous Ionic Liquid Mixtures: From Large Flexible Proteins to Small Rigid Drugs. Biophys. Rev. 2018, 10, 825–840. [Google Scholar] [CrossRef]
- Oprzeska-Zingrebe, E.A.; Smiatek, J. Aqueous Ionic Liquids in Comparison with Standard Co-Solutes. Biophys. Rev. 2018, 10, 809–824. [Google Scholar] [CrossRef]
- Reslan, M.; Kayser, V. Ionic Liquids as Biocompatible Stabilizers of Proteins. Biophys. Rev. 2018, 10, 781–793. [Google Scholar] [CrossRef]
- Klahn, M.; Lim, G.S.; Seduraman, A.; Wu, P. On the Different Roles of Anions and Cations in the Solvation of Enzymes in Ionic Liquids. Phys. Chem. Chem. Phys. 2011, 13, 1649–1662. [Google Scholar] [CrossRef]
- Gao, W.W.; Zhang, F.X.; Zhang, G.X.; Zhou, C.H. Key Factors Affecting the Activity and Stability of Enzymes in Ionic Liquids and Novel Applications in Biocatalysis. Biochem. Eng. J. 2015, 99, 67–84. [Google Scholar] [CrossRef]
- Zhao, H. Protein Stabilization and Enzyme Activation in Ionic Liquids: Specific Ion Effects. J. Chem. Technol. Biotechnol. 2016, 91, 25–50. [Google Scholar] [CrossRef] [PubMed]
- Meyer, L.E.; von Langermann, J.; Kragl, U. Recent Developments in Biocatalysis in Multiphasic Ionic Liquid Reaction Systems. Biophys. Rev. 2018, 10, 901–910. [Google Scholar] [CrossRef] [PubMed]
- Tu, Y.J.; Allen, M.J.; Cisneros, G.A. Simulations of the Water Exchange Dynamics of Lanthanide Ions in 1-ethyl-3-methylimidazolium Ethyl Sulfate ([EMIm][EtSO4]) and Water. Phys. Chem. Chem. Phys. 2016, 18, 30323–30333. [Google Scholar] [CrossRef] [PubMed]
- Tu, Y.J.; Lin, Z.; Allen, M.J.; Cisneros, G.A. Molecular Dynamics Investigation of Water-Exchange Reactions on Lanthanide Ions in Water/1-ethyl-3-methylimidazolium Trifluoromethylsufate ([EMIm][OTf]). J. Chem. Phys. 2018, 148, 024503. [Google Scholar] [CrossRef] [PubMed]
- Seddon, K.R.; Stark, A.; Torres, M.J. Influence of Chloride, Water, and Organic Solvents on the Physical Properties of Ionic Liquids. Pure Appl. Chem. 2000, 72, 2275–2287. [Google Scholar] [CrossRef]
- Rivera-Rubero, S.; Baldelli, S. Influence of Water on the Surface of Hydrophilic and Hydrophobic Room-Temperature Ionic Liquids. J. Am. Chem. Soc. 2004, 126, 11788–11789. [Google Scholar] [CrossRef]
- Koddermann, T.; Wertz, C.; Heintz, A.; Ludwig, R. The Association of Water in Ionic Liquids: A Reliable Measure of Polarity. Angew. Chem. 2006, 45, 3697–3702. [Google Scholar] [CrossRef]
- Zhang, L.; Xu, Z.; Wang, Y.; Li, H. Prediction of the Solvation and Structural Properties of Ionic Liquids in Water by Two-Dimensional Correlation Spectroscopy. J. Phys. Chem. B 2008, 112, 6411–6419. [Google Scholar] [CrossRef]
- Iwahashi, T.; Sakai, Y.; Kim, D.; Ishiyama, T.; Morita, A.; Ouchi, Y. Nonlinear Vibrational Spectroscopic Studies on Water/Ionic Liquid([Cnmim]TFSA: n = 4, 8) Interfaces. Faraday Discuss. 2012, 154, 289–301. [Google Scholar] [CrossRef]
- Wong, D.B.; Giammanco, C.H.; Fenn, E.E.; Fayer, M.D. Dynamics of Isolated Water Molecules in a Sea of Ions in a Room Temperature Ionic Liquid. J. Phys. Chem. B 2013, 117, 623–635. [Google Scholar] [CrossRef] [PubMed]
- Sturlaugson, A.L.; Arima, A.Y.; Bailey, H.E.; Fayer, M.D. Orientational Dynamics in a Lyotropic Room Temperature Ionic Liquid. J. Phys. Chem. B 2013, 117, 14775–14784. [Google Scholar] [CrossRef] [PubMed]
- Zhang, X.X.; Liang, M.; Hunger, J.; Buchner, R.; Maroncelli, M. Dielectric Relaxation and Solvation Dynamics in a Prototypical Ionic Liquid + Dipolar Protic Liquid Mixture: 1-Butyl-3-Methylimidazolium Tetrafluoroborate + Water. J. Phys. Chem. B 2013, 117, 15356–15368. [Google Scholar] [CrossRef] [PubMed]
- Kramer, P.L.; Giammanco, C.H.; Fayer, M.D. Dynamics of Water, Methanol, and Ethanol in a Room Temperature Ionic Liquid. J. Chem. Phys. 2015, 142, 212408. [Google Scholar] [CrossRef]
- Giammanco, C.H.; Kramer, P.L.; Wong, D.B.; Fayer, M.D. Water Dynamics in 1-Alkyl-3-methylimidazolium Tetrafluoroborate Ionic Liquids. J. Phys. Chem. B 2016, 120, 11523–11538. [Google Scholar] [CrossRef]
- Paschoal, V.H.; Faria, L.F.O.; Ribeiro, M.C.C. Vibrational Spectroscopy of Ionic Liquids. Chem. Rev. 2017, 117, 7053–7112. [Google Scholar] [CrossRef]
- Bowers, J.; Butts, C.P.; Martin, P.J.; Vergara-Gutierrez, M.C.; Heenan, R.K. Aggregation Behavior of Aqueous Solutions of Ionic Liquids. Langmuir 2004, 20, 2191–2198. [Google Scholar] [CrossRef]
- Almasy, L.; Turmine, M.; Perera, A. Structure of Aqueous Solutions of Ionic Liquid 1-Butyl-3-methylimidazolium Tetrafluoroborate by Small-Angle Neutron Scattering. J. Phys. Chem. B 2008, 112, 2382–2387. [Google Scholar] [CrossRef]
- Goodchild, I.; Collier, L.; Millar, S.L.; Prokeš, I.; Lord, J.C.D.; Butts, C.P.; Bowers, J.; Webster, J.R.P.; Heenan, R.K. Structural Studies of the Phase, Aggregation and Surface Behaviour of 1-Alkyl-3-methylimidazolium Halide + Water Mixtures. J. Colloid Interface Sci. 2007, 307, 455–468. [Google Scholar] [CrossRef]
- Abe, H.; Takekiyo, T.; Shigemi, M.; Yoshimura, Y.; Tsuge, S.; Hanasaki, T.; Ohishi, K.; Takata, S.; Suzuki, J.I. Direct Evidence of Confined Water in Room-Temperature Ionic Liquids by Complementary Use of Small-Angle X-ray and Neutron Scattering. J. Phys. Chem. Lett. 2014, 5, 1175–1180. [Google Scholar] [CrossRef]
- Abe, H.; Takekiyo, T.; Aono, M.; Kishimura, H.; Yoshimura, Y.; Hamaya, N. Polymorphs in Room-Temperature Ionic Liquids: Hierarchical Structure, Confined Water and Pressure-Induced Frustration. J. Mol. Liq. 2015, 210, 200–214. [Google Scholar] [CrossRef]
- Abe, H.; Takekiyo, T.; Yoshimura, Y.; Saihara, K.; Shimizu, A. Anomalous Freezing of Nano-Confined Water in Room-Temperature Ionic Liquid 1-Butyl-3-Methylimidazolium Nitrate. ChemPhysChem 2016, 17, 1136–1142. [Google Scholar] [CrossRef] [PubMed]
- Gao, J.; Wagner, N.J. Water Nanocluster Formation in the Ionic Liquid 1-Butyl-3-methylimidazolium Tetrafluoroborate ([C4mim][BF4])-D2O Mixtures. Langmuir 2016, 32, 5078–5084. [Google Scholar] [CrossRef] [PubMed]
- Abe, H.; Takekiyo, T.; Yoshimura, Y.; Shimizu, A. Static and Dynamic Properties of Nano-Confined Water in Room-Temperature Ionic Liquids. J. Mol. Liq. 2019, 290, 111216. [Google Scholar] [CrossRef]
- Rollet, A.L.; Porion, P.; Vaultier, M.; Billard, I.; Deschamps, M.; Bessada, C.; Jouvensal, L. Anomalous Diffusion of Water in [BMIM][TFSI] Room-Temperature Ionic Liquid. J. Phys. Chem. B 2007, 111, 11888–11891. [Google Scholar] [CrossRef] [PubMed]
- Murgia, S.; Monduzzi, M.; Lopez, F.; Palazzo, G. Mesoscopic Structure in Mixtures of Water and 1-Butyl-3-methyl imidazolium Tetrafluoborate: A Multinuclear NMR Study. J. Solut. Chem. 2013, 42, 1111–1122. [Google Scholar] [CrossRef]
- Cha, S.; Ao, M.; Sung, W.; Moon, B.; Ahlstrom, B.; Johansson, P.; Ouchi, Y.; Kim, D. Structures of Ionic Liquid–Water Mixtures Investigated by IR and NMR Spectroscopy. Phys. Chem. Chem. Phys. 2014, 16, 9591–9601. [Google Scholar] [CrossRef]
- Saihara, K.; Yoshimura, Y.; Ohta, S.; Shimizu, A. Properties of Water Confined in Ionic Liquids. Sci. Rep. 2015, 5, 10619. [Google Scholar] [CrossRef]
- Zanatta, M.; Girard, A.L.; Marin, G.; Ebeling, G.; dos Santos, F.P.; Valsecchi, C.; Stassen, H.; Livotto, P.R.; Lewis, W.; Dupont, J. Confined Water in Imidazolium Based Ionic Liquids: A Supramolecular Guest@host Complex Case. Phys. Chem. Chem. Phys. 2016, 18, 18297–18304. [Google Scholar] [CrossRef]
- Yoshimura, Y.; Mori, T.; Kaneko, K.; Nogami, K.; Takekiyo, T.; Masuda, Y.; Shimizu, A. Confirmation of Local Water Structure Confined in Ionic Liquids Using H/D Exchange. J. Mol. Liq. 2019, 286, 110874. [Google Scholar] [CrossRef]
- Jiang, W.; Wang, Y.; Voth, G.A. Molecular Dynamics Simulation of Nanostructural Organization in Ionic Liquid/Water Mixtures. J. Phys. Chem. B 2007, 111, 4812–4818. [Google Scholar] [CrossRef] [PubMed]
- Bhargava, B.L.; Yasaka, Y.; Klein, M.L. Computational Studies of Room Temperature Ionic Liquid-Water Mixtures. Chem. Commun. 2011, 47, 6228–6241. [Google Scholar] [CrossRef] [PubMed]
- Russina, O.; Lo Celso, F.; Plechkova, N.V.; Triolo, A. Emerging Evidences of Mesoscopic-Scale Complexity in Neat Ionic Liquids and Their Mixtures. J. Phys. Chem. Lett. 2017, 8, 1197–1204. [Google Scholar] [CrossRef] [PubMed]
- Li, W.; Zhang, Z.; Han, B.; Hu, S.; Xie, Y.; Yang, G. Effect of Water and Organic Solvents on the Ionic Dissociation of Ionic Liquids. J. Phys. Chem. B 2007, 111, 6452–6456. [Google Scholar] [CrossRef] [PubMed]
- Wang, H.; Wang, J.; Zhang, S.; Pei, Y.; Zhuo, K. Ionic Association of the Ionic Liquids [C4mim][BF4], [C4mim][PF6], and [Cnmim]Br in Molecular Solvents. ChemPhysChem 2009, 10, 2516–2523. [Google Scholar] [CrossRef]
- Stoppa, A.; Hunger, J.; Buchner, R. Conductivities of Binary Mixtures of Ionic Liquids with Polar Solvents. J. Chem. Eng. Data 2009, 54, 472–479. [Google Scholar] [CrossRef]
- Canongia Lopes, J.N.; Costa Gomes, M.F.; Husson, P.; Padua, A.A.H.; Rebelo, L.P.N.; Sarraute, S.; Tariq, M. Polarity, Viscosity, and Ionic Conductivity of Liquid Mixtures Containing [C4C1im][Ntf2] and a Molecular Component. J. Phys. Chem. B 2011, 115, 6088–6099. [Google Scholar] [CrossRef]
- Harris, K.R. Can the Transport Properties of Molten Salts and Ionic Liquids Be Used to Determine Ion Association? J. Phys. Chem. B 2016, 120, 12135–12147. [Google Scholar] [CrossRef]
- Porter, A.R.; Liem, S.Y.; Popelier, P.L.A. Room Temperature Ionic Liquids Containing Low Water Concentrations-A Molecular Dynamics Study. Phys. Chem. Chem. Phys. 2008, 10, 4240–4248. [Google Scholar] [CrossRef]
- Moreno, M.; Castiglione, F.; Mele, A.; Pasqui, C.; Raos, G. Interaction of Water with the Model Ionic Liquid [bmim][BF4]: Molecular Dynamics Simulations and Comparison with NMR Data. J. Phys. Chem. B 2008, 112, 7826–7836. [Google Scholar] [CrossRef]
- Feng, S.; Voth, G.A. Molecular Dynamics Simulations of Imidazolium-Based Ionic Liquid/Water Mixtures: Alkyl Side Chain Length and Anion Effects. Fluid Phase Equilib. 2010, 294, 148–156. [Google Scholar] [CrossRef]
- Zhong, X.; Fan, Z.; Liu, Z.; Cao, D. Local Structure Evolution and its Connection to Thermodynamic and Transport Properties of 1-Butyl-3-methylimidazolium Tetrafluoroborate and Water Mixtures by Molecular Dynamics Simulations. J. Phys. Chem. B 2012, 116, 3249–3263. [Google Scholar] [CrossRef]
- Schroder, C.; Rudas, T.; Neumayr, G.; Benkner, S.; Steinhauser, O. On the Collective Network of Ionic Liquid/Water Mixtures. I. Orientational Structure. J. Chem. Phys. 2007, 127, 234503. [Google Scholar] [CrossRef] [PubMed]
- Schroder, C.; Hunger, J.; Stoppa, A.; Buchner, R.; Steinhauser, O. On the Collective Network of Ionic Liquid/Water Mixtures. II. Decomposition and Interpretation of Dielectric Spectra. J. Chem. Phys. 2008, 129, 184501. [Google Scholar] [CrossRef] [PubMed]
- Schroder, C.; Neumayr, G.; Steinhauser, O. On the Collective Network of Ionic Liquid/Water Mixtures. III. Structural Analysis of Ionic Liquids on the Basis of Voronoi Decomposition. J. Chem. Phys. 2009, 130, 194503. [Google Scholar] [CrossRef] [PubMed]
- Schroder, C.; Sega, M.; Schmollngruber, M.; Gailberger, E.; Braun, D.; Steinhauser, O. On the Collective Network of Ionic Liquid/Water Mixtures. IV. Kinetic and Rotational Depolarization. J. Chem. Phys. 2014, 140, 204505. [Google Scholar] [CrossRef]
- Hanke, C.G.; Atamas, N.A.; Lynden-Bell, R.M. Solvation of Small Molecules in Imidazolium Ionic Liquids: A Simulation Study. Green Chem. 2002, 4, 107–111. [Google Scholar] [CrossRef]
- Hanke, C.G.; Lynden-Bell, R.M. A Simulation Study of Water-Dialkylimidazolium Ionic Liquid Mixtures. J. Phys. Chem. B 2003, 107, 10873–10878. [Google Scholar] [CrossRef]
- Mendez-Morales, T.; Carrete, J.; Cabeza, O.; Gallego, L.J.; Varela, L.M. Molecular Dynamics Simulation of the Structure and Dynamics of Water-1-Alkyl-3-methylimidazolium Ionic Liquid Mixtures. J. Phys. Chem. B 2011, 115, 6995–7008. [Google Scholar] [CrossRef]
- Niazi, A.A.; Rabideau, B.D.; Ismail, A.E. Effects of Water Concentration on the Structural and Diffusion Properties of Imidazolium-Based Ionic Liquid-Water Mixtures. J. Phys. Chem. B 2013, 117, 1378–1388. [Google Scholar] [CrossRef]
- Shi, W.; Damodaran, K.; Nulwala, H.B.; Luebke, D.R. Theoretical and Experimental Studies of Water Interaction in Acetate Based Ionic Liquids. Phys. Chem. Chem. Phys. 2012, 14, 15897–15908. [Google Scholar] [CrossRef] [PubMed]
- Ghoshdastidar, D.; Senapati, S. Ion-Water Wires in Imidazolium-Based Ionic Liquid/Water Solutions Induce Unique Trends in Density. Soft Matter 2016, 12, 3032–3045. [Google Scholar] [CrossRef] [PubMed]
- Annapureddy, H.V.R.; Hu, Z.; Xia, J.; Margulis, C.J. How Does Water Affect the Dynamics of the Room-Temperature Ionic Liquid 1-Hexyl-3-methylimidazolium Hexafluorophosphate and the Fluorescence Spectroscopy of Coumarin-153 When Dissolved in It? J. Phys. Chem. B 2008, 112, 1770–1776. [Google Scholar] [CrossRef] [PubMed]
- Borodin, O.; Price, D.L.; Aoun, B.; Gonzalez, M.A.; Hooper, J.B.; Kofu, M.; Kohara, S.; Yamamuro, O.; Saboungi, M.L. Effect of Water on the Structure of a Prototype Ionic Liquid. Phys. Chem. Chem. Phys. 2016, 18, 23474–23481. [Google Scholar] [CrossRef] [PubMed]
- Chaumont, A.; Schurhammer, R.; Wipff, G. Aqueous Interfaces with Hydrophobic Room-Temperature Ionic Liquids: A Molecular Dynamics Study. J. Phys. Chem. B 2005, 109, 18964–18973. [Google Scholar] [CrossRef]
- Sieffert, N.; Wipff, G. The [BMI][Tf2N] Ionic Liquid/Water Binary System: A Molecular Dynamics Study of Phase Separation and of the Liquid-Liquid Interface. J. Phys. Chem. B 2006, 110, 13076–13085. [Google Scholar] [CrossRef]
- Chevrot, G.; Schurhammer, R.; Wipff, G. Molecular Dynamics Simulations of the Aqueous Interface with the [BMI][PF6] Ionic Liquid: Comparison of Different Solvent Models. Phys. Chem. Chem. Phys. 2006, 8, 4166–4174. [Google Scholar] [CrossRef]
- Picalek, J.; Minofar, B.; Kolafa, J.; Jungwirth, P. Aqueous Solutions of Ionic Liquids: Study of the Solution/Vapor Interface using Molecular Dynamics Simulations. Phys. Chem. Chem. Phys. 2008, 10, 5765–5775. [Google Scholar] [CrossRef]
- Docampo-Alvarez, B.; Gomez-Gonzalez, V.; Montes-Campos, H.; Otero-Mato, J.M.; Mendez-Morales, T.; Cabeza, O.; Gallego, L.J.; Lynden-Bell, R.M.; Ivanistsev, V.B.; Fedorov, M.V.; et al. Molecular Dynamics Simulation of the Behaviour of Water in Nano-Confined Ionic Liquid-Water mixtures. J. Phys. Condens. Matter 2016, 28, 464001. [Google Scholar] [CrossRef]
- Lynden-Bell, R.M.; Atamas, N.A.; Vasilyuk, A.; Hanke, C.G. Chemical Potentials of Water and Organic Solutes in Imidazolium Ionic Liquids: A Simulation Study. Mol. Phys. 2002, 100, 3225–3229. [Google Scholar] [CrossRef]
- Anthony, J.L.; Maginn, E.J.; Brennecke, J.F. Solution Thermodynamics of Imidazolium-Based Ionic Liquids and Water. J. Phys. Chem. B 2001, 105, 10942–10949. [Google Scholar] [CrossRef]
- Deschamps, J.; Costa Gomes, M.F.; Padua, A.A.H. Molecular Simulation Study of Interactions of Carbon Dioxide and Water with Ionic Liquids. ChemPhysChem 2004, 5, 1049–1052. [Google Scholar] [CrossRef] [PubMed]
- Shah, J.K.; Maginn, E.J. Monte Carlo Simulations of Gas Solubility in the Ionic Liquid 1-n-Butyl-3-methylimidazolium Hexafluorophosphate. J. Phys. Chem. B 2005, 109, 10395–10405. [Google Scholar] [CrossRef] [PubMed]
- Shi, W.; Maginn, E.J. Atomistic Simulation of the Absorption of Carbon Dioxide and Water in the Ionic Liquid 1-n-Hexyl-3-methylimidazolium Bis(trifluoromethylsulfonyl)imide ([hmim][Tf2N]. J. Phys. Chem. B 2008, 112, 2045–2055. [Google Scholar] [CrossRef] [PubMed]
- Marin-Rimoldi, E.; Shah, J.K.; Maginn, E.J. Monte Carlo Simulations of Water Solubility in Ionic Liquids: A Force Field Assessment. Fluid Phase Equilib. 2016, 407, 117–125. [Google Scholar] [CrossRef]
- Kelkar, M.S.; Shi, W.; Maginn, E.J. Determining the Accuracy of Classical Force Fields for Ionic Liquids: Atomistic Simulation of the Thermodynamic and Transport Properties of 1-Ethyl-3-methylimidazolium Ethylsulfate ([emim][EtSO4]) and its Mixtures with Water. Ind. Eng. Chem. Res. 2008, 47, 9115–9126. [Google Scholar] [CrossRef]
- Terranova, Z.L.; Corcelli, S.A. Molecular Dynamics Investigation of the Vibrational Spectroscopy of Isolated Water in an Ionic Liquid. J. Phys. Chem. B 2014, 118, 8264–8272. [Google Scholar] [CrossRef]
- McDaniel, J.G.; Choi, E.; Son, C.Y.; Schmidt, J.R.; Yethiraj, A. Ab Initio Force Fields for Imidazolium-Based Ionic Liquids. J. Phys. Chem. B 2016, 120, 7024–7036. [Google Scholar] [CrossRef]
- McDaniel, J.G.; Son, C.Y.; Yethiraj, A. Ab Initio Force Fields for Organic Anions: Properties of [BMIM][TFSI], [BMIM][FSI], and [BMIM][OTf] Ionic Liquids. J. Phys. Chem. B 2018, 122, 4101–4114. [Google Scholar] [CrossRef]
- McDaniel, J.G.; Yethiraj, A. Understanding the Properties of Ionic Liquids: Electrostatics, Structure Factors, and Their Sum Rules. J. Phys. Chem. B 2019, 123, 3499–3512. [Google Scholar] [CrossRef]
- McDaniel, J.G.; Son, C.Y. Ion Correlation and Collective Dynamics in BMIM/BF4-Based Organic Electrolytes: From Dilute Solutions to the Ionic Liquid Limit. J. Phys. Chem. B 2018, 122, 7154–7169. [Google Scholar] [CrossRef] [PubMed]
- McDaniel, J.G. Polarization Effects in Binary [BMIM+][BF4−]/1,2-Dichloroethane, Acetone, Acetonitrile, and Water Electrolytes. J. Phys. Chem. B 2018, 122, 4345–4355. [Google Scholar] [CrossRef]
- Lamoureux, G.; Harder, E.; Vorobyov, I.V.; Roux, B.; MacKerell, A.D., Jr. A Polarizable Model of Water for Molecular Dynamics Simulations of Biomolecules. Chem. Phys. Lett. 2006, 418, 245–249. [Google Scholar] [CrossRef]
- McDaniel, J.G.; Yethiraj, A. Influence of Electronic Polarization on the Structure of Ionic Liquids. J. Phys. Chem. Lett. 2018, 9, 4765–4770. [Google Scholar] [CrossRef] [PubMed]
- Eastman, P.; Swails, J.; Chodera, J.D.; McGibbon, R.T.; Zhao, Y.; Beauchamp, K.A.; Wang, L.P.; Simmonett, A.C.; Harrigan, M.P.; Stern, C.D.; et al. OpenMM 7: Rapid Development of High Performance Algorithms for Molecular Dynamics. PLoS Comput. Biol. 2017, 13, e1005659. [Google Scholar] [CrossRef] [PubMed]
- Martinez, L.; Andrade, R.; Birgin, E.G.; Martinez, J.M. PACKMOL: A Package for Building Initial Configurations for Molecular Dynamics Simulations. J. Comput. Chem. 2009, 30, 2157–2164. [Google Scholar] [CrossRef]
- Lamoureux, G.; Roux, B. Modeling Induced Polarization with Classical Drude Oscillators: Theory and Molecular Dynamics Simulation Algorithm. J. Chem. Phys. 2003, 119, 3025–3039. [Google Scholar] [CrossRef]
- Essmann, U.; Perera, L.; Berkowitz, M.L.; Darden, T.; Lee, H.; Pedersen, L.G. A Smooth Particle Mesh Ewald Method. J. Chem. Phys. 1995, 103, 8577–8593. [Google Scholar] [CrossRef]
- McGibbon, R.T.; Beauchamp, K.A.; Harrigan, M.P.; Klein, C.; Swails, J.M.; Hernández, C.X.; Schwantes, C.R.; Wang, L.P.; Lane, T.J.; Pande, V.S. MDTraj: A Modern Open Library for the Analysis of Molecular Dynamics Trajectories. Biophys. J. 2015, 109, 1528–1532. [Google Scholar] [CrossRef]
- Hagberg, A.A.; Schult, D.A.; Swart, P.J. Exploring Network Structure, Dynamics, and Function using NetworkX. In Proceedings of the 7th Python in Science Conference, Pasadena, CA, USA, 19–24 August 2008; Varoquaux, G., Vaught, T., Millman, J., Eds.; Office of Scientific and Technical Information, U.S. Department of Energy: Washington, DC, USA, 2008; pp. 11–15. [Google Scholar]
- Edvinsson, T.; Rasmark, P.; Elvingson, C. Cluster Identification and Percolation Analysis using a Recursive Algorithm. Mol. Simul. 1999, 23, 169–190. [Google Scholar] [CrossRef]
- Wong, D.S.H.; Chen, J.P.; Chang, J.M.; Chou, C.H. Phase Equilibria of Water and Ionic Liquids [emim][PF6] and [bmim][PF6]. Fluid Phase Equilib. 2002, 194–197, 1089–1095. [Google Scholar] [CrossRef]
- Chen, L. Area Dependence of the Surface Tension of a Lennard-Jones Fluid from Molecular Dynamics Simulations. J. Chem. Phys. 1995, 103, 10214–10216. [Google Scholar] [CrossRef]
- Aguado, A.; Scott, W.; Madden, P.A. Molecular Dynamics Simulations of the Liquid-Vapor Interface of a Molten Salt. II. Finite Size Effects and Comparison to Experiment. J. Chem. Phys. 2001, 115, 8612–8619. [Google Scholar] [CrossRef]
- Panagiotopoulos, A.Z. Direct Determination of Fluid Phase Equilibria by Simulation in the Gibbs Ensemble: A Review. Mol. Simul. 1992, 9, 1–23. [Google Scholar] [CrossRef]
- Gao, Y.; Han, S.; Han, B.; Li, G.; Shen, D.; Li, Z.; Du, J.; Hou, W.; Zhang, G. TX-100/Water/1-Butyl- 3-methylimidazolium Hexafluorophosphate Microemulsions. Langmuir 2005, 21, 5681–5684. [Google Scholar] [CrossRef] [PubMed]
- Zhang, S.; Sun, N.; He, X.; Lu, X.; Zhang, X. Physical Properties of Ionic Liquids: Database and Evaluation. J. Phys. Chem. Ref. Data 2006, 35, 1475–1517. [Google Scholar] [CrossRef]
- Wu, Y.; Tepper, H.L.; Voth, G.A. Flexible Simple Point-Charge Water Model with Improved Liquid-State Properties. J. Chem. Phys. 2006, 124, 24503–24515. [Google Scholar] [CrossRef]
- Pieniazek, P.A.; Lin, Y.S.; Chowdhary, J.; Ladanyi, B.M.; Skinner, J.L. Vibrational Spectroscopy and Dynamics of Water Confined inside Reverse Micelles. J. Phys. Chem. B 2009, 113, 15017–15028. [Google Scholar] [CrossRef]
- McDaniel, J.G.; Mantha, S.; Yethiraj, A. Dynamics of Water in Gemini Surfactant-Based Lyotropic Liquid Crystals. J. Phys. Chem. B 2016, 120, 10860–10868. [Google Scholar] [CrossRef]
- Luzar, A. Resolving the Hydrogen Bond Dynamics Conundrum. J. Chem. Phys. 2000, 113, 10663–10675. [Google Scholar] [CrossRef]
- Chowdhuri, S.; Chandra, A. Hydrogen Bonds in Aqueous Electrolyte Solutions: Statistics and Dynamics Based on Both Geometric and Energetic Criteria. Phys. Rev. E 2002, 66, 041203. [Google Scholar] [CrossRef] [PubMed]
- Geiger, A.; Stillinger, F.H.; Rahman, A. Aspects of the Percolation Process for Hydrogen-Bond Networks in Water. J. Chem. Phys. 1979, 70, 4185–4193. [Google Scholar] [CrossRef]
- Tainter, C.J.; Shi, L.; Skinner, J.L. IR and Raman Spectra of Liquid Water: Theory and Interpretation. J. Chem. Phys. 2014, 140, 134503. [Google Scholar] [CrossRef]
- Dhabal, D.; Wikfeldt, K.T.; Skinner, L.B.; Chakravarty, C.; Kashyap, H.K. Probing the Triplet Correlation Function in Liquid Water by Experiments and Molecular Simulations. Phys. Chem. Chem. Phys. 2017, 19, 3265–3278. [Google Scholar] [CrossRef] [PubMed]
- Liu, J.; He, X.; Zhang, J.Z.; Qi, L.W. Hydrogen-bond Structure Dynamics in Bulk Water: Insights from Ab Initio Simulations with Coupled Cluster Theory. Chem. Sci. 2018, 9, 2065–2073. [Google Scholar] [CrossRef]
- Soper, A.K.; Benmore, C.J. Quantum Differences Between Heavy and Light Water. Phys. Rev. Lett. 2008, 101. [Google Scholar] [CrossRef]
- Duboue-Dijon, E.; Laage, D. Characterization of the Local Structure in Liquid Water by Various Order Parameters. J. Phys. Chem. B 2015, 119, 8406–8418. [Google Scholar] [CrossRef]
- Schwenzer, B.; Kerisit, S.N.; Vijayakumar, M. Anion Pairs in Room Temperature Ionic Liquids Predicted by Molecular Dynamics Simulation, Verified by Spectroscopic Characterization. RSC Adv. 2014, 4, 5457–5464. [Google Scholar] [CrossRef]
- Stauffer, D. Scaling Theory of Percolation Clusters. Phys. Rep. 1979, 54, 1–74. [Google Scholar] [CrossRef]
- Partay, L.B.; Jedlovszky, P.; Brovchenko, I.; Oleinikova, A. Formation of Mesoscopic Water Networks in Aqueous Systems. Phys. Chem. Chem. Phys. 2007, 9, 1341–1346. [Google Scholar] [CrossRef]








| [BMIM][BF] | 45 | 92 | 200 | 350 | 550 | 750 |
| [BMIM][NO] | 43 | 88 | 184 | 324 | 509 | 693 |
| [BMIM][OTf] | 54 | 110 | 237 | 417 | 654 | 892 |
| [BMIM][PF] | 50 | 102 | 218 | 385 | — | — |
| [BMIM][TFSI] | 71 | 145 | 311 | 548 | — | — |
© 2020 by the authors. Licensee MDPI, Basel, Switzerland. This article is an open access article distributed under the terms and conditions of the Creative Commons Attribution (CC BY) license (http://creativecommons.org/licenses/by/4.0/).
Share and Cite
Verma, A.; Stoppelman, J.P.; McDaniel, J.G. Tuning Water Networks via Ionic Liquid/Water Mixtures. Int. J. Mol. Sci. 2020, 21, 403. https://doi.org/10.3390/ijms21020403
Verma A, Stoppelman JP, McDaniel JG. Tuning Water Networks via Ionic Liquid/Water Mixtures. International Journal of Molecular Sciences. 2020; 21(2):403. https://doi.org/10.3390/ijms21020403
Chicago/Turabian StyleVerma, Archana, John P. Stoppelman, and Jesse G. McDaniel. 2020. "Tuning Water Networks via Ionic Liquid/Water Mixtures" International Journal of Molecular Sciences 21, no. 2: 403. https://doi.org/10.3390/ijms21020403
APA StyleVerma, A., Stoppelman, J. P., & McDaniel, J. G. (2020). Tuning Water Networks via Ionic Liquid/Water Mixtures. International Journal of Molecular Sciences, 21(2), 403. https://doi.org/10.3390/ijms21020403

