Ruthenium Dendrimers against Human Lymphoblastic Leukemia 1301 Cells
Abstract
1. Introduction
2. Results
2.1. Viability
2.2. Transmission Electron Microscopy assay
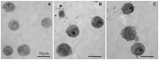
2.2.1. Light Microscopy of Semi-Thin Sections
2.2.2. Transmission Electron Microscopy (TEM) of Ultra-Thin Sections
2.3. Comet Assay
2.4. Reactive Oxygen Species (ROS) and Mitochondrial Membrane Potential (ΔΨm)
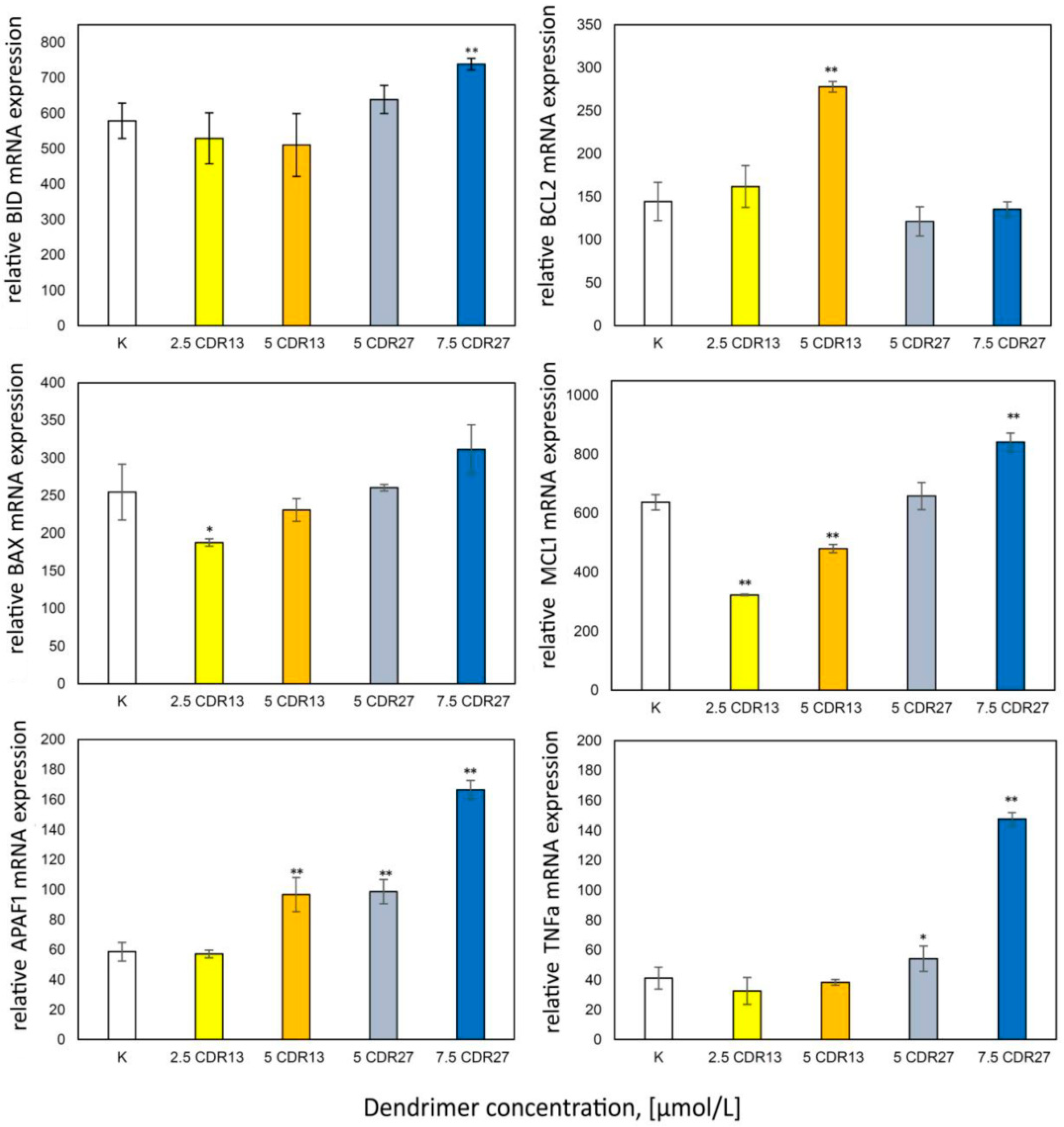
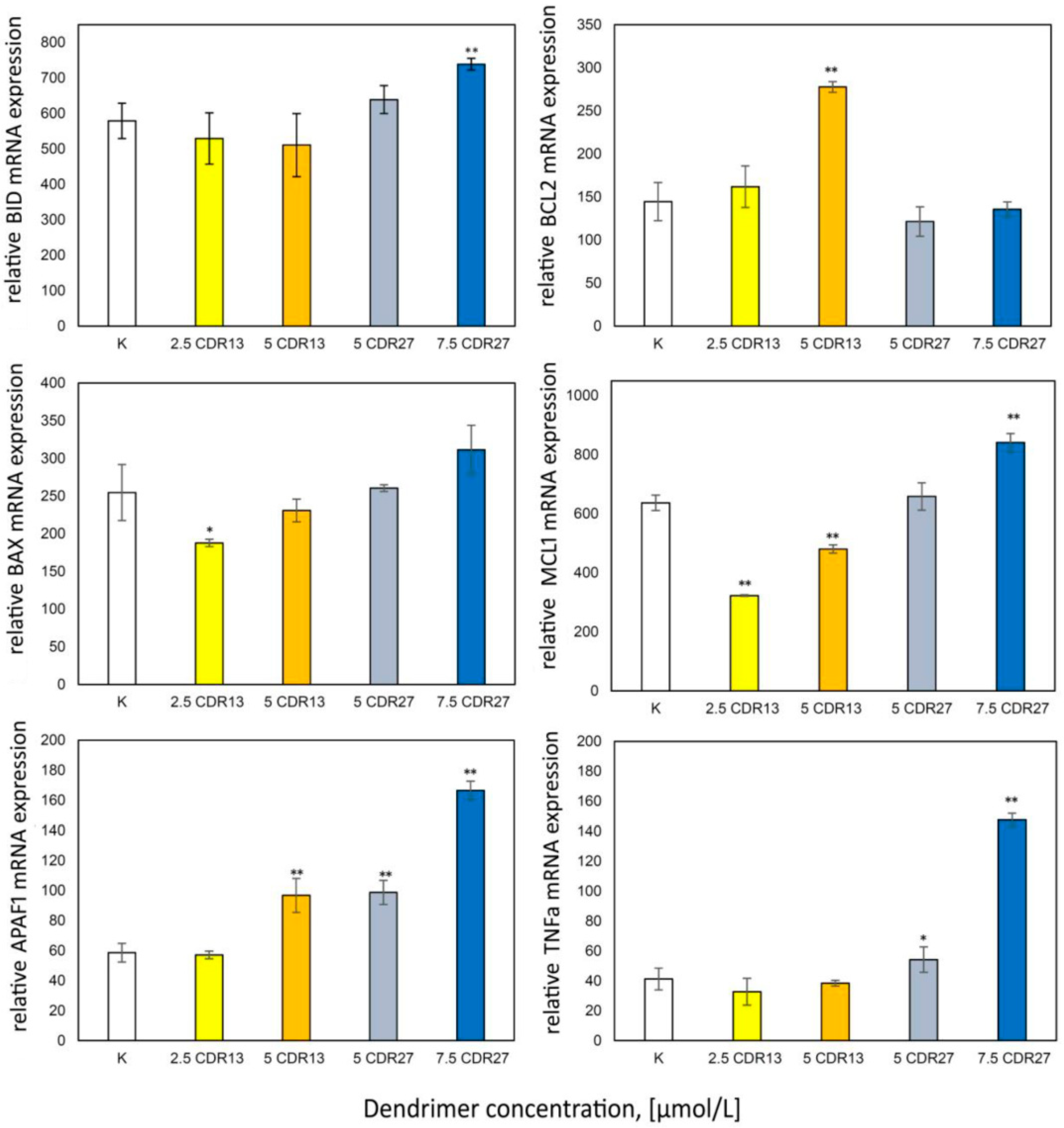
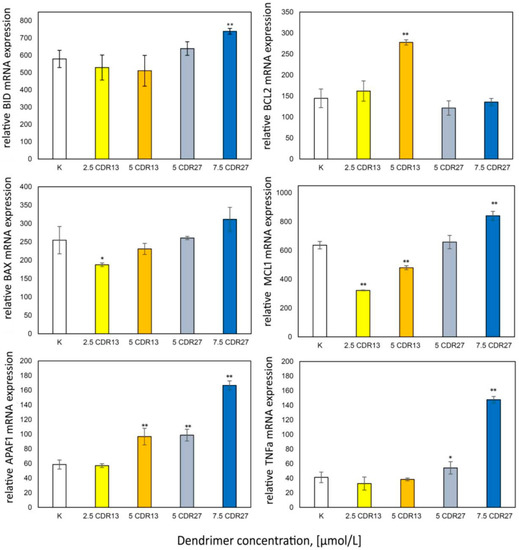
2.5. Real Time PCR Changes in Expression of Pro- and Anti-Apoptotic Proteins
3. Discussion
4. Materials and Methods
4.1. Ruthenium-Terminated Carbosilane Dendrimers (CRD)
4.2. Cell Viability
4.3. Determination of Reactive Oxygen Species (ROS) Levels
4.4. Mitochondrial Transmembrane Potential
4.5. Comet Assay
4.6. Transmission Electron Microscopy
4.7. RNA Isolation, Reverse Transcription and Quantitative Real-Time PCR
4.8. Statistical Analysis
5. Conclusions
Author Contributions
Funding
Acknowledgments
Conflicts of Interest
References
- Metayer, C.; Dahl, G.M.D.; Wiemels, J.; Miller, M. Childhood leukemia: A preventable disease. Pediatrics 2016, 138, 45–55. [Google Scholar] [CrossRef] [PubMed]
- Bryant, A.L.; Walton, A.M.L.; Shaw-Kokot, J.; Mayer, D.K.; Reeve, B.B. Patient-reported symptoms and quality of life in adults with acute leukemia: A systematic review. Oncol. Nurs. Forum. 2018, 42, 91–101. [Google Scholar] [CrossRef] [PubMed]
- Allemani, C.; Weir, H.K.; Carreira, H.; Spika, D.; Wang, X.S.; Bannon, F.; Ahn, J.V.; Johnson, C.J.; Bonaventure, A.; Marcos-Gragera, R.; et al. Global surveillance of cancer survival 1995–2009: Analysis of individual data for 25 676 887 patients from 279 population based registries in 67 countries (CONCORD-2). Lancet 2015, 385, 977–1010. [Google Scholar] [CrossRef]
- Zhang, N.; Li, S.; Hua, H.; Liu, D.; Song, L.; Sun, P.; Huang, W.; Tang, Y.; Zhao, Y.; Li, S.; et al. Low density lipoprotein receptor targeted doxorubicin/DNA-gold nanorods as a chemo- and thermo-dual therapy for prostate cancer. Int. J. Pharm. 2016, 13, 376–386. [Google Scholar] [CrossRef] [PubMed]
- Qayed, M.; Wang, T.; Hemmer, M.T.; Spellman, S.; Arora, M.; Couriel, D.; Alousi, A.; Pidala, J.; Abdel-Azim, H.; Aljurf, M.; et al. Influence of age on acute and chronic GVHD in children undergoing HLA-identical sibling bone marrow transplantation for acute leukemia: Implications for prophylaxis. Biol. Blood Marrow Transplant. 2018, 24, 521–528. [Google Scholar] [CrossRef]
- Coculova, M.; Imrichova, D.M.; Messingerova, S.L.; Bohacova, V.; Sulova-Breier, A. The expression of P-glycoprotein in leukemia cells is associated withtheupregulated expression of nestin.a class 6 filament protein. Leuk. Res. 2016, 48, 32–39. [Google Scholar] [CrossRef] [PubMed]
- Beroukhim, R.; Mermel, C.H.; Porter, D.; Wei, G.; Raychaudhuri, S.; Donovan, J.; Barretina, J.; Boehm, J.S.; Dobson, J.; Urashima, M.; et al. The landscape of somatic copy-number alteration across human cancers. Nature 2010, 463, 899–905. [Google Scholar] [CrossRef]
- Wei, G.; Margolin, A.A.; Haery, L.; Brown, E.; Cucolo, L.; Julian, B.; Shehata, S.; Kung, A.L.; Beroukhim, R.; Golub, T.R. Chemical genomics identifies small-molecule MCL1 repressors and BCL-xL as a predictor of MCL1 dependency. Cancer Cell. 2012, 21, 547–562. [Google Scholar] [CrossRef]
- Campbelland, K.J.; Tait, S.W.G. Targeting BCL-2 regulated apoptosis in cancer. Open Biol. 2018, 8, 180002. [Google Scholar] [CrossRef]
- Wang, H.Y.; Chang, Y.L.; Cheng, C.C.; Chao, M.W.; Lin, S.I.; Pan, S.L.; Hsu, C.C.; Liu, T.W.; Cheng, H.C.; Tseng, C.P.; et al. Glucocorticoids may compromise the effect of gefitinib in non-small cell lung cancer. Oncotarget 2016, 7, 85917–85928. [Google Scholar] [CrossRef]
- Michlewska, S.; Ionov, M.; Shcharbin, D.; Maroto-Díaz, M.; Gomez Ramirez, R.; de la Mata, F.J.; Bryszewska, M. Ruthenium metallodendrimers with anticancer potential in an acute promyelocyticleukemia (HL60) cell line. Eur. Polm. J. 2017, 87, 39–47. [Google Scholar] [CrossRef]
- Hashemi, M.; Tabatabai, S.M.; Parhiz, H.; Milanizadeh, S.; Farzad, S.A.; Abnous, K.; Ramezani, M. Gene delivery efficiency and cytotoxicity of heterocyclic amine-modified PAMAM and PPI dendrimers. Mater. Sci. Eng. 2016, C61, 791–800. [Google Scholar]
- Abbasi, E.; Aval, S.F.; Akbarzadeh, A.; Milani, M.; Nasrabadi, H.T.; Joo, S.W.; Hanifehpour, Y.; Nejati-Koshki, K.; Pashaei-Asl, R. Dendrimers: Synthesis, applications and properties. Nanoscale Res. Lett. 2014, 9, 247. [Google Scholar] [CrossRef] [PubMed]
- Biswas, S.; Torchilin, V.P. Dendrimers for siRNA Delivery. Pharm. Basel. 2013, 2, 161–183. [Google Scholar] [CrossRef]
- Maroto-Dıaz, M.; Elie, B.T.; Gomez-Sal, P.; Pérez-Serrano, J.; Gómez, R.; Contel, M.; de la Mata, F.J. Synthesis and anticancer activity of carbosilane metallodendrimers based on arene ruthenium(II) complexes. Dalton Trans. 2016, 45, 7049–7066. [Google Scholar] [CrossRef]
- Pereira, F.C.; de Lima, A.P.; Vilanova-Costa, C.A.; Pires, W.C.; Ribeiro, A.; Pereira, L.C.G.; Pavanin, L.A.; dos Santo, W.B.; Silveira-Lacerda, E. Cytotoxic effects of the compound cistetraammine (oxalato) ruthenium(III) dithionate on K-562 human chronic myelogenous leukemia cells. Springer Plus. 2014, 3, 301. [Google Scholar] [CrossRef] [PubMed]
- Dragutan, I.; Dragutan, V.; Demonceau, A. Editorial of special issue ruthenium complex: The expanding chemistry of the ruthenium complexes. Molecules 2015, 20, 17244–17274. [Google Scholar] [CrossRef]
- Carter, R.; Westhorpe, A.; Romero, M.J.; Habtemariam, A.; Gallevo, C.R.; Bark, Y.; Menezes, N.; Sadler, P.J.; Sharma, R.A. Radiosensitisation of human colorectal cancer cells by ruthenium(II) arene anticancer complexes. Sci. Rep. 2016, 20596, 1–12. [Google Scholar] [CrossRef]
- Spreckelmeyer, S.; Orvig, C.; Casini, A. Cellular transport mechanisms of cytotoxic metallodrugs: An overview beyond cisplatin. Molecules 2014, 19, 15584–15610. [Google Scholar] [CrossRef] [PubMed]
- Vilanova-Costa, C.A.; Porto, H.K.; Pereira Fde, C.; de Lima, A.P.; Dos Santos, W.B.; Silveira-Lacerda Ede, P. The ruthenium complexes cis-(dichloro)tetramineruthenium(III) chloride and cis-tetraammine(oxalato)ruthenium(III) dithionate overcome resistance inducing apoptosis on human lung carcinoma cells (A549). Biometals 2014, 27, 459–469. [Google Scholar] [CrossRef]
- Menjoge, A.R.; Kannan, R.M.; Tomalia, D.A. Dendrimer-based drug and imaging conjugates: Design considerations for nanomedicalapplications. Drug Discov. Today 2010, 15, 171–185. [Google Scholar] [CrossRef] [PubMed]
- Michlewska, S.; Kubczak, M.; Maroto-Díaz, M.; Sanz del Olmo, N.; Ortega, P.; Shcharbin, D.; Gomez Ramirez, R.; de la Mata, F.J.; Ionov, M.; Bryszewska, M. Synthesis and characterization of FITC labelled ruthenium dendrimer as a prospective anticancer drug. Biomolecules 2019, 9, 411. [Google Scholar] [CrossRef] [PubMed]
- Hołota, M.; Magiera, J.; Michlewska, S.; Kubczak, M.; Sanz del Olmo, N.; Garcia-Gallego, S.; Ortega, P.; de la Mata, F.J.; Ionov, M.; Bryszewska, M. In vitro anticancer properties of copper matallodendrimers. Biomolecules 2011, 9, 155. [Google Scholar] [CrossRef] [PubMed]
- Dickerson, M.; Sun, Y.; Howerton, B.; Glazer, E.C. Modifying charge and hydrophilicity of simple Ru(II) polypyridyl complexes radically alters biological activities: Old complexes surprising new tricks. Inorg. Chem. 2014, 53, 10370–10377. [Google Scholar] [CrossRef]
- Koceva-Chyla, A.; Matczak, K.; Hikisz, P.; Durka, K.; Kochel, K.; Süss-Fink, G.; Furrer, J.; Kowalski, K. Insights into the in vitro anticancer effects of diruthenium-1. Chem. Med. Chem. 2016, 11, 1–18. [Google Scholar] [CrossRef]
- Pedziwiatr-Werbicka, E.; Fuentes, E.; Dzmitruk, V.; Sanchez, J.; Sudas, M.; Drozd, E.; Shakhbazau, A.; Shcharbin, D.; de la Mata, F.J.; Gomez-Ramirez, R.; et al. Novel ‘Si C’ carbosilane dendrimers as carriers for anti-HIV nucleic acids: Studies on complexation and interaction with blood cells. Colloids Surf. B Biointerfaces 2013, 109, 183–189. [Google Scholar] [CrossRef]
- Milowska, K.; Szwed, A.; Mutrynowska, M.; Gomez-Ramirez, R.; de la Mata, F.J.; Gabryelak, T.; Bryszewska, M. Carbosilane dendrimers inhibit a-synucleinfibrillation and prevent cells from rotenone-induced damage. Int. J. Pharm. 2015, 484, 268–275. [Google Scholar] [CrossRef] [PubMed]
- Solarska-Sciuk, K.; Gajewska, A.; Glinska, S.; Michlewska, S.; Balcerzak, Ł.; Jamrozik, A.; Skolimowski, J.; Burda, K.; Bartosz, G. Effect of functionalized and non-functionalized nanodiamond on the morphology and activities of antioxidant enzymes of lung epithelial cells (549). Chem. Biol. Int. 2014, 222, 135–147. [Google Scholar] [CrossRef]
- Studzian, M.; Szulc, A.; Janaszewska, A.; Appelhans, D.; Pulaski, L.; Klajnert-Maculewicz, B. Mechanisms of internalization of maltose-modified poly(propyleneimine) glycodendrimers into leukemic cell lines. Biomacromolecules 2017, 18, 1509–1520. [Google Scholar] [CrossRef]
- Barrios-Gumiel, A.; Sánchez-Nieves, J.; Pedziwiatr-Werbicka, E.; Abashkin, V.; Shcharbina, N.; Shcharbin, D.; Glińska, S.; Ciepluch, K.; Kuc-Ciepluch, D.; Lach, D.; et al. Effect of PEGylation on the biological properties of cationic carbosilanedendronized gold nanoparticles. Int. J. Pharm. 2019, 573, 118867. [Google Scholar] [CrossRef] [PubMed]
- Michlewska, S.; Ionov, M.; Maroto-Díaz, M.; Szwed, A.; Ihnatsyeu-Kachan, A.; Abashkin, V.; Dzmitruk, V.; Rogalska, A.; Denel, M.; Gapińska, M.; et al. Ruthenium dendrimers against acute promyelocytic leukaemia. In vitro studies on HL-60 cells. Future Med. Chem. 2019, 11, 1741–1756. [Google Scholar] [CrossRef] [PubMed]
- Chu, C.; Xu, J.; Cheng, D.; Li, X.; Tong, S.; Yan, J.; Li, Q. Anti-proliferative and apoptosis-inducing effects of camptothecin 20 (S)-O-(2-Pyrazolyl-1) acetic ester in human breast tumor MCF-7 cells. Molecules 2014, 19, 4941–4955. [Google Scholar] [CrossRef]
- Dasgupta, A.; Nomura, M.; Shuck, R.; Yustein, J. Cancer’s achilles’ heel: Apoptosis and necroptosis to the rescue. Int. J. Mol. Sci. 2017, 18, 23. [Google Scholar] [CrossRef] [PubMed]
- Bae, Y.; Song, S.J.; Mun, J.Y.; Ko, K.S.; Han, J.; Choi, J.S. Apoptin gene delivery by the functionalized polyamidoamine (PAMAM) dendrimer modified with ornithine induces cell death of Hepg 2 cells. Polymers 2017, 9, 197. [Google Scholar] [CrossRef] [PubMed]
- Belmar, J.; Fesik, S.W. Small molecule Mcl-1 inhibitors for the treatment of cancer. Pharmacol. Ther. 2015, 145, 76–84. [Google Scholar] [CrossRef]
- Hikisz, P.; Szczupak, L.; Koceva-Chyla, A.; Guśpiel, A.; Oehninger, L.; Ott, I.; Therrien, B.; Solecka, J.; Kowalski, K. Anticancer and antibacterial activity studies of gold(I)-alkynylchromones. Molecules 2015, 20, 19699–19718. [Google Scholar] [CrossRef]
- Konopleva, M.; Contractor, R.; Tsao, T.; Samudio, I.; Ruvalo, P.P.; Kitada, S.; Deng, X.M.; Zhai, D.Y.; Shi, Y.X.; Sneed, T.; et al. Mechanisms of apoptosis sensitivity and resistance to the BH3 mimetic ABT-737 in acute myeloid leukemia. Cancer Cell. 2006, 10, 375–388. [Google Scholar] [CrossRef]
- Salvioli, S.; Ardizzoni, A.; Franceschi, C.; Cossarizza, A. JC-1, but not DiOC6(3) or rhodamine 123, is a reliable fluorescent probe to assess delta psi changes in intact cells: Implications for studies on mitochondrial functionality during apoptosis. FEBS Lett. 1997, 411, 77–82. [Google Scholar] [CrossRef]
- Singh, N.P.; McCoy, M.T.; Tice, R.R. A simple technique for quantitation of low levels of DNA damage in individual cells. Exp. Cell Res. 1988, 175, 84–91. [Google Scholar] [CrossRef]
- Reynolds, S.S. The use of lead citrate of high pH as an electron-opaque stain in electron microscopy. J. Cell Biol. 1963, 17, 208–212. [Google Scholar] [CrossRef]






| 24 h | 48 h | |
|---|---|---|
| CRD13 | 3.80 ± 0.36 | 3.65 ± 2.90 |
| CRD27 | 4.90 ± 1.50 | 3.78 ± 2.70 |
| Incubation Time | CRD13 Concentration (μmol/L) | CRD27 Concentration (μmol/L) | ||||||
|---|---|---|---|---|---|---|---|---|
| 0.5 | 1 | 2.5 | 5 | 0.5 | 1 | 2.5 | 5 | |
| 0.5 h | 126.98 ± 8.80 | 127.27 ± 9.20 | 140.28 ± 10.51 | 140.81 ± 9.40 | 127.40 ± 9.52 | 126.87 ± 9.63 | 138.86 ± 8.48 | 141.19 ± 10.50 |
| 3 h | 109.07 ± 5.00 | 109.70 ± 5.07 | 121.16 ± 0.99 | 127.89 ± 4.97 | 114.79 ± 2.88 | 116.36 ± 8.39 | 121.38 ± 6.34 | 122.18 ± 6.17 |
| 24 h | 101.37 ± 2.54 | 100.68 ± 1.41 | 97.37 ± 2.08 | 95.49 ± 3.00 | 103.671 ± 1.73 | 99.47 ± 2.85 | 98.67 ± 1.89 | 94.02 ± 3.81 |
| 48 h | 86.92 ± 8.43 | 90.64 ± 5.09 | 89.92 ± 7.65 | 93.47 ± 5.76 | 94.69 ± 4.48 | 89.28 ± 5.38 | 87.78 ± 3.44 | 88.08 ± 5.32 |
| Incubation Time | CRD13 Concentration (μmol/L) | CRD27 Concentration (μmol/L) | ||||||
|---|---|---|---|---|---|---|---|---|
| 0.5 | 1 | 2.5 | 5 | 0.5 | 1 | 2.5 | 5 | |
| 0.5 h | 97.23 ± 3.28 | 96.43 ± 5.85 | 115.00 ± 3.55 | 122.145 ± 5.67 | 97.51 ± 2.53 | 99.62 ± 1.81 | 98.84 ± 1.44 | 109.09 ± 6.29 |
| 3 h | 103.56 ± 5.56 | 109.63 ± 1.9 | 123.76 ± 1.60 | 140.56 ± 5.35 | 103.30 ± 4.43 | 109.79 ± 5.63 | 111.53 ± 13.53 | 138.58 ± 10.91 |
| 24 h | 96.03 ± 6.65 | 96.63 ± 9.74 | 105.71 ± 14.06 | 120.40 ± 16.76 | 88.74 ± 9.48 | 92.79 ± 11.25 | 141.53 ± 16.90 | 176.4 ± 15.82 |
| 48 h | 99.59 ± 3.28 | 97.92 ± 3.89 | 108.13 ± 6.15 | 119.94 ± 13.03 | 86.89 ± 5.72 | 84.02 ± 4.27 | 105.69 ± 10.14 | 120.51 ± 10.31 |
© 2020 by the authors. Licensee MDPI, Basel, Switzerland. This article is an open access article distributed under the terms and conditions of the Creative Commons Attribution (CC BY) license (http://creativecommons.org/licenses/by/4.0/).
Share and Cite
Michlewska, S.; Ionov, M.; Szwed, A.; Rogalska, A.; Sanz del Olmo, N.; Ortega, P.; Denel, M.; Jacenik, D.; Shcharbin, D.; de la Mata, F.J.; et al. Ruthenium Dendrimers against Human Lymphoblastic Leukemia 1301 Cells. Int. J. Mol. Sci. 2020, 21, 4119. https://doi.org/10.3390/ijms21114119
Michlewska S, Ionov M, Szwed A, Rogalska A, Sanz del Olmo N, Ortega P, Denel M, Jacenik D, Shcharbin D, de la Mata FJ, et al. Ruthenium Dendrimers against Human Lymphoblastic Leukemia 1301 Cells. International Journal of Molecular Sciences. 2020; 21(11):4119. https://doi.org/10.3390/ijms21114119
Chicago/Turabian StyleMichlewska, Sylwia, Maksim Ionov, Aleksandra Szwed, Aneta Rogalska, Natalia Sanz del Olmo, Paula Ortega, Marta Denel, Damian Jacenik, Dzmitry Shcharbin, Francisco Javier de la Mata, and et al. 2020. "Ruthenium Dendrimers against Human Lymphoblastic Leukemia 1301 Cells" International Journal of Molecular Sciences 21, no. 11: 4119. https://doi.org/10.3390/ijms21114119
APA StyleMichlewska, S., Ionov, M., Szwed, A., Rogalska, A., Sanz del Olmo, N., Ortega, P., Denel, M., Jacenik, D., Shcharbin, D., de la Mata, F. J., & Bryszewska, M. (2020). Ruthenium Dendrimers against Human Lymphoblastic Leukemia 1301 Cells. International Journal of Molecular Sciences, 21(11), 4119. https://doi.org/10.3390/ijms21114119

