Nanoliposomes from Agro-Resources as Promising Delivery Systems for Chondrocytes
Abstract
1. Introduction
2. Results and Discussion
2.1. Lipid Classes and Fatty Acid Analysis
2.2. Nanoliposome Physicochemical Properties
2.3. Nanoliposomes Morphology
2.4. Membrane Fluidity
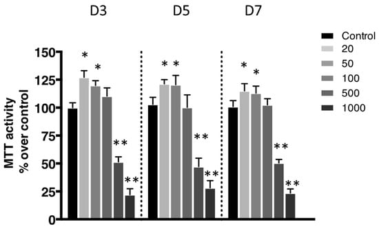
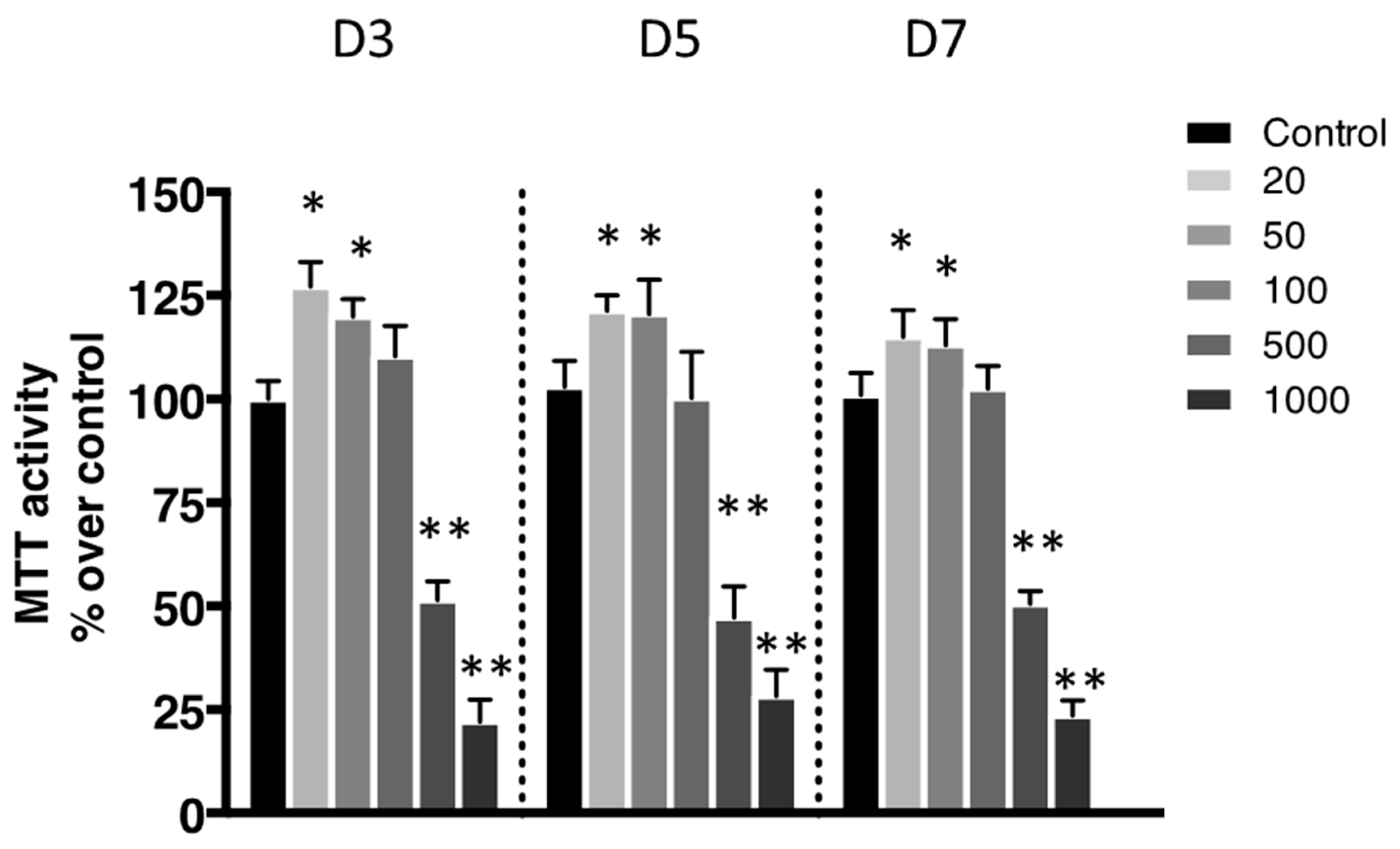
2.5. Biocompatibility of Nanoliposomes
2.6. Effects on Chondrocyte Phenotype
3. Materials and Methods
3.1. Lipid Classes
3.2. Fatty Acids Composition
3.3. Nanoliposomes Preparation
3.4. Nanoliposomes Physicochemical Characterization
3.5. Nanoparticle Tracking Analysis (NTA)
3.6. Nanoliposomes Stability
3.7. Nanoliposomes Transmission Electron Microscopy (TEM)
3.8. Membrane Fluidity
3.9. Chondrocytes Isolation and Culture
3.10. Biocompatibility Assays
3.10.1. Cytotoxicity Evaluation by LDH Assay
3.10.2. Cell Proliferation
3.10.3. Cell Metabolic Activity
3.11. Live/Dead Cell Assay
3.12. RNA Isolation, Reverse Transcription and Real-Time Polymerase Chain Reaction (RT-PCR)
3.13. Statistical Analysis
4. Conclusions
Supplementary Materials
Author Contributions
Funding
Acknowledgments
Conflicts of Interest
References
- Malek, N.; Starowicz, K. Joint problems arising from lack of repair mechanisms: Can cannabinoids help? Br. J. Pharmacol. 2018, 176, 1412–1420. [Google Scholar] [CrossRef] [PubMed]
- Goldring, M.B. Osteoarthritis and cartilage: The role of cytokines. Curr. Rheumatol. Rep. 2000, 2, 459–465. [Google Scholar] [CrossRef] [PubMed]
- Fahy, N.; Alini, M.; Stoddart, M.J. Mechanical stimulation of mesenchymal stem cells: Implications for cartilage tissue engineering. J. Orthop. Res. 2017. [Google Scholar] [CrossRef] [PubMed]
- Zhao, Q.; Eberspaecher, H.; Lefebvre, V.; Crombrugghe, B. de Parallel expression of Sox9 and Col2a1 in cells undergoing chondrogenesis. Dev. Dyn. 1997, 209, 377–386. [Google Scholar] [CrossRef]
- Goldring, M.B. Update on the biology of the chondrocyte and new approaches to treating cartilage diseases. Best Pr. Res. Clin. Rheumatol. 2006, 20, 1003–1025. [Google Scholar] [CrossRef]
- Sun, M.; Hussain, S.; Hu, Y.; Yan, J.; Min, Z.; Lan, X.; Guo, Y.; Zhao, Y.; Huang, H.; Feng, M.; et al. Maintenance of SOX9 stability and ECM homeostasis by selenium-sensitive PRMT5 in cartilage. Osteoarthr. Cartil. 2019, 27, 932–944. [Google Scholar] [CrossRef]
- Aigner, T.; McKenna, L. Molecular pathology and pathobiology of osteoarthritic cartilage. Cell. Mol. Life Sci. 2002, 59, 5–18. [Google Scholar] [CrossRef]
- Li, A.; Wei, Y.; Hung, C.; Vunjak-Novakovic, G. Chondrogenic properties of collagen type XI, a component of cartilage extracellular matrix. Biomaterials 2018, 173, 47–57. [Google Scholar] [CrossRef]
- Graceffa, V.; Vinatier, C.; Guicheux, J.; Evans, C.H.; Stoddart, M.; Alini, M.; Zeugolis, D. State of art and limitations in genetic engineering to induce stable chondrogenic phenotype. Biotechnol. Adv. 2018, 36, 1855–1869. [Google Scholar] [CrossRef]
- Welter, J.F.; Solchaga, L.A.; Stewart, M.C. High-Efficiency Nonviral Transfection of Primary Chondrocytes. In Cartilage and Osteoarthritis; Springer Science and Business Media LLC: Berlin, Germany, 2004; Volume 100, pp. 129–146. [Google Scholar]
- Madry, H.; Trippel, S.B. Efficient lipid-mediated gene transfer to articular chondrocytes. Gene Ther. 2000, 7, 286–291. [Google Scholar] [CrossRef]
- Madeira, C.; Mendes, R.D.; Ribeiro, S.C.; Boura, J.S.; Aires-Barros, M.R.; Da Silva, C.L.; Cabral, J.M.S. Nonviral Gene Delivery to Mesenchymal Stem Cells Using Cationic Liposomes for Gene and Cell Therapy. J. Biomed. Biotechnol. 2010, 2010, 1–12. [Google Scholar] [CrossRef] [PubMed]
- Dinser, R.; Kreppel, F.; Zaucke, F.; Blank, C.; Paulsson, M.; Kochanek, S.; Maurer, P. Comparison of long-term transgene expression after non-viral and adenoviral gene transfer into primary articular chondrocytes. Histochem. Cell Boil. 2001, 116, 69–77. [Google Scholar] [CrossRef] [PubMed]
- Madry, H.; Cucchiarini, M.; Terwilliger, E.F.; Trippel1, S.B. Recombinant Adeno-Associated Virus Vectors Efficiently and Persistently Transduce Chondrocytes in Normal and Osteoarthritic Human Articular Cartilage. Hum. Gene Ther. 2003, 14, 393–402. [Google Scholar] [CrossRef] [PubMed]
- Stöve, J.; Fiedler, J.; Huch, K.; Günther, K.-P.; Puhl, W.; Brenner, R. Lipofection of rabbit chondrocytes and long lasting expression of a lacZ reporter system in alginate beads. Osteoarthr. Cartil. 2002, 10, 212–217. [Google Scholar] [CrossRef][Green Version]
- Changsuo, X.; Haiyan, L.; Xuanying, Y.; Chenlei, X.; Yu, Z.; Hui, H. Combination Gene Transfection of TGF-β3 and BMP-2 Mediated by Lentivirus Induces Chondrogenic Differentiation of Rabbit Bone Marrow Mesenchymal Stem Cells. J. Biomater. Tissue Eng. 2018, 8, 521–529. [Google Scholar] [CrossRef]
- Martin-Pena, A.; Porter, R.; Plumton, G.; McCarrel, T.; Morton, A.; Guijarro, M.; Ghivizzani, S.; Sharma, B.; Palmer, G. Lentiviral-based reporter constructs for profiling chondrogenic activity in primary equine cell populations. Eur. Cells Mater. 2018, 36, 156–170. [Google Scholar] [CrossRef] [PubMed]
- Daouti, S.; Latario, B.; Nagulapalli, S.; Buxton, F.; Uziel-Fusi, S.; Chirn, G.-W.; Bodian, D.; Song, C.; Labow, M.; Lotz, M.; et al. Development of comprehensive functional genomic screens to identify novel mediators of osteoarthritis. Osteoarthr. Cartil. 2005, 13, 508–518. [Google Scholar] [CrossRef]
- Brower-Toland, B.D.; Saxer, R.A.; Goodrich, L.; Mi, Z.; Robbins, P.D.; Evans, C.H.; Nixon, A.J. Direct Adenovirus-Mediated Insulin-Like Growth Factor I Gene Transfer Enhances Transplant Chondrocyte Function. Hum. Gene Ther. 2001, 12, 117–129. [Google Scholar] [CrossRef]
- Madry, H.; Cucchiarini, M.; Stein, U.; Remberger, K.; Menger, M.; Kohn, D.; Trippel, S.B. Sustained transgene expression in cartilage defectsin vivo after transplantation of articular chondrocytes modified by lipid-mediated gene transfer in a gel suspension delivery system. J. Gene Med. 2003, 5, 502–509. [Google Scholar] [CrossRef]
- Lu, F.-Z.; Kitazawa, Y.; Hara, Y.; Jiang, J.-Y.; Li, X.-K. Long-term Gene Expression Using the Lentiviral Vector in Rat Chondrocytes. Clin. Orthop. Relat. Res. 2005, 439, 243–252. [Google Scholar] [CrossRef]
- Gresch, O. New non-viral method for gene transfer into primary cells. Methods 2004, 33, 151–163. [Google Scholar] [CrossRef] [PubMed]
- Hamm, A.; Krott, N.; Breibach, I.; Blindt, R.; Bosserhoff, A. Efficient Transfection Method for Primary Cells. Tissue Eng. 2002, 8, 235–245. [Google Scholar] [CrossRef] [PubMed]
- Hasan, M.; Latifi, S.; Kahn, C.; Tamayol, A.; Habibey, R.; Passeri, E.; Linder, M.; Arab-Tehrany, E. The Positive Role of Curcumin-Loaded Salmon Nanoliposomes on the Culture of Primary Cortical Neurons. Mar. Drugs 2018, 16, 218. [Google Scholar] [CrossRef] [PubMed]
- Hasan, M.; ElKhoury, K.; Belhaj, N.; Kahn, C.; Tamayol, A.; Barberi-Heyob, M.; Arab-Tehrany, E.; Linder, M. Growth-Inhibitory Effect of Chitosan-Coated Liposomes Encapsulating Curcumin on MCF-7 Breast Cancer Cells. Mar. Drugs 2020, 18, 217. [Google Scholar] [CrossRef]
- Hasan, M.; ElKhoury, K.; Kahn, C.; Arab-Tehrany, E.; Linder, M. Preparation, Characterization, and Release Kinetics of Chitosan-Coated Nanoliposomes Encapsulating Curcumin in Simulated Environments. Molecules 2019, 24, 2023. [Google Scholar] [CrossRef] [PubMed]
- ElKhoury, K.; Russell, C.S.; Sanchez-Gonzalez, L.; Mostafavi, A.; Williams, T.J.; Kahn, C.; Peppas, N.A.; Arab-Tehrany, E.; Tamayol, A. Soft-Nanoparticle Functionalization of Natural Hydrogels for Tissue Engineering Applications. Adv. Heal. Mater. 2019, 8, e1900506. [Google Scholar] [CrossRef]
- Latifi, S.; Tamayol, A.; Habibey, R.; Sabzevari, R.; Kahn, C.; Geny, D.; Eftekharpour, E.; Annabi, N.; Blau, A.; Linder, M.; et al. Natural lecithin promotes neural network complexity and activity. Sci. Rep. 2016, 6, 25777. [Google Scholar] [CrossRef]
- Li, J.; ElKhoury, K.; Barbieux, C.; Linder, M.G.; Tamayol, A.; Francius, G.; Arab-Tehrany, E. Effects of Bioactive Marine-Derived Liposomes on Two Human Breast Cancer Cell Lines. Mar. Drugs 2020, 18, 211. [Google Scholar] [CrossRef]
- Kadri, R.; Bacharouch, J.; ElKhoury, K.; Ben Messaoud, G.; Kahn, C.; Desobry, S.; Linder, M.; Tamayol, A.; Francius, G.; Mano, J.; et al. Role of active nanoliposomes in the surface and bulk mechanical properties of hybrid hydrogels. Mater. Today Bio 2020, 6, 100046. [Google Scholar] [CrossRef]
- Calvagno, M.G.; Celia, C.; Paolino, D.; Cosco, D.; Iannone, L.; Castelli, F.; Doldo, P.; Fresta, M. Effects of Lipid Composition and Preparation Conditions on Physical-Chemical Properties, Technological Parameters and In Vitro Biological Activity of Gemcitabine-Loaded Liposomes. Curr. Drug Deliv. 2007, 4, 89–101. [Google Scholar] [CrossRef]
- Zweers, M.L.; Grijpma, D.W.; Engbers, G.H.; Feijen, J. The preparation of monodisperse biodegradable polyester nanoparticles with a controlled size. J. Biomed. Mater. Res. 2003, 66, 559–566. [Google Scholar] [CrossRef] [PubMed]
- Yen, F.-L.; Wu, T.-H.; Lin, L.-T.; Cham, T.-M.; Lin, C.-C. Nanoparticles formulation of Cuscuta chinensis prevents acetaminophen-induced hepatotoxicity in rats. Food Chem. Toxicol. 2008, 46, 1771–1777. [Google Scholar] [CrossRef] [PubMed]
- Chansiri, G.; Lyons, R.T.; Patel, M.V.; Hem, S.L. Effect of surface charge on the stability of oil/water emulsions during steam sterilization. J. Pharm. Sci. 1999, 88, 454–458. [Google Scholar] [CrossRef]
- Maherani, B.; Arab-Tehrany, E.; Kheirolomoom, A.; Reshetov, V.; Stébé, M.J.; Linder, M. Optimization and characterization of liposome formulation by mixture design. Analyst 2012, 137, 773–786. [Google Scholar] [CrossRef]
- Zalba, S.; Hagen, T.L.T. Cell membrane modulation as adjuvant in cancer therapy. Cancer Treat. Rev. 2016, 52, 48–57. [Google Scholar] [CrossRef] [PubMed]
- Stulnig, T.M.; Huber, J.; Leitinger, N.; Imre, E.-M.; Angelisová, P.; Nowotny, P.; Waldhäusl, W. Polyunsaturated Eicosapentaenoic Acid Displaces Proteins from Membrane Rafts by Altering Raft Lipid Composition. J. Boil. Chem. 2001, 276, 37335–37340. [Google Scholar] [CrossRef] [PubMed]
- Nicolson, G.L.; Ash, M. Lipid Replacement Therapy: A natural medicine approach to replacing damaged lipids in cellular membranes and organelles and restoring function. Biochim. Biophys. Acta (BBA) Biomembr. 2014, 1838, 1657–1679. [Google Scholar] [CrossRef]
- Choy, E.H.; Panayi, G.S. Cytokine Pathways and Joint Inflammation in Rheumatoid Arthritis. N. Engl. J. Med. 2001, 344, 907–916. [Google Scholar] [CrossRef]
- Goldring, M.B.; Birkhead, J.R.; Suen, L.F.; Yamin, R.; Mizuno, S.; Glowacki, J.; Arbiser, J.L.; Apperley, J.F. Interleukin-1 beta-modulated gene expression in immortalized human chondrocytes. J. Clin. Investig. 1994, 94, 2307–2316. [Google Scholar] [CrossRef]
- Martel-Pelletier, J. Cytokines and their role in the pathophysiology of osteoarthritis. Front. Biosci. 1999, 4, d694. [Google Scholar] [CrossRef]
- Bianchi, A.; Guibert, M.; Cailotto, F.; Gasser, A.; Presle, N.; Mainard, D.; Netter, P.; Kempf, H.; Jouzeau, J.-Y.; Reboul, P. Fibroblast Growth Factor 23 drives MMP13 expression in human osteoarthritic chondrocytes in a Klotho-independent manner. Osteoarthr. Cartil. 2016, 24, 1961–1969. [Google Scholar] [CrossRef] [PubMed]
- Hasan, M.; Belhaj, N.; Benachour, H.; Barberi-Heyob, M.; Kahn, C.; Jabbari, E.; Linder, M.; Arab-Tehrany, E. Liposome encapsulation of curcumin: Physico-chemical characterizations and effects on MCF7 cancer cell proliferation. Int. J. Pharm. 2014, 461, 519–528. [Google Scholar] [CrossRef] [PubMed]
- Ackman, R.G. Remarks on official methods employing boron trifluoride in the preparation of methyl esters of the fatty acids of fish oils. J. Am. Oil Chem. Soc. 1998, 75, 541–545. [Google Scholar] [CrossRef]
- Arab-Tehrany, E.; Kahn, C.; Baravian, C.; Maherani, B.; Belhaj, N.; Wang, X.; Linder, M. Elaboration and characterization of nanoliposome made of soya; rapeseed and salmon lecithins: Application to cell culture. Colloids Surf. B Biointerfaces 2012, 95, 75–81. [Google Scholar] [CrossRef] [PubMed]
- Bordji, K. Evidence for the Presence of Peroxisome Proliferator-activated Receptor (PPAR) alpha and gamma and Retinoid Z Receptor in Cartilage. PPARgamma Activation Modulates the effects of interleukin-1beta on Rat Chondrocytes. J. Boil. Chem. 2000, 275, 12243–12250. [Google Scholar] [CrossRef] [PubMed]





| Genes | Sequences 5′-3′ |
|---|---|
| ACAN | Fw: CAA-CCT-CCT-GGG-TGT-AAG-GA |
| Rev: TGT-AGC-AGA-TGG-CGT-CGT-AG | |
| Sox-9 | Fw: CTG-AAG-AAG-GAG-AGC-GAG-GA |
| Rev: GGT-CCA-GTC-ATA-GCC-CTT-CA | |
| Col II | Fw: TCC-CTC-TGG-TTC-TGA-TGG-TC |
| Rev: CTC-TGT-CTC-CAG-ATG-CAC-CA | |
| Col X | Fw: ATA-TCC-TGG-GGA-TCC-AGG-TC |
| Rev: TGG-GTC-ACC-CTT-AGA-TCC-AG | |
| MMP13 | Fw: CTT-CTG-GCA-CAC-GCT-TTT-CC |
| Rev: AGC-TGC-TTG-TCC-AGG-TTT-CA | |
| RP29 | Fw: CTC-TAA-CCG-CCA-CGG-TCT-GA |
| Rev: ACT-AGC-ATG-ATT-GGT-ATC-AC |
© 2020 by the authors. Licensee MDPI, Basel, Switzerland. This article is an open access article distributed under the terms and conditions of the Creative Commons Attribution (CC BY) license (http://creativecommons.org/licenses/by/4.0/).
Share and Cite
Bianchi, A.; Velot, É.; Kempf, H.; Elkhoury, K.; Sanchez-Gonzalez, L.; Linder, M.; Kahn, C.; Arab-Tehrany, E. Nanoliposomes from Agro-Resources as Promising Delivery Systems for Chondrocytes. Int. J. Mol. Sci. 2020, 21, 3436. https://doi.org/10.3390/ijms21103436
Bianchi A, Velot É, Kempf H, Elkhoury K, Sanchez-Gonzalez L, Linder M, Kahn C, Arab-Tehrany E. Nanoliposomes from Agro-Resources as Promising Delivery Systems for Chondrocytes. International Journal of Molecular Sciences. 2020; 21(10):3436. https://doi.org/10.3390/ijms21103436
Chicago/Turabian StyleBianchi, Arnaud, Émilie Velot, Hervé Kempf, Kamil Elkhoury, Laura Sanchez-Gonzalez, Michel Linder, Cyril Kahn, and Elmira Arab-Tehrany. 2020. "Nanoliposomes from Agro-Resources as Promising Delivery Systems for Chondrocytes" International Journal of Molecular Sciences 21, no. 10: 3436. https://doi.org/10.3390/ijms21103436
APA StyleBianchi, A., Velot, É., Kempf, H., Elkhoury, K., Sanchez-Gonzalez, L., Linder, M., Kahn, C., & Arab-Tehrany, E. (2020). Nanoliposomes from Agro-Resources as Promising Delivery Systems for Chondrocytes. International Journal of Molecular Sciences, 21(10), 3436. https://doi.org/10.3390/ijms21103436

