Abstract
Autophagy is a cytoprotective mechanism triggered in response to adverse environmental conditions. Herein, we investigated the autophagy process in the oriental river prawn (Macrobrachium nipponense) following hypoxia. Full-length cDNAs encoding autophagy-related genes (ATGs) ATG3, ATG4B, ATG5, and ATG9A were cloned, and transcription following hypoxia was explored in different tissues and developmental stages. The ATG3, ATG4B, ATG5, and ATG9A cDNAs include open reading frames encoding proteins of 319, 264, 268, and 828 amino acids, respectively. The four M. nipponense proteins clustered separately from vertebrate homologs in phylogenetic analysis. All four mRNAs were expressed in various tissues, with highest levels in brain and hepatopancreas. Hypoxia up-regulated all four mRNAs in a time-dependent manner. Thus, these genes may contribute to autophagy-based responses against hypoxia in M. nipponense. Biochemical analysis revealed that hypoxia stimulated anaerobic metabolism in the brain tissue. Furthermore, in situ hybridization experiments revealed that ATG4B was mainly expressed in the secretory and astrocyte cells of the brain. Silencing of ATG4B down-regulated ATG8 and decreased cell viability in juvenile prawn brains following hypoxia. Thus, autophagy is an adaptive response protecting against hypoxia in M. nipponense and possibly other crustaceans. Recombinant MnATG4B could interact with recombinant MnATG8, but the GST protein could not bind to MnATG8. These findings provide us with a better understanding of the fundamental mechanisms of autophagy in prawns.
1. Introduction
Hypoxia is a natural phenomenon in aquaculture ponds, especially in summer, that negatively impacts aquatic animals by limiting behavior, growth, reproduction and even survival [1]. Oriental river prawn (Macrobrachium nipponense) is a useful test organism for laboratory-based hypoxia research because it is small and reproduces rapidly. Recent studies in our laboratory showed that hypoxia causes energy metabolism disorders in M. nipponense brain tissue [2]. Although these previous studies revealed up-regulation of the autophagic/lysosomal pathway during hypoxia stress [3], the molecular components and regulatory networks in crustaceans have not yet been reported. Given the high conservation of the autophagic machinery [4,5,6], it is reasonable to hypothesize that autophagy represents an adaptive response to hypoxia stress in prawns.
Transportation of cytoplasmic cargo to lysosomes is dependent on autophagy since this process contributes to homeostasis of organelles and proteins [7]. Autophagy involves autophagy-related genes (ATGs) present in yeast and higher eukaryotes [8], but only a few ATGs have been cloned and characterized from fish, including Beclin1 in Gobiocypris rarus [9], Paralichthys olivaceus [10] and common carp (Cyprinus carpio) [11], ATG5 in Danio rerio [12] and ATG4 in Pelteobagrus fulvidraco [13]. A recent study identified ATGs in Macrobrachium rosenbergii transcriptome data and examined the presence of key ATG proteins in tissues using western blotting [7]. However, other studies on ATG mRNA expression profiles have not been reported.
During autophagy, regions of the cytoplasm and organelles are sequestered into vacuoles known as autophagosomes [14] that include the Beclin1/ATG6 complex and ATG7-ATG3-ATG5 ubiquitin-like conjugation, MAP1LC3 conjugation and ATG9 vesicle recycling systems (Figure 1). ATG3, ATG4, ATG5 and ATG9 are crucial regulatory components of ubiquitin-like modification systems in autophagosomes [15]. ATG8 is conjugated to the membrane lipid phosphatidylethanolamine by ATG4/ATG3 and inserted into the autophagosomal membrane by ATG9 [16,17]. We previously demonstrated that apoptosis can be triggered in the brain following exposure to reactive oxygen species (ROS) caused by hypoxia stress [2], and ROS may also induce the cytoprotective function of autophagy.
Figure 1.
Schematic representation of the autophagy pathway from reference by Seiliez et al. (2010).
In the present study, we investigated autophagy in the brain of M. nipponense following hypoxia exposure. We cloned and characterized full-length cDNAs of four ATGs (ATG3, ATG4B, ATG5, and ATG9A) reportedly involved in autophagosome expansion and membrane elongation, and explored their expression in different tissues and developmental stages in juvenile prawns, under normal and hypoxia conditions. The findings expand our understanding of autophagy and hypoxia stress at the molecular level, and illuminate the adaptive protective mechanism of autophagic responses to hypoxia in crustaceans.
2. Results
2.1. Characterization and Phylogenetic Analysis of M. nipponense ATG3, ATG4B, ATG5, and ATG9A.
Rapid amplification of the cDNA ends (RACE) of the ATG3, ATG4B, ATG5, and ATG9A fragments yielded cDNA sequences of length 1652 bp, 1512 bp, 1731 bp and 3072 bp respectively (GenBank Accession No. MK296399, MK296400, MK296401, and MK296402 respectively), including open reading frames (ORFs) encoding proteins of 319, 264, 268 and 828 amino acids respectively (calculated molecular mass = 35.80 kDa, 47.05 kDa, 31.03 kDa and 94.53 kDa respectively; theoretical isoelectric point [pI] values = 4.65, 5.11, 5.61 and 5.99, respectively). None of the genes were predicted to include a signal peptide according to SignalP 4.0 Server (available online: http://www.cbs.dtu.dk/services/SignalP-4.0/, access date: 12 April 2019). The deduced polypeptide encoded by the M. nipponense ATG3 cDNA encodes a typical conserved active-site domain and a flexible region (Figure A1). M. nipponense ATG4B possesses characteristic features reminiscent of cysteine protease Atg4, including a conserved Peptidase_C54 domain and a probable catalytic Cys residue (Figure A2). M. nipponense ATG5 contains two ubiquitin-like domains, a helix-rich domain, and conserved calpain cleavage sites (Figure A3). M. nipponense ATG9A comprises an N- and C-terminal domains, and six transmembrane helices (Figure A4). Phylogenetic trees were constructed based on the deduced amino acid sequences of the four ATGs, revealing their evolutionary relationships (Figure 2), which were in agreement with the traditional taxonomic classification of the included species.
Figure 2.
Phylogenetic tree of autophagy-related genes from M. nipponense and related organisms constructed using the neighbor-joining method with Molecular Evolutionary Genetics Analysis software version 4.0 (MEGA4) (available online: http://www.megasoftware.net/mega4/mega.html, access date: 12 April 2019). Numbers at branches indicate percentage bootstrap values.
2.2. Expression of ATG3, ATG4B, ATG5, and ATG9A in Different Tissues and Developmental Stages
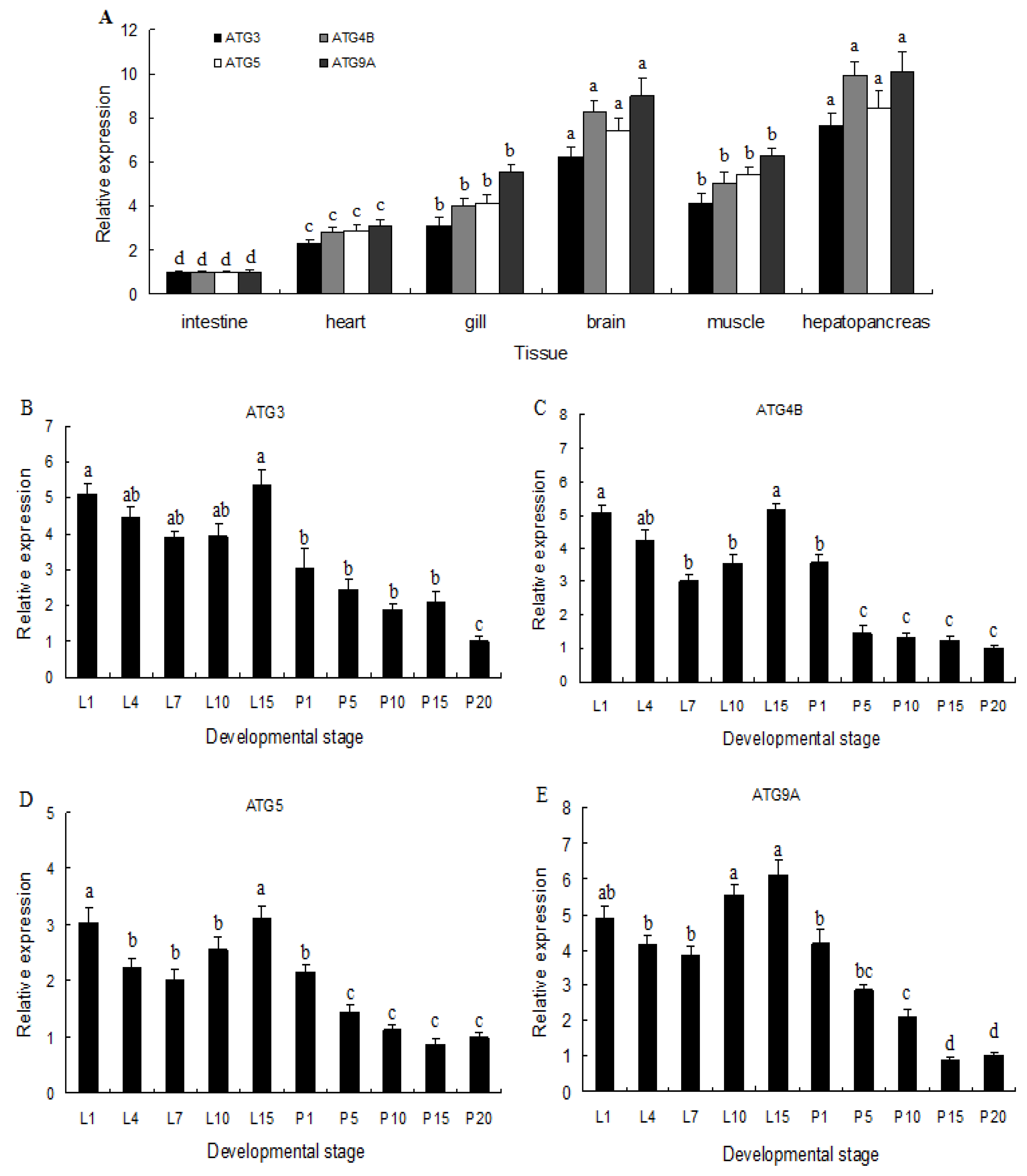
Expression of M. nipponense ATG3, ATG4B, ATG5, and ATG9A in different tissues and developmental stage was investigated by qRT-PCR, and mRNAs of all four genes were widely expressed in hepatopancreas, gill, muscle, brain, heart, and intestine, with highest expression in brain and hepatopancreas (Figure 3A). Based on these expression results, brain tissue was chosen for the subsequent experiments. Although transcripts of all four genes were detected during all developmental stages, levels were higher in early and late larval stages (p < 0.05) than the post-larval stage (Figure 3B–E). Thus, the present results indicated that ATG3, ATG4B, ATG5, and ATG9A are widely expressed in different tissues and developmental stages.
Figure 3.
Quantitative real-time PCR (qRT-PCR) analysis of M. nipponense ATG3, ATG4B, ATG5, and ATG9A mRNA expression levels in different tissues (A) and developmental stages (B–E). Larvae were collected every 4 days between 1-day post-hatching (L1) and 1 day before metamorphosis (L13). Post-larvae were collected every 5 days between 1 and 20 days after metamorphosis (P1P20), and every 10 days between P20 and P30. Data are presented as mean ± standard error of the mean (SEM) for triplicate samples, and were normalized against the β-actin housekeeping gene. Bars sharing different letters within the same gene indicate significant differences among different tissues (p < 0.05).
2.3. Expression of ATG3, ATG4B, ATG5, and ATG9A Following Hypoxia
To examine whether hypoxia affects M. nipponense ATG3, ATG4B, ATG5, and ATG9A mRNA expression, prawns were exposed to controlled hypoxia for 24 h, and mRNA expression levels of all four ATG genes increased in proportion to hypoxia duration, reaching maximum levels at 24 h post-exposure (Figure 4A–C). ATG4B mRNA expression was significantly higher than controls in brain following hypoxia for 6 h, 12 h and 24 h (p < 0.05), whereas ATG3 and ATG5 mRNA levels in brain were only slightly elevated (p < 0.05) after 12 h and 24 h of hypoxia. However, no significant differences in the ATG9A mRNA expression levels were observed (Figure 4D). The results indicate that most autophagy-related genes were expressed in response to the hypoxic challenge.
Figure 4.
Effects of hypoxia on mRNA expression levels of ATG3 (A), ATG4B (B), ATG5 (C) and ATG9A (D) in the brain of M. nipponense. Values are presented as mean ± SEM for triplicate samples. Bars with asterisks indicate significant differences between control and hypoxia groups (p < 0.05).
2.4. Localization of ATG4B mRNA in the Brain
Since the M. nipponense ATG4B expression levels were significantly affected by hypoxia, the distribution and localization of ATG4B were examined in the brain of M. nipponense during normoxia and hypoxia by ISH. The overall brain structure and nervous mass are shown in Figure 5A,B, respectively. The prawn brain is composed of the nervous mass, the optic lobe, and the intermediate neurons. The nervous mass mainly contains two types of cells—secretory cells and astrocytes. No signals were observed in the negative control experiments with the sense strand probe in the overall brain structure and nervous mass (Figure 5C,E). The ATG4B transcripts were mainly localized in the nervous mass, and a few ATG4B transcripts were localized in the optic lobe under normoxic conditions (Figure 5D). Furthermore, in response to normoxia and hypoxia, a positive signal was obtained for the antisense probe both in the round-shaped secretory cells and oval-shaped astrocytes from the cerebral ganglion (Figure 5F,G). A schematic of the organization of the prawn brain was shown in Figure 5H. Thus, we next investigated the functions of ATG4B in brain of prawns in response to hypoxia.
Figure 5.
In situ hybridization of M. nipponense ATG4B transcripts in the brain tissue. (A) Photograph of M. nipponense overall brain including the nervous mass (NM), optic lobe (OL) and intermediate neurons (IN). (B) Nervous mass of M. nipponense showing secretory cells (SCs) and astrocyte cells (ACs). (C) and (E) Sense probes were used as negative controls. (D) ATG4B expression in the brain tissue of prawns in the cell mass (CM) and optic nerve lamella (ONL). (F) and (G) ATG4B was mainly expressed in the secretory cells and astrocytes cells of prawns in response to normoxia and hypoxia for 24 h, secretory cells and astrocytes cells have been distinguished with different shape, such as round and oval. (H) A schematic of the organization of the prawn brain. SG: spinal ganglion cells, NCM: neural cells mass, IN: intermediate neurons, NF: nerve fibers, FL: frontal lobe, LL: lateral lobes. Scale bar: 20 μm (A,C,D), 50 μm (B,E,F,G).
2.5. Biochemical Analysis
Enzyme activity was analyzed to confirm that hypoxia resulted in alterations in the metabolic pathways in the prawn brain tissue. The activities of hexokinase (HK), pyruvate kinase (PK), and lactate dehydrogenase (LDH) enzymes were significantly higher (p < 0.05) in brain after 6 h, 12 h and 24 h of hypoxia than levels in normoxia groups (Figure 6A–C). The findings indicate that hypoxia resulted in an acceleration in anaerobic glycolysis. Thus, metabolic function in the brain of juvenile M. nipponense was impaired by acute hypoxia, because the glycolytic pathway as a major source of energy is not sufficient for the ATP supply required. Next, we tried to determine whether autophagy acts as an important cytoprotective mechanism in the brain tissue of prawns in response to hypoxia.
Figure 6.
Enzyme activity of hexokinase (HK, A), pyruvate kinase (PK, B), and lactate dehydrogenase (LDH, C) in the brain of prawns in response to hypoxia. Values are presented as mean ± SEM for triplicate samples. Bars with asterisks indicate significant differences between the control and hypoxia groups (p < 0.05).
2.6. Effect of ATG4B Gene Silencing on ATG8 Expression and Cell Viability in Brain
To investigate the potential function of autophagy in response to hypoxia in prawns, expression of ATG4B in brain was silenced using dsRNA (Figure 7A,B). The ubiquitin-like protein ATG8 is a reliable marker of the induction and progression of autophagy. Thus, ATG8 in M. nipponense was cloned and its mRNA expression levels were analyzed under hypoxia conditions in our laboratory [3]. The expression of ATG8 was relatively stable (< 5% changed) in brain tissue of control prawns not injected with dsRNA. By contrast, ATG8 expression decreased by 68% or 72% after 24 h under normoxia or hypoxia conditions in the brains of dsRNA-injected prawns when ATG4B is absent (Figure 7C); this indicates that ATG8 expression is regulated by ATG4B, as reported in a previous study on rainbow trout (Oncorhynchus mykiss) [15]. Injection of neither dsATG4B nor dsEGFP affected cell viability in M. nipponense juveniles prior to hypoxia exposure. However, following ATG4B knockdown, there was a significant (p < 0.05) reduction in cell viability in ATG4B-depleted prawns compared with dsEGFP-injected prawns after 24 h of hypoxia (Figure 7D). Our results provide evidence that autophagy plays a protective role in hypoxic stress.
Figure 7.
RNA interference (RNAi)-based functional analysis of ATG4B in M. nipponense. RNAi efficiency of ATG4B silencing compared with enhanced green fluorescent protein (eGFP) at 4 days post-dsRNA injection was analyzed by semi-quantitative PCR (A) and qRT-PCR (B). ATG8 mRNA expression levels (C) and cell viability (D) in M. nipponense juvenile brains after dsRNA injection were analyzed under hypoxia and normoxia conditions. Results were normalized against β-actin as an internal transcription reference. Data are presented as mean ± SE of three independent biological replicates.
2.7. Pull-down Analysis
To investigate the in vivo autophagy pathway involved, recombinant ATG4B (rMnATG4B) and ATG8 (rMnATG8) from M. nipponense were successfully expressed and purified in our laboratory. GST pull-down assay was carried out to test the binding ability of recombinant MnATG8His and recombinant MnATG4B-GST, which were subjected to 12% SDS-PAGE. The experimental results demonstrated that rMnATG8 could interact with rMnATG4B in M. nipponense, but not with the GST-tag protein (Figure 8). The molecular weight of the recombinant MnATG4B protein was approximately 47.05 kDa, which were mixed with glutathione-sepharose 4B resin. These results indicated that rMnATG4B could specifically interact with rMnATG8.
Figure 8.
GST pull-down assays were conducted to examine the interactions between the ATG4B and ATG8 proteins. Lane M: protein molecular standard; lane 1: eluted protein from rMnATG4B incubated with rMnATG8 under reducing conditions; lane 2: purified rMnATG8-His; lane 3: washing solution; lane 4: purified rMnATG4B-GST; lane 5: purified GST-tag protein; lane 6: purified rMnATG8-His; lane 7: washing solution; lane 8: eluted protein from rMnATG8 incubated with the GST-tag under reducing conditions as a control.
3. Discussion
According to the literature, most studies in mammalian cell lines indicates that that hypoxia positively regulates autophagy [18,19,20,21,22]. However, in vivo studies on the effects of hypoxia on expression of autophagy-related genes in crustaceans is scarce. Herein, we successfully cloned full-length cDNAs of four ATGs from M. nipponense juveniles, and classified them using phylogenetic analysis. To our knowledge, this is the first characterization of ATG4 in prawns. The deduced ATG4B amino acid sequence in M. nipponense contains functional features typical of cysteine proteinases, including a conserved cysteine residue and Peptidase_C54 domain that are reportedly essential for catalytic activity [23,24]. Cys-74, Asp-278 and His-280 form the catalytic triad of HisATG4B [25], and the catalytic cleft of this enzyme recognizes ATG8 via its regulatory loop and Trp-142 [26]. M. nipponense ATG3 includes characteristic carboxyl-terminal, catalytic domain, and N-terminal domains, among which the N-terminal domain forms an amphipathic helix and binds membranes with sufficient curvature [27]. M. nipponense ATG5 possesses features characteristic of canonical ubiquitin ligase enzymes, including a pair of ubiquitin-like domains, conserved calpain cleavage sites, and a helix-rich domain [28]. Autophagosome formation requires ATG9 [29], and M. nipponense ATG9 contains N- and C-terminal domains, and six transmembrane helices. ATG9 forms a homodimer via dimerization between C-terminal domains, and this oligomerization is responsible for anterograde trafficking of ATG9 to the phagophore assembly site (PAS) [30].
In the present study, all four ATG mRNAs were found to be expressed in multiple M. nipponense tissues, with higher expression levels in brain and hepatopancreas, indicating the potential for tissue-specific regulatory mechanisms, as reported previously in mammals [31,32]. The present results also revealed expression of all four ATGs in all prawn developmental stages, with higher levels in earlier larval stages, consistent with previous studies in insects and prawns [3,33].
Autophagy is critical for homeostasis in brain cells, and is tightly regulated under normal conditions [34]. Recent studies have demonstrated that hypoxia causes metabolic abnormalities associated with autophagy in the brain tissue of M. nipponense [2,3]. Therefore, we predict that autophagy may represent an adaptive response that helps to maintain cellular homeostasis following hypoxia exposure. Previous studies revealed that autophagy typically occurs in cells in response to hypoxia/reoxygenation, involving compartmentalization of stress-damaged mitochondria into autophagosomes, followed by their digestion by autolysosomes [35,36,37]. Consistent with most previous reports, our present results indicated that hypoxia activated autophagy and up-regulated mRNA levels of ATG3, ATG4B, and ATG5, all of which may play significant roles in autophagy-mediated regulation of cellular adaptive responses to hypoxia in M. nipponense brain tissue. Furthermore, we observed that ATG4B is localized in diverse types of neuronal cells (including secretory and astrocyte cells) in the brain; this means that it might play an important role in the cerebral ganglion of prawns in response to hypoxia. Thus, autophagy may be important for the prevention of neural degenerative diseases [2,38].
In this present work, RNA interference (RNAi) was used to probe the function of ATG4B. In a previous study on M. nipponense, we demonstrated that the effects of RNAi can last 5 days [39]. Given that the brain has a high demand for energy and higher oxygen consumption requirements than other tissues [40], and emerging evidence that autophagy serves to remove toxic materials in brain cells [41], we were curious about how hypoxia may regulate autophagy in the brain. Injection of dsRNA targeting ATG4B caused a significant decrease in ATG8 transcription in the prawn brain, and decreased brain cell viability, suggesting that autophagosome biogenesis is dependent on processing of ubiquitin-like ATG8 proteins by cysteine protease ATG4. There is some evidence that yeast ATG4 is recruited to autophagosomal membranes by direct binding to ATG8 via two evolutionarily conserved ATG8 recognition sites [42]. Thus, the potential interactions between ATG4B and ATG8 were examined. The results of the GST pull-down assay showed that rATG8 could specifically interact with rATG4B (GST tag) in prawns. Thus, we speculated that ATG4 functions as a constitutive ATG8-binding module.
4. Materials and Methods
4.1. Experimental Organisms and Hypoxia Treatment
Experimental protocols for hypoxia challenge were performed as previously reported [43]. Prawns were obtained from Dapu farm, Freshwater Fisheries Research Center (FFRC) of the Chinese Academy of Fishery Sciences. Briefly, prawns were transferred to the laboratory, acclimatized for 2 weeks, and 240 individuals (1.85 ± 0.45 g) were divided randomly into groups treated with two different dissolved oxygen (DO) concentrations (controls = 6.2 ± 0.2 mg/L; treatment = 2.0 ± 0.2 mg/L). All experiments were performed in triplicate for each group. Brain, gill, muscle, intestine, and hepatopancreas tissue (~100 mg of each from each prawn) was excised, frozen in liquid nitrogen and stored at −80 °C. Samples were also obtained from different developmental stages of larvae and post-larvae according to previously published criteria [44].
4.2. Full-length cDNA Cloning
Procedures for cloning ATG3, ATG4B, ATG5, and ATG9A cDNAs were performed as described previously [45]. Primers were designed based on the obtained partial cDNA sequences using the RNA-Seq database (Table 1). PCR products were purified, sequenced, sequences were subjected to comparative analysis, and MEGA4 was used for phylogenetic tree construction.
Table 1.
Primers used in this study.
4.3. Expression of ATGs in Different Tissues and Developmental Stages, and Under Hypoxia Conditions
Total RNA was extracted from different tissues, from different growth stages, and from prawns cultured under control and hypoxia conditions using RNAiso Plus Reagent (TaKaRa, Dalian, China). Analysis of mRNA expression levels was performed by quantitative real-time PCR (qRT-PCR) as described with the β-actin housekeeping gene as an internal transcriptional reference [45]. Primers used for qPCR are listed in Table 1. Relative expression of ATG3, ATG4B, ATG5, and ATG9A was calculated using the 2−ΔΔCt method [46].
4.4. In Situ Hybridization
The eyes and brains were dissected from the prawn, as described above, and fixed in 4% paraformaldehyde in phosphate buffer saline (PBS, pH 7.4) at 4 °C overnight. Chromogenic in situ hybridization (CISH) was performed on 4-μm thick formalin-fixed paraffin-embedded sections using the Zytofast PLUS CISH implementation kit (Zyto Vision GmBH, Bremen, Germany), as reported in a previous study [47]. The slides were dehydrated in graded alcohol solutions, air dried and mounted with DPX mountant medium (Fluka, Buchs, Switzerland). The slides were then examined under a light microscope for evaluation. The sequence 5′-GTCCCTTAGCGCACACTTCA TTCCTACACCAATCCAG-3′ for ATG4B was obtained and used for probing according to a previously described method [48].
4.5. Synthesis of Double-Stranded RNA (dsRNA) and Silencing of M. nipponense ATG4B
In vitro synthesis of dsRNA was performed as previously described [49], and 120 healthy prawns (weight = 2.4 ± 0.6 g) were assigned to experimental and control groups in triplicate. The 60 prawns in the experimental group were injected with 4 μg/g body weight ATG4B dsRNA via the carapace pericardial cavity membrane [49]. Controls (n = 60) were injected with an equal amount of dsEGFP dissolved in the injection buffer.
4.6. Cell Viability Assay and Biochemical Analysis
Cells were obtained from brain tissue homogenates as described previously [50], and cell viability was determined using a cell viability assay kit (G021; Nanjing Jiancheng Bioengineering Institute, Nanjing, China) according to the manufacturer’s protocol. Hexokinase (HK), pyruvate kinase (PK), and lactate dehydrogenase (LDH) activities were determined for each sample using appropriate commercial kits (Nanjing Jiancheng Bioengineering Institute). The protein concentration of enzyme extracts was determined using the Bradford method [51], and all enzyme assays were performed in quadruplicate.
4.7. Pull-down Analysis
Recombinant ATG4B (MnATG4B) and ATG8 (MnATG8) from M. nipponense were expressed in E. coli as His-tagged fusion proteins using the pET-28a (Novagen, Darmstadt, Germany) expression system, as described in our previous study. MnATG4B and MnATG8 were purified using the GST-Bind resin. The pull-down assay was performed as previously described [52]. After the proteins were washed thoroughly with 12 mL washing buffer (0.5 M NaCl, 60 mM imidazole, 20 mM Tris HCl [pH 7.9]), they were eluted with 6 mL elution buffer (0.5 M NaCl, 1 M imidazole, 20 mM Tris HCl [pH 7.9]) and analyzed with 12% SDS-PAGE. The GST protein was used as a negative control in this assay.
4.8. Statistical Analysis
Results are presented as the mean ± standard error. Statistical analysis was performed using Statistical Package for the Social Sciences (version 19.0). Different tissues and developmental stages were compared using one-way analysis of variance and Duncan’s multiple range tests. Treatment and control groups were independently compared with Student’s t-tests, and p < 0.05 was considered statistically significant.
5. Conclusions
In summary, we cloned and characterized full-length cDNAs of ATG3, ATG4B, ATG5, and ATG9A from M. nipponense, and determined their expression profiles in different tissues and developmental stages. Hypoxia up-regulated the expression of the autophagy-related genes ATG3, ATG4B, and ATG5 at the transcriptional level in prawn brain tissue. In vivo silencing of the AG4B gene to prevent autophagy resulted in a decrease in brain cell viability, and recombinant MnATG4B exhibited binding activity with the rMnATG8 protein. These findings reveal that the fundamental mechanisms of autophagy involve putative adaptive catabolic processes that are activated in response to hypoxia.
Author Contributions
Conceived and designed experiments: S.S., H.F.; Performed experiments: S.S., H.Y., Y.W., X.W.; Analyzed data: Y.W., X.G.; Contributed reagents/materials/analysis tools: Y.W., X.G.; Wrote the paper: S.S., H.F., Y.W.
Funding
This work was supported by the National Fundamental Research Program of China (No. 31672633), the Open Funding Project of the Key Laboratory of Exploration and Use of Aquatic Genetic Resources (K2016-02), the New Varieties Creation Major Project in Jiangsu province (PZCZ201745), the Science and Technology Supporting Program of Jiangsu Province (BE2016308), and the China Agriculture Research System-48 (CARS-48).
Conflicts of Interest
The authors declare no conflict of interest.
Abbreviations
| qPCR | Quantitative real-time reverse transcription PCR |
| ATG | Autophagy-related genes |
| ORF | Open reading frame |
| ROS | Reactive oxygen species |
| mRNA | Messenger RNA |
| ISH | In situ hybridization |
| dsRNA | Double-stranded RNA |
| cDNA | Complementary DNA |
| FFRC | Freshwater Fisheries Research Center |
| SDS | Sodium dodecyl sulfate |
| PAGE | polyacrylamide gel electrophoresis |
| HK | Hexokinase |
| PK | Pyruvate kinase |
| LDH | Lactate dehydrogenase |
Appendix A

Figure A1.
Multiple amino acid sequence alignment of ATG3 from Macrobrachium nipponensis and other species. The accession numbers for ATG3 from Macrobrachium nipponensis (Mn), Ictalurus punctatus (Ip), Nasonia vitripennis (Nv), Trachymyrmex septentrionalis (Ts), Xenopus tropicalis (Xt), Danio rerio (Dr), Rattus norvegicus (Rn) and Homo sapiens (Hs) are MK296399, NP_001187315.1, XP_001601099.1, XP_018342260.1, NP_001011420.1, NP_956316.1, NP_599221.1, and NP_071933.2 respectively. The arrows below the sequences indicate conserved domains (N-terminal domain, C-terminal domain and active-site domain). AA within the oval frame represents the conserved catalytic cysteine. The flexible region (FR) is boxed.
Figure A1.
Multiple amino acid sequence alignment of ATG3 from Macrobrachium nipponensis and other species. The accession numbers for ATG3 from Macrobrachium nipponensis (Mn), Ictalurus punctatus (Ip), Nasonia vitripennis (Nv), Trachymyrmex septentrionalis (Ts), Xenopus tropicalis (Xt), Danio rerio (Dr), Rattus norvegicus (Rn) and Homo sapiens (Hs) are MK296399, NP_001187315.1, XP_001601099.1, XP_018342260.1, NP_001011420.1, NP_956316.1, NP_599221.1, and NP_071933.2 respectively. The arrows below the sequences indicate conserved domains (N-terminal domain, C-terminal domain and active-site domain). AA within the oval frame represents the conserved catalytic cysteine. The flexible region (FR) is boxed.


Figure A2.
Multiple amino acid sequence alignment of ATG4B from Macrobrachium nipponensis and other species. The accession numbers for ATG4B from Macrobrachium nipponensis (Mn), Ictalurus punctatus (Ip), Monomorium pharaonis (Mp), Apis dorsata (Ad), Xenopus tropicalis (Xt), Danio rerio (Dr), Mus musculus (Mm) and Homo sapiens (Hs) are MK296400, AHH39621.1, XP_012534809.1, XP_006616121.1, NP_001072464.1, NP_001082821.1, NP_777363.1, and NP_037457.3 respectively. The arrows below the sequences represent the Peptidase_C54 domain. AA within the oval frame represents the conserved active catalytic triad sites. The conserved regulatory loop is boxed.
Figure A2.
Multiple amino acid sequence alignment of ATG4B from Macrobrachium nipponensis and other species. The accession numbers for ATG4B from Macrobrachium nipponensis (Mn), Ictalurus punctatus (Ip), Monomorium pharaonis (Mp), Apis dorsata (Ad), Xenopus tropicalis (Xt), Danio rerio (Dr), Mus musculus (Mm) and Homo sapiens (Hs) are MK296400, AHH39621.1, XP_012534809.1, XP_006616121.1, NP_001072464.1, NP_001082821.1, NP_777363.1, and NP_037457.3 respectively. The arrows below the sequences represent the Peptidase_C54 domain. AA within the oval frame represents the conserved active catalytic triad sites. The conserved regulatory loop is boxed.

Figure A3.
Multiple amino acid sequence alignment of ATG5 from Macrobrachium nipponensis and other species. The accession numbers for ATG5 from Macrobrachium nipponensis (Mn), Ictalurus punctatus (Ip), Penaeus vannamei (Pv), Callinectes sapidus (Cs), Xenopus tropicalis (Xt), Danio rerio (Dr), Rattus norvegicus (Rn) and Homo sapiens (Hs) are MK296401, AHH42402.1, ROT80704.1, CAJ31266.1, XP_012818455.1, NP_991181.2, CAJ31281.1, and AGC52703.1 respectively. The arrows below the sequences indicate the conserved domain (two ubiquitin-like domains and a helix-rich domain). The conserved calpain cleavage sites are boxed.
Figure A3.
Multiple amino acid sequence alignment of ATG5 from Macrobrachium nipponensis and other species. The accession numbers for ATG5 from Macrobrachium nipponensis (Mn), Ictalurus punctatus (Ip), Penaeus vannamei (Pv), Callinectes sapidus (Cs), Xenopus tropicalis (Xt), Danio rerio (Dr), Rattus norvegicus (Rn) and Homo sapiens (Hs) are MK296401, AHH42402.1, ROT80704.1, CAJ31266.1, XP_012818455.1, NP_991181.2, CAJ31281.1, and AGC52703.1 respectively. The arrows below the sequences indicate the conserved domain (two ubiquitin-like domains and a helix-rich domain). The conserved calpain cleavage sites are boxed.

Figure A4.
Multiple amino acid sequence alignment of ATG9A from Macrobrachium nipponensis and other species. The accession numbers for ATG9A from Macrobrachium nipponensis (Mn), Ictalurus punctatus (Ip), Zootermopsis nevadensis (Zn), Penaeus vannamei (Pv), Xenopus tropicalis (Xt), Danio rerio (Dr), Rattus norvegicus (Rn) and Homo sapiens (Hs) are MK296402, XP_017337852.1, XP_021928466.1, ROT68153.1, XP_012826405.1, NP_001076500.1, AAH89204.1, and NP_076990.4 respectively. The arrows below the sequences indicate the conserved domains (N-terminal domain and C-terminal domain). The six transmembrane helices (TM) are boxed.
Figure A4.
Multiple amino acid sequence alignment of ATG9A from Macrobrachium nipponensis and other species. The accession numbers for ATG9A from Macrobrachium nipponensis (Mn), Ictalurus punctatus (Ip), Zootermopsis nevadensis (Zn), Penaeus vannamei (Pv), Xenopus tropicalis (Xt), Danio rerio (Dr), Rattus norvegicus (Rn) and Homo sapiens (Hs) are MK296402, XP_017337852.1, XP_021928466.1, ROT68153.1, XP_012826405.1, NP_001076500.1, AAH89204.1, and NP_076990.4 respectively. The arrows below the sequences indicate the conserved domains (N-terminal domain and C-terminal domain). The six transmembrane helices (TM) are boxed.

References
- Vaquer-Sunyer, R.; Duarte, C.M. Thresholds of hypoxia for marine biodiversity. Proc. Natl. Acad. Sci. USA 2008, 105, 15452–15457. [Google Scholar] [CrossRef] [PubMed]
- Sun, S.M.; Guo, Z.B.; Fu, H.T.; Zhu, J.; Ge, X.P. Integrated metabolomic and transcriptomic analysis of brain energy metabolism in the male Oriental river prawn (Macrobrachium nipponense) in response to hypoxia and reoxygenation. Environ. Pollut. 2018, 243, 1154–1165. [Google Scholar] [CrossRef] [PubMed]
- Sun, S.M.; Wu, Y.; Fu, H.T.; Yang, M.; Ge, X.P.; Zhu, J.; Xuan, F.J.; Wu, X.G. Evaluating expression of autophagy-related genes in oriental river prawn Macrobrachium nipponense as potential biomarkers for hypoxia exposure. Ecotox. Environ. Saf. 2019, 171, 484–492. [Google Scholar] [CrossRef] [PubMed]
- Levine, B. Eating oneself and uninvited guests: Autophagy-related pathways in cellular defense. Cell 2005, 120, 159–162. [Google Scholar] [PubMed]
- Mizushima, N.; Levine, B.; Cuervo, A.M.; Klionsky, D.J. Autophagy fights disease through cellular self-digestion. Nature 2008, 451, 1069–1075. [Google Scholar] [CrossRef]
- Hurley, J.H.; Young, L.N. Mechanisms of Autophagy Initiation. Annu. Rev. Biochem. 2017, 86, 225–244. [Google Scholar] [CrossRef]
- Suwansa-ard, S.; Kankuan, W.; Thongbuakaew, T.; Saetan, J.; Kornthong, N.; Kruangkum, T.; Khornchatri, K.; Cummins, S.F.; Isidoro, C.; Sobhon, P. Transcriptomic analysis of the autophagy machinery in crustaceans. BMC Genomics 2016, 17, 587. [Google Scholar] [CrossRef]
- Xie, Z.; Klionsky, D.J. Autophagosome formation: Core machinery and adaptations. Nat. Cell. Biol. 2007, 9, 1102–1109. [Google Scholar] [CrossRef]
- Gao, D.; Xu, Z.; Kuang, X.D.; Qiao, P.P.; Liu, S.; Zhang, L.; He, P.H.; Jadwiga, W.S.; Wang, Y.N.; Min, W.P. Molecular characterization and expression analysis of the autophagic gene Beclin1 from the purse red common carp (Cyprinus carpio) exposed to cadmium. Comp. Biochem. Physiol. C 2014, 160, 15–22. [Google Scholar]
- Kong, H.J.; Moon, J.Y.; Nam, B.H.; Kim, Y.O.; Kim, W.J.; Lee, J.H.; Kim, K.K.; Kim, B.S.; Yeo, S.Y.; Lee, C.H.; et al. Molecular characterization of the autophagy-related gene Beclin-1 from the olive flounder (Paralichthys olivaceus). Fish Shellfish Immunol. 2011, 31, 189–195. [Google Scholar] [CrossRef]
- Liu, X.H.; Wang, Z.J.; Chen, D.M.; Chen, M.F.; Jin, X.X.; Huang, J.; Zhang, Y.G. Molecular characterization of Beclin1 in rare minnow (Gobiocypris rarus) and its expression after waterborne cadmium exposure. Fish Physiol. Biochem. 2016, 42, 111–123. [Google Scholar] [CrossRef]
- Hu, Z.; Zhang, J.; Zhang, Q. Expression pattern and functions of autophagy-related gene atg5 in zebra fish organogenesis. Autophagy 2011, 7, 1514–1527. [Google Scholar] [CrossRef]
- Wei, C.C.; Luo, Z.; Song, Y.F.; Pan, Y.X.; Wu, K.; You, W.J. Identification of autophagy related genes LC3 and ATG4 from yellow catfish Pelteobagrus fulvidraco and their transcriptional responses to waterborne and dietborne zinc exposure. Chemosphere 2017, 175, 228–238. [Google Scholar] [CrossRef]
- Lum, J.J.; Bauer, D.E.; Kong, M.; Harris, M.H.; Li, C.; Lindsten, T.; Thompson, C.B. Growth factor regulation of autophagy and cell survival in the absence of apoptosis. Cell 2005, 120, 237–248. [Google Scholar] [CrossRef]
- Seiliez, I.; Gutierrez, J.; Salmerón, C.; Skiba-Cassy, S.; Chauvin, C.; Dias, K.; Kaushik, S.; Tesseraud, S.; Panserat, S. An in vivo and in vitro assessment of autophagy-related gene expression in muscle of rainbow trout (Oncorhynchus mykiss). Comp. Biochem. Physiol. B 2010, 157, 258–266. [Google Scholar] [CrossRef]
- Boya, P.; Reggiori, F.; Codogno, P. Emerging regulation and functions of autophagy. Nat. Cell Biol. 2013, 15, 713–720. [Google Scholar] [CrossRef]
- Mizushima, N.; Komatsu, M. Autophagy: Renovation of cells and tissues. Cell 2011, 147, 728–741. [Google Scholar] [CrossRef]
- Jing, X.G.; Jiang, T.C.; Dai, L.L.; Wang, X.; Cheng, Z. Hypoxia-induced autophagy activation through NF-κB pathway regulates cell proliferation and migration to induce pulmonary vascular remodeling. Exp. Cell Res. 2018, 368, 174–183. [Google Scholar] [CrossRef]
- Marques, A.P.; Rosmaninho-Salgado, J.; Estrada, M.; Cortez, V.; Nobre, R.J.; Cavadas, C. Hypoxia mimetic induces lipid accumulation through mitochondrial dysfunction and stimulates autophagy in murine preadipocyte cell line. Biochimica et Biophysica Acta (BBA)—General Subjects 2017, 1861, 673–682. [Google Scholar] [CrossRef]
- Liu, K.X.; Chen, G.P.; Lin, P.L.; Huang, J.C.; Lin, X.; Qi, J.C.; Lin, C.Q. Detection and analysis of apoptosis- and autophagy-related miRNAs of mouse vascular endothelial cells in chronic intermittent hypoxia model. Life Sci. 2018, 193, 194–199. [Google Scholar] [CrossRef]
- Baskaran, R.; Poornima, P.; Priya, L.B.; Huang, C.Y.; Padma, V.V. Neferine prevents autophagy induced by hypoxia through activation of Akt/mTOR pathway and Nrf2 in muscle cells. Biomed. Pharmacother. 2016, 83, 1407–1413. [Google Scholar] [CrossRef]
- Chaachouay, H.; Fehrenbacher, B.; Toulany, M.; Schaller, M.; Rodemann, H.P. AMPK-independent autophagy promotes radioresistance of human tumor cells under clinical relevant hypoxia in vitro. Radiother. Oncol. 2015, 116, 409–416. [Google Scholar] [CrossRef]
- Sugawara, K.; Suzuki, N.N.; Fujioka, Y.; Mizushima, N.; Ohsumi, Y.; Inagaki, F. Structural basis for the specificity and catalysis of human Atg4B responsible for mammalian autophagy. J. Biol. Chem. 2005, 280, 40058–40065. [Google Scholar] [CrossRef]
- Kumanomidou, T.; Mizushima, T.; Komatsu, M.; Suzuki, A.; Tanida, I.; Sou, Y.S.; Ueno, T.; Kominami, E.; Tanaka, K.; Yamane, T. The crystal structure of human Atg4b, a processing and de-conjugating enzyme for autophagosome forming modifiers. J. Mol. Biol. 2006, 355, 612–618. [Google Scholar] [CrossRef]
- Satoo, K.; Noda, N.N.; Kumeta, H.; Fujioka, Y.; Mizushima, N.; Ohsumi, Y.; Inagaki, F. The structure of Atg4B-LC3 complex reveals the mechanism of LC3 processing and delipidation during autophagy. EMBO J. 2009, 28, 1341–1350. [Google Scholar] [CrossRef]
- Amar, N.; Lustig, G.; Ichimura, Y.; Ohsumi, Y.; Elazar, Z. Two newly identified sites in the ubiquitin-like protein Atg8 are essential for autophagy. EMBO Rep. 2006, 7, 635–642. [Google Scholar] [CrossRef]
- Nath, S.; Dancourt, J.; Shteyn, V.; Puente, G.; Fong, W.M.; Nag, S.; Bewersdorf, J.; Yamamoto, A.; Antonny, B.; Melia, T.J. Lipidation of the LC3/GABARAP family of autophagy proteins relies on a membrane-curvature-sensing domain in Atg3. Nat. Cell Biol. 2014, 16, 415–442. [Google Scholar] [CrossRef]
- Otomo, C.; Metlagel, Z.; Takaesu, G.; Otomo, T. Structure of the human ATG12-ATG5 conjugate required for LC3 lipidation in autophagy. Nat. Struct. Mol. Biol. 2013, 20, 59–66. [Google Scholar] [CrossRef]
- Rao, Y.; Perna, M.G.; Hofmann, B.; Beier, V.; Wollert, T. The Atg1-kinase complex tethers Atg9-vesicles to initiate autophagy. Nat. Commun. 2016, 7, 10338. [Google Scholar] [CrossRef]
- Orsi, A.; Razi, M.; Dooley, H.C.; Robinson, D.; Weston, A.E.; Collinson, L.M.; Tooze, S.A. Dynamic and transient interactions of Atg9 with autophagosomes, but not membrane integration, are required for autophagy. Mol. Biol. Cell 2012, 23, 1860–1873. [Google Scholar] [CrossRef]
- He, H.; Dang, Y.; Dai, F.; Guo, Z.; Wu, J.; She, X.; Pei, Y.; Chen, Y.; Ling, W.; Wu, C.; et al. Post-translational modifications of three members of the human MAP1LC3 family and detection of a novel type of modification for MAP1LC3B. J. Biol. Chem. 2003, 278, 29278–29287. [Google Scholar] [CrossRef] [PubMed]
- Wu, J.; Dang, Y.; Su, W.; Liu, C.; Ma, H.; Shan, Y.; Pei, Y.; Wan, B.; Guo, J.; Yu, L. Molecular cloning and characterization of rat LC3A and LC3B two novel markers of autophagosome. Biochem. Biophys. Res. Commun. 2006, 339, 437–442. [Google Scholar] [CrossRef] [PubMed]
- Flores, F.J.M.; Gutiérrez, O.A.; Rosario, C.R.; Padilla, C.E.; Alvarez, A.H.; Martínez, V.M. Molecular cloning and characterization of two novel autophagy-related genes belonging to the ATG8 family from the cattle tick Rhipicephalus (Boophilus) microplus (Acari: Ixodidae). Exp. Appl. Acarol. 2014, 64, 533–542. [Google Scholar] [CrossRef]
- Descloux, C.; Ginet, V.; Rummel, C.; Truttmann, A.C.; Puyal, J. Enhanced autophagy contributes to excitotoxic lesions in a rat model of preterm brain injury. Cell Death. Dis. 2018, 9, 853. [Google Scholar] [CrossRef]
- Wilkinson, S.; O’Prey, J.; Fricker, M.; Ryan, K.M. Hypoxia-selective macroautophagy and cell survival signaled by autocrine PDGFR activity. Genes Dev. 2009, 23, 1283–1288. [Google Scholar] [CrossRef]
- Balduini, W.; Carloni, S.; Buonocore, G. Autophagy in hypoxia-ischemia induced brain injury: Evidence and speculations. Autophagy 2009, 5, 221–223. [Google Scholar] [CrossRef]
- Abdul-Rahim, S.A.; Dirkse, A.; Oudin, A.; Schuster, A.; Bohler, J.; Barthelemy, V.; Muller, A.; Vallar, L.; Janji, B.; Golebiewska, A.; et al. Regulation of hypoxia-induced autophagy in glioblastoma involves ATG9A. Br. J. Cancer 2017, 117, 813–825. [Google Scholar] [CrossRef]
- Madeo, F.; Eisenberg, T.; Kroemer, G. Autophagy for the avoidance of neurodegeneration. Genes Dev. 2009, 23, 2253–2259. [Google Scholar] [CrossRef]
- Bai, H.; Qiao, H.; Li, F.J.; Fu, H.T.; Jiang, S.F.; Zhang, W.Y.; Yan, Y.D.; Xiong, Y.W.; Sun, S.M.; Jin, B.; et al. Molecular and functional characterization of the vitellogenin receptor in oriental river prawn, Macrobrachium nipponense. Comp. Biochem. Physiol. A 2016, 194, 45–55. [Google Scholar] [CrossRef]
- Zauner, A.; Daugherty, W.P.; Bullok, M.R.; Warner, D.S. Brain oxygenation and energy metabolism. Neurosurgery 2002, 51, 289–301. [Google Scholar]
- Lim, Y.; Cho, H.C.; Kim, E.K. Brain metabolism as a modulator of autophagy in neurodegeneration. Brain Res. 2016, 1649, 158–165. [Google Scholar] [CrossRef] [PubMed]
- Abreu, S.; Kriegenburg, F.; Gómez-Sánchez, R.; Mari, M.; Sánchez-Wandelmer, J.; Skytte Rasmussen, M.; Soares, G.R.; Zens, B.; Schuschnig, M.; Hardenberg, R.; et al. Conserved Atg8 recognition sites mediate Atg4 association with autophagosomal membranes and Atg8 deconjugation. EMBO Rep. 2017, 18, 765–780. [Google Scholar] [CrossRef] [PubMed]
- Sun, S.M.; Xuan, F.J.; Ge, X.P.; Fu, H.; Zhu, J.; Zhang, S. Identification of differentially expressed genes in hepatopancreas of oriental river prawn, Macrobrachium nipponense exposed to environmental hypoxia. Gene 2014, 534, 298–306. [Google Scholar] [CrossRef] [PubMed]
- Chen, Y.; Zhu, Q.; Chen, H.; Zhu, X.; Cui, Z.; Qiu, G. The morphological and histological observation of embryonic development in the oriental river prawn Macrobrachium nipponense. J. Shanghai Ocean Univ. 2012, 21, 33–40. [Google Scholar]
- Sun, S.M.; Gu, Z.M.; Fu, H.T.; Zhu, J.; Ge, X.P.; Xuan, F.J. Molecular cloning, characterization, and expression analysis of p53 from the oriental river prawn, Macrobrachium nipponense, in response to hypoxia. Fish Shellfish Immunol. 2016, 54, 68–76. [Google Scholar] [CrossRef]
- Livak, K.J.; Schmittgen, T.D. Analysis of relative gene expression data using realtime quantitative PCR and the 2−△△CtCt method. Methods 2001, 25, 402–408. [Google Scholar] [CrossRef]
- Li, F.; Qiao, H.; Fu, H.T.; Zhang, W.Y.; Jin, S.B.; Jiang, S.F.; Gong, Y.S.; Xiong, Y.W.; Wu, Y.; Hu, Y.N.; et al. Identification and characterization of opsin gene and its role in ovarian maturation in the oriental river prawn Macrobrachium nipponense. Comp. Biochem. Physiol. B 2018, 218, 1–12. [Google Scholar] [CrossRef]
- Sun, S.M.; Xuan, F.J.; Fu, H.T.; Ge, X.P.; Zhu, J.; Qiao, H.; Jin, S.B.; Zhang, W.Y. Molecular characterization and mRNA expression of hypoxia inducible factor-1 and cognate inhibiting factor in Macrobrachium nipponense in response to hypoxia. Comp. Biochem. Physiol. B 2016, 196–197, 48–56. [Google Scholar] [CrossRef]
- Sun, S.M.; Xuan, F.J.; Fu, H.T.; Zhu, J.; Ge, X.P. Molecular cloning and functional characterization of a hexokinase from the oriental river prawn Macrobrachium nipponense in response to hypoxia. Int. J. Mol. Sci. 2017, 18, 1256. [Google Scholar] [CrossRef]
- Duan, Y.F.; Zhang, J.S.; Dong, H.B.; Wang, Y.; Liu, Q.; Li, H. Effect of desiccation and resubmersion on the oxidative stress response of the kuruma shrimp Marsupenaeus japonicas. Fish Shellfish Immunol. 2016, 49, 91–99. [Google Scholar] [CrossRef]
- Bradford, M.M. A refined and sensitive method for the quantification of microgram quantities of protein utilizusing the principle of protein dye-binding. Anal. Biochem. 1976, 72, 248–254. [Google Scholar] [CrossRef]
- Huang, Y.; Wang, W.; Ren, Q. Function of gC1qR in innate immunity of Chinese mitten crab, Eriocheir sinensis. Dev. Comp. Immunol. 2016, 61, 34–41. [Google Scholar] [CrossRef] [PubMed]
© 2019 by the authors. Licensee MDPI, Basel, Switzerland. This article is an open access article distributed under the terms and conditions of the Creative Commons Attribution (CC BY) license (http://creativecommons.org/licenses/by/4.0/).







