Low-Frequency Mutational Heterogeneity of Invasive Ductal Carcinoma Subtypes: Information to Direct Precision Oncology
Abstract
1. Introduction
2. Results
2.1. ACB-PCR Data Collection
2.2. Clinicopathological Characteristics of IDC Tissue Donors
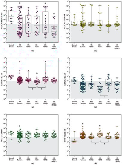
2.3. MF Measurements in IDCs and IDC Subtypes
2.3.1. Cancer-Driver Gene MFs in IDCs
2.3.2. Cancer-Driver Gene MFs in IDC Subtypes
2.3.3. Cancer-Driver Gene MFs in IDCs Based on HR and HER2 Status
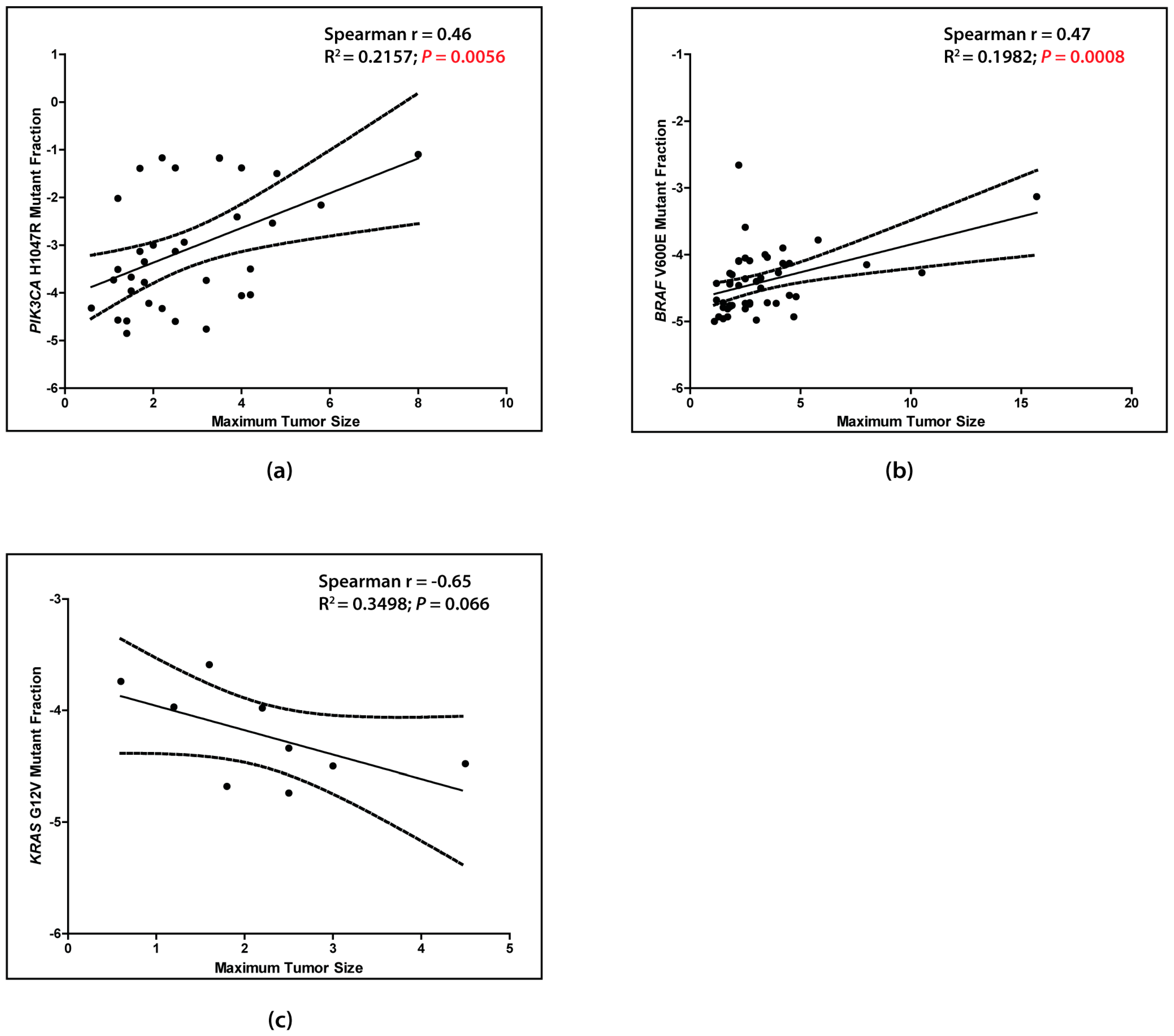
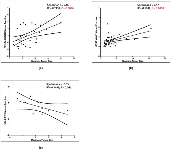
2.4. Correlation Analyses
2.4.1. Correlation Analyses of CDMs in IDCs and IDC Subtypes
2.4.2. Correlation Analyses of CDMs in IDCs Based on HR and HER2 Status
2.4.3. Correlation Analyses of CDMs and Clinicopathological Features of IDCs and IDC Subtypes
3. Discussion
4. Materials and Methods
4.1. IDCs Sample Collection
4.2. DNA Isolation
4.3. First-Round PCR
4.4. Generation of Mutant and Wild-Type Standards and ACB-PCR
4.5. Vertical Polyacrylamide Gel Electrophoresis, Image Analysis, and Data Collection
4.6. MF Measurements in Normal Breast
4.7. Statistical Analyses
5. Conclusions
Supplementary Materials
Author Contributions
Acknowledgments
Conflicts of Interest
Abbreviations
| ACB-PCR | Allele-specific competitive blocker polymerase chain reaction |
| CDMs | CDMs |
| ER | Estrogen receptor |
| HR | Hormone receptor |
| HER2 | Human epidermal growth factor receptor-2 |
| MF | Mutant fraction |
| PR | Progesterone receptor |
| TNBC | Triple-negative breast cancer |
References
- Hammond, M.E.; Hayes, D.F.; Dowsett, M.; Allred, D.C.; Hagerty, K.L.; Badve, S.; Fitzgibbons, P.L.; Francis, G.; Goldstein, N.S.; Hayes, M.; et al. American Society of Clinical Oncology/College Of American Pathologists guideline recommendations for immunohistochemical testing of estrogen and progesterone receptors in breast cancer. J. Clin. Oncol. 2010, 28, 2784–2795. [Google Scholar] [CrossRef] [PubMed]
- Wolff, A.C.; Hammond, M.E.; Hicks, D.G.; Dowsett, M.; McShane, L.M.; Allison, K.H.; Allred, D.C.; Bartlett, J.M.; Bilous, M.; Fitzgibbons, P.; et al. Recommendations for human epidermal growth factor receptor 2 testing in breast cancer: American Society of Clinical Oncology/College of American Pathologists clinical practice guideline update. J. Clin. Oncol. 2013, 31, 3997–4013. [Google Scholar] [CrossRef] [PubMed]
- Myers, M.B. Targeted therapies with companion diagnostics in the management of breast cancer: Current perspectives. Pharmgenomics Pers. Med. 2016, 9, 7–16. [Google Scholar] [CrossRef] [PubMed]
- Aleskandarany, M.A.; Vandenberghe, M.E.; Marchio, C.; Ellis, I.O.; Sapino, A.; Rakha, E.A. Tumour Heterogeneity of Breast Cancer: From Morphology to Personalised Medicine. Pathobiology 2018, 85, 23–34. [Google Scholar] [CrossRef] [PubMed]
- Joseph, C.; Papadaki, A.; Althobiti, M.; Alsaleem, M.; Aleskandarany, M.A.; Rakha, E.A. Breast cancer intratumour heterogeneity: Current status and clinical implications. Histopathology 2018. [Google Scholar] [CrossRef] [PubMed]
- Catalogue of Somatic Mutations in Cancer (v87). Available online: https://cancer.sanger.ac.uk/cosmic. (accessed on 1 November 2018).
- Myers, M.B.; Banda, M.; McKim, K.L.; Wang, Y.; Powell, M.J.; Parsons, B.L. Breast Cancer Heterogeneity Examined by High-Sensitivity Quantification of PIK3CA, KRAS, HRAS, and BRAF Mutations in Normal Breast and Ductal Carcinomas. Neoplasia 2016, 18, 253–263. [Google Scholar] [CrossRef] [PubMed]
- Myers, M.B.; McKinzie, P.B.; Wang, Y.; Meng, F.; Parsons, B.L. ACB-PCR quantification of somatic oncomutation. Methods Mol. Biol. 2014, 1105, 345–363. [Google Scholar] [CrossRef] [PubMed]
- Myers, M.B.; McKim, K.L.; Parsons, B.L. Comparing Droplet Digital PCR and ACB-PCR for the Detection of Low-Frequency Cancer Driver Mutations. Environ. Mol. Mutagen. 2017, 58, S60. [Google Scholar] [CrossRef]
- Harris, K.L.; Walia, V.; McKim, K.L.; Gong, B.; Myers, M.B.; Parsons, B.L. Quantification of cancer driver mutations in human lung tissues using error-corrected next-generation sequencing. Environ. Mol. Mutagen. 2018, 59, 66. [Google Scholar] [CrossRef]
- Parsons, B.L.; McKim, K.L.; Myers, M.B. Variation in organ-specific PIK3CA and KRAS mutant levels in normal human tissues correlates with mutation prevalence in corresponding carcinomas. Environ. Mol. Mutagen. 2017, 58, 466–476. [Google Scholar] [CrossRef] [PubMed]
- Hollstein, M.C.; Metcalf, R.A.; Welsh, J.A.; Montesano, R.; Harris, C.C. Frequent mutation of the p53 gene in human esophageal cancer. Proc. Natl. Acad. Sci. USA 1990, 87, 9958–9961. [Google Scholar] [CrossRef] [PubMed]
- Martincorena, I.; Fowler, J.C.; Wabik, A.; Lawson, A.R.J.; Abascal, F.; Hall, M.W.J.; Cagan, A.; Murai, K.; Mahbubani, K.; Stratton, M.R.; et al. Somatic mutant clones colonize the human esophagus with age. Science 2018, 362, 911–917. [Google Scholar] [CrossRef] [PubMed]
- Martincorena, I.; Roshan, A.; Gerstung, M.; Ellis, P.; Van Loo, P.; McLaren, S.; Wedge, D.C.; Fullam, A.; Alexandrov, L.B.; Tubio, J.M.; et al. Tumor evolution. High burden and pervasive positive selection of somatic mutations in normal human skin. Science 2015, 348, 880–886. [Google Scholar] [CrossRef] [PubMed]
- Parsons, B.L.; Marchant-Miros, K.E.; Delongchamp, R.R.; Verkler, T.L.; Patterson, T.A.; McKinzie, P.B.; Kim, L.T. ACB-PCR quantification of K-RAS codon 12 GAT and GTT mutant fraction in colon tumor and non-tumor tissue. Cancer Investig. 2010, 28, 364–375. [Google Scholar] [CrossRef]
- Risques, R.A.; Kennedy, S.R. Aging and the rise of somatic cancer-associated mutations in normal tissues. PLoS Genet. 2018, 14, e1007108. [Google Scholar] [CrossRef] [PubMed]
- Yokoyama, A.; Kakiuchi, N.; Yoshizato, T.; Nannya, Y.; Suzuki, H.; Takeuchi, Y.; Shiozawa, Y.; Sato, Y.; Aoki, K.; Kim, S.K.; et al. Age-related remodelling of oesophageal epithelia by mutated cancer drivers. Nature 2019, 565, 312–317. [Google Scholar] [CrossRef] [PubMed]
- Gao, W.; Mady, H.H.; Melhem, M.F.; Keohavong, P. Analysis of p53 mutations in histologically normal lung tissues and lung tumors from non-small cell lung cancer patients. Mol. Carcinog. 2009, 48, 633–641. [Google Scholar] [CrossRef] [PubMed]
- Bosch, A.; Eroles, P.; Zaragoza, R.; Vina, J.R.; Lluch, A. Triple-negative breast cancer: Molecular features, pathogenesis, treatment and current lines of research. Cancer Treat. Rev. 2010, 36, 206–215. [Google Scholar] [CrossRef] [PubMed]
- Dent, R.; Hanna, W.M.; Trudeau, M.; Rawlinson, E.; Sun, P.; Narod, S.A. Pattern of metastatic spread in triple-negative breast cancer. Breast Cancer Res. Treat. 2009, 115, 423–428. [Google Scholar] [CrossRef] [PubMed]
- Dent, R.; Trudeau, M.; Pritchard, K.I.; Hanna, W.M.; Kahn, H.K.; Sawka, C.A.; Lickley, L.A.; Rawlinson, E.; Sun, P.; Narod, S.A. Triple-negative breast cancer: Clinical features and patterns of recurrence. Clin. Cancer Res. 2007, 13, 4429–4434. [Google Scholar] [CrossRef] [PubMed]
- Klarenbeek, S.; van Miltenburg, M.H.; Jonkers, J. Genetically engineered mouse models of PI3K signaling in breast cancer. Mol. Oncol. 2013, 7, 146–164. [Google Scholar] [CrossRef] [PubMed]
- Parsons, B.L. Multiclonal tumor origin: Evidence and implications. Mutat. Res. 2018, 777, 1–18. [Google Scholar] [CrossRef] [PubMed]
- Janku, F.; Tsimberidou, A.M.; Garrido-Laguna, I.; Wang, X.; Luthra, R.; Hong, D.S.; Naing, A.; Falchook, G.S.; Moroney, J.W.; Piha-Paul, S.A.; et al. PIK3CA mutations in patients with advanced cancers treated with PI3K/AKT/mTOR axis inhibitors. Mol. Cancer Ther. 2011, 10, 558–565. [Google Scholar] [CrossRef] [PubMed]
- Janku, F.; Wheler, J.J.; Naing, A.; Falchook, G.S.; Hong, D.S.; Stepanek, V.M.; Fu, S.; Piha-Paul, S.A.; Lee, J.J.; Luthra, R.; et al. PIK3CA mutation H1047R is associated with response to PI3K/AKT/mTOR signaling pathway inhibitors in early-phase clinical trials. Cancer Res. 2013, 73, 276–284. [Google Scholar] [CrossRef] [PubMed]
- Kim, S.B.; Dent, R.; Im, S.A.; Espie, M.; Blau, S.; Tan, A.R.; Isakoff, S.J.; Oliveira, M.; Saura, C.; Wongchenko, M.J.; et al. Ipatasertib plus paclitaxel versus placebo plus paclitaxel as first-line therapy for metastatic triple-negative breast cancer (LOTUS): A multicentre, randomised, double-blind, placebo-controlled, phase 2 trial. Lancet Oncol. 2017, 18, 1360–1372. [Google Scholar] [CrossRef]
- Bianchini, G.; Balko, J.M.; Mayer, I.A.; Sanders, M.E.; Gianni, L. Triple-negative breast cancer: Challenges and opportunities of a heterogeneous disease. Nat. Rev. Clin. Oncol. 2016, 13, 674–690. [Google Scholar] [CrossRef] [PubMed]
- Lehmann, B.D.; Bauer, J.A.; Chen, X.; Sanders, M.E.; Chakravarthy, A.B.; Shyr, Y.; Pietenpol, J.A. Identification of human triple-negative breast cancer subtypes and preclinical models for selection of targeted therapies. J. Clin. Investig. 2011, 121, 2750–2767. [Google Scholar] [CrossRef] [PubMed]
- Gluz, O.; Liedtke, C.; Gottschalk, N.; Pusztai, L.; Nitz, U.; Harbeck, N. Triple-negative breast cancer--current status and future directions. Ann. Oncol. 2009, 20, 1913–1927. [Google Scholar] [CrossRef] [PubMed]
- Parsons, B.L.; Myers, M.B. KRAS mutant tumor subpopulations can subvert durable responses to personalized cancer treatments. Per. Med. 2013, 10, 191–199. [Google Scholar] [CrossRef] [PubMed]
- Parsons, B.L.; Myers, M.B. Personalized cancer treatment and the myth of KRAS wild-type colon tumors. Discov. Med. 2013, 15, 259–267. [Google Scholar] [PubMed]
- Chapman, P.B.; Hauschild, A.; Robert, C.; Haanen, J.B.; Ascierto, P.; Larkin, J.; Dummer, R.; Garbe, C.; Testori, A.; Maio, M.; et al. Improved survival with vemurafenib in melanoma with BRAF V600E mutation. N. Engl. J. Med. 2011, 364, 2507–2516. [Google Scholar] [CrossRef] [PubMed]
- Johnson, D.B.; Menzies, A.M.; Zimmer, L.; Eroglu, Z.; Ye, F.; Zhao, S.; Rizos, H.; Sucker, A.; Scolyer, R.A.; Gutzmer, R.; et al. Acquired BRAF inhibitor resistance: A multicenter meta-analysis of the spectrum and frequencies, clinical behaviour, and phenotypic associations of resistance mechanisms. Eur. J. Cancer 2015, 51, 2792–2799. [Google Scholar] [CrossRef] [PubMed]
- Del Re, M.; Tiseo, M.; Bordi, P.; D’Incecco, A.; Camerini, A.; Petrini, I.; Lucchesi, M.; Inno, A.; Spada, D.; Vasile, E.; et al. Contribution of KRAS mutations and c.2369C > T (p.T790M) EGFR to acquired resistance to EGFR-TKIs in EGFR mutant NSCLC: A study on circulating tumor DNA. Oncotarget 2017, 8, 13611–13619. [Google Scholar] [CrossRef] [PubMed]
- Thomas, R.K.; Baker, A.C.; Debiasi, R.M.; Winckler, W.; Laframboise, T.; Lin, W.M.; Wang, M.; Feng, W.; Zander, T.; MacConaill, L.; et al. High-throughput oncogene mutation profiling in human cancer. Nat. Genet. 2007, 39, 347–351. [Google Scholar] [CrossRef] [PubMed]
- Diaz, L.A., Jr.; Williams, R.T.; Wu, J.; Kinde, I.; Hecht, J.R.; Berlin, J.; Allen, B.; Bozic, I.; Reiter, J.G.; Nowak, M.A.; et al. The molecular evolution of acquired resistance to targeted EGFR blockade in colorectal cancers. Nature 2012, 486, 537–540. [Google Scholar] [CrossRef] [PubMed]
- Myers, M.B.; Wang, Y.; McKim, K.L.; Parsons, B.L. Hotspot oncomutations: Implications for personalized cancer treatment. Expert. Rev. Mol. Diagn. 2012, 12, 603–620. [Google Scholar] [CrossRef] [PubMed]
- Ibrahim, E.M.; Kazkaz, G.A.; Al-Mansour, M.M.; Al-Foheidi, M.E. The predictive and prognostic role of phosphatase phosphoinositol-3 (PI3) kinase (PIK3CA) mutation in HER2-positive breast cancer receiving HER2-targeted therapy: A meta-analysis. Breast Cancer Res. Treat. 2015, 152, 463–476. [Google Scholar] [CrossRef] [PubMed]
- Razis, E.; Bobos, M.; Kotoula, V.; Eleftheraki, A.G.; Kalofonos, H.P.; Pavlakis, K.; Papakostas, P.; Aravantinos, G.; Rigakos, G.; Efstratiou, I.; et al. Evaluation of the association of PIK3CA mutations and PTEN loss with efficacy of trastuzumab therapy in metastatic breast cancer. Breast Cancer Res. Treat. 2011, 128, 447–456. [Google Scholar] [CrossRef] [PubMed]
- Myers, M.B.; McKim, K.L.; Meng, F.; Parsons, B.L. Low-frequency KRAS mutations are prevalent in lung adenocarcinomas. Pers. Med. 2015, 12, 83–98. [Google Scholar] [CrossRef] [PubMed]
- Myers, M.B.; McKim, K.L.; Parsons, B.L. A subset of papillary thyroid carcinomas contain KRAS mutant subpopulations at levels above normal thyroid. Mol. Carcinog. 2014, 53, 159–167. [Google Scholar] [CrossRef] [PubMed]
- Bowen, R.L.; Stebbing, J.; Jones, L.J. A review of the ethnic differences in breast cancer. Pharmacogenomics 2006, 7, 935–942. [Google Scholar] [CrossRef] [PubMed]
- Centers for Disease Control and Prevention. Vital signs: Racial disparities in breast cancer severity--United States, 2005-2009. MMWR Morb. Mortal. Wkly. Rep. 2012, 61, 922–926. [Google Scholar]
- Carey, L.A.; Perou, C.M.; Livasy, C.A.; Dressler, L.G.; Cowan, D.; Conway, K.; Karaca, G.; Troester, M.A.; Tse, C.K.; Edmiston, S.; et al. Race, breast cancer subtypes, and survival in the Carolina Breast Cancer Study. JAMA 2006, 295, 2492–2502. [Google Scholar] [CrossRef] [PubMed]
- Gleason, M.X.; Mdzinarishvili, T.; Sherman, S. Breast cancer incidence in black and white women stratified by estrogen and progesterone receptor statuses. PLoS ONE 2012, 7, e49359. [Google Scholar] [CrossRef] [PubMed]
- Iqbal, J.; Ginsburg, O.; Rochon, P.A.; Sun, P.; Narod, S.A. Differences in breast cancer stage at diagnosis and cancer-specific survival by race and ethnicity in the United States. JAMA 2015, 313, 165–173. [Google Scholar] [CrossRef] [PubMed]
- Stead, L.A.; Lash, T.L.; Sobieraj, J.E.; Chi, D.D.; Westrup, J.L.; Charlot, M.; Blanchard, R.A.; Lee, J.C.; King, T.C.; Rosenberg, C.L. Triple-negative breast cancers are increased in black women regardless of age or body mass index. Breast Cancer Res. 2009, 11, R18. [Google Scholar] [CrossRef] [PubMed]





| Characteristics | HR+/HER2+ (n = 20) | HR+/HER2− (n = 20) | HR−/HER2+ (n = 21) | HR−/HER2− (TNBC) (n = 20) | P |
|---|---|---|---|---|---|
| Age (mean ± SD) | 55.75 ± 13.32 | 56.45 ± 14.24 | 58.24 ± 11.48 | 55.90 ± 11.63 | 0.9183 1 |
| Max. tumor dimension (mean ± SD) | 2.26 ± 1.18 | 4.36 ± 3.29 | 2.51 ± 1.52 | 2.47 ± 0.96 | 0.0019 1 |
| Histological grade 2 | 0.0002 3 | ||||
| I | 0 | 4 | 0 | 1 | |
| II | 15 | 8 | 6 | 3 | |
| III | 5 | 7 | 15 | 15 | |
| Tumor stage 2 | 0.0009 3 | ||||
| T1 | 12 | 1 | 9 | 8 | |
| T2 | 6 | 15 | 11 | 11 | |
| T3 | 0 | 4 | 0 | 0 | |
| T4 | 2 | 0 | 1 | 0 | |
| Nodal stage 2 | 0.1181 3 | ||||
| N0 | 12 | 8 | 10 | 12 | |
| N1 | 4 | 4 | 6 | 4 | |
| N2 | 3 | 4 | 4 | 2 | |
| N3 | 0 | 4 | 0 | 0 | |
| Clinical stage 2 | 0.0316 3 | ||||
| I | 7 | 0 | 7 | 4 | |
| II | 8 | 11 | 9 | 13 | |
| III | 4 | 9 | 5 | 2 | |
| Ever smoked 2 | 0.0588 3 | ||||
| Yes | 1 | 7 | 4 | 7 | |
| No | 8 | 12 | 9 | 3 | |
| Menopausal status 2 | 0.5140 3 | ||||
| Pre-menopause | 7 | 4 | 4 | 4 | |
| Post-menopause | 10 | 11 | 17 | 10 |
| Mutation | HR+/HER2+ (n = 20) | HR+/HER2− (n = 20) | HR−/HER2+ (n = 21) | HR−/HER2− (TNBC) (n = 20) | All IDCs |
|---|---|---|---|---|---|
| PIK3CA H1047R | 1.32 × 10−5 | 1.20 × 10−5 | 2.15 × 10−5 | 7.64 × 10−7 | 7.23 × 10−6 |
| PIK3CA E545K | 3.66 × 10−5 | 2.29 × 10−5 | 7.94 × 10−6 | 1.68 × 10−5 | 1.81 × 10−5 |
| KRAS G12D | 1.79 × 10−5 | 7.43 × 10−6 | 3.47 × 10−5 | 1.18 × 10−5 | 1.55 × 10−5 |
| KRAS G12V | 1.80 × 10−6 | 3.05 × 10−7 | 3.57 × 10−6 | 8.57 × 10−7 | 1.15 × 10−6 |
| HRAS G12D | 2.09 × 10−5 | 3.59 × 10−5 | 2.54 × 10−5 | 3.34 × 10−5 | 2.82 × 10−5 |
| BRAF V600E | 1.19 × 10−5 | 4.84 × 10−5 | 1.19 × 10−5 | 1.96 × 10−5 | 1.90 × 10−5 |
| CDM | PIK3CA H1047R | PIK3CA E545K | KRAS G12D | KRAS G12V | HRAS G12D | BRAF V600E |
|---|---|---|---|---|---|---|
| PIK3CA H1047R | - | 18.52% | 27.16% | 4.94% | 37.04% | 29.63% |
| PIK3CA E545K | - | 23.46% | 1.24% | 30.86% | 19.75% | |
| KRAS G12D | - | 8.64% | 51.85% | 29.62% | ||
| KRAS G12V | - | 9.88% | 4.94% | |||
| HRAS G12D | - | 51.85% | ||||
| BRAF V600E | - |
| Group | CDM | Age | Clinical Stage | Nodal Involvement | Menopause Status | Maximum Tumor Dimension | Overall Hist. Grade |
|---|---|---|---|---|---|---|---|
| All DCs | PIK3CA H1047R | 0.48 *** | 0.28 | −0.26 | 0.74 *** | 0.46 ** | −0.23 |
| PIK3CA E545K | 0.14 | 0.12 | 0.31 | −0.35 | 0.19 | −0.17 | |
| KRAS G12D | 0.11 | −0.33 | 0.09 | 0.72 *** | 0.00 | 0.21 | |
| KRAS G12V | −0.33 | −0.41 | −1.00 *** | NA | −0.65 | −0.21 | |
| HRAS G12D | 0.09 | 0.32 ** | 0.27 | −0.07 | 0.23 | −0.19 | |
| BRAF V600E | 0.21 | 0.25 | −0.17 | 0.15 | 0.47 *** | 0.08 | |
| HR+/HER2+ | PIK3CA H1047R | 0.50 | 0.84 *** | 0.44 | 0.80 *** | 0.52 | −0.45 |
| PIK3CA E545K | 0.53 | 0.42 | NA | 0.30 | 0.35 | 0.29 | |
| KRAS G12D | −0.02 | 0.18 | 0.58 * | 0.33 | 0.30 | 0.44 | |
| KRAS G12V | −1.00 | NA | NA | NA | −1.00 | −1.00 | |
| HRAS G12D | 0.23 | 0.18 | 0.08 | 0.07 | 0.33 | 0.15 | |
| BRAF V600E | 0.54 | −0.31 | −0.54 | NA | 0.06 | 0.36 | |
| HR+/HER2- | PIK3CA H1047R | 0.01 | −0.47 | −0.58 * | 0.93 *** | 0.54 | −0.38 |
| PIK3CA E545K | −0.31 | −0.68 * | −0.07 | −1.00 *** | 0.05 | −0.49 | |
| KRAS G12D | −0.15 | −0.27 | 0.27 | −1.00 | −0.40 | 0.13 | |
| KRAS G12V | NA | NA | NA | NA | NA | NA | |
| HRAS G12D | −0.32 | 0.66 *** | 0.75 *** | −0.54 * | 0.01 | −0.25 | |
| BRAF V600E | 0.36 | 0.40 | 0.03 | 0.58 * | 0.28 | 0.09 | |
| HR-/HER2+ | PIK3CA H1047R | 0.51 | 0.50 | −0.34 | 1.00 | 0.49 | −0.39 |
| PIK3CA E545K | −0.50 | 0.98 *** | 1.00 | −1.00 | −0.50 | NA | |
| KRAS G12D | 0.00 | −0.83 *** | −0.56 * | 0.81 *** | −0.53 * | 0.26 | |
| KRAS G12V | −0.94 * | −0.39 | −1.00 *** | NA | −0.60 | −0.33 | |
| HRAS G12D | 0.37 | 0.66 | 0.45 | −0.10 | 0.62 ** | 0.08 | |
| BRAF V600E | −0.19 | 0.72 *** | 0.26 | −0.27 | 0.68 | 0.94 *** | |
| HR-/HER2- (TNBC) | PIK3CA H1047R | 0.00 | −0.12 | NA | 0.40 | 0.60 | −0.56 |
| PIK3CA E545K | 0.39 | −0.01 | 0.96 *** | 0.06 | −0.14 | −0.23 | |
| KRAS G12D | −0.02 | −0.19 | 0.05 | 0.46 | 0.04 | −0.45 | |
| KRAS G12V | NA | NA | NA | NA | NA | NA | |
| HRAS G12D | 0.36 | 0.26 | −0.05 | 0.85 *** | 0.55 * | −0.23 | |
| BRAF V600E | 0.02 | −0.03 | −0.64 * | −0.42 | 0.48 | 0.04 |
© 2019 by the authors. Licensee MDPI, Basel, Switzerland. This article is an open access article distributed under the terms and conditions of the Creative Commons Attribution (CC BY) license (http://creativecommons.org/licenses/by/4.0/).
Share and Cite
Myers, M.B.; McKim, K.L.; Banda, M.; George, N.I.; Parsons, B.L. Low-Frequency Mutational Heterogeneity of Invasive Ductal Carcinoma Subtypes: Information to Direct Precision Oncology. Int. J. Mol. Sci. 2019, 20, 1011. https://doi.org/10.3390/ijms20051011
Myers MB, McKim KL, Banda M, George NI, Parsons BL. Low-Frequency Mutational Heterogeneity of Invasive Ductal Carcinoma Subtypes: Information to Direct Precision Oncology. International Journal of Molecular Sciences. 2019; 20(5):1011. https://doi.org/10.3390/ijms20051011
Chicago/Turabian StyleMyers, Meagan B., Karen L. McKim, Malathi Banda, Nysia I. George, and Barbara L. Parsons. 2019. "Low-Frequency Mutational Heterogeneity of Invasive Ductal Carcinoma Subtypes: Information to Direct Precision Oncology" International Journal of Molecular Sciences 20, no. 5: 1011. https://doi.org/10.3390/ijms20051011
APA StyleMyers, M. B., McKim, K. L., Banda, M., George, N. I., & Parsons, B. L. (2019). Low-Frequency Mutational Heterogeneity of Invasive Ductal Carcinoma Subtypes: Information to Direct Precision Oncology. International Journal of Molecular Sciences, 20(5), 1011. https://doi.org/10.3390/ijms20051011
