Ammonium Gemini Surfactants Form Complexes with Model Oligomers of siRNA and dsDNA
Abstract
1. Introduction
2. Results
2.1. Obtained Lipoplexes
2.2. Binding Capacity of C12NCn with siRNA and dsDNA
2.3. Conformational Changes in Oligonucleotides Induced by Surfactants
2.4. Structures of C12NCn/siRNA and C12NCn/dsDNA Systems
2.5. Toxicity of C12NCn Towards HeLa Cells
3. Discussion
3.1. Conformation of Oligomers in Obtained Stable Lipoplexes
3.2. Diversity of Structural Ordering in siRNA and dsDNA Oligomer–Surfactant Mixtures
4. Materials and Methods
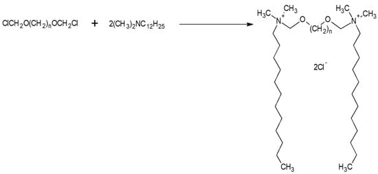
4.1. Synthesis of Gemini Surfactants
4.2. Optical Microscopy (OM)
4.3. Agarose Gel Electrophoresis (AGE)
4.4. Circular Dichroism (CD) Spectroscopy
4.5. Small-Angle X-ray Scattering of Synchrotron Radiation (SR-SAXS)
4.6. Toxicity Assays
5. Conclusions
Author Contributions
Funding
Acknowledgments
Conflicts of Interest
Abbreviations
| AGE | Agarose Gel Electrophoresis |
| OM | Optical Microscopy |
| SR-SAXS | Small-Angle X-ray Scattering of Synchrotron Radiation |
| CD | Circular Dichroism Spectroscopy |
| dsDNA | Double Stranded Deoxyribonucleic Acid |
| siRNA | Small Interfering Ribonucleic Acid |
| DMPK | Myotonic Dystrophy Protein Kinase |
| FBS | Fetal Bovine Serum |
| DMEM | Dulbecco’s Modified Eagle’s Medium |
References
- Keeler, A.; ElMallah, M.; Flotte, T. Gene Therapy 2017: Progress and Future Directions. Clin. Transl. Sci. 2017, 10, 242–248. [Google Scholar] [CrossRef] [PubMed]
- Prakash, V.; Moore, M.; Yáñez-Muñoz, R.J. Current Progress in Therapeutic Gene Editing for Monogenic Diseases. Mol. Ther. 2016, 24, 465–474. [Google Scholar] [CrossRef] [PubMed]
- Aagaard, L.; Rossi, J.J. RNAi therapeutics: Principles, prospects and challenges. Adv. Drug Deliv. Rev. 2007, 59, 75–86. [Google Scholar] [CrossRef] [PubMed]
- Elbashir, S.M.; Harborth, J.; Lendeckel, W.; Yalcin, A.; Weber, K.; Tuschl, T. Duplexes of 21-nucleotide RNAs mediate RNA interference in cultured mammalian cells. Nature 2001, 411, 494–498. [Google Scholar] [CrossRef]
- Fire, A.; Xu, S.; Montgomery, M.K.; Kostas, S.A.; Driver, S.E.; Mello, C.C. Potent and specific genetic interference by double-stranded RNA in Caenorhabditis elegans. Nature 1998, 391, 806–811. [Google Scholar] [CrossRef]
- Singh, M.S.; Peer, D. siRNA delivery: Current trends and future perspectives. Ther. Deliv. 2016, 7, 51–53. [Google Scholar] [CrossRef]
- Wittrup, A.; Lieberman, J. Knocking down disease: A progress report on siRNA therapeutics. Nat. Rev. Genet. 2015, 16, 543–552. [Google Scholar] [CrossRef]
- Badea, I.; Foldvari, M. Gemini Surfactant-Based Gene Therapy; LAP LAMBERT Academic Publishing: Riga, Latvia, 2012; ISBN 978-3-8465-8172-8. [Google Scholar]
- Badea, I. Gemini Cationic Surfactant-Based Delivery Systems for Non-Invasive Cutaneous Gene Therapy; University of Saskatchewan: Saskatoon, SK, Canada, 2006. [Google Scholar]
- Kirby, A.J.; Camilleri, P.; Engberts, J.B.F.N.; Feiters, M.C.; Nolte, R.J.M.; Söderman, O.; Bergsma, M.; Bell, P.C.; Fielden, M.L.; García Rodríguez, C.L.; et al. Gemini Surfactants: New Synthetic Vectors for Gene Transfection. Angew. Chem. Int. Ed. 2003, 42, 1448–1457. [Google Scholar] [CrossRef]
- Bell, P.C.; Bergsma, M. Transfection Mediated by Gemini Surfactants: Engineered Escape from the Endosomal Compartment. J. Am. Chem. Soc. 2003, 125, 1551–1558. [Google Scholar] [CrossRef]
- Zieliński, R. Surfaktanty: Budowa, Właściwości, Zastosowania; Wydawnictwo Uniwersytetu Ekonomicznego w Poznaniu: Poznań, Poland, 2009; ISBN 978-83-7417-380-3. [Google Scholar]
- Angelov, B.; Angelova, A.; Mutafchieva, R.; Lesieur, S.; Vainio, U.; Garamus, V.M.; Jensen, G.V.; Pedersen, J.S. SAXS investigation of a cubic to a sponge (L3) phase transition in self-assembled lipid nanocarriers. Phys. Chem. Chem. Phys. 2011, 13, 3073–3081. [Google Scholar] [CrossRef]
- Dan, N. Multilamellar structures of DNA complexes with cationic liposomes. Biophys. J. 1997, 73, 1842–1846. [Google Scholar] [CrossRef]
- McLoughlin, D.; Impéror-Clerc, M.; Langevin, D. A New Cubic Phase Containing DNA and a Surfactant. ChemPhysChem 2004, 5, 1619–1623. [Google Scholar] [CrossRef] [PubMed]
- Mezei, A.; Pons, R.; Morán, M.C. The nanostructure of surfactant-DNA complexes with different arrangements. Colloids Surf. B Biointerfaces 2013, 111, 663–671. [Google Scholar] [CrossRef] [PubMed]
- Marsh, D. Handbook of Lipid Bilayers, 2nd ed.; CRC Press: Boca Raton, FL, USA, 2013. [Google Scholar]
- Ristori, S.; Ciani, L.; Candiani, G.; Battistini, C.; Frati, A.; Grilloc, I.; In, M. Complexing a small interfering RNA with divalent cationic surfactants. Soft Matter 2012, 8, 749–756. [Google Scholar] [CrossRef]
- Muñoz-Úbeda, M.; Misra, S.K.; Barrán-Berdón, A.L.; Datta, S.; Aicart-Ramos, C.; Castro-Hartmann, P.; Kondaiah, P.; Junquera, E.; Bhattacharya, S.; Aicart, E. How does the spacer length of cationic gemini lipids influence the lipoplex formation with plasmid DNA? Physicochemical and biochemical characterizations and their relevance in gene therapy. Biomacromolecules 2012, 13, 3926–3937. [Google Scholar] [CrossRef]
- Martínez-Negro, M.; Blanco-Fernández, L.; Tentori, P.M.; Pérez, L.; Pinazo, A.; Tros de Ilarduya, C.; Aicart, E.; Junquera, E. A Gemini Cationic Lipid with Histidine Residues as a Novel Lipid-Based Gene Nanocarrier: A Biophysical and Biochemical Study. Nanomaterials 2018, 8, E1061. [Google Scholar] [CrossRef]
- Pietralik, Z.; Kumita, J.R.; Dobson, C.M.; Kozak, M. The influence of novel gemini surfactants containing cycloalkyl side-chains on the structural phases of DNA in solution. Colloids Surf. B Biointerfaces 2015, 131, 83–92. [Google Scholar] [CrossRef]
- Pietralik, Z.; Skrzypczak, A.; Kozak, M. Dicationic Surfactants with Glycine Counter Ions for Oligonucleotide Transportation. ChemPhysChem 2016, 17, 2424–2433. [Google Scholar] [CrossRef]
- Puchkov, P.A.; Kartashova, I.A.; Shmendel, E.V.; Luneva, A.S.; Morozova, N.G.; Zenkova, M.A.; Maslov, M.A. Spacer structure and hydrophobicity influences transfection activity of novel polycationic gemini amphiphiles. Bioorg. Med. Chem. Lett. 2017, 27, 3284–3288. [Google Scholar] [CrossRef]
- Pietralik, Z.; Krzysztoń, R.; Kida, W.; Andrzejewska, W.; Kozak, M. Structure and conformational dynamics of DMPC/dicationic surfactant and DMPC/dicationic surfactant/DNA systems. Int. J. Mol. Sci. 2013, 14, 7642–7659. [Google Scholar] [CrossRef]
- Pietralik, Z.; Kołodziejska, Ż.; Weiss, M.; Kozak, M. Gemini Surfactants Based on Bis-Imidazolium Alkoxy Derivatives as Effective Agents for Delivery of Nucleic Acids: A Structural and Spectroscopic Study. PLoS ONE 2015, 10, e0144373. [Google Scholar] [CrossRef] [PubMed]
- Brycki, B.; Skrzypczak, A.; Mirska, I.; Pernak, J. Synthesis and antimicrobial activity of new quaternary ammonium chlorides. Arch. Pharm. 1996, 329, 279–282. [Google Scholar] [CrossRef] [PubMed]
- Skrzypczak, A.; Brycki, B.; Mirska, I.; Pernak, J. Synthesis and antimicrobial activities of new quats. Eur. J. Med. Chem. 1997, 32, 661–668. [Google Scholar] [CrossRef]
- Chau, A.; Kalsotra, A. Developmental insights into the pathology of and therapeutic strategies for DM1: Back to the basics. Dev. Dyn. Off. Publ. Am. Assoc. Anat. 2015, 244, 377–390. [Google Scholar] [CrossRef] [PubMed]
- Andrzejewska, W.; Pietralik, Z.; Skupin, M.; Kozak, M. Structural studies of the formation of lipoplexes between siRNA and selected bis-imidazolium gemini surfactants. Colloids Surf. B Biointerfaces 2016, 146, 598–606. [Google Scholar] [CrossRef] [PubMed]
- Andrzejewska, W.; Wilkowska, M.; Chrabąszczewska, M.; Kozak, M. The study of complexation between dicationic surfactants and the DNA duplex using structural and spectroscopic methods. RSC Adv. 2017, 7, 26006–26018. [Google Scholar] [CrossRef]
- Torchilin, V. Smart Pharmaceutical Nanocarriers; World Scientific Publishing: Singapore, 2015; ISBN 978-1-78326-724-8. [Google Scholar]
- Zhao, Q.-Q.; Chen, J.-L.; Lv, T.-F.; He, C.-X.; Tang, G.-P.; Liang, W.-Q.; Tabata, Y.; Gao, J.-Q. N/P ratio significantly influences the transfection efficiency and cytotoxicity of a polyethylenimine/chitosan/DNA complex. Biol. Pharm. Bull. 2009, 32, 706–710. [Google Scholar] [CrossRef]
- Johnson, P.H.; Grossman, L.I. Electrophoresis of DNA in agarose gels. Optimizing separations of conformational isomers of double- and single-stranded DNAs. Biochemistry 1977, 16, 4217–4225. [Google Scholar] [CrossRef]
- Lee, P.Y.; Costumbrado, J.; Hsu, C.-Y.; Kim, Y.H. Agarose gel electrophoresis for the separation of DNA fragments. J. Vis. Exp. JoVE 2012, 62, 3923. [Google Scholar] [CrossRef]
- Kypr, J.; Kejnovská, I.; Renčiuk, D.; Vorlíčková, M. Circular dichroism and conformational polymorphism of DNA. Nucleic Acids Res. 2009, 37, 1713–1725. [Google Scholar] [CrossRef]
- Brunner, W.C.; Maestre, M.F. Circular dichroism of films of polynucleotides. Biopolymers 1974, 13, 345–357. [Google Scholar] [CrossRef] [PubMed]
- Zhou, T.; Xu, G.; Ao, M.; Yang, Y.; Wang, C. DNA compaction to multi-molecular DNA condensation induced by cationic imidazolium gemini surfactants. Colloids Surf. Physicochem. Eng. Asp. 2012, 414, 33–40. [Google Scholar] [CrossRef]
- Zhou, S.; Liang, D.; Burger, C.; Yeh, F.; Chu, B. Nanostructures of Complexes Formed by Calf Thymus DNA Interacting with Cationic Surfactants. Biomacromolecules 2004, 5, 1256–1261. [Google Scholar] [CrossRef] [PubMed]
- Wettig, S.D.; Verrall, R.E.; Foldvari, M. Gemini surfactants: A new family of building blocks for non-viral gene delivery systems. Curr. Gene Ther. 2008, 8, 9–23. [Google Scholar] [CrossRef]
- Ishøy, T.; Mortensen, K. Lamellar-to-Cubic Phase Change in Phospholipid Bilayer Systems Incorporated with Block Copolymers: DMPC and PEO−PPO−PEO (P85). Langmuir 2005, 21, 1766–1775. [Google Scholar] [CrossRef] [PubMed]
- Ewert, K.K.; Evans, H.M.; Zidovska, A.; Bouxsein, N.F.; Ahmad, A.; Safinya, C.R. A columnar phase of dendritic lipid-based cationic liposome-DNA complexes for gene delivery: Hexagonally ordered cylindrical micelles embedded in a DNA honeycomb lattice. J. Am. Chem. Soc. 2006, 128, 3998–4006. [Google Scholar] [CrossRef]
- Seddon, J.M. Structure of the inverted hexagonal (HII) phase, and non-lamellar phase transitions of lipids. Biochim. Biophys. Acta 1990, 1031, 1–69. [Google Scholar] [CrossRef]
- Frizzo, C.; Gindri, I.; Bender, C.R.; Tier, A.; Villetti, M.; Rodrigues, D.C.; Machado, G.; Martins, M. Effect on aggregation behavior of long-chain spacers of dicationic imidazolium-based ionic liquids in aqueous solution. Colloids Surf. A 2015, 468, 285–294. [Google Scholar] [CrossRef]
- Pisárčik, M.; Devínsky, F. Surface tension study of cationic gemini surfactants binding to DNA. Cent. Eur. J. Chem. 2014, 12, 577–585. [Google Scholar] [CrossRef]
- Portugal, J.; Subirana, J.A. Counterions which favour the C form of DNA. EMBO J. 1985, 4, 2403–2408. [Google Scholar] [CrossRef]
- van Dam, L.; Levitt, M.H. BII nucleotides in the B and C forms of natural-sequence polymeric DNA: A new model for the C form of DNA. J. Mol. Biol. 2000, 304, 541–561. [Google Scholar] [CrossRef] [PubMed]
- Rhodes, N.J.; Mahendrasingam, A.; Pigram, W.J.; Fuller, W.; Brahms, J.; Vergne, J.; Warren, R.A.J. The C conformation is a low salt form of sodium DNA. Nature 1982, 296, 267–269. [Google Scholar] [CrossRef] [PubMed]
- Marvin, D.A.; Spencer, M.; Wilkins, M.H.F.; Hamilton, L.D. The molecular configuration of deoxyribonucleic acid III. X-ray diffraction study of the C form of the lithium salt. J. Mol. Biol. 1961, 3, 547–565, IN8–IN14. [Google Scholar] [CrossRef]
- Miyahara, T.; Nakatsuji, H.; Sugiyama, H. Helical Structure and Circular Dichroism Spectra of DNA: A Theoretical Study. J. Phys. Chem. A 2013, 117, 42–55. [Google Scholar] [CrossRef]
- Becker, M.; Misselwitz, R.; Damaschun, H.; Damaschun, G.; Zirwer, D. Spermine-DNA complexes build up metastable structures. Small-angle X-ray scattering and circular dichroism studies. Nucleic Acids Res. 1979, 7, 1297–1309. [Google Scholar] [CrossRef][Green Version]
- Burchkardt, G.; Zimmer, G.; Luck, G. Conformation and reactivity of DNA in the complex with protein. IV. Circular dichroism of poly-L-histidine model complexes with DNA polymers and specificity of the interaction. Nucleic Acids Res. 1976, 3, 561–580. [Google Scholar] [CrossRef][Green Version]
- Kypr, J.; Chladkova, J.; Arnold, L.; Sagi, J.; Szemzo, A.; Vorlíčková, M. The Unusual X-Form DNA in Oligodeoxynucleotides: Dependence of Stability on the Base Sequence and Length. J. Biomol. Struct. Dyn. 1996, 13, 999–1006. [Google Scholar] [CrossRef]
- Vorlíčková, M.; Kejnovská, I.; Bednářová, K.; Renčiuk, D.; Kypr, J. Circular Dichroism Spectroscopy of DNA: From Duplexes to Quadruplexes. Chirality 2012, 24, 691–698. [Google Scholar] [CrossRef]
- Wang, A.H.; Gessner, R.V.; van der Marel, G.A.; van Boom, J.H.; Rich, A. Crystal structure of Z-DNA without an alternating purine-pyrimidine sequence. Proc. Natl. Acad. Sci. USA 1985, 82, 3611–3615. [Google Scholar] [CrossRef]
- Funari, S.S.; Mädler, B.; Rapp, G. Cubic topology in surfactant and lipid mixtures. Eur. Biophys. J. 1996, 24, 293–299. [Google Scholar] [CrossRef]
- Ma, B.; Zhang, S.; Jijang, H.; Zhao, B.; Lv, H. Lipoplex morphologies and their influences on transfection efficiency in gene delivery. J. Control. Release 2007, 123, 184–194. [Google Scholar] [CrossRef] [PubMed]
- Karagkiozaki, V.; Logothetidis, S. Horizons in Clinical Nanomedicine; CRC Press: Boca Raton, FL, USA, 2014; ISBN 978-981-4411-57-8. [Google Scholar]
- Fontell, K. Cubic phases in surfactant and surfactant-like lipid systems. Colloid Polym. Sci. 1990, 268, 264–285. [Google Scholar] [CrossRef]
- Karlsson, L.; van Eijk, M.C.P.; Söderman, O. Compaction of DNA by Gemini Surfactants: Effects of Surfactant Architecture. J. Colloid Interface Sci. 2002, 252, 290–296. [Google Scholar] [CrossRef] [PubMed]
- Rabjohn, N. Organic Syntheses, Collective, 3rd ed.; Wiley & Sons, Inc.: New York, NY, USA, 1963; Volume 4, ISBN 978-0-471-70470-6. [Google Scholar]
- Konarev, P.V.; Volkov, V.V.; Sokolova, A.V.; Koch, M.H.J.; Svergun, D.I. PRIMUS: A Windows PC-based system for small-angle scattering data analysis. J. Appl. Crystallogr. 2003, 36, 1277–1282. [Google Scholar] [CrossRef]









| siRNA | dsDNA | |||||||
|---|---|---|---|---|---|---|---|---|
| Surfactant | s [nm−1] | d or a [nm] | hkl | Phase | s [nm−1] | d or a [nm] | hkl | Phase |
| C12NC2 | 1.68 | 3.74 | Micellar | 1.62 2.01 2.54 3.02 | a = 7.76 3.88 3.13 2.47 2.08 | 200 211 310 321 | Pm3n | |
| C12NC3 | 1.62 2.30 | a = 7.76 3.88 2.73 | 200 220 | Cubic | 1.48 * 1.63 2.01 2.05 * 2.56 2.91 3.04 | a = 7.71 4.25 3.85 3.13 3.06 2.45 2.16 2.07 | 200 211 310 320 321 | Pm3n |
| C12NC4 | 1.67 | 3.76 | Micellar/L | 1.63 2.01 2.56 2.91 3.04 | a = 7.71 3.85 3.13 2.45 2.16 2.07 | 200 211 310 320 321 | Pm3n | |
| C12NC5 | 1.69 | 3.72 | Micellar | 1.59 1.65 * 1.72 * 1.80 * 2.18 2.39 2.67 | a = 7.90 3.95 3.81 3.65 3.49 2.88 2.63 2.35 | 200 220 221 222 | Pn3m | |
| C12NC6 | 1.67 2.36 | a = 7.52 3.76 2.66 | 200 220 | Cubic | 1.63 1.67 * 1.99 2.44 | a = 7.71 3.85 3.76 3.16 2.58 | 200 211 221 | Pn3m |
| C12NC7 | 1.48 1.64 | 4.25 3.83 | Unknown | 1.41 2.43 2.76 | 5.15 2.99 2.63 | 001 111 002 | HII | |
| C12NC8 | 1.68 | 3.74 | Micellar | 1.59 1.85 2.45 2.77 3.20 | a = 7.90 3.95 3.40 2.56 2.27 1.96 | 200 211 221 222 400 | Pn3m | |
| C12NC9 | 1.59 | 3.95 | Micellar | 1.59 1.85 2.45 2.77 | a = 7.90 3.95 3.40 2.56 2.27 | 200 211 221 222 | Pn3m | |
| C12NC10 | 1.59 | 3.95 | Micellar | 1.53 * 1.59 1.82 2.41 2.70 | a = 7.90 4.11 3.95 3.45 2.61 2.33 | 200 211 221 222 | Pn3m | |
| C12NC12 | 1.58 1.63 | 3.98 3.85 | Unknown | 1.50 2.58 3.02 | 4.84 2.81 2.40 | 001 111 002 | HII | |
| Detector Type | Pilatus 2M (253 × 288 mm2) |
|---|---|
| Distance to sample | 3500 mm |
| Scattering vector | 0.08 > s > 4.5 nm−1 |
| Wavelength | λ = 0.154 nm |
| Number of frames | 20 |
© 2019 by the authors. Licensee MDPI, Basel, Switzerland. This article is an open access article distributed under the terms and conditions of the Creative Commons Attribution (CC BY) license (http://creativecommons.org/licenses/by/4.0/).
Share and Cite
Andrzejewska, W.; Wilkowska, M.; Skrzypczak, A.; Kozak, M. Ammonium Gemini Surfactants Form Complexes with Model Oligomers of siRNA and dsDNA. Int. J. Mol. Sci. 2019, 20, 5546. https://doi.org/10.3390/ijms20225546
Andrzejewska W, Wilkowska M, Skrzypczak A, Kozak M. Ammonium Gemini Surfactants Form Complexes with Model Oligomers of siRNA and dsDNA. International Journal of Molecular Sciences. 2019; 20(22):5546. https://doi.org/10.3390/ijms20225546
Chicago/Turabian StyleAndrzejewska, Weronika, Michalina Wilkowska, Andrzej Skrzypczak, and Maciej Kozak. 2019. "Ammonium Gemini Surfactants Form Complexes with Model Oligomers of siRNA and dsDNA" International Journal of Molecular Sciences 20, no. 22: 5546. https://doi.org/10.3390/ijms20225546
APA StyleAndrzejewska, W., Wilkowska, M., Skrzypczak, A., & Kozak, M. (2019). Ammonium Gemini Surfactants Form Complexes with Model Oligomers of siRNA and dsDNA. International Journal of Molecular Sciences, 20(22), 5546. https://doi.org/10.3390/ijms20225546

