Biomimetic Approaches for the Development of New Antifouling Solutions: Study of Incorporation of Macroalgae and Sponge Extracts for the Development of New Environmentally-Friendly Coatings
Abstract
1. Introduction
2. Results
2.1. Native Marine Bacteria Involved in Biofilm Process
2.2. Toxicity
2.3. In Vitro Bioassays
2.3.1. Antibacterial Bioassay
2.3.2. Inhibition of Phenoloxidase Activity
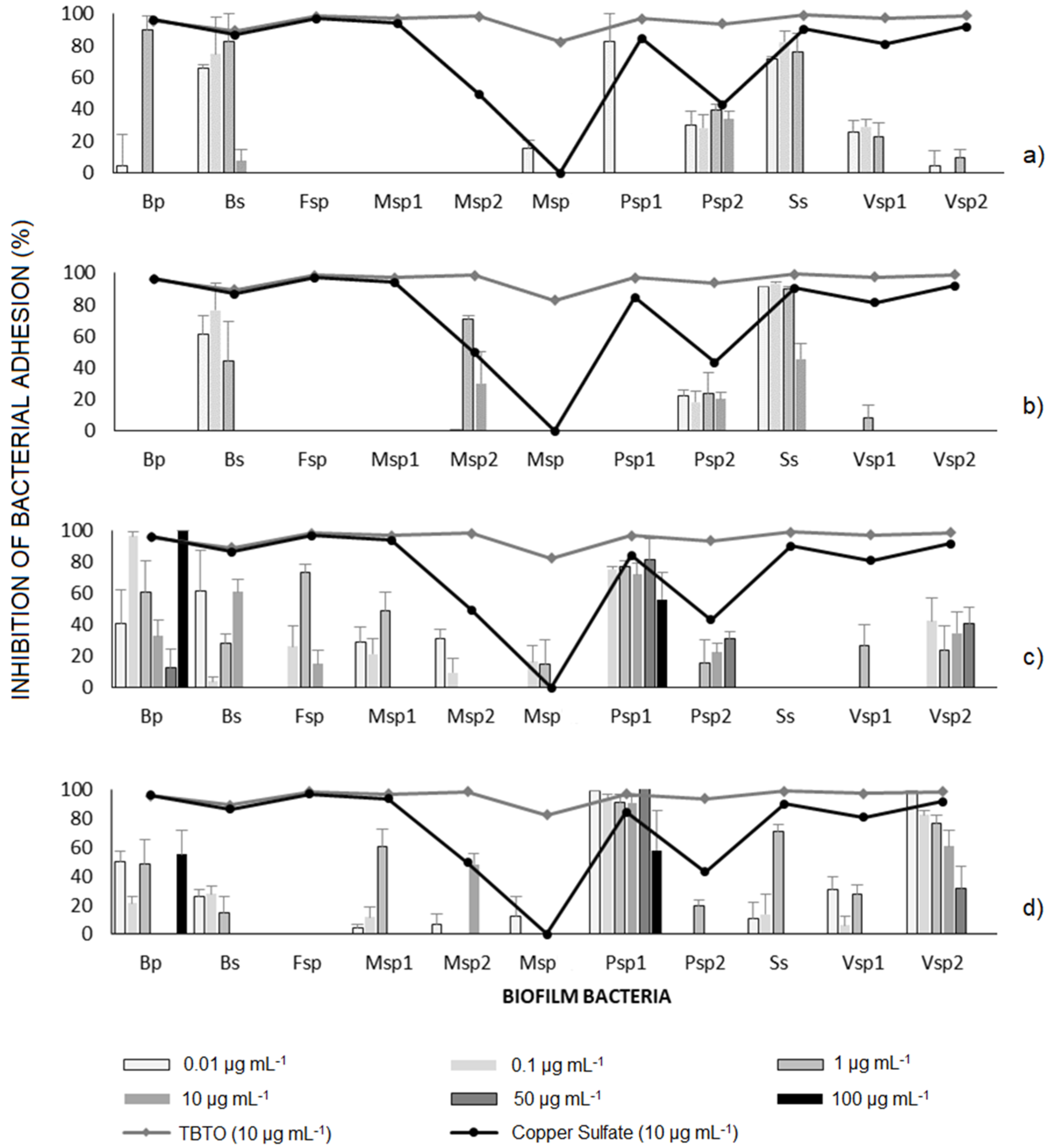
2.3.3. Inhibition Bacterial Adhesion Bioassay
2.4. Antifouling Assay in Natural Conditions
3. Discussion
3.1. Native Marine Bacteria Involved in Biofilm Process
3.2. Toxicity
3.3. In Vitro Bioassays
3.3.1. Antibacterial Bioassay
3.3.2. Inhibition of Phenoloxidase Activity
3.3.3. Inhibition Bacterial Adhesion Bioassay
3.4. Antifouling Assay in Natural Conditions
4. Materials and Methods
4.1. Sample Collection
4.2. Preparation of Extracts
4.3. Isolation of Native Marine Bacteria Involved in Biofilm Process
4.4. Assays in Laboratory
4.4.1. Toxicity Assay
4.4.2. Antibacterial Bioassay
4.4.3. Inhibition of Phenoloxidase Activity
4.4.4. Inhibition Bacterial Adhesion Bioassay
4.5. Antifouling Assay in Natural Conditions
4.6. Coverage Percentage of Epibionts
5. Conclusions
Author Contributions
Funding
Acknowledgments
Conflicts of Interest
Abbreviations
| AF | Antifouling |
| Bp | Bacillus pumilus |
| Bs | Bacillus subtilis |
| CfEt | Codium fragile ethanol extract |
| CfDC | Codium fragile ethanol extract |
| DMSO | Dimethyl Sulfoxide |
| Fsp | Flavobacterium sp. |
| GvEt | Gracilaria vermiculophylla ethanol extract |
| GvDC | Gracilaria vermiculophylla dicloromethane extract |
| Hc | Haliclona caerulea |
| Isp | Ircinia sp. |
| IMO | International Maritime Organization |
| Ka | Kojic acid |
| LgEt | Laurencia gardneri ethanol extract |
| LgDC | Laurencia gardneri dicloromethane extract |
| Msp | Micrococcus sp. |
| Msp1 | Micrococcus sp. 1 |
| Msp2 | Micrococcus sp. 2 |
| Psp1 | Pseudoalteromonas sp. 1 |
| Psp2 | Pseudoalteromonas sp. 2 |
| ShEt | Sargassum horridum ethanol extract |
| ShDC | Sargassum horridum dicloromethane extract |
| SDS | Sodium Dodecyl Sulfate |
| SSW | Sterile Sea Water |
| Ss | Sagittula stellata |
| TBT | Tributyltin |
| TBTO | Tributyltin Oxide |
| UlEt | Ulva lactuca ethanol extract |
| UlDC | Ulva lactuca dicloromethane extract |
| Vsp1 | Vibrio sp. 1 |
| Vsp2 | Vibrio sp. 2 |
References
- Sriyutha, M.; Venugopalan, V.P.; Nair, K.V.K.; Subramonian, T. Larval settlement and surface: Implications in development of antifouling strategies. In Marine and Industrial Biofouling; Flemming, H.C., Sriyutha, M., Venkatesan, R., Cooksey, K., Eds.; Springer: Berlin/Heidelberg, Germany, 2009; Volume 4, pp. 233–264. [Google Scholar] [CrossRef]
- Pohnert, G. Chemical defense strategies of marine organisms. In The Chemistry of Pheromones and Other Semiochemicals; Schulz, S., Ed.; Springer: Berlin/Heidelberg, Germany, 2004; Volume 239, pp. 179–219. [Google Scholar] [CrossRef]
- Eguía, E.; Trueba, A. Application of marine biotechnology in the production of natural biocides for testing on environmentally innocuous antifouling coatings. J. Coat. Technol. Res. 2007, 4, 191–202. [Google Scholar] [CrossRef]
- Vigneron, A.; Head, I.M.; Tsesmetzis, N. Damage to offshore production facilities by corrosive microbial biofilms. Appl. Microbiol. Biotech. 2018, 102, 2525–2533. [Google Scholar] [CrossRef] [PubMed]
- Isensee, J.; Watermann, B.; Berger, H.D. Emissions of antifouling- biocides into the North Sea—An estimation. Dtsch. Hydrogr. Z. 1994, 46, 355–365. [Google Scholar] [CrossRef]
- Yebra, D.M.; Kil, S.; Dam-Johansen, K. Antifouling technology—Past, present and future steps towards efficient and environmentally friendly antifouling coatings. Progr. Org. Coat. 2004, 50, 75–104. [Google Scholar] [CrossRef]
- Wise, J.P., Jr.; Tayler, J.; Croom-Pereza, T.J.; Meaza, I.; Aboueissa, A.; López-Montalvo, C.A.; Martin-Brasa, M.; Speera, R.M.; Bonilla-Garzón, A.; Urbán, J.; et al. A whale of a tale: A one environmental health approach to study metal pollution in the Sea of Cortez. Toxicol. Appl. Pharm. 2019, 376, 58–69. [Google Scholar] [CrossRef]
- Krug, P.J. Defense of benthic invertebrates against surface colonization by larvae: A chemical arms race. In Antifouling Compounds; Fusetani, N., Clare, A.S., Eds.; Springer: Berlin/Heidelberg, Germany, 2006; Volume 42, pp. 1–54. [Google Scholar]
- Sears, M.A.; Gerhart, D.J.; Rittschof, D. Antifouling agents from marine sponge Lissodendoryx isodictyalis Carter. J. Chem. Ecol. 1990, 16, 791–799. [Google Scholar] [CrossRef] [PubMed]
- Maréchal, J.P.; Hellio, C. Antifouling activity against barnacle cypris larvae: Do target species matter (Amphibalanus amphitrite versus Semibalanus balanoides)? Int. Biodeterior. Biodegrad. 2011, 65, 92–101. [Google Scholar] [CrossRef]
- Sánchez-Rodríguez, D.; Ortiz-Aguirre, I.; Aguila-Ramírez, R.N.; Rico-Virgen, E.G.; González-Acosta, B.; Hellio, C. Marine bacteria from the Gulf of California with antimicrofouling activity against colonizing bacteria and microalgae. Rev. Biol. Trop. 2018, 66, 1649–1663. [Google Scholar] [CrossRef]
- Maréchal, J.P.; Hellio, C. Challenges for the development of new non-toxic antifouling solutions. Int. J. Mol. Sci. 2009, 10, 4623–4637. [Google Scholar] [CrossRef]
- Henrikson, A.A.; Pawlik, J.R. A new antifouling assay method: results from field experiments using extracts of four marine organisms. J. Exp. Mar. Biol. Ecol. 1995, 194, 157–165. [Google Scholar] [CrossRef]
- Henrikson, A.A.; Pawlik, J.R. Seasonal variation biofouling of gels containing extracts of marine organisms. Biofouling 1998, 12, 245–255. [Google Scholar] [CrossRef]
- Chambers, L.D.; Hellio, C.; Stokes, K.R.; Dennington, S.P.; Goodes, L.R.; Wood, R.J.K.; Walsh, F.C. Investigation of Chondrus crispus as a potential source of new antifouling agents. Int. Biodeterior. Biodegrad. 2011, 65, 939–946. [Google Scholar] [CrossRef]
- Acevedo, M.S.; Puentes, C.; Carreño, K.; Gómez-León, M.; García, M.; Pérez, M.; Blustein, G. Antifouling paints based on marine natural products from Colombian Caribbean. Int. Biodeterior. Biodegrad. 2013, 83, 97–104. [Google Scholar] [CrossRef]
- Bressy, C.; Hellio, C.; Maréchal, J.P.; Tanguy, B.; Margaillan, A. Bioassays and field immersion tests: A comparison of the antifouling activity of copper-free poly(methacrylic)-based coatings containing tertiary amines and ammonium salt groups. Biofouling 2010, 26, 769–777. [Google Scholar] [CrossRef] [PubMed]
- Fu, Y.; Yang, Y.; Xiao, S.; Zhanga, L.; Huanga, L.; Chen, F.; Fan, P.; Zhong, M.; Tan, J.; Yang, J. Mixed polymer brushes with integrated antibacterial and antifouling properties. Prog. Org. Coat. 2019, 130, 75–82. [Google Scholar] [CrossRef]
- Manilal, A.; Sujith, S.; Sabarathnam, B.; Seghal, G.; Selvin, J.; Shakir, C.; Premnath, A. Antifouling potentials of seaweeds collected from the Southwest Coast of India. World J. Agric. Sci. 2010, 6, 243–248. [Google Scholar]
- Bazes, A.; Silkina, A.; Douzenel, P.; Faÿ, F.; Kervarec, N.; Morin, D.; Berge, J.P.; Bourgougnon, N. Investigation of the antifouling constituents from the brown alga Sargassum muticum (Yendo) Fensholt. J. Appl. Phycol. 2008, 21, 395–403. [Google Scholar] [CrossRef]
- Henschell, J.R.; Cook, P.A. The development of a marine fouling community in relation to the primary film of microorganisms. Biofouling 1990, 2, 1–11. [Google Scholar] [CrossRef]
- Bhosale, S.H.; Nagle, V.I.; Jagtap, T.G. Antifouling potential of some marine organisms from India against species of Bacillus and Pseudomonas. Mar. Biotech. 2002, 4, 11–118. [Google Scholar] [CrossRef]
- Castellanos, L.; Mayorga, H.; Duque, C. Estudio de la composición química y actividad antifouling del extracto de la esponja marina Cliona delitrix. Vitae 2010, 17, 209–224. [Google Scholar]
- König, G.M.; Wright, A.D. Laurencia rigida: Chemical investigations of its antifouling dichloromethane extract. J. Nat. Prod. 1997, 60, 967–970. [Google Scholar] [CrossRef] [PubMed]
- Da-Gama, B.; Carvalho, A.; Weidner, K.; Soares, A.R.; Coutinho, R.; Fleury, B.G.; Teixeira, V.L.; Pereira, R.C. Antifouling activity of natural products from Brazilian seaweeds. Bot. Mar. 2008, 51, 191–201. [Google Scholar] [CrossRef]
- Águila-Ramírez, R.N.; Arenas-González, A.; Hernández-Guerrero, C.J.; González-Acosta, B.; Borges-Souza, J.M.; Verón, B.; Pope, J.; Hellio, C. Antimicrobial and antifouling activities achieved by extracts of seaweeds from Gulf of California, México. Hidrobiológica 2012, 22, 8–15. [Google Scholar]
- Oguri, Y.; Watanabe, M.; Ishikawa, T.; Kamada, T.; Vairappan, C.S.; Matsura, H.; Kaneko, K.; Ishii, T.; Suzuki, M.; Yoshimura, E.; et al. New marine antifouling compounds from the red alga Laurencia sp. Mar. Drugs 2017, 15, 267. [Google Scholar] [CrossRef] [PubMed]
- Huang, Y.L.; Ki, J.S.; Case, R.J.; Qian, P.Y. Diversity and acyl-homoserine lactone production among subtidal biofilm-forming bacteria. Aquat. Microb. Ecol. 2008, 52, 185–193. [Google Scholar] [CrossRef]
- Tran, C.; Hadfield, M.G. Larvae of Pocillopora damicornis (Anthozoa) settle and metamorphose in response to surface-biofilm bacteria. Mar. Ecol. Progr. Ser. 2011, 433, 85–96. [Google Scholar] [CrossRef]
- Brackman, G.; Coenye, T. Quorum sensing inhibitors as anti-biofilm agents. Curr. Pharm. Des. 2015, 21, 5–11. [Google Scholar] [CrossRef]
- Nandhini, S.; Revathi, K. Antifouling activity extracts from mangroves against biofouling bacteria isolated from boats in Royapuram, Chennai, India. J. Curr. Microbiol. Appl. Sci. 2016, 5, 24–335. [Google Scholar] [CrossRef]
- Salvetti, S.; Faegri, K.; Ghelardi, E.; Kolsto, A.B.; Senesi, S. Global gene expression profile for swarming Bacillus cereus bacteria. Appl. Environ. Microbiol. 2011, 77, 5149–5156. [Google Scholar] [CrossRef]
- Ostrov, I.; Sela, N.; Balausov, E.; Steinberget, D.; Shemeshal, M. Adaptation of Bacillus species to dairy associated environment facilitates their biofilm forming ability. Food Microbiol. 2019, 82, 316–324. [Google Scholar] [CrossRef]
- Liaqat, I.; Sumbal, F.; Sabri, A.N. Tetracycline and chloramphenicol efficiency against selected biofilm forming bacteria. Curr. Microbiol. 2009, 59, 212–220. [Google Scholar] [CrossRef] [PubMed]
- Levipan, H.A.; Avendaño-Herrera, R. Different phenotypes of mature biofilm in Flavobacterium psychrophilum share a potential for virulence that differs from planktonic state. Front. Cell Infect. Microbiol. 2017, 7, 76. [Google Scholar] [CrossRef] [PubMed]
- Prakash, S.; Ahila, N.K.; Sri Ramkumar, V.; Ravindran, J.; Kannapiran, E. Antimicrofouling properties of chosen marine plants: An eco-friendly approach to restrain marine microfoulers. Biocatal. Agri. Biotech. 2015, 4, 114–121. [Google Scholar] [CrossRef]
- Thiyagarajan, V.; Harder, T.; Qiu, J.W.; Qian, P.Y. Energy content at metamorphosis and growth rate the early juvenile barnacle Balanus amphitrite. Mar. Biol. 2003, 143, 543–554. [Google Scholar] [CrossRef]
- Trepos, R.; Pinori, E.; Jonsson, P.; Berling, M.; Svenson, J.; Coutinho, R.; Lausmaa, J.; Hellio, C. Innovative approaches for the development of new copper-free marine antifouling paints. J. Ocean. Technol. 2014, 9, 4–19. [Google Scholar]
- Fernández-Calienes, A.; Mendiola-Martínez, J.; Monzote-Fidalgo, L.; García-Parra, M.; Sariego-Ramos, I.; Acuña-Rodríguez, D.; Scull-Lizama, R.; Gutiérrez-Gaitén, Y. Evaluación de la toxicidad de extractos de plantas cubanas con posible acción antiparasitaria utilizando larvas de Artemia salina. Rev. Cubana Med. Trop. 2009, 61, 254–258. [Google Scholar]
- Thirionet, I.; Daloze, D.; Braekman, J.C.; Willemsen, P. 5-Bromoverongamine, a novel antifouling tyrosine alkaloid from the sponge Pseudoceratina sp. Nat. Prod. Lett. 1998, 12, 209–214. [Google Scholar] [CrossRef]
- Pinkney, A.E.; Wright, D.A.; Jepson, M.A.; Towle, D.W. Effects of tri-n-butyltin compounds on ionic regulation and gill ATPase in estuarine fish. Comp. Biochem. Physiol. C 1989, 92, 125–129. [Google Scholar] [CrossRef]
- Othomani, A.; Bunet, R.; Bonnefont, J.L.; Briand, J.F.; Culioli, G. Settlement inhibition of marine biofilm bacteria and barnacle larvae by compounds isolated from the Mediterranean brown alga Taonia atomaria. J. Appl. Phycol. 2016, 28, 1975–1986. [Google Scholar] [CrossRef]
- Dahms, H.U.; Dobretsov, S. Antifouling compounds from marine macroalgae. Mar. Drugs 2017, 15, 265. [Google Scholar] [CrossRef]
- García-Davis, S.; Murillo-Álvarez, I.; Muñoz-Ochoa, M.; Carranza-Torres, E.; Garza-Padrón, R.; Morales-Rubio, E.; Viveros-Valdez, E. Bactericide, antioxidant and cytotoxic activities from marine algae of genus Laurencia collected in Baja California Sur, México. Int. J. Pharmacol. 2018, 14, 391–396. [Google Scholar] [CrossRef]
- Mora-Cristancho, J.; Zea, A.; Gil-Agudelo, D.L. Actividad antagónica entre bacterias epibióticas aisladas de esponjas marinas del Caribe colombiano y su relación con la macroepibiosis. Bol. Investig. Mar. Costeras 2009, 38, 25–38. [Google Scholar] [CrossRef]
- Hattori, T.; Kyoko, A.; Yoshikazu, S. New ceramide from marine sponge Haliclona koremella and related compounds as antifouling substances against macroalgae. J. Nat. Prod. 1998, 61, 823–826. [Google Scholar] [CrossRef] [PubMed]
- Mol, V.P.L.; Raveendran, T.V.; Parameswaran, P.S. Antifouling activity exhibited by secondary metabolites of the marine sponge, Haliclona exigua (Kirkpatrik). Int. Biodeterior. Biodegrad. 2009, 63, 67–72. [Google Scholar] [CrossRef]
- Roper, K.E.; Beamish, H.; Garson, M.J.; Skilleter, G.A.; Degnan, B.M. Convergent antifouling activities of structurally distinct bioactive compounds synthesized within two sympatric Haliclona demosponges. Mar. Biotechnol. 2009, 11, 188–198. [Google Scholar] [CrossRef] [PubMed]
- Fusetani, N. Antifouling Marine Natural Products. Nat. Prod. Rep. 2011, 28, 400–410. [Google Scholar] [CrossRef]
- Bayer, M.; Hellio, C.; Maréchal, J.P.; Frank, W.; Lin, W.; Weber, H.; Proksch, P. Antifouling bastadin congeners target mussel phenoloxidase and complex copper(II) ions. Mar. Biotechnol. 2011, 13, 1148–1158. [Google Scholar] [CrossRef]
- Hellio, C.; Bourgougnon, N.; Gal, Y.L. Phenoloxidase (E.C. 1.14.18.1) from the byssus gland of Mytilus edulis: Purification, partial characterization and application for screening products with potential antifouling activities. Biofouling 2000, 16, 235–244. [Google Scholar] [CrossRef]
- Chen, C.Y.; Kuo, P.L.; Chen, Y.H.; Huang, J.C.; Ho, M.L.; Lin, R.J.; Chang, J.S.; Wang, H.M. Tyrosinase inhibition, free radical scavenging, antimicroorganism and anticancer proliferation activities of Sapindus mukorossi extracts. J. Taiwan Inst. Chem. Eng. 2010, 41, 129–135. [Google Scholar] [CrossRef]
- Kim, Y.J.; Uyama, H. Tyrosinase inhibitors from natural and synthetic sources: structure, inhibition mechanism and perspective for the future. Cell. Mol. Life Sci. 2005, 62, 1707–1723. [Google Scholar] [CrossRef]
- Vairappan, C.S.; Suzuki, M.; Abe, T.; Masua, M. Halogenated metabolites with antibacterial activity from the Okinawan Laurencia species. Phytochemistry 2001, 58, 517–523. [Google Scholar] [CrossRef]
- Liu, M.; Hansen, P.E.; Lin, X. Bromophenols in marine algae and their bioactivities. Mar. Drugs 2011, 9, 1273–1292. [Google Scholar] [CrossRef] [PubMed]
- Yong-Xin, L.; Wijesekara, I.; Yong, L.; Se-Kwon, K. Phlorotannins as bioactive agents from brown algae. Process. Biochem. 2011, 46, 2219–2224. [Google Scholar] [CrossRef]
- Sera, Y.; Adachi, K.; Fujii, K.; Shizuri, Y. Isolation of Haliclonamides: New peptides as antifouling substances from a marine sponge species, Haliclona. Mar. Biotechnol. 2002, 3, 441–446. [Google Scholar] [CrossRef] [PubMed]
- Pinteus, S.; Lemos, M.F.L.; Alves, C.; Neugebauer, A.; Silva, J.; Thomas, O.P.; Botana, L.M.; Gaspar, H.; Pedrosa, R. Marine invasive macroalgae: Turning a real threat into a major opportunity - the biotechnological potential of Sargassum muticum and Asparagopsis armata. Algal Res. 2018, 34, 217–234. [Google Scholar] [CrossRef]
- Norris, J.N. Marine algae of the northern Gulf of California: Chlorophyta and Phaeophyceae. Smithson. Contrib. Bot. 2010, 94, 1–276. [Google Scholar] [CrossRef]
- Mattio, L.; Dirberg, G.; Payri, C.; Andréfouët, S. Diversity, biomass and distribution pattern of Sargassum beds in the south west lagoon of New Caledonia (South Pacific). J. Appl. Phycol. 2008, 20, 811–823. [Google Scholar] [CrossRef]
- Casas-Valdez, M.; Sánchez-Rodríguez, I.; Serviere-Zaragoza, E.; Aguila-Ramírez, R.N. Temporal changes in the biomass and distribution of Sargassum beds along the southeastern coast of the Baja California Peninsula. Cienc. Mar. 2016, 42, 99–109. [Google Scholar] [CrossRef][Green Version]
- Fernández de la Hoz, C.; Ramos, E.; Puente, A.; Juanes, J.A. Climate change induced range shifts in seaweeds distributions in Europe. Mar. Environ. Res. 2019, 148, 1–11. [Google Scholar] [CrossRef]
- Smetacek, V.; Zingone, A. Green and golden seaweed tides on the rise. Nature 2013, 504, 84–88. [Google Scholar] [CrossRef]
- Milledge, J.J.; Harvey, P.J. Golden tides: Problem or golden opportunity? The valorisation of Sargassum from beach inundations. J. Mar. Sci. Eng. 2016, 4, 60. [Google Scholar] [CrossRef]
- Muñoz-Ochoa, M.; Murillo-Alvarez, J.I.; Zermeño-Cervantes, L.A.; Martínez-Díaz, S.; Rodríguez-Riosmena, R. Screening of extracts of algae from Baja California Sur, Mexico, as reverses of the antibiotic resistance of some pathogenic bacteria. Eur. Rev. Med. Pharm. Sci. 2010, 14, 739–747. [Google Scholar]
- Hernández-Guerrero, C.J.; Zubia, E.; Ortega, M.J.; Carballo, J.L. Sesterterpene metabolites from the sponge Hyatella intestinalis. Tetrahedron 2006, 62, 5392–5400. [Google Scholar] [CrossRef]
- Hellio, C.; Trepos, R.; Aguila-Ramírez, R.N.; Hernández-Guerrero, C.J. Protocol for assessing antifouling activities of macroalgal extracts. In Natural Products From Marine Algae: Methods and Protocols: Methods in Molecular Biology, 1st ed.; Stengel, D.B., Connan, S., Eds.; Human Press: New York, NY, USA, 2015; Volume 1308, pp. 421–435. [Google Scholar] [CrossRef]
- Sambrook, J.; Russell, D.W. Molecular Cloning: A Laboratory Manual, 4th ed.; Editorial CSHL Press: Cold Spring Harbor, NY, USA, 2001; p. 2344. [Google Scholar]
- Ausubel, F.M.; Brent, R.; Kingston, R.E.; Moore, D.D.; Seidman, J.G.; Smith, J.A.; Struhl, K. Short Protocols in Molecular Biology: A Compendium of Methods from Current Protocols in Molecular Biology, 5th ed.; John Wiley and Sons, Inc.: New York, NY, USA, 2002. [Google Scholar]
- Meyer, B.N.; Ferrigni, N.R.; Putnam, J.E.; Jacobsen, L.B.; Nichols, D.E.; McLaughlin, J.L. Brine Shrimp: A convenient general bioassay for active plant constituents. Planta Med. 1982, 45, 31–34. [Google Scholar] [CrossRef]
- Martín-Rodríguez, A.J.; Babarro, J.M.F.; Lahoz, F.; Sansón, M.; Martín, V.S.; Norte, M.; Fernández, J.F. From Broad-Spectrum Biocides To Quorum Sensing Disruptors and Musser Repellents: Antifouling Profile of Alkyl Triphenylosphonium Salts. PLoS ONE 2015, 10, e0123652. [Google Scholar] [CrossRef]
- Leroy, C.; Delbarre-Ladrat, C.; Ghillebaert, F.; Rochet, M.J.; Compere, C.; Combes, D. A marine bacterial adhesion microplate test using DAPI fluorescent dye: A new method to screen antifouling agents. Lett. Appl. Microbiol. 2007, 44, 372–378. [Google Scholar] [CrossRef]




| ID Strain | Isolated Origin | Closely Related Species | Access Number GenBank | % Identity | Capacity for Forming Biofilm * |
|---|---|---|---|---|---|
| Ap-20 | SAp | Bacillus pumilus (Bp) | JF501099.1 | 98 | ++++ |
| Ap-167 | SAp | Bacillus subtilis (Bs) | JX215561.1 | 100 | +++ |
| My-20 | SMr | Micrococcus sp. 1 (Msp1) | FR750272.1 | 98 | +++ |
| My-27 | SMr | Micrococcus sp. 2 (Msp2) | HQ188562.1 | 99 | +++ |
| MLP-Sp20 | WP | Micrococcus sp. (Msp) | KX082870.1 | 99 | +++ |
| MLP-Sp21 | FP | Flavobacterium sp. (Fsp) | KF2823252.1 | 99 | ++++ |
| MLP-Cp11 | FP | Pseudoalteromonas sp. 2 (Psp2) | KX233660.1 | 100 | + |
| MLP-Sp7 | WP | Pseudoalteromonas sp. 1 (Psp1) | KM041227.1 | 100 | +++ |
| MLP-Cp5 | FP | Sagittula stellata (Ss) | HG315014.1 | 98 | ++ |
| MLP-Sp3 | WP | Vibrio sp. 1 (Vsp1) | KR075009.1 | 100 | +++ |
| MLP-Sp6 | WP | Vibrio sp. 2 (Vsp 2) | DQ146972.1 | 99 | +++ |
| Species | Extract | LC50(µg mL−1) |
|---|---|---|
| Macroalgae | ||
| EtOH | >1000 | |
| L. gardneri | CH2Cl2 | >1000 |
| CH2Cl2/Paint | >1000 | |
| U. lactuca | EtOH | >1000 |
| CH2Cl2 | >1000 | |
| C. fragile | EtOH | >1000 |
| CH2Cl2 | >1000 | |
| EtOH | >1000 | |
| S. horridum | EtOH/Paint | >1000 |
| CH2Cl2 | >1000 | |
| G. vermiculophyla | EtOH | >1000 |
| CH2Cl2 | >1000 | |
| Sponges | ||
| H. caerulea | MeOH | >1000 |
| MeOH/Paint | >1000 | |
| Ircinia sp. | MeOH | >1000 |
| MeOH/Paint | >1000 | |
| Controls | ||
| SDS | 14.01 | |
| TBTO | 8.73 | |
| CuSO4 | 6.21 |
| Organism | Extract | Antibacterial Activity (MIC Values in µg mL−1) | ||||||||||
|---|---|---|---|---|---|---|---|---|---|---|---|---|
| Bp | Bs | Fsp | Msp1 | Msp2 | Msp | Psp1 | Psp2 | Ss | Vsp1 | Vsp2 | ||
| Macroalgae | ||||||||||||
| L. gardneri | EtOH | 1 | >100 | 0.01 | 0.01 | >100 | 0.1 | >100 | 100 | 0.01 | >100 | >100 |
| CH2Cl2 | 1 | 1 | 0.01 | 0.01 | >100 | 0.1 | >100 | >100 | 1 | >100 | >100 | |
| U. lactuca | EtOH | >100 | >100 | 0.01 | 50 | >100 | 1 | >100 | >100 | >100 | >100 | >100 |
| CH2Cl2 | >100 | >100 | 0.01 | 0.01 | >100 | 0.01 | >100 | >100 | 100 | >100 | >100 | |
| C. fragile | EtOH | >100 | >100 | 0.01 | 0.01 | >100 | 0.1 | >100 | 50 | 10 | >100 | >100 |
| CH2Cl2 | >100 | >100 | 0.01 | 0.01 | >100 | 1 | >100 | >100 | 100 | >100 | >100 | |
| S. horridum | EtOH | 10 | >100 | 0.01 | 10 | >100 | 0.1 | >100 | 50 | 50 | >100 | >100 |
| CH2Cl2 | >100 | >100 | 0.01 | >100 | >100 | 1 | >100 | >100 | >100 | >100 | >100 | |
| G. vermiculophylla | EtOH | >100 | >100 | 0.01 | 10 | >100 | >100 | >100 | >100 | 100 | >100 | >100 |
| CH2Cl2 | >100 | >100 | 0.01 | 0.01 | >100 | 0.01 | >100 | 1 | >100 | >100 | >100 | |
| Sponges | ||||||||||||
| H. caerulea | MeOH | 0.1 | >100 | 0.01 | 1 | >100 | 0.1 | >100 | >100 | 0.1 | >100 | >100 |
| Ircinia sp. | MeOH | 10 | >100 | 0.01 | 0.01 | >100 | 0.01 | >100 | >100 | 0.1 | >100 | >100 |
© 2019 by the authors. Licensee MDPI, Basel, Switzerland. This article is an open access article distributed under the terms and conditions of the Creative Commons Attribution (CC BY) license (http://creativecommons.org/licenses/by/4.0/).
Share and Cite
Sánchez-Lozano, I.; Hernández-Guerrero, C.J.; Muñoz-Ochoa, M.; Hellio, C. Biomimetic Approaches for the Development of New Antifouling Solutions: Study of Incorporation of Macroalgae and Sponge Extracts for the Development of New Environmentally-Friendly Coatings. Int. J. Mol. Sci. 2019, 20, 4863. https://doi.org/10.3390/ijms20194863
Sánchez-Lozano I, Hernández-Guerrero CJ, Muñoz-Ochoa M, Hellio C. Biomimetic Approaches for the Development of New Antifouling Solutions: Study of Incorporation of Macroalgae and Sponge Extracts for the Development of New Environmentally-Friendly Coatings. International Journal of Molecular Sciences. 2019; 20(19):4863. https://doi.org/10.3390/ijms20194863
Chicago/Turabian StyleSánchez-Lozano, Ilse, Claudia Judith Hernández-Guerrero, Mauricio Muñoz-Ochoa, and Claire Hellio. 2019. "Biomimetic Approaches for the Development of New Antifouling Solutions: Study of Incorporation of Macroalgae and Sponge Extracts for the Development of New Environmentally-Friendly Coatings" International Journal of Molecular Sciences 20, no. 19: 4863. https://doi.org/10.3390/ijms20194863
APA StyleSánchez-Lozano, I., Hernández-Guerrero, C. J., Muñoz-Ochoa, M., & Hellio, C. (2019). Biomimetic Approaches for the Development of New Antifouling Solutions: Study of Incorporation of Macroalgae and Sponge Extracts for the Development of New Environmentally-Friendly Coatings. International Journal of Molecular Sciences, 20(19), 4863. https://doi.org/10.3390/ijms20194863

