Abstract
Systemic lupus erythematosus (SLE) is an archetype of systemic autoimmune disease, characterized by the presence of diverse autoantibodies and chronic inflammation. There are multiple factors involved in lupus pathogenesis, including genetic/epigenetic predisposition, sexual hormone imbalance, environmental stimulants, mental/psychological stresses, and undefined events. Recently, many authors noted that “inflammaging”, consisting of immunosenescence and inflammation, is a common feature in aging people and patients with SLE. It is conceivable that chronic oxidative stresses originating from mitochondrial dysfunction, defective bioenergetics, abnormal immunometabolism, and premature telomere erosion may accelerate immune cell senescence in patients with SLE. The mitochondrial dysfunctions in SLE have been extensively investigated in recent years. The molecular basis of normoglycemic metabolic syndrome has been found to be relevant to the production of advanced glycosylated and nitrosative end products. Besides, immunosenescence, autoimmunity, endothelial cell damage, and decreased tissue regeneration could be the results of premature telomere erosion in patients with SLE. Herein, the molecular and cellular bases of inflammaging and cardiovascular complications in SLE patients will be extensively reviewed from the aspects of mitochondrial dysfunctions, abnormal bioenergetics/immunometabolism, and telomere/telomerase disequilibrium.
1. Introduction
Diverse dysregulation in innate [1,2,3] and adaptive [4,5] immune systems has been found in patients with systemic lupus erythematosus (SLE). These kinds of immune dysregulations stimulate protean autoantibody productions [6,7] and chronic immune-mediated inflammation [1,2,3,4]. Aging is defined as the physiologically progressive degeneration and decay of somatic tissues/organs and immune systems (immunosenescence). The tissue/organ degeneration results in neoantigen formation and immune reactivity to these newly formed, “altered”, self-antigens after loss of self-tolerance [8]. Eventually, elderly people experience low-grade systemic inflammation [9], low titer autoantibody productions, and immunosenescence, mimicking autoimmune diseases [8,9,10,11]. Accordingly, the presence of immunosenescence and inflammation simulating “inflammaging” become the characteristic immune dysfunctions in both SLE patients and the elderly [8,12,13]. The similarity in immune dysfunctions and common clinical manifestations in age-associated physiological senescence and SLE are listed in Table 1 [14,15,16,17,18,19,20,21,22,23,24,25,26,27].
Table 1.
Similarity in immune dysfunctions and common clinical features in physiological senescence and SLE.
Complex etiological factors are involved in lupus pathogenesis, such as genetic predisposition [28,29,30,31], epigenetic post-transcriptional regulation [32,33,34,35,36], sex hormone imbalance [37,38], environmental stimulation [39,40], mental/psychological stresses [38], and other undefined factors [41]. Recently, many authors have demonstrated that mitochondrial dysfunctions [42,43,44,45,46], defective bioenergetics in immune cells, and abnormal immunometabolism [47,48] can induce structural and functional changes of biomolecules (proteins, lipids, nucleic acids, and glycoproteins) by oxidative and nitrosative stresses [49,50]. All of these precipitating factors can potentially accelerate immunosenescence by way of inflammaging in patients with SLE [8,51,52]. In addition, disequilibrium in the telomere/telomerase system has also been found to be closely related to cell senescence [53,54,55] and decreased bone marrow-derived mesenchymal stem cell (BM-MSC) production in SLE [56]. The interactions among these upstream etiopathogenetic factors in diverse immune dysfunctions in patients with SLE are rather intriguing. In this review, we are going to discuss in detail the molecular and cellular bases of inflammaging, cardiovascular complications related to mitochondrial dysfunctions, abnormal bioenergetics/immunometabolism, and disequilibrium in the telomere/telomerase system in patients with SLE.
2. The Cellular Basis of Inflammaging in Patients with SLE
Immunosenescence is defined as a decreased ability of the immune system to respond to foreign antigens and the inability to maintain self-tolerance. The situation may lead to an increased susceptibility to infections, cancer, autoimmunity, and chronic inflammation [14,57]. “Inflammaging” is characterized by persistent low-grade chronic inflammation in the aging process that increases plasma levels of inflammatory cytokines, low titer of autoantibodies, acute phase proteins, and coagulation factors [58]. Accordingly, it is considered that immunosenescence and inflammaging are friends as two sides of the same coin [13]. Larbi et al. [59] have demonstrated that decreases in the expression and functions of the T-cell receptor (TCR) and its co-receptors to process antigens are closely associated with immunosenescence, presenting as increased susceptibilities to infections. Bulati et al. [60] have found that inflammaging exerts a strong impact on B cell lymphopoiesis in the bone marrow and mature B cell remodeling by shifting them from naïve to memory B. Consequently, the produced immunoglobulins are defective in affinity to protect against newly encountered antigens. Furthermore, memory B cell differentiation to plasma cell is also impaired by inflammaging. Therefore, high affinity antibodies to protect the body are lacking. Analysis of immunosenescent biomarkers in patients with SLE revealed that increased CD4+CD28null angiogenic T cell subset containing granzyme B, perforin, and interferon (IFN)-γ was closely related to cardiovascular complications, just like in the aging group [61,62,63]. In addition, increase in the IL-6/TGF-β ratio drives T cell response toward IL-22 overexpression and IL-17 maturation in patients with SLE [64,65]. Obviously, aging and SLE share the same immunosenescence, inflammation, and beyond [66]. The cellular bases of inflammaging and its pathophysiological effects on patients with SLE are summarized in Table 2.
Table 2.
The cellular bases of inflammaging and its pathophysiological effects on patients with SLE.
3. The Factors Contributing to Inflammaging and Cardiovascular Morbidities in Patients with SLE
Although the real mechanism for inflammaging remains unclear, some precipitating factors—including oxidative-inflammatory stresses, cytokines, DNA damage, autophagy/mitophagy dysfunctions, and stem cell aging—have been postulated [67], among which, oxidative and inflammatory stresses are crucial for immunosenescence in the mouse model of premature aging [68] and patients with SLE [8,69,70,71]. The oxidative stresses are derived from free radicals containing reactive oxygen species (ROS), reactive nitrogen species (RNS), and their glycation/nitrosation end products of biomolecules (proteins, lipids, glycoproteins, and nucleic acids) [57]. Three major biochemical mechanisms linking oxidative stresses to inflammaging have been found: (1) Oxidative damage of the intracellular biomolecules impairs cell functions, (2) excessive production of oxidized molecules elicits cell apoptosis, and (3) modification of self-antigens induces neoantigen formation. Obviously, free radical production of the body is derived mainly from mitochondrial dysfunctions and defective bioenergetics/immunometabolism in the immune-related cells. The major factors that contribute to inflammaging and metabolic syndrome in patients with SLE are depicted in Figure 1.
Figure 1.
The factors that contribute to inflammaging and metabolic syndrome in patients with SLE. The broken circles are not discussed in the present review. mt: Mitochondrial; Redox: Reduction and oxidation; BM-MSC: Bone marrow derived mesenchymal stem cell; T: T lymphocyte; B: B lymphocyte; EC: Endothelial cell; Th: Helper T cell; NETosis: Apoptosis of neutrophil to form neutrophil extracellular trap.
4. Mitochondrial Dysfunction is One of the Crucial Up-Stream Factors in Inducing Oxidative Stresses and Immunosenescence in Patients with SLE
Mitochondria are ancient organelles essential for heat production, calcium storage, reduction-oxidation (redox) regulation, biosynthesis, cell signaling, and cell apoptosis, as well as physiologic processes against aging. Many of the functions decline with age [51]. SLE is characterized by abnormal T-cell activation, followed by its suicide death, presumably because of the over production of reactive oxygen species (ROS) in mitochondria. SLE-T cell exhibits persistently high mitochondrial transmembrane potential (mitochondrial hyperpolarization) and depletion of ATP and glutathione (GSH) that lead to activation-induced cell death [72]. Consequent to the defective apoptotic cell clearance capacity, which is associated with secondary cell necrosis, the released cellular components stimulate Toll-like receptors to result in inflammation in patients with SLE [1]. Besides, mitochondrial (mt)DNA damage [45,73,74,75,76], characterized by D-310 heteroplasmy and copy number decrease [42,77], is also present in SLE. Su et al. [78] investigated the caspase-dependent mitochondrial apoptotic pathway in immune cells from SLE patients. They found that peripheral blood mononuclear cells (PBMCs) and polymorphonuclear neutrophils (PMNs) from SLE patients exhibited increased expression of apoptosis initiators, caspase 9 and 10, that are positively correlated to the expression of mitochondrial anti-viral signaling protein and interferon regulatory factor 7. Lee et al. [42,77] further investigated sequence variations of mtDNA in SLE leukocytes. They found that decreased mtDNA copy number and increased D310 heteroplasmy are correlated to lupus nephritis. In addition, the same group have also revealed that the D-310-4977 deletion in oxidative DNA and mtDNA are also correlated to the high serum levels of cytokines (IL-10, IFN-α, IL-23, IFN-γ) and chemokines (IP-10 and MCP-1) [45].
It is believed that ROS can potentially damage intra- and extra-cellular biomolecules, including DNA, RNA, lipids, and proteins. The formation of 8-hydroxy-2′-deoxyguanosine (8-OHdG) is the most common biomarker for oxidative DNA damage. Lee et al. [79] demonstrated first an increased plasma 8-OHdG and a decreased mRNA expression of human 8-oxogunine DNA glycosylase 1 (hOGG1), anti-oxidant enzymes, mitochondrial biogenesis-related proteins, and glycolytic enzymes in SLE-leukocytes. The same group also showed the role of hOGG1 C1245G polymorphism in contribution to the susceptibility to lupus nephritis [42,80]. On the other hand, Yang et al. [81] found that urinary neutrophil gelatinase-associated lipocalin (NGAL), a 25kDa small protein belonging to the lipocalin protein superfamily, could become a potential biomarker for renal damage in patients with SLE. Recently, Lee et al. [82] further demonstrated that SLE-PBMC displayed low basal mitochondrial oxygen consumption rate and extracellular acidification rate that could be recovered by glutamine supplement. Putting these results together, mitochondrial dysfunctions in immune cells of SLE patients—including decreased redox capacity, increased oxidative-inflammatory stresses, cell apoptosis, mtDNA damage and breakdown of itself (mitophagy), and defective bioenergetics—may facilitate immune cell senescence in patients with SLE as shown in Figure 2.
Figure 2.
The molecular bases of mitochondrial dysfunction in inducing immune cell senescence in patients with SLE. mt: Mitochondrial; hOGG1: Gene encoding human 8-oxoguanine DNA N-glycosylase 1; Redox: Reduction and oxidation.
5. Defective Bioenergetics/Immunometabolism Allied with Mitochondrial Dysfunction Accelerates Metabolic Syndrome and Immunosenescence in Patients with SLE
Reprogrammable cellular metabolism occurs in immune cells for controlling cell proliferation and differentiation. Resting lymphocytes generate energy via oxidative phosphorylation and fatty acid oxidation, whereas activated lymphocytes rapidly shift to glycolysis that requires aerobic condition [83]. The aerobic glycolysis may confer a higher rate of ATP production to maintain redox homeostasis [84]. In autoimmunity, failure in metabolic reprogramming at critical checkpoints may lead to immune cell hyper-reactivity, increase in oxidative stress, and subsequent metabolic abnormalities [48,85,86,87].
Li et al. [47] found that a defective expression of facilitative glucose transporter (GLUT)-3 and GLUT-6 in T cells and PMNs increased intracellular basal lactate but decreased ATP production. In addition, the same authors noted that the critical molecules for maintaining intracellular redox capacity such as intracellular GSH, GSH-peroxidase, and γ-glutamyl- transpeptidase were decreased in SLE-T cells. However, Choi et al. [88] found that mammalian target of rapamycin (mTOR) activation in SLE-T cells could enhance GLUT activity and TCR signaling. Rhoads et al. [89] further demonstrated that increased GLUT-1 expression in CD4 T cells, insulin resistance, and fasting insulin levels were the major factors for metabolic abnormalities in patients with SLE. The different immunometabolic abnormalities can induce immunosenescence and metabolic syndrome in patients with SLE. Ugarte-Gil et al. [90] found that SLE patients exhibited a lower percentage of naïve CD4+T cells and a higher percentage of memory CD4+T cells, and therefore an increase in memory CD4+T cell/naïve CD4+T ratio, which was thus closely related with their metabolic syndrome and cardiovascular morbidity. Perl [91] demonstrated that the mTOR complex (mTORC) in T cells integrated environmental cues, energy, and nutrient levels in response to metabolic status for maintaining homeostasis. It is quite interesting that Th1 and Th2 cells require mTORC1 activation, whereas mTORC2 activation only favors Th2 differentiation. Femandez et al. [92] reported mTORC1 activation in CD4+T cells of SLE patients. The same group also demonstrated that mTORC1 and mTORC2 could promote the transcription of genes involved in carbohydrate metabolism and lipogenesis, enhance protein translation, and inhibit autophagy [93]. Accordingly, mTOR activation can become a biomarker and a critical pathway to autoimmune disorders, cancer, obesity, and aging [93].
The cause of decreased GSH levels in SLE immune cells may result from mitochondrial hyperpolarization and increased reactive free radicals, as reported by Huang and Perl [94]. Lai et al. [95] reported that N-acetylcystein, a GSH precursor, could reduce lupus disease activity by blocking mTOR in T cells. Perl et al. [96] further demonstrated in comprehensive metabolomics analyses that the accumulation of kynurenine in response to N-acetylcysteine in patients with SLE could become a biomarker for mTOR activation. In addition, rapamycin, the original mTOR blocker from which this adaptor protein was named, has been proven effective in the treatment of intractable SLE resistant to, or intolerant of, conventional immunosuppressants as reported by Lai et al. [97]. Furthermore, Duval et al. [98] demonstrated that rapamycin treatment ameliorated age-related accumulation of toxic metabolites in brains of the mouse model of Down syndrome and aging.
In short, mTOR activation can determine the metabolic pathway in CD4+T cells of SLE patients to induce metabolic syndrome. These results are summarized in Figure 3.
Figure 3.
Defective bioenergetics/immunometabolism in association with mitochondrial dysfunctions mark the metabolomic signatures and predispose metabolic syndrome in patients with SLE. GLUT: Glucose transporter; TCA: Tricarboxylic acid; mTOR: Mammalian target of rapamycin; IFN: Interferon; TCR: T cell receptor; CV: cardiovascular.
6. Metabolomic Signatures Predisposing to the Metabolic Syndrome in Patients with SLE
Metabolomic study is the identification and quantification of all low-molecular weight metabolites (MW < 1–1.5 kDa) in a biological specimen. Li et al. [99] sought to identify candidates for metabolic biomarkers by gas chromatography-mass spectrophotometry (GC-MS). Twenty-five metabolites—including glutamic acid, urea, tyrosine, phosphate, and glycerol—are considered as the metabolomic signatures for SLE. Among these, elevated serum levels of glutamic acid have been found to be significantly correlated to lupus pathophysiology, as shown in the left panel of Figure 3. Furthermore, by using nuclear magnetic resonance (NMR) technology, Ouyang et al. [100] have showed a reduced level of most amino acids, glycolytic and tricarboxylic acid (TCA) cycle metabolites, and fatty acids, as well as products of oxidative stress, among approximately 30,000 metabolites in patients with SLE. In addition, a distinct pattern of serum lipids with pro-inflammatory properties, including high levels of low-density lipoprotein (LDL) and very low density lipoprotein (VLDL), as well as low levels of high-density lipoprotein (HDL), was found. These abnormal lipid profiles imply that high risks of cardiovascular complications are resulted from oxidized LDL particles in SLE [101,102,103]. Figure 3 (left panel) shows the metabolomic signatures, predisposing to the metabolic syndrome with cardiovascular complications, in patients with SLE.
7. Activation of AGE-RAGE System Induces Skin Autofluorescence, Cardiovascular Morbidity, and Pro-Inflammatory IL-6 Production in Patients with SLE
Advanced glycation end products (AGEs) are a class of glycosylated biomolecules (proteins, lipids, nucleic acids, or glycoproteins) synthesized by non-enzymatic incorporation of saccharides into biomolecules. The glycosylation of biomolecules is mediated by Maillard reaction, including slow formation of intermediary Schiff bases, reversible Amadori products, and, finally, the generation of irreversible molecules harmful to the body [104]. de Leeuw et al. [105] found increased AGEs in SLE were associated with the development of accelerated atherosclerosis. Nienhuis et al. [106] demonstrated that skin autofluorescence originated from cutaneous accumulation of AGE in SLE was not necessarily reflected by elevated plasma AGE levels. In contrast, Meerwaldt et al. [107] have concluded that skin autofluorescence is a strong independent predictor of, and contributor to, mortality in SLE with end-stage renal disease (ESRD).
The receptor for AGE (RAGE) belongs to the immunoglobulin superfamily of trans-membrane cell surface molecules. The RAGE also binds to other ligands, including high mobility group-box protein 1 (HMGB1), S100/calgranulins, and amyloid fibrils [108]. Binding of these ligands to the RAGE can provoke inflammatory responses. Pan et al. [109] have found that HMGB1 is associated with disease activity in SLE. In contrast, plasma levels of soluble RAGE are negatively correlated to SLE disease activity [110,111]. Martens et al. [112] have shown that RAGE polymorphisms are associated with susceptibility to SLE and lupus nephritis.
Our recent report revealed that AGE derived from bovine serum albumin enhanced monocyte IL-6 gene expression via MAPK-ERK and MyD88-transduced NF-κB p50 signaling pathways. These results may indicate that protein glycation end products can induce pro-inflammatory cytokine production and endothelial cell damage [113].
The involvement of AGE-RAGE activation in skin autofluorescence, metabolic syndrome, and pro-inflammatory cytokine production in SLE is shown in Figure 4.
Figure 4.
The molecular basis of AGE/RAGE activation in inducing skin autofluorescence, endothelial cell damage, and IL-6 gene expression in patients with SLE. HMGB-1: High mobility group box 1 protein; AGE: Advanced glycation end-product; RAGE: Receptor for AGE; MAPK: Mitogen activated protein kinase; JUN: Gene for ju-nana oncogene; NF-κB: Nuclear factor of kappa-light-chain-enhancer of activated B cells; EC: Endothelial cell.
8. Molecular Basis of Oxidative and Nitrosative Stresses in Inducing Autoimmunity and Cardiovascular Morbidity in Patients with SLE
Oxidative post-translational modifications of serum and intracellular biomolecules not only alter the self-antigens, but induce autoimmunity [114]. The modifications of biomolecules by oxidative stress result in the glycation and nitrosation of proteins [49], lipid peroxidation [50], and mtDNA strand break [115]. The combination of oxidant stress, inflammation, and subsequent production of glycosylative and nitrosative end products increases autoimmune reactions and cardiovascular morbidities in patients with SLE [51]. We shall discuss the roles of ROS and RNS separately in lupus pathophysiology.
8.1. ROS-Induced Lipid Peroxidation and Histone Modifications Play a Role in Autoimmunity and Cardiovascular Morbidities in SLE
Increased free radical production, including ROS and RNS, is mainly derived from mitochondrial dysfunctions and inflammation. Kurien et al. [116] demonstrated that increased oxidative stress-modified DNA (8-OHdG and 8-oxoguanine) and LDL could elicit premature atherosclerosis in patients with SLE. In addition, immunization with 4-hydoxy-2-nonenal-modified 60-kDa Ro autoantigen accelerated epitope spreading in an animal model of SLE. Besides, protein glycation and oxidative stress can attack poly-unsaturated fatty acid by a process of lipid peroxidation, which ultimately results in malondialdehyde, 4-hydroxy-2-nonenal modified autoantigen, and other toxic by-products. Furthermore, Kurien BT and Scofield RH [50] have demonstrated that conjugated dienes, malondialdehyde, and 8-isoprostaglandin F2α are significantly elevated in the serum of SLE patients. In addition, Mir et al. [117] reported that glycosylation of N-terminal region of a variable length in histone proteins can induce various DNA syntheses or repressions, including gene activation, gene silencing, DNA replication, and even gene damage in different autoimmune diseases. These results suggest that ROS not only mediate lipid peroxidation to elicit cardiovascular morbidities (left panel of Figure 5), but also modify self-antigens to neoantigens to induce autoantibody productions (right panel of Figure 5) in patients with SLE.
Figure 5.
The molecular bases of mitochondrial dysfunction-elicited oxidative and nitrosative stresses in inducing autoantibody production and cardiovascular complications in patients with SLE. Redox: Reduction and oxidation; ROS: Reactive oxygen species; RNS: Reactive nitrogen species; AGE: Advanced glycation end-product; mt: Mitochondrial.
In short, oxidative stress represents an imbalance between the production of ROS and the ability to clear these reactive intermediates. In humans, increased oxidative stress is involved in many diseases, including atherosclerosis, myocardial infarction, and autoimmune responses, in patients with SLE [51,52,118].
8.2. Role of Nitrosative Stress in Neoantigen Formation and Autoantibody Production in Patients with SLE
Nitrosative stress is induced by reactive nitrogen species (RNS) that include nitric oxide (NO−), peroxynitrite (ONOO−), and nitrogen dioxide radical (NO2●−). Peroxynitrite is a reactive oxidant created from both NO− and superoxide anion (O2●−). Accordingly, peroxynitrite is a mixture of oxidant and nitrative molecules in response to oxidative stress. The oxidant species can modify a great number of biomolecules. Nitrative stress is presumed to induce amino acid nitration, leading to formation of 3-nitrosative tyrosine [119,120,121,122]. Ahmad et al. [123] and Khan et al. [124] reported that peroxynitrite-modified histone exhibited strong immunogenicity to induce high titer anti-histone antibodies. The anti-dsDNA antibodies produced in SLE may co-localize the same antigen with anti-histone antibodies by cross-reactivity. These results indicate that peroxynitrite-modified biomolecules play a role in autoantibody production in SLE. In addition, Arif et al. [125] and Ahmad et al. [126] confirmed that anti-dsDNA-positive IgG obtained from SLE sera show a binding affinity with peroxynitrite-modified human serum albumin. These data also suggest compellingly that antibodies against peroxynitrite-modified biomolecules are implicated in lupus pathogenesis (right panel of Figure 5). In addition, DNA strand break induced by free radicals may accelerate cell apoptosis and even cell necrosis in patients with SLE.
Putting 8.1 and 8.2 together, the intricate molecular basis of increased oxidative and nitrosative stresses in lupus pathogenesis is depicted in Figure 5.
9. Molecular and Cellular Mechanisms Underlying Telomere/Telomerase Disequilibrium in Inducing Autoimmunity, Immunosenescence, and Bone Marrow-Derived Mesenchymal Stem Cell (BM-MSC) Senescence in Patients with SLE
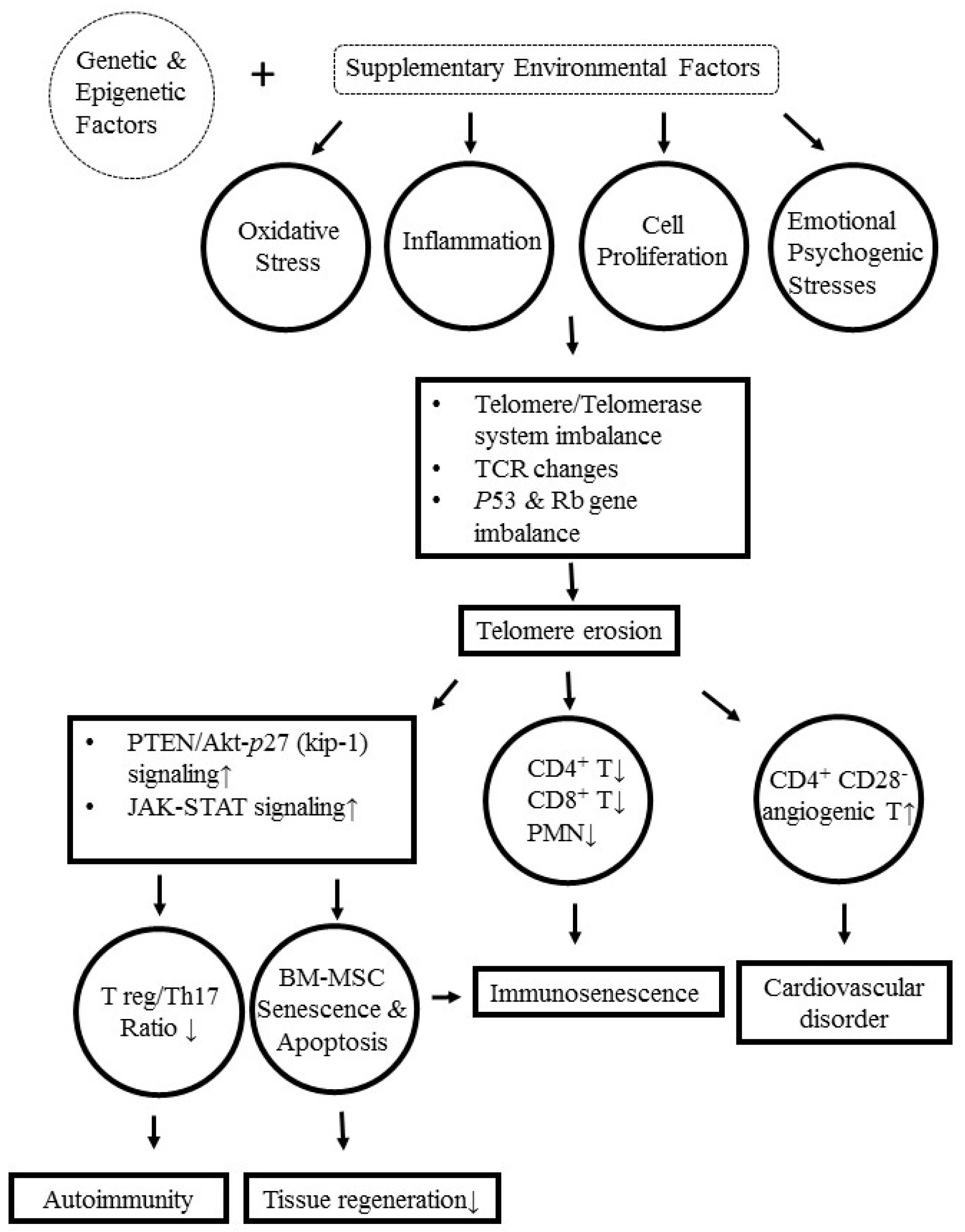
Telomeres are specialized loop-like terminal chromosomal structures composed of DNA and DNA-binding proteins that cap and protect the end of chromosomes [127,128]. Telomeres progressively shorten for about 50–100 bp after each round of cell division, unless compensated by telomerase [129]. Accordingly, telomeres act like a “cell clock” and are implicated in cellular senescence in aging and SLE [48]. Telomerase, as a telomere regulatory enzyme, is inducible in T cell stimulated with anti-CD3 or phorbol myristate acetate [130]. Telomeric erosion can induce cell senescence and later apoptosis. Honda et al. [131] have demonstrated for the first time that SLE lymphocyte has shorter telomeres and a reduced replicative potential compared to the controls. Later, many authors showed similar results in peripheral T and B cells in patients with SLE [53,54,55,132,133,134,135]. Wu et al. [136] further demonstrated that premature telomere shortening in PMNs from patients with SLE was correlated with lupus disease activity. Georgin-Lavialle et al. [135] have reported that oxidative stress, inflammation, and increased leukocyte renewal are the major precipitating factors in accelerating telomere shortening. Zhou et al. [137] noted that the expression of shelterin complex TPP1, TIN2, POT1, and telomere maintenance protein KU80 were significantly reduced, whereas shelterin complex TRF2 and maintenance protein MREII increased conversely in SLE patients. They deduced that the abnormal gene expression of shelterin complex and the telomere maintenance proteins might play a role in lupus pathogenesis. de Punder et al. [138] elucidated the mechanistic pathways linking telomerase activity and cellular aging in the immune system. Tan et al. [139] further confirmed that increased PTEN/Akt-P27 (kip 1) signaling promoted BM-MSC senescence and apoptosis in SLE patients. These alterations also decrease Treg/Th17 ratio to induce autoimmunity. Figure 6 illustrates the molecular and cellular mechanisms of telomere/telomerase disequilibrium in inducing immunosenescence, decreasing Treg/Th17 ratio, impairing tissue regeneration, and increasing cardiovascular complications in patients with SLE.
Figure 6.
The molecular and cellular mechanisms underlying telomere/telomerase disequilibrium in inducing immunosenescence, increased CD4+CD28− angiogenic T cell production, autoimmunity, and impaired tissue regeneration in patients with SLE. Broken lines are not discussed in the present review. BM-MSC: Bone marrow-derived mesenchymal stem cells; TCR: T cell receptor; PMN: Polymorphonuclear neutrophil: JAK-STAT: Janus kinase and signal transducer and activator of transcription; MW: Molecular weight; Treg: Regulatory T cell; PTEN: Phosphatase and tensin homolog; Akt: RAC-alpha serine/threonine-protein kinase; kip-1: Cyclin-dependent kinase inhibitor 1.
10. Conclusions
In addition to genetic/epigenetic, environmental, hormonal, and physical/psychological impactions, mitochondrial dysfunctions, defective bioenergetics/immunometabolism, and telomere/telomerase disequilibrium also become crucial factors for inflammaging in patients with SLE. The key molecules for inflammaging are reactive oxidant molecules, including ROS and RNS, that elicit powerful oxidative and nitrosative stresses. As a consequence, immune dysregulation and chronic low-grade inflammation ensues. In addition, defective bioenergetics/immunometabolism further facilitate the production of AGEs, nitrogen radicals (peroxynitrite), and lipid peroxidation that cause metabolic syndrome and cardiovascular co-morbidities. In addition to telomere/telomerase disequilibrium causing premature immune cell senescence, BM-MSC also impairs tissue regeneration in patients with SLE. Anti-oxidant therapy may likely become a supplementary therapeutic modality for active SLE in the future.
Author Contributions
C.-L.Y. supervised the writing of the manuscripts; C.-Y.T. and C.-Y.S. prepared the manuscript and wrote the draft; C.-L.Y. prepared the draft of the figures, and C.-Y.T. helped finish them; H.-T.L. (Hsien-Tzung Liao), K.-J.L., H.-T.L. (Hui-Ting Lee), Y.-M.K., C.-S.L., C.-H.W., and S.-C.H. actively participated in the discussion and suggestions for the manuscript.
Acknowledgments
This work is supported partly by the grants from the Ministry of Science and Technology (MOST- 107-2314-B-075-051-MY3), Executive Yuan, and Taipei Veterans General Hospital (V108C-203 and V107D37-002-MY3), Taiwan.
Conflicts of Interest
The authors declare no conflict of interest.
Abbreviations
| AGE | advanced glycation end product |
| Akt | RAC-alpha serine/threonine-protein kinase |
| ANA | antinuclear antibodies |
| APL | antiphospholipid antibodies |
| ATA | anti-thyroglobulin antibodies |
| BM-MSC | bone marrow-derived mesenchymal stem cell |
| CD | cluster of differentiation |
| CD45RO | marker for memory T cell |
| CV | cardiovascular |
| DNA | deoxyribonucleic acid |
| EC | endothelial cell |
| fMLP | formyl-methionine-leucyl-phenylalanine |
| GC-MS | gas chromatography/mass spectrophotometry |
| GLUT | glucose transporter |
| GSH | reduced form glutathione |
| HMGB1 | high mobility group-box protein 1 |
| hOGG1 | 8-oxoguanine DNA glycosylase 1 |
| IFN | interferon |
| IL | interleukin |
| Inflammaging | inflammation inducing aging process |
| IP-10 | interferon-γ induced protein 10 |
| JAK-STAT | Janus kinase and signal transducer and activator of transcription |
| JUN | gene for ju-nana oncogene |
| kip-1 | cyclin-dependent kinase inhibitor 1 |
| LDL | low density lipoprotein |
| LPS | lipopolysaccharide |
| MAPK-ERK | mitogen-activated protein kinase- extracellular signal-regulated kinase |
| MCP-1 | monocyte chemoattractant protein 1 |
| MyD88 | myeloid differentiation primary response 88 |
| mTOR | mammalian target of rapamycin |
| mTORC | mTOR complex |
| mtDNA | mitochondrial DNA |
| MW | molecular weight |
| NET | neutrophil extracellular trap |
| NETosis | neutrophil apoptosis to form NET |
| NF-κB | nuclear factor of kappa-light-chain-enhancer of activated B cells |
| NGAL | neutrophil gelatinase-associated lipocalin |
| NMR | nuclear magnetic resonance |
| 8-OHdG | 8-hydroxy-2′-deoxyguanosine |
| PBMC | peripheral blood mononuclear cell |
| PMN | polymorphonuclear neutrophil |
| PTEN | phosphatase and tensin homolog |
| RAGE | receptor for AGE |
| RF | rheumatoid factor |
| RNS | reactive nitrogen species |
| ROS | reactive oxygen species |
| SLE | systemic lupus erythematosus |
| TCR | T cell receptor |
| Th | helper T cell |
| Treg | regulatory T cell |
References
- Kahlenberg, J.M.; Kaplan, M.J. The inflammasome and lupus-another innate immune mechanism contributing to disease pathogenesis? Curr. Opin. Rheumatol. 2014, 26, 475–481. [Google Scholar] [CrossRef] [PubMed]
- Weidenbusch, M.; Kulkarni, O.; Anders, H.-J. The innate immune system in human systemic lupus erythematosus. Clin. Sci. 2017, 131, 625–634. [Google Scholar] [CrossRef] [PubMed]
- Tsai, C.-Y.; Li, K.-J.; Hsieh, S.-C.; Liao, H.-T.; Yu, C.-L. What’s wrong with neutrophils in lupus? Clin. Exp. Rheumatol. 2019, 37, 684–693. [Google Scholar] [PubMed]
- Zharkova, O.; Celhar, T.; Cravens, P.D.; Satherthwaite, A.B.; Fairhurst, A.-M.; Davis, L.S. Pathways leading to an immunological disease: Systemic lupus erythematosus. Rheumatology 2017, 56, i55–i66. [Google Scholar] [CrossRef] [PubMed]
- Morawski, P.A.; Bolland, S. Expanding the B cell centric view of systemic lupus erythematosus. Trends Immunol. 2017, 38, 373–382. [Google Scholar] [CrossRef] [PubMed]
- Wang, L.; Mohan, C.; Li, Q.-Z. Arraying autoantibodies in SLE-lessons learned. Curr. Mol. Med. 2015, 15, 456–461. [Google Scholar]
- Yaniv, G.; Twig, G.; Shor, D.B.-A.; Furer, A.; Sherer, Y.; Mozes, O.; Komisar, O.; Slonimsky, E.; Klang, E.; Lotan, E.; et al. A volcanic explosion of autoantibodies in systemic lupus erythematosus: A diversity of 180 different antibodies found in SLE patients. Autoimmunity Rev. 2015, 14, 75–79. [Google Scholar] [CrossRef]
- Montoya-Ortiz, G. Immunosenescence, aging and systemic lupus erythematosus. Autoimmune Dis. 2013, 2013, 1–5. [Google Scholar] [CrossRef]
- Fülöp, T., Jr.; Larbi, A.; Dupuis, G.; Pawelec, G. Ageing, autoimmunity and arthritis: Perturbations of TCR signal transduction pathways with ageing-a biochemical paradigm for the ageing immune system. Arthritis Res. Ther. 2003, 5, 290–302. [Google Scholar] [CrossRef]
- Ramos-Casals, M.; Garcia-Carrasco, M.; Brito, M.P.; López-Soto, A.; Font, J. Autoimmunity and geriatrics: Clinical significance of autoimmune manifestations in the elderly. Lupus 2003, 12, 341–355. [Google Scholar] [CrossRef]
- Watad, A.; Bragazzi, N.L.; Adawi, M.; Amital, H.; Toubi, E.; Porat, B.-S.; Shoenfeld, Y. Autoimmunity in the elderly: Insights from basic science and clinics-a mini-review. Gerontology 2017, 63, 515–523. [Google Scholar] [CrossRef] [PubMed]
- Candore, G.; Caruso, C.; Jirillo, E.; Magrone, T.; Vasto, S. Low grade inflammation as a common pathogenetic denominator in age-related diseases: Novel drug targets for anti-ageing strategies and successful ageing achievement. Curr. Pharm. Des. 2010, 16, 584–596. [Google Scholar] [CrossRef] [PubMed]
- Fülöp, T.; Larbi, A.; Dupuis, G.; Le Page, A.; Frost, E.H.; Cohen, A.A.; Witkowski, J.M.; Franceschi, C. Immunosenescence and inflamm-aging as two sides of the same coin: Friends or foes? Front. Immunol. 2018, 8, 1960. [Google Scholar] [CrossRef] [PubMed]
- Fulop, T.; Larbi, A.; Douziech, N.; Fortin, C.; Guérard, K.-P.; Lesur, O.; Khalil, A.; Dupuis, G. Signal transduction and functional changes in neutrophils with aging. Aging Cell 2004, 3, 217–226. [Google Scholar] [CrossRef] [PubMed]
- Wessels, I.; Jansen, J.; Rink, L.; Uciechowski, P. Immunosenescence of polymorphonuclear neutrophils. Sci. World J. 2010, 10, 145–160. [Google Scholar] [CrossRef] [PubMed]
- Plowden, J.; Renshaw-Hoelscher, M.; Engleman, C.; Katz, J.; Sambhara, S. Innate immunity in aging: Impact on macrophage function. Aging Cell 2004, 3, 161–167. [Google Scholar] [CrossRef] [PubMed]
- Solana, R.; Tarazona, R.; Gayoso, I.; Lesur, O.; Dupuis, G.; Fulop, T. Innate immunosenescence: Effect of aging on cells and receptors of the innate immune system in humans. Semin. Immunol. 2012, 24, 331–341. [Google Scholar] [CrossRef] [PubMed]
- Hazeldine, J.; Lord, J.M. Innate immunosenescence: Underlying mechanisms and clinical relevance. Biogerontology 2015, 16, 187–201. [Google Scholar] [CrossRef] [PubMed]
- Gounder, S.S.; Abdullah, B.J.J.; Radzuanb, N.E.I.B.M.; Zain, F.D.B.M.; Sait, N.B.M.; Chua, C.; Subramani, B. Effect of aging on NK cell population and their proliferation at ex vivo culture condition. Anal. Cell Pathol. (Amst.) 2018, 2018. [Google Scholar] [CrossRef] [PubMed]
- Katsiari, C.G.; Liossie, S.N.; Sfikakis, P.P. The pathophysiologic role of monocytes and macrophages in systemic lupus erythematosus. Semin. Arthritis Rheum. 2010, 39, 491–503. [Google Scholar] [CrossRef] [PubMed]
- Mackern-Oberti, J.P.; Llanos, C.; Riedel, C.A.; Bueno, S.M.; Kalergis, A.M. Contribution of dendritic cells to the autoimmune pathology of systemic lupus erythematosus. Immunology 2015, 146, 497–507. [Google Scholar] [CrossRef] [PubMed]
- Hervier, B.; Beziat, V.; Haroche, J.; Mathian, A.; Lebon, P.; Ghillani-Dalbin, P.; Musset, L.; Debrè, P.; Amoura, Z.; Vieillard, V. Phenotype and function of natural killer cells in systemic lupus erythematosus: Excess interferon-γ production in patients with active disease. Arthritis Rheum. 2011, 63, 1698–1706. [Google Scholar] [CrossRef] [PubMed]
- Henriques, A.; Teixeira, L.; Inês, L.; Carvalheiro, T.; Gonçalves, A.; Martinho, A.; Pais, M.L.; da Silva, J.A.; Paiva, A. NK cells dysfunction in systemic lupus erythematosuas: Relation to disease activity. Clin. Rheumatol. 2013, 32, 805–813. [Google Scholar] [CrossRef] [PubMed]
- Tsokos, G.C.; Lo, M.S.; Costa Reis, P.; Sullivan, K.E. New insights into the immunopathogenesis of systemic lupus erythematosus. Nat. Rev. Rheumatol. 2016, 12, 716–730. [Google Scholar] [CrossRef] [PubMed]
- Rose, T.; Dörner, T. Drivers of the immunopathogenesis in systemic lupus erythematosus. Best Pract. Res. Clin. Rheumatol. 2017, 31, 321–333. [Google Scholar] [CrossRef] [PubMed]
- Becker, H.; Weber, C.; Storch, S.; Federlin, K. Relationship between CD5+ B lymphocytes and the activity of systemic autoimmunity. Clin. Immunol. Immunopathol. 1990, 56, 219–225. [Google Scholar] [CrossRef]
- Omar, H.H.; Nasef, S.I.; Omar, H.H.; Ghaly, M.S. CD5+ B lymphocytes in systemic lupus erythematosus patients: Relation to disease activity. Clin. Rheumatol. 2017, 36, 2719–2726. [Google Scholar] [CrossRef] [PubMed]
- Ghodke-Puranik, Y.; Niewold, T.B. Immunogenetics of systemic lupus erythematosus: A comprehensive review. J. Autoimmun. 2015, 64, 125–136. [Google Scholar] [CrossRef]
- Iwamoto, T.; Niewold, T.B. Genetics of human lupus nephritis. Clin. Immunol. 2017, 185, 32–39. [Google Scholar]
- Hiraki, L.T.; Silverman, E.D. Genomics of systemic lupus erythematosus: Insights gained by studying monogenic young-onset systemic lupus erythematosus. Rheum. Dis. Clin. North Am. 2017, 43, 415–434. [Google Scholar] [CrossRef]
- Goulielmos, G.N.; Zervou, M.I.; Vazgiourakis, V.M.; Ghodke-Puranik, Y.; Garyballos, A.; Niewold, T.B. The genetics and molecular pathogenesis of systemic lupus erythematosus (SLE) in populations of different ancestry. Gene 2018, 668, 59–72. [Google Scholar] [CrossRef] [PubMed]
- Long, H.; Yin, H.; Wang, L.; Gershwin, M.E.; Lu, Q. The critical role of epigenetics in systemic lupus erythematosus and autoimmunity. J. Autoimmun. 2016, 74, 118–138. [Google Scholar] [CrossRef] [PubMed]
- Hedrich, C.M. Epigenetics in SLE. Clin. Rheumatol. Rep. 2017, 19, 58. [Google Scholar] [CrossRef] [PubMed]
- Lai, N.-S.; Koo, M.; Yu, C.-L.; Lu, M.-C. Immunopathogenesis of systemic lupus erythematosus and rheumatoid arthritis: The role of aberrant expression of non-coding RNAs in T cells. Clin. Exp. Immunol. 2017, 187, 327–336. [Google Scholar] [CrossRef] [PubMed]
- Zununi Vahed, S.; Nakhjavani, M.; Etemadi, J.; Jamshidi, H.; Jadidian, N.; Pourlak, T.; Abediazar, S. Altered levels of immune-regulatory microRNAs in plasma samples of patients with lupus nephritis. Bioimpacts 2018, 8, 177–183. [Google Scholar] [CrossRef] [PubMed]
- Honarpisheh, M.; Köhler, P.; von Rauchhaupt, E.; Lech, M. The involvement of microRNAs in modulation of innate and adaptive immunity in systemic lupus erythematosus and lupus nephritis. J. Immunol. Res. 2018, 2018, 1–5. [Google Scholar] [CrossRef] [PubMed]
- McMurray, R.W. Sex-hormones in the pathogenesis of systemic lupus erythematosus. Front. Biosci. 2001, 6, E193–E206. [Google Scholar] [CrossRef]
- Assad, S.; Khan, H.H.; Ghazanfar, H.; Khan, Z.H.; Mansor, S.; Rahman, M.A.; Khan, G.H.; Zafar, B.; Tariq, U.; Malik, S.A. Role of sex hormone levels and psychological stress in the pathogenesis of autoimmune diseases. Cureus 2017, 9, e1315. [Google Scholar] [CrossRef]
- Sarzi-Puttini, P.; Atzeni, F.; Iaccarino, L.; Doria, A. Environment and systemic lupus erythematosus: An overview. Autoimmunity 2005, 38, 465–472. [Google Scholar] [CrossRef]
- Parks, C.G.; de Souza Espindola Santos, A.; Barbhaiya, M.; Costenbader, K.H. Understanding the role of environmental factors in the development of systemic lupus erythematosus. Best Pract. Res. Clin. Rheumatol. 2017, 31, 306–320. [Google Scholar] [CrossRef]
- Marion, T.N.; Postlethwaite, A.E. Chance, genetics, and the heterogeneity of disease and pathogenesis in systemic lupus erythematosus. Semin. Immunopathol. 2014, 36, 495–517. [Google Scholar] [CrossRef] [PubMed]
- Lee, H.-T.; Lin, C.-S.; Chen, W.-S.; Liao, H.-T.; Tsai, C.-Y.; Wei, Y.-H. Leukocyte mitochondrial DNA alteration in systemic lupus erythematosus and its relevance to the susceptibility to lupus nephritis. Int. J. Mol. Sci. 2012, 13, 8853–8868. [Google Scholar] [CrossRef] [PubMed]
- Lee, H.-T.; Wu, T.-H.; Lin, C.-S.; Lee, C.S.; Wei, Y.-H.; Tsai, C.-Y.; Chang, D.-M. The pathogenesis of systemic lupus erythematosus-from the viewpoint of oxidative stress and mitochondrial dysfunction. Mitochondrion 2016, 30, 1–7. [Google Scholar] [CrossRef] [PubMed]
- Leishangthem, B.D.; Sharma, A.; Bhatnagar, A. Role of altered mitochondria functions in the pathogenesis of systemic lupus erythematosus. Lupus 2016, 25, 272–281. [Google Scholar] [CrossRef] [PubMed]
- Lee, H.-T.; Wu, T.-H.; Lin, C.-S.; Lee, C.-S.; Pan, S.-C.; Chang, D.-M.; Wei, Y.H.; Tsai, C.-Y. Oxidative DNA and mitochondrial DNA change in patients with SLE. Front. Biosci. (Landmark Ed.) 2017, 22, 493–503. [Google Scholar] [PubMed]
- Yang, S.K.; Zhang, H.R.; Shi, S.P.; Zhu, Y.Q.; Song, N.; Dai, Q.; Zhang, W.; Gui, M.; Zhang, H. The role of mitochondria in systemic lupus erythematosus: A glimpse of various pathogenetic mechanisms. Curr. Medicin. Chem. 2018. [Google Scholar] [CrossRef] [PubMed]
- Li, K.-J.; Wu, C.-H.; Hsieh, S.-C.; Lu, M.-C.; Tsai, C.-Y.; Yu, C.-L. Deranged bioenergetics and defective redox capacity in T lymphocytes and neutrophils are related to cellular dysfunction and increased oxidative stress in patients with active systemic lupus erythematosus. Clin. Dev. Immunol. 2012, 4. [Google Scholar] [CrossRef]
- Morel, L. Immunometabolism in systemic lupus erythematosus. Nat. Rev. Rheumatol. 2017, 13, 280–290. [Google Scholar] [CrossRef]
- Vlassopoulos, A.; Lean, M.E.J.; Combet, E. Oxidative stress, protein glycation and nutrition-interactions relevant to health and disease throughout the lifecycle. Proc. Nutr. Soc. 2014, 73, 430–438. [Google Scholar] [CrossRef]
- Kurien, B.T.; Scofield, R.H. Lipid peroxidation in systemic lupus erythematosus. Indian J. Exp. Biol. 2006, 44, 349–356. [Google Scholar]
- McGuire, P.J. Mitochondrial dysfunction and the aging immune system. Biology 2019, 8, 26. [Google Scholar] [CrossRef] [PubMed]
- Schleicher, E.; Friess, U. Oxidative stress, AGE, and atherosclerosis. Kidney Int. Suppl. 2007, 106, S17–S26. [Google Scholar] [CrossRef] [PubMed]
- Rus, V.; Via, C.S. Telomeres, telomerase and lupus: The long and short of it. Clin. Immunol. 2001, 99, 195–197. [Google Scholar] [CrossRef] [PubMed]
- Kurosaka, D.; Yasuda, J.; Yoshida, K.; Yoneda, A.; Yasuda, C.; Kingetsu, I.; Toyokawa, Y.; Yokoyama, T.; Saito, S.; Yamada, A. Abnormal telomerase activity and telomere length in T and B cells from patients with systemic lupus erythematosus. J. Rheumatol. 2006, 33, 1102–1107. [Google Scholar] [PubMed]
- Georgin-Lavialle, S.; Aouba, A.; Mouthon, L.; Londono-Vallejo, J.A.; Lepelletier, Y.; Gabet, A.-S.; Hermine, O. The telomere/telomerase system in autoimmune and systemic immune-medidated diseases. Autoimmun. Rev. 2010, 9, 646–651. [Google Scholar] [CrossRef] [PubMed]
- Fathollahi, A.; Gabalou, N.B.; Aslani, S. Mesenchymal stem cell transplantation in systemic lupus erythematosus, a mesenchymal stem cell disorder. Lupus 2018, 27, 1053–1064. [Google Scholar] [CrossRef] [PubMed]
- Cannizzo, E.S.; Clement, C.C.; Sahu, R.; Follo, C.; Santambrogio, L. Oxidative stress, inflamm-aging and immunosenescence. J. Proteomics 2011, 74, 2313–2323. [Google Scholar] [CrossRef]
- Cevenini, E.; Monti, D.; Franceschi, C. Inflamm-ageing. Curr. Opin. Clin. Nutr. Metab. Care 2013, 16, 14–20. [Google Scholar] [CrossRef]
- Larbi, A.; Fülöp, T.; Pawelec, G. Immune receptor signaling, aging and autoimmunity. Adv. Exp. Med. Biol. 2008, 640, 312–324. [Google Scholar]
- Bulati, M.; Caruso, C.; Colonna-Romano, G. From lymphopoiesis to plasma cells differentiation. The age-related modifications of B cell compartment are influenced by “inflamm-ageing”. Ageing Res. Rev. 2017, 36, 125–136. [Google Scholar] [CrossRef]
- López, P.; Rodríguez-Carrio, J.; Martinez-Zapico, A.; Caminal-Montero, L.; Suarez, A. Senescent profile of angiogenic T cells from systemic lupus erythematosus patients. J. Leukoc. Biol. 2016, 99, 405–412. [Google Scholar] [CrossRef] [PubMed]
- Bella, S.D.; Mavilio, D. Senescent angiogenic T cells: The use of CD28 makes the difference in endothelial homeostasis. J. Leukoc. Biol. 2016, 99, 399–401. [Google Scholar] [CrossRef] [PubMed]
- Thewissen, M.; Somers, V.; Venken, K.; Linsen, L.; van Paassen, P.; Geusens, P.; Damoiseaux, J.; Stinissen, P. Analyses of immunosenescent markers in patients with autoimmune disease. Clin. Immunol. 2007, 123, 209–218. [Google Scholar] [CrossRef] [PubMed]
- Cui, Y.X.; Fu, C.W.; Jiang, F.; Ye, L.X.; Meng, W. Association of the interleukin-6 polymorphisms with systemic lupus erythematosus: A meta-analysis. Lupus 2015, 24, 1308–1317. [Google Scholar] [CrossRef] [PubMed]
- Rekik, R.; Smiti Khanfir, M.; Larbi, T.; Zamali, I.; Beldi-Ferchiou, A.; Kammoun, O.; Marzouki, S.; Hamzaoui, S.; Mrad, S.; Barbouche, M.R.; et al. Impaired TGF-β signaling in patients with active systemic lupus erythematosus is associated with an overexpression of IL-22. Cytokine 2018, 108, 182–189. [Google Scholar] [CrossRef]
- Van den Hoogen, L.L.; Sims, G.P.; van Roon, J.A.; Fritsch-Stork, R.D. Aging and systemic lupus erythematosus-immunosenescence and beyond. Curr. Aging Sci. 2015, 8, 158–177. [Google Scholar] [CrossRef] [PubMed]
- Xia, S.; Zhang, X.; Zheng, S.; Khanabdali, R.; Kalionis, B.; Wu, J.; Wan, W.; Tai, X. An update on inflamm-aging: Mechanisms, prevention, and treatment. J. Immunol. Res. 2016, 2016, 1–12. [Google Scholar] [CrossRef]
- Garrido, A.; Cruces, J.; Ceprian, N.; Vara, E.; de la Fuente, M. Oxidative- inflammatory stress in immune cells from adult mice with premature aging. Int. J. Mol. Sci. 2019, 20, E769. [Google Scholar] [CrossRef]
- Peri, A. Oxidative stress in the pathology and treatment of systemic lupus erythematosus. Nat. Rev. Rheumatol. 2013, 9, 674–686. [Google Scholar]
- Shah, D.; Mahajan, N.; Sah, S.; Nath, S.K.; Paudyal, B. Oxidative stress and its biomarkers in systemic lupus erythematosus. J. Biomed. Sci. 2014, 21, 23. [Google Scholar] [CrossRef]
- Bauer, M.E.; De la Fuente, M. The role of oxidative and inflammatory stress and persistent viral infections in immunosenescence. Mech. Ageing Dev. 2016, 158, 27–37. [Google Scholar] [CrossRef] [PubMed]
- Gergely, P., Jr.; Grossman, C.; Niland, B.; Puskas, F.; Neupane, H.; Allam, F.; Banki, K.; Phillips, P.E.; Perl, A. Mitochondrial hyperpolarization and ATP depletion in patients with systemic lupus erythematosus. Arthritis Rheum. 2002, 46, 175–190. [Google Scholar] [CrossRef]
- Perl, A.; Gergely, P., Jr.; Banki, K. Mitochondrial dysfunction in T cells of patients with systemic lupus erythematosus. Int. Rev. Immunol. 2004, 23, 293–313. [Google Scholar] [CrossRef] [PubMed]
- Fernandez, D.; Perl, A. Metabolic control of T cell activation and death in SLE. Autoimmun. Rev. 2009, 8, 184–189. [Google Scholar] [CrossRef]
- Perl, A.; Hanczko, R.; Doherty, E. Assessment of mitochondrial dysfunction in lymphocytes of patients with systemic lupus erythematosus. Methods Mol. Biol. 2012, 900, 61–89. [Google Scholar]
- López-López, L.; Nieves-Plaza, M.; del R Castro, M.; Font, Y.M.; Torres-Ramos, C.; Vilá, L.M.; Ayala-Peňa, S. Mitochondrial DNA damage is associated with damage accrual and disease duration in patients with systemic lupus erythematosus. Lupus 2014, 23, 1133–1141. [Google Scholar]
- Vyshkina, T.; Sylvester, A.; Sadiq, S.; Bonilla, E.; Canter, J.A.; Perl, A.; Kalman, B. Association of common mitochondrial DNA variants with multiple sclerosis and systemic lupus erythematosus. Clin. Immunol. 2008, 129, 31–35. [Google Scholar] [CrossRef]
- Su, Y.-J.; Cheng, T.-T.; Chen, C.-J.; Chang, W.-N.; Tsai, N.-W.; Kung, C.T.; Wang, H.-C.; Lin, W.-C.; Huang, C.-C.; Chang, Y.-T.; et al. Investigation of the caspase-dependent mitochondrial apoptotic pathway in mononuclear cells of patients with systemic lupus erythematosus. J. Transl. Med. 2014, 12, 303. [Google Scholar] [CrossRef]
- Lee, H.-T.; Lin, C.-S.; Lee, C.-S.; Tsai, C.-Y.; Wei, Y.-H. Increased 8-hydroxy-2′-deoxyguanosine in plasma and decreased mRNA expression of human 8-oxoguanine DNA glycosylase 1, anti-oxidant enzymes, mitochondrial biogenesis-related proteins and glycolytic enzymes in leucocytes in patients with systemic lupus erythematosus. Clin. Exp. Immunol. 2014, 176, 66–77. [Google Scholar]
- Lee, H.T.; Lin, C.S.; Lee, C.S.; Tsai, C.Y.; Wei, Y.H. The role of hOGG1 C1245G polymorphism in susceptibility to lupus nephritis and modulation of the plasma 8-OHdG in patients with systemic lupus erythematosus. Int. J. Mol. Sci. 2015, 16, 3757–3768. [Google Scholar] [CrossRef]
- Yang, C.-C.; Hsieh, S.-C.; Li, K.-J.; Wu, C.-H.; Lu, M.-C.; Tsai, C.-Y.; Yu, C.-L. Urinary neutrophil gelatinase -associated lipocalin is a potential biomarker for renal damage in patients with systemic lupus erythematosus. J. Biomed. Biotechnol. 2012, 8, 759313. [Google Scholar] [CrossRef] [PubMed]
- Lee, H.-T.; Lin, C.-S.; Pan, S.-C.; Wu, T.-H.; Lee, C.-S.; Chang, D.-M.; Tsai, C.-Y.; Wei, Y.-H. Alterations of oxygen consumption and extracellular acidification rates by glutamine in PBMCs of SLE patients. Mitochondrion 2019, 44, 65–74. [Google Scholar] [CrossRef] [PubMed]
- Takeshima, Y.; Iwasaki, Y.; Okamura, T.; Fujio, K.; Yamamoto, K. The metabolic regulation in immune cells and pathogenesis of systemic lupus eryt]hematosus-toward new therapeutic applications. Nihon Rinsho Meneki Gakkai Kaishi 2017, 40, 12–20. [Google Scholar] [CrossRef] [PubMed][Green Version]
- Tang, C.-Y.; Mauro, C. Similarities in the metabolic reprogramming of immune system and endothelium. Front. Immunol. 2017, 8, 837. [Google Scholar] [CrossRef] [PubMed]
- Yang, Z.; Matteson, E.L.; Goronzy, J.J.; Weyand, C.M. T-cell metabolism in autoimmune disease. Arthritis Res. Ther. 2015, 17, 29. [Google Scholar] [CrossRef] [PubMed]
- Lightfoot, Y.L.; Blanco, L.P.; Kaplan, M.J. Metabolic abnormalities and oxidative stress in lupus. Curr. Opin. Rheumatol. 2017, 29, 442–449. [Google Scholar] [CrossRef] [PubMed]
- Takeshima, Y.; Iwasaki, Y.; Fujio, K.; Yamamoto, K. Metabolism as a key regulator in the pathogenesis of systemic lupus erythematosus. Sem. Arthritis Rheum. 2019, 48, 1142–1145. [Google Scholar] [CrossRef] [PubMed]
- Choi, S.C.; Titov, A.A.; Sivakumar, R.; Li, W.; Morel, L. Immune cell metabolism in systemic lupus erythematosus. Curr. Rheumatol. Rep. 2016, 18, 66. [Google Scholar] [CrossRef]
- Rhoads, J.P.; Major, A.S.; Rathmell, J.C. Fine tuning of immunometabolism for the treatment of rheumatic diseases. Nat. Rev. Rheumatol. 2017, 13, 313–320. [Google Scholar] [CrossRef]
- Ugarte-Gil, M.F.; Sánchez-Zúňiga, C.; Gamboa-Cárdenas, R.V.; Aliaga-Zamudio, M.; Zevallos, F.; Tineo-Pozo, G.; Cucho-Venegas, J.M.; Mosqueira-Riveros, A.; Perich-Campos, R.A.; Alfaro-Lozano, J.L.; et al. Circulating naïve and memory CD4+ T cells and metabolic syndrome in patients with systemic lupus erythematosus data from a primarily Mestizo population. Rheumatology 2015, 54, 1302–1307. [Google Scholar] [CrossRef]
- Perl, A. Activation of mTOR (mechanistic target of rapamycin) in rheumatic diseases. Nat. Rev. Rheumatol. 2016, 12, 169–182. [Google Scholar] [CrossRef] [PubMed]
- Femandez, D.; Perl, A. mTOR signaling: A central pathway to pathogenesis in systemic lupus erythematosus? Discov. Med. 2010, 9, 173–178. [Google Scholar]
- Perl, A. mTOR activation is a biomarker and a central pathway to autoimmune disorders, cancer, obesity, and aging. Ann. N.Y. Acad. Sci. 2015, 1346, 33–44. [Google Scholar] [CrossRef] [PubMed]
- Huang, N.; Perl, A. Metabolism as a target for modulation in autoimmune diseases. Trends Immunol. 2018, 39, 562–576. [Google Scholar] [CrossRef] [PubMed]
- Lai, Z.-W.; Hanczko, R.; Bonilla, E.; Caza, T.N.; Clair, B.; Bartos, A.; Miklossy, G.; Jimah, J.; Doherty, E.; Tily, H.; et al. N-acetylcysteine reduces disease activity by blocking mammalian target of rapamycin in T cells from systemic lupus erythematosus patients: A randomized, double-blind, placebo-controlled trial. Arthritis Rheum. 2012, 64, 2937–2946. [Google Scholar] [CrossRef] [PubMed]
- Perl, A.; Hanczko, R.; Lai, Z.-W.; Oaks, Z.; Kelly, R.; Borsuk, R.; Asara, J.M.; Phillips, P.E. Comprehensive metabolome analyses reveal N-acetylcysteine-responsive accumulation of Kynurenine in systemic lupus erythematosus: Implications for activation of the mechanistic target of rapamycin. Metabolomics 2015, 11, 1157–1174. [Google Scholar] [CrossRef] [PubMed]
- Lai, Z.-W.; Kelly, R.; Winans, T.; Marchena, I.; Shadakshari, A.; Yu, J.; Dawood, M.; Garcia, R.; Tily, H.; Francis, L.; et al. Sirolimus in patients with clinically active systemic lupus erythematosus resistant to, or intolerant of, conventional medications: A single-arm, open-label, phase 1/2 trial. Lancet 2018, 391, 1186–1196. [Google Scholar] [CrossRef]
- Duval, N.; Vacano, G.N.; Patterson, D. Rapamycin treatment ameliorates age-related accumulation of toxic metabolic intermediates in brains of the Ts65Dn mouse model of Down syndrome and aging. Front. Aging Neurosci. 2018, 10, 263. [Google Scholar] [CrossRef]
- Li, W.; Sivakumar, R.; Titov, A.A.; Choi, S.-C.; Morel, L. Metabolic factors that contribute to lupus pathogenesis. Crit. Rev. Immunol. 2016, 36, 75–98. [Google Scholar] [CrossRef]
- Ouyang, X.; Dai, Y.; Wen, J.L.; Wang, L.X. 1H NMR-based metabolomic study of metabolic profiling for systemic lupus erythematosus. Lupus 2011, 20, 1411–1420. [Google Scholar] [CrossRef]
- Ding, H.; Mohan, C. Connective tissue diseases: Promises and challenges of metabolomics in SLE. Nat. Rev. Rheumatol. 2016, 12, 627–628. [Google Scholar] [CrossRef] [PubMed]
- Guma, M.; Tiziani, S.; Firestein, G.S. Metabolomics in rheumatic diseases: Desperately seeking biomarkers. Nat. Rev. Rheumatol. 2016, 12, 269–281. [Google Scholar] [CrossRef] [PubMed]
- Teruel, M.; Chamberlain, C.; Alarcón-Riquelme, M.E. Omics studies: Their use in diagnosis and reclassification of SLE and other systemic autoimmune diseases. Rheumatology 2017, 56 (Suppl. 1), i78–i87. [Google Scholar] [CrossRef] [PubMed]
- Davi, G.; Falco, A. Oxidant stress, inflammation and atherogenesis. Lupus 2005, 14, 760–764. [Google Scholar] [CrossRef] [PubMed]
- De Leeuw, K.; Graaff, R.; de Vries, R.; Dullaart, R.P.; Smit, A.J.; Kallenberg, C.G.; Bijl, M. Accumulation of advanced glycation endproducts in patients with systemic lupus erythematosus. Rheumatology 2007, 46, 1551–1556. [Google Scholar] [CrossRef] [PubMed]
- Nienhuis, H.L.; de Leeuw, K.; Bijzet, J.; Smit, A.; Schalkwijk, C.G.; Graaff, R.; Kallenberg, C.G.; Bijl, M. Skin autofluorescence is increased in systemic lupus erythematosus but is not reflected by elevated plasma levels of advanced glycation endproducts. Rheumatology 2008, 47, 1554–1558. [Google Scholar] [CrossRef]
- Meerwaldt, R.; Hartog, J.W.L.; Graaff, R.; Huisman, R.J.; Links, T.P.; den Hollander, N.C.; Thorpe, S.R.; Baynes, J.W.; Navis, G.; Gans, R.O.B.; et al. Skin autofluorescence, a measure of cumulative metabolic stress and advanced glycation endproducts, predicts mortality in hemodialysis patients. J. Am. Soc. Nephrol. 2005, 16, 3687–3693. [Google Scholar] [CrossRef]
- Sims, G.P.; Rowe, D.C.; Rietdijk, S.T.; Herbst, R.; Coyle, A.J. HMGB1 and RAGE in inflammation and cancer. Annu. Rev. Immunol. 2010, 28, 367–388. [Google Scholar] [CrossRef]
- Pan, H.F.; Wu, G.C.; Li, W.P.; Li, X.P.; Ye, D.Q. High mobility group box 1: A potential therapeutic target for systemic lupus erythematosus. Mol. Biol. Rep. 2010, 37, 1191–1195. [Google Scholar] [CrossRef]
- Ma, C.Y.; Ma, J.-L.; Jiao, Y.L.; Li, J.F.; Wang, L.C.; Yang, Q.R.; You, L.; Cui, B.; Chen, Z.J.; Zhao, Y.R. The plasma level of soluble receptor for advanced glycation end products is decreased in patients with systemic lupus erythematosus. Scand. J. Immunol. 2012, 75, 614–622. [Google Scholar] [CrossRef]
- Yu, S.L.; Wong, C.K.; Szeto, C.C.; Li, E.K.; Cai, Z.; Tam, L.S. Members of the receptor for advanced glycation end products axis as potential therapeutic targets in patients with lupus nephritis. Lupus 2015, 24, 675–686. [Google Scholar] [CrossRef] [PubMed]
- Martens, H.A.; Nienhuis, H.L.A.; Gross, S.; van der Steege, G.; Brouwer, E.; Berden, J.H.M.; de Sévaux, R.G.L.; Derksen, R.H.W.M.; Voskuyl, A.E.; Berger, S.P.; et al. Receptor for advanced glycation end products (RAGE) polymorphisms are associated with systemic lupus erythematosus and disease severity in lupus nephritis. Lupus 2012, 21, 959–968. [Google Scholar] [CrossRef] [PubMed]
- Shen, C.-Y.; Wu, C.-H.; Lu, C.-H.; Kuo, Y.-M.; Li, K.-J.; Hsieh, S.-C.; Yu, C.-L. Advanced glycation end products of bovine serum albumin suppressed Th1/Th2 cytokine but enhanced monocyte IL-6 gene expression via MAPK-ERK and MyD88 transduced NF-κB p50 signaling pathways. Molecules 2019, 24, E2461. [Google Scholar] [CrossRef] [PubMed]
- Ryan, B.J.; Nissim, A.; Winyard, P.G. Oxidative post-translational modifications and their involvement in the pathogenesis of autoimmune diseases. Redox Biol. 2014, 2, 715–724. [Google Scholar] [CrossRef] [PubMed]
- Al-Shobaili, H.A.; Rasheed, Z. Physicochemical and immunological studies on mitochondrial DNA modified by peroxynitrite: Implications of neo-epitopes of mitochondrial DNA in the etiopathogenesis of systemic lupus erythematosus. Lupus 2013, 22, 1024–1037. [Google Scholar] [CrossRef] [PubMed]
- Kurien, B.T.; Hensley, K.; Bachmann, M.; Scofield, R.H. Oxidatively modified autoantigens in autoimmune diseases. Free Radic. Biol. Med. 2006, 41, 549–556. [Google Scholar] [CrossRef] [PubMed]
- Mir, A.R.; Moinuddin. Glycoxidation of histone proteins in autoimmune disorders. Clin. Chim. Acta 2015, 450, 25–30. [Google Scholar] [CrossRef] [PubMed]
- Yang, J.; Yang, X.; Zou, H.; Li, M. Oxidative stress and Treg and Th17 dysfunction in systemic lupus erythematosus. Oxidative Med. Cell. Longevity 2016, 1, 1–9. [Google Scholar] [CrossRef]
- Chirino, Y.I.; Orozco-Ibarra, M.; Pedraza-Chaverri, J. Role of peroxynitrite anion in different diseases. Rev. Investig. Clin. 2006, 58, 350–358. [Google Scholar]
- Ahmad, R.; Rasheed, Z.; Ahsan, H. Biochemical and cellular toxicology of peroxyritrite: Implications in cell death and autoimmune phenomenon. Immunopharmacol. Immunotoxicol. 2009, 31, 388–396. [Google Scholar] [CrossRef]
- Ahsan, H. 3-nitrotyrosine: A biomarker of nitrogen free radical species modified proteins in systemic autoimmune conditions. Human Immunol. 2013, 74, 1392–1399. [Google Scholar] [CrossRef] [PubMed]
- Bartesaghi, S.; Radi, R. Fundamentals on the biochemistry of peroxynitrite and protein tyrosine nitration. Redox Biol. 2018, 14, 618–625. [Google Scholar] [CrossRef] [PubMed]
- Ahmad, R.; Ahsan, H. Role of peroxynitrite-modified biomolecules in the etiopathogenesis of systemic lupus erythematosus. Clin. Exp. Med. 2014, 14, 1–11. [Google Scholar] [CrossRef] [PubMed]
- Khan, M.A.; Alam, K.; Zafaryab, M.; Rizvi, M.M.A. Peroxynitrite-modified histone as a pathophysiological biomarker in autoimmune diseases. Biochimie 2017, 140, 1–9. [Google Scholar] [CrossRef] [PubMed]
- Arif, Z.; Neelofar, K.; Tarannum, A.; Arfat, M.Y.; Ahmad, S.; Zaman, A.; Khan, M.A.; Badar, A.; Islam, S.N.; Iqubal, M.A. SLE autoantibodies are well recognized by peroxynitrite-modified-HSA: Its implications in the pathogenesis of SLE. Int. J. Biol. Macromol. 2018, 106, 1240–1249. [Google Scholar] [CrossRef] [PubMed]
- Ahmad, R.; Hussain, A.; Ahsan, H. Peroxynitrite: Cellular pathology and implications in autoimmunity. J. Immunoassay Immunochem. 2019, 40, 123–138. [Google Scholar] [CrossRef] [PubMed]
- Zakian, V.A. Telomeres: Beginning to understand the end. Science 1995, 270, 1601–1607. [Google Scholar] [CrossRef] [PubMed]
- Greider, C.W. Telomeres do D-loop-T-loop. Cell 1999, 97, 419–422. [Google Scholar] [CrossRef]
- Hodes, R.J. Telomere length, aging and somatic cell turnover. J. Exp. Med. 1999, 190, 153–156. [Google Scholar] [CrossRef]
- Weng, N.P.; Levine, B.L.; June, C.H.; Hodes, R.J. Regulated expression of telomerase activity in human T lymphocyte development and activation. J. Exp. Med. 1996, 183, 2471–2479. [Google Scholar] [CrossRef]
- Honda, M.; Mengesha, E.; Albano, S.; Nichols, W.S.; Wallace, D.J.; Metzger, A.; Klinenberg, J.R.; Linker-Israeli, M. Telomere shortening and decreased replicative potential, contrasted by continued proliferation of telomerase-positive CD8+CD28lo T cells in patients with systemic lupus erythematosus. Clin. Immunol. 2001, 99, 211–221. [Google Scholar] [CrossRef] [PubMed]
- Katayama, Y.; Kohriyama, K. Telomerase activity in peripheral mononuclear cells of systemic connective tissue diseases. J. Rheumatol. 2001, 28, 288–291. [Google Scholar] [PubMed]
- Kurosaka, D.; Yasuda, J.; Yoshida, K.; Yokoyama, T.; Ozawa, Y.; Obayashi, Y.; Kingetsu, I.; Saito, S.; Yamada, A. Telomerase activity and telomere length of peripheral blood mononuclear cells in SLE patients. Lupus 2003, 12, 591–599. [Google Scholar] [CrossRef] [PubMed]
- Kurosaka, D. Abnormalities in lymphocyte telomerase activity and telomere length in systemic lupus erythematosus. Nihon Rinsho Meneki Gakkai Kaishi 2007, 30, 29–36. [Google Scholar] [CrossRef] [PubMed]
- Georgin-Lavialle, S.; Aouba, A.; Lepelletier, Y.; Gabet, A.S.; Hermine, O. Telomeres and telomerase: Relevance and future prospects in systemic lupus erythematosus. Rev. Med. Interne. 2010, 31, 345–352. [Google Scholar] [CrossRef] [PubMed]
- Wu, C.-H.; Hsieh, S.-C.; Li, K.-J.; Lu, M.-C.; Yu, C.-L. Premature telomere shortening in polymorphonuclear neutrophils from patients with systemic lupus erythematosus is related to the lupus disease activity. Lupus 2007, 16, 265–272. [Google Scholar] [CrossRef] [PubMed]
- Zhou, J.G.; Qing, Y.F.; Yang, Q.B.; Xie, W.G.; Zhao, M.C. Changes in the expression of telomere maintenance genes might play a role in the pathogenesis of systemic lupus erythematosus. Lupus 2011, 20, 820–828. [Google Scholar] [CrossRef]
- De Punder, K.; Heim, C.; Wadhwa, P.D.; Entringer, S. Stress and immunosenescence: The role of telomerase. Psychoneuroendocrinology 2019, 101, 87–100. [Google Scholar] [CrossRef]
- Tan, W.; Gu, Z.; Shen, B.; Jiang, J.; Meng, Y.; Da, Z.; Liu, H.; Tao, T.; Cheng, C. PTEN/Akt-p27(kip-1) signaling promotes the BM-MSCs senescence and apoptosis in SLE patients. J. Cell Biochem. 2015, 116, 1583–1594. [Google Scholar] [CrossRef]
© 2019 by the authors. Licensee MDPI, Basel, Switzerland. This article is an open access article distributed under the terms and conditions of the Creative Commons Attribution (CC BY) license (http://creativecommons.org/licenses/by/4.0/).





