A Novel CreA-Mediated Regulation Mechanism of Cellulase Expression in the Thermophilic Fungus Humicola insolens
Abstract
1. Introduction
2. Results
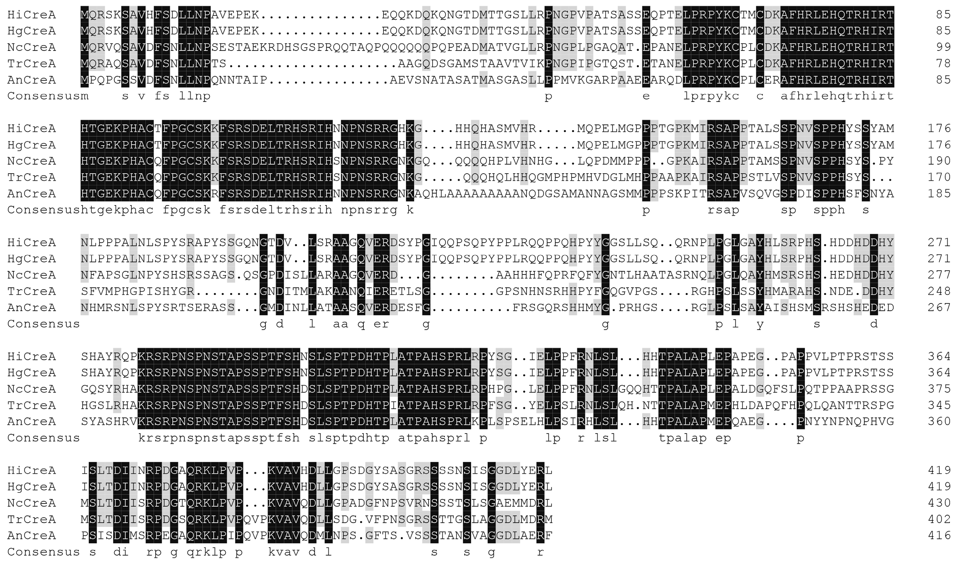
2.1. Isolation and Sequence Analysis of creA from H. insolens Y1
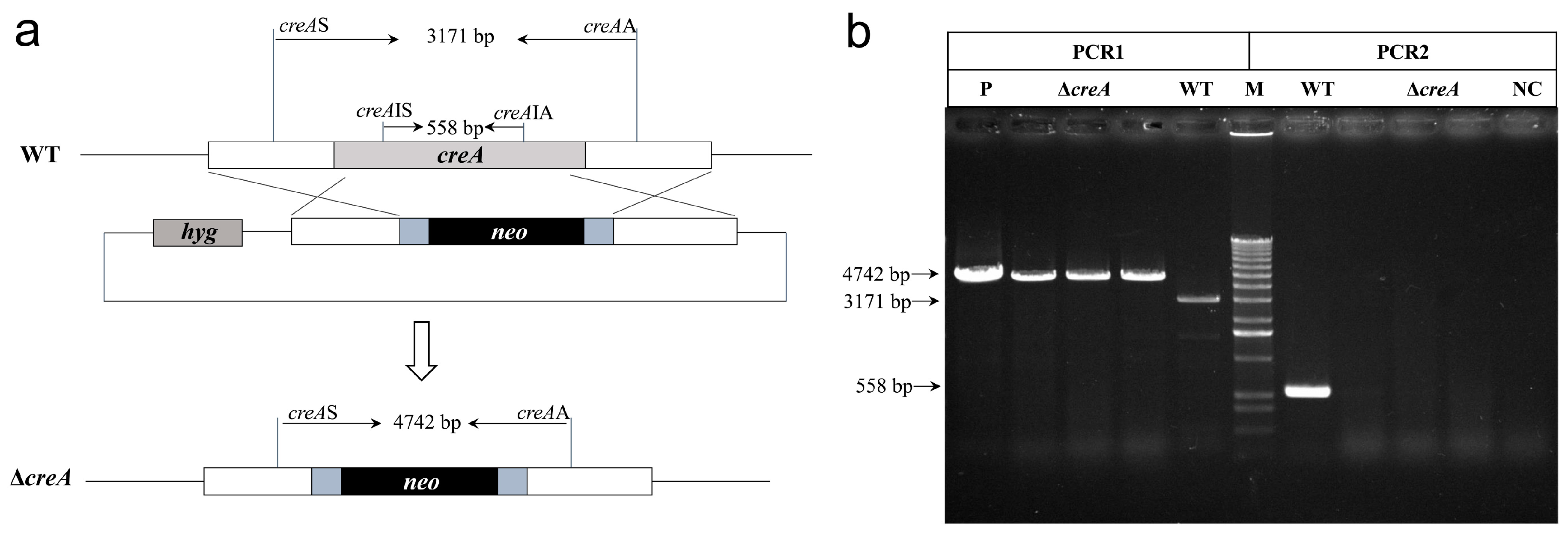
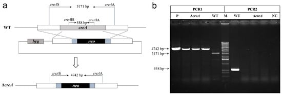
2.2. Disruption and Complementation of creA in H. insolens Y1
2.3. Disruption of creA Affected the H. insolens Phenotype and Mycelium Morphology
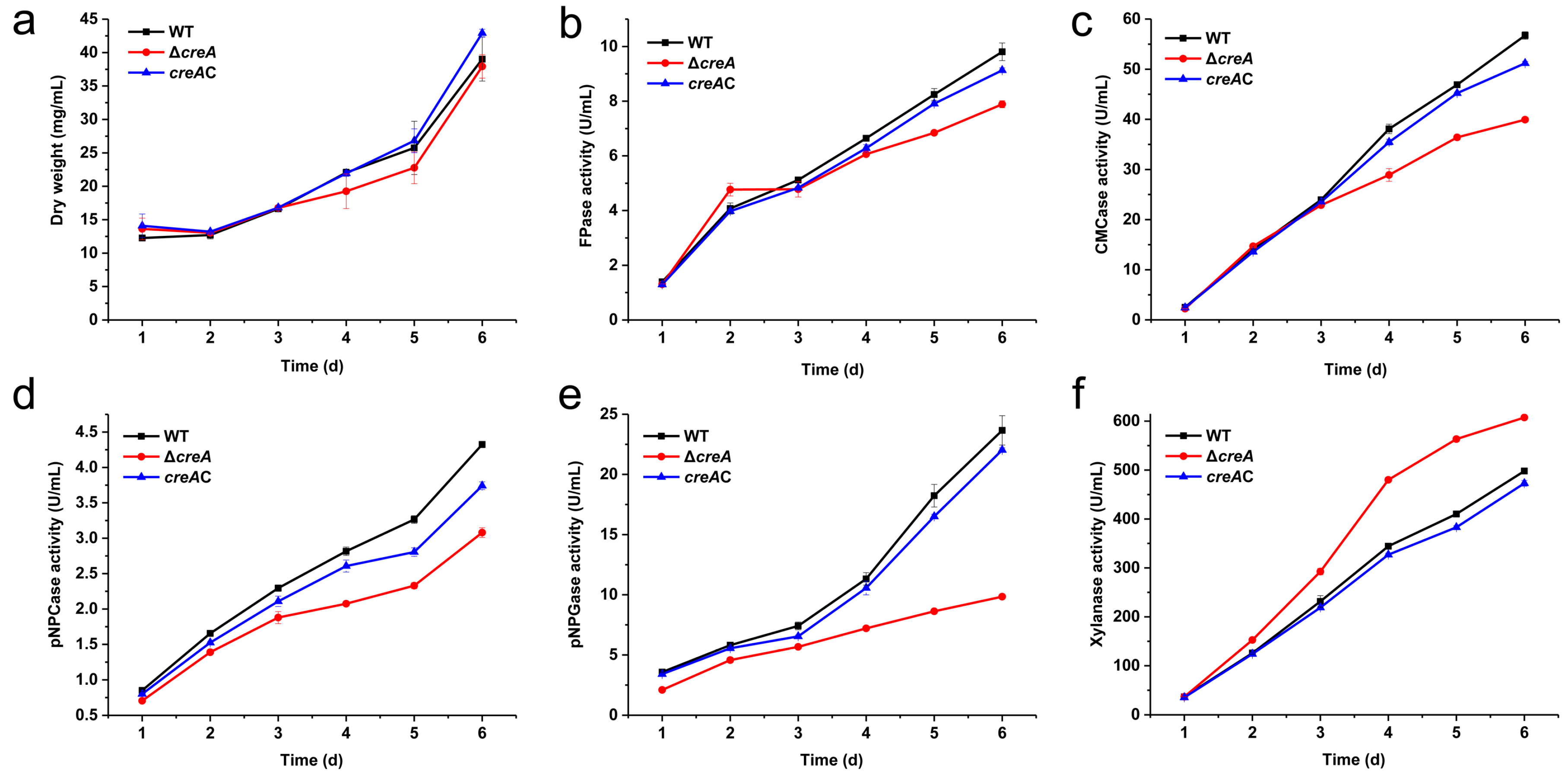
2.4. Disruption of creA Revealed a Novel Regulation Mechanism for H. insolens Cellulase Production
2.5. Regulation of Cellulolytic Gene Expression by CreA in H. insolens
3. Discussion
4. Materials and Methods
4.1. Strains, Media, and Culture Conditions
4.2. Molecular Manipulation
4.3. Sequence Analysis
4.4. Construction of H. insolens Y1 creA Disruption Mutant and Complementation Strains
4.5. Phenotypic Observation and Microscopic Observation
4.6. Enzyme Activity Assay and Sodium Dodecyl Sulfate–Polyacrylamide Gel Electrophoresis (SDS–PAGE)
4.7. Real-time Quantitative PCR Analysis
4.8. Nucleotide Sequence
Supplementary Materials
Author Contributions
Funding
Conflicts of Interest
References
- Matsumoto, H.; Koganei, K.; Nishida, N.; Koyama, Y.; Saito, S.; Kataoka, H.; Ogihara, J.; Kasumi, T. Cell dispersion culture for the effective growth of Humicola insolens and efficient enzyme production. J. Biosci. Bioeng. 2013, 117, 257–262. [Google Scholar] [CrossRef] [PubMed]
- Schulein, M. Enzymatic properties of cellulases from Humicola insolens. J. Biotechnol. 1997, 57, 71–81. [Google Scholar] [CrossRef]
- Souza, F.H.M.; Inocentes, R.F.; Ward, R.J.; Jorge, J.A.; Furriel, R.P.M. Glucose and xylose stimulation of a beta-glucosidase from the thermophilic fungus Humicola insolens: A kinetic and biophysical study. J. Mol. Catal. B. Enzym. 2013, 94, 119–128. [Google Scholar] [CrossRef]
- Wu, I.; Arnold, F.H. Engineered thermostable fungal Cel6A and Cel7A cellobiohydrolases hydrolyze cellulose efficiently at elevated temperatures. Biotechnol. Bioeng. 2013, 110, 1874–1883. [Google Scholar] [CrossRef] [PubMed]
- Xu, X.; Li, J.; Zhang, W.; Huang, H.; Shi, P.; Luo, H.; Liu, B.; Zhang, Y.; Zhang, Z.; Fan, Y. A neutral thermostable β-1,4-glucanase from Humicola insolens Y1 with potential for applications in various industries. PLoS ONE 2015, 10, e0124925. [Google Scholar] [CrossRef] [PubMed]
- Maheshwari, R.; Bharadwaj, G.; Bhat, M.K. Thermophilic fungi: Their physiology and enzymes. Microbiol. Mol. Biol. Rev. 2000, 64, 461–488. [Google Scholar] [CrossRef]
- Meleiro, L.P.; Zimbardi, A.L.; Souza, F.H.; Masui, D.C.; Silva, T.M.; Jorge, J.A.; Furriel, R.P. A novel beta-glucosidase from Humicola insolens with high potential for untreated waste paper conversion to sugars. Appl. Biochem. Biotechnol. 2014, 173, 391–408. [Google Scholar] [CrossRef]
- Xia, W.; Shi, P.; Xu, X.; Qian, L.; Cui, Y.; Xia, M.; Yao, B. High level expression of a novel family 3 neutral beta-xylosidase from Humicola insolens Y1 with high tolerance to D-xylose. PLoS ONE 2015, 10, e0117578. [Google Scholar]
- Xu, X.X.; Li, J.Y.; Shi, P.J.; Ji, W.L.; Liu, B.; Zhang, Y.H.; Yao, B.; Fan, Y.L.; Zhang, W. The use of T-DNA insertional mutagenesis to improve cellulase production by the thermophilic fungus Humicola insolens Y1. Sci. Rep. 2016, 6, 9. [Google Scholar] [CrossRef]
- Furukawa, T.; Shida, Y.; Kitagami, N.; Mori, K.; Kato, M.; Kobayashi, T.; Okada, H.; Ogasawara, W.; Morikawa, Y. Identification of specific binding sites for XYR1, a transcriptional activator of cellulolytic and xylanolytic genes in Trichoderma reesei. Fungal. Genet. Biol. 2009, 46, 564–574. [Google Scholar] [CrossRef]
- Ling, M.; Qin, Y.; Li, N.; Liang, Z. Binding of two transcriptional factors, Xyr1 and ACEI, in the promoter region of cellulase cbh1 gene. Biotechnol. Lett. 2009, 31, 227–231. [Google Scholar] [CrossRef]
- Stricker, A.R.; Grosstessnerhain, K.; Würleitner, E.; Mach, R.L. Xyr1 (xylanase regulator 1) regulates both the hydrolytic enzyme system and D-xylose metabolism in Hypocrea jecorina. Eukaryot. Cell 2006, 5, 2128–2137. [Google Scholar] [CrossRef]
- Kubicek, C.P.; Mikus, M.; Schuster, A.; Schmoll, M.; Seiboth, B. Metabolic engineering strategies for the improvement of cellulase production by Hypocrea jecorina. Biotechnol. Biofuels. 2009, 2, 19. [Google Scholar] [CrossRef]
- Antonella, A.; Simona, G.; Vincenza, F. Regulation of cellulase and hemicellulase gene expression in fungi. Curr. Genomics 2013, 14, 230–249. [Google Scholar]
- Antonieto, A.C.; dos Santos Castro, L.; Silva-Rocha, R.; Persinoti, G.F.; Silva, R.N. Defining the genome-wide role of CRE1 during carbon catabolite repression in Trichoderma reesei using RNA-Seq analysis. Fungal. Genet. Biol. 2014, 73, 93–103. [Google Scholar] [CrossRef]
- Sun, J.; Glass, N.L. Identification of the CRE-1 cellulolytic regulon in Neurospora crassa. PLoS ONE 2011, 6, e25654. [Google Scholar] [CrossRef]
- Ries, L.N.; Beattie, S.R.; Espeso, E.A.; Cramer, R.A.; Goldman, G.H. Diverse regulation of the CreA carbon catabolite repressor in Aspergillus nidulans. Genetics 2016, 203, 335–352. [Google Scholar] [CrossRef]
- Li, Z.; Yao, G.; Wu, R.; Gao, L.; Kan, Q.; Liu, M.; Yang, P.; Liu, G.; Qin, Y.; Song, X. Synergistic and dose-controlled regulation of cellulase gene expression in Penicillium oxalicum. PLoS Genet. 2015, 11, e1005509. [Google Scholar] [CrossRef]
- Mach-Aigner, A.R.; Pucher, M.E.; Steiger, M.G.; Bauer, G.E.; Preis, S.J.; Mach, R.L. Transcriptional regulation of xyr1, encoding the main regulator of the xylanolytic and cellulolytic enzyme system in Hypocrea jecorina. Appl. Environ. Microbiol. 2008, 74, 6554. [Google Scholar] [CrossRef]
- Portnoy, T.; Margeot, A.; Seidlseiboth, V.; Le, C.S.; Ben, C.F.; Linke, R.; Seiboth, B.; Kubicek, C.P. Differential regulation of the cellulase transcription factors XYR1, ACE2, and ACE1 in Trichoderma reesei strains producing high and low levels of cellulase. Eukaryot. Cell 2011, 10, 262–271. [Google Scholar] [CrossRef]
- Adnan, M.; Zheng, W.; Islam, W.; Arif, M.; Abubakar, Y.; Wang, Z.; Lu, G. Carbon catabolite repression in filamentous fungi. Int. J. Mol. Sci. 2018, 19, 48. [Google Scholar] [CrossRef]
- Nakari-Setala, T.; Paloheimo, M.; Kallio, J.; Vehmaanpera, J.; Penttila, M.; Saloheimo, M. Genetic modification of carbon catabolite repression in Trichoderma reesei for improved protein production. Appl. Environ. Microbiol. 2009, 75, 4853–4860. [Google Scholar] [CrossRef]
- Portnoy, T.; Margeot, A.; Linke, R.; Atanasova, L.; Fekete, E.; Sándor, E.; Hartl, L.; Karaffa, L.; Druzhinina, I.S.; Seiboth, B. The CRE1 carbon catabolite repressor of the fungus Trichoderma reesei: A master regulator of carbon assimilation. Bmc. Genomics 2011, 12, 269. [Google Scholar] [CrossRef]
- Tannous, J.; Kumar, D.; Sela, N.; Sionov, E.; Prusky, D.; Keller, N.P. Fungal attack and host defence pathways unveiled in near-avirulent interactions of Penicillium expansum creA mutants on apples. Mol. Plant Pathol. 2018, 19, 2635–2650. [Google Scholar] [CrossRef]
- Fortwendel, J.R.; Fuller, K.K.; Stephens, T.J.; Bacon, W.C.; Askew, D.S.; Rhodes, J.C. Aspergillus fumigatus RasA regulates asexual development and cell wall integrity. Eukaryot. Cell 2008, 7, 1530. [Google Scholar] [CrossRef]
- Kana-Uchi, A.; Yamashiro, C.T.; Tanabe, S.; Murayama, T. A ras homologue of Neurospora crassa regulates morphology. Mol. Gen. Genet. 1997, 254, 427–432. [Google Scholar]
- Castro, L.D.S.; Antoniêto, A.C.C.; Pedersoli, W.R.; Silva-Rocha, R.; Persinoti, G.F.; Silva, R.N. Expression pattern of cellulolytic and xylanolytic genes regulated by transcriptional factors XYR1 and CRE1 are affected by carbon source in Trichoderma reesei. Gene. Expr. Patterns 2014, 14, 88–95. [Google Scholar] [CrossRef]
- Kiesenhofer, D.P.; Mach, R.L.; Machaigner, A.R. Influence of cis element arrangement on promoter strength in Trichoderma reesei. Appl. Environ. Microbiol. 2018, 84, e01742-17. [Google Scholar] [CrossRef]
- Silvarocha, R.; Castro, L.S.; Antoniêto, A.C.; Guazzaroni, M.E.; Persinoti, G.F.; Silva, R.N. Deciphering the cis-regulatory elements for XYR1 and CRE1 regulators in Trichoderma reesei. PLoS ONE 2014, 9, e99366. [Google Scholar]
- Fan, C.; Xu, X.; Song, L.; Guan, W.; Li, J.; Liu, B.; Shi, P.; Zhang, W. The use of Agrobacterium-mediated insertional mutagenesis sequencing to identify novel genes of Humicola insolens involved in cellulase production. Biotech. 2018, 8, 153. [Google Scholar] [CrossRef]
- Xue, X.; Wu, Y.; Qin, X.; Ma, R.; Luo, H.; Su, X.; Yao, B. Revisiting overexpression of a heterologous β-glucosidase in Trichoderma reesei: fusion expression of the Neosartorya fischeri Bgl3A to cbh1 enhances the overall as well as individual cellulase activities. Microb. Cell. Fact. 2016, 15, 122. [Google Scholar] [CrossRef]
- Solomon, P.; Ipcho, S.V.; Hane, J.; Tan, K.C.; Oliver, R. A quantitative PCR approach to determine gene copy number. Fungal Genet. Rep 2008, 55, 5–8. [Google Scholar] [CrossRef]
- D’haene, B.; Vandesompele, J.; Hellemans, J. Accurate and objective copy number profiling using real-time quantitative PCR. Methods 2010, 50, 262–270. [Google Scholar] [CrossRef]






© 2019 by the authors. Licensee MDPI, Basel, Switzerland. This article is an open access article distributed under the terms and conditions of the Creative Commons Attribution (CC BY) license (http://creativecommons.org/licenses/by/4.0/).
Share and Cite
Xu, X.; Fan, C.; Song, L.; Li, J.; Chen, Y.; Zhang, Y.; Liu, B.; Zhang, W. A Novel CreA-Mediated Regulation Mechanism of Cellulase Expression in the Thermophilic Fungus Humicola insolens. Int. J. Mol. Sci. 2019, 20, 3693. https://doi.org/10.3390/ijms20153693
Xu X, Fan C, Song L, Li J, Chen Y, Zhang Y, Liu B, Zhang W. A Novel CreA-Mediated Regulation Mechanism of Cellulase Expression in the Thermophilic Fungus Humicola insolens. International Journal of Molecular Sciences. 2019; 20(15):3693. https://doi.org/10.3390/ijms20153693
Chicago/Turabian StyleXu, Xinxin, Chao Fan, Liya Song, Jinyang Li, Yuan Chen, Yuhong Zhang, Bo Liu, and Wei Zhang. 2019. "A Novel CreA-Mediated Regulation Mechanism of Cellulase Expression in the Thermophilic Fungus Humicola insolens" International Journal of Molecular Sciences 20, no. 15: 3693. https://doi.org/10.3390/ijms20153693
APA StyleXu, X., Fan, C., Song, L., Li, J., Chen, Y., Zhang, Y., Liu, B., & Zhang, W. (2019). A Novel CreA-Mediated Regulation Mechanism of Cellulase Expression in the Thermophilic Fungus Humicola insolens. International Journal of Molecular Sciences, 20(15), 3693. https://doi.org/10.3390/ijms20153693

