Comparative Investigation of Phenomenological Modeling for Hysteresis Responses of Magnetorheological Elastomer Devices
Abstract
1. Introduction
2. Overview of Phenomenological Models for MRE Materials and Devices
2.1. Kelvin–Voigt Model
2.2. Four-Parameter Viscoelastic Model
2.3. Rheological Model
2.4. Bouc–Wen Model
2.5. Improved Bouc–Wen Model
2.6. Dahl Model
2.7. LuGre Friction Model
2.8. Strain Stiffening Model
2.9. Hyperbolic Hysteresis Model
2.10. Model Summary
3. Dynamic Tests of Magnetorheological Elastomer Device
3.1. Design of the MRE Isolator
3.2. Dynamic Test of MRE Device
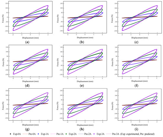
3.3. Test Results
4. Modeling Results and Discussions
- Step 1.
- Determine the fitness function and model parameters to be identified.
- Step 2.
- Set the algorithm parameters of GA: the number of chromosome Nc = 30, mutation probability pm = 0.01, crossover probability pc = 0.7, maximum iteration number Tmi = 200.
- Step 3.
- Define the ranges of the parameters to be identified.
- Step 4.
- Encode the chromosomes for the model parameters. Initialize the chromosomes randomly and the initial iteration value is set as ti = 0.
- Step 5.
- Evaluate the fitness value of each individual and compare the current value with previous one.
- Step 6.
- Use the roulette wheel method to choose part of the chromosome to generate new chromosome.
- Step 7.
- Conduct the crossover and mutation operations to update the chromosome.
- Step 8.
- Check the stopping criterion. If the current iteration number is smaller than the maximum iteration number, go back to Step 5; otherwise, the algorithm is terminated.
5. Conclusions
- (1)
- The results indicate that all the models show high accuracy in characterizing force–displacement responses under low excitation amplitude. However, the Kelvin–Voigt model, four-parameter viscoelastic model, and rheological model could not effectively track the strain hardening phenomenon of the MRE device under high current levels and large deformation.
- (2)
- All the models are able to perfectly predict the variation tendencies of effective stiffness and equivalent damping properties of the MRE device with loading amplitude and applied current level, although the prediction accuracies have some variations between the different models.
- (3)
- The improved LuGre friction model, improved BW model, and Dahl model have the best performances in terms of their absolute errors between experimental results and model predictions, with the shortest range between lower and upper boundaries.
- (4)
- Based on the statistical evaluation indices, the improved LuGre friction model has the optimal performance with values of 0.9994 for R-squared, 2.5461 for RMSE, 1.5942 for MAE, and 15.8788 for MAPE.
Author Contributions
Funding
Acknowledgments
Conflicts of Interest
Abbreviations
| MRE | Magnetorheological elastomer |
| AI | Artificial intelligence |
| BW | Bouc–Wen |
| VSDI | Variable stiffness and damping isolator |
| GA | Genetic algorithm |
| ES | Effective stiffness |
| ED | Equivalent damping |
| RMSE | Root mean square error |
| SAES | Summation of absolute error squares |
| TSS | Total summation of squares |
| MAPE | Mean absolute percentage error |
| MAE | Mean absolute error |
References
- Isaev, D.; Semisalova, A.; Alekhina, Y.; Makarova, L.; Perov, N. Simulation of magnetodielectric Effect in magnetorheological elastomers. Int. J. Mol. Sci. 2019, 20, 1457. [Google Scholar] [CrossRef] [PubMed]
- Oguro, T.; Nanpo, J.; Kikuchi, T.; Kawai, M.; Mitsumata, T. Effects of field strength and sample size on magnetomechanical response for magnetic elastomers by using permanent magnets. Chem. Lett. 2017, 46, 547–549. [Google Scholar] [CrossRef]
- Yu, Y.; Royel, S.; Li, J.; Li, Y.; Ha, Q. Magnetorheological elastomer base isolator for earthquake response mitigation on building structures: Modeling and second-order sliding mode control. Earthq. Struct. 2016, 11, 943–966. [Google Scholar] [CrossRef]
- Yunus, N.A.; Mazlan, S.A.; Ubaidillah; Abdul Aziz, S.A.; Shilan, S.T.; Abdul Wahab, N.A. Thermal stability and rheological properties of epoxidized natural rubber-based magnetorheological elastomer. Int. J. Mol. Sci. 2019, 20, 746. [Google Scholar] [CrossRef]
- Kikuchi, T.; Kobayashi, Y.; Kawai, M.; Mitsumata, T. Elastic properties of magnetorheological elastomers in a heterogeneous uniaxial magnetic field. Int. J. Mol. Sci. 2018, 19, 3045. [Google Scholar] [CrossRef] [PubMed]
- Oguro, T.; Endo, H.; Kikuchi, T.; Kawai, M.; Mitsumata, T. Magnetic field gradient and sample size effect on magnetomechanical response for magnetic elastomers. React. Funct. Polym. 2017, 117, 5–33. [Google Scholar] [CrossRef]
- Davis, L.C. Model of magnetorheological elastomers. J. Appl. Phys. 1999, 85, 3348–3351. [Google Scholar] [CrossRef]
- Abramchuk, S.S.; Grishin, D.A.; Kramarenko, E.Y.; Stepanov, G.V.; Khokhlov, A.R. Effect of a homogeneous magnetic field on the mechanical behavior of soft magnetic elastomers under compression. Polym. Sci. Ser. A 2006, 48, 138–145. [Google Scholar] [CrossRef]
- Yeh, J.Y. Vibration analysis of sandwich rectangular plates with magnetorheological elastomer damping treatment. Smart Mater. Struct. 2013, 22, 035010. [Google Scholar] [CrossRef]
- Lerner, A.A.; Cunefare, K.A. Performance of MRE-based vibration absorbers. J. Intel. Mat. Syst. Struct. 2008, 19, 551–563. [Google Scholar] [CrossRef]
- Sasaki, S.; Tsujiei, Y.; Kawai, M.; Mitsumata, T. Electric conductivity and dielectric-breakdown behavior for polyurethane magnetic elastomers. J. Phys. Chem. B 2017, 121, 1740–1747. [Google Scholar] [CrossRef] [PubMed]
- Sun, S.; Yang, J.; Li, W.; Deng, H.; Du, H.; Alici, G. Development of an MRE adaptive tuned vibration absorber with self-sensing capability. Smart Mater. Struct. 2015, 24, 095012. [Google Scholar] [CrossRef]
- Xin, F.-L.; Bai, X.-X.; Qian, L.-J. Principle, modeling, and control of a magnetorheological elastomer dynamic vibration absorber for powertrain mount systems of automobiles. J. Intel. Mat. Syst. Struct. 2017, 28, 2239–2254. [Google Scholar] [CrossRef]
- Sun, S.S.; Yildirim, T.; Wu, J.; Yang, J.; Du, H.; Zhang, S.W.; Li, W.H. Design and verification of a hybrid nonlinear MRE vibration absorber for controllable broadband performance. Smart Mater. Struct. 2017, 26, 095039. [Google Scholar] [CrossRef]
- Deng, H.X.; Gong, X.L.; Wang, L.H. Development of an adaptive tuned vibration absorber with magnetorheological elastomer. Smart Mater. Struct. 2006, 15, N111–N116. [Google Scholar] [CrossRef]
- Yang, J.; Sun, S.S.; Chi, J.Y.; Ning, D.H.; Du, H.; Zhang, S.W.; Li, W.H.; Mao, S.X. Development and evaluation of an MRE-based absorber with two individually controllable natural frequencies. Smart Mater. Struct. 2018, 27, 095002. [Google Scholar] [CrossRef]
- Zhang, X.Z.; Li, W.H. Adaptive tuned dynamic vibration absorbers working with MR elastomers. Smart Struct. Syst. 2009, 5, 517–529. [Google Scholar] [CrossRef]
- Li, R.; Mu, W.; Zhang, L.; Wang, X. Design and testing performance of a magneto-rheological elastomer isolator for a scaled bridge system. J. Intel. Mat. Syst. Struct. 2018, 29, 171–182. [Google Scholar] [CrossRef]
- Fu, J.; Li, P.; Liao, G.; Lai, J.; Yu, M. Development and dynamic characterization of a mixed mode magnetorheological elastomer isolator. IEEE Trans. Magn. 2017, 53, 2800104. [Google Scholar] [CrossRef]
- Nguyen, X.B.; Komatsuzaki, T.; Iwata, Y.; Asanuma, H. Modeling and semi-active fuzzy control of magnetorheological elastomer-based isolator for seismic response reduction. Mech. Syst. Signal Process. 2018, 101, 449–466. [Google Scholar] [CrossRef]
- Zhao, L.; Yu, M.; Fu, J.; Zhu, M.; Li, B. A miniature MRE isolator for lateral vibration suppression of bridge monitoring equipment: Design and verification. Smart Mater. Struct. 2017, 26, 047001. [Google Scholar] [CrossRef]
- Li, Y.; Li, J. A highly adjustable base isolator utilizing magnetorheological elastomer: Experimental testing and modeling. J. Vib. Acoust. 2015, 137, 011009. [Google Scholar] [CrossRef]
- Bastola, A.K.; Li, L. A new type of vibration isolator based on magnetorheological elastomer. Mater. Des. 2018, 157, 431–436. [Google Scholar] [CrossRef]
- Wahab, N.A.A.; Mazlan, S.A.; Ubaidillah; Kamaruddin, S.; Kamaruddin, S.; Choi, S.-B.; Sharif, A.H.R. Fabrication and investigation on field-dependent properties of natural rubber based magneto-rheological elastomer isolator. Smart Mater. Struct. 2016, 25, 107002. [Google Scholar] [CrossRef]
- Ginder, J.M.; Nichols, M.E.; Elie, L.D.; Tardiff, J.L. Magnetorheological elastomers: Properties and applications. In Proceedings of the SPIE 3675, Smart Structures and Materials on Smart Materials Technologies, Newport Beach, CA, USA, 12 July 1999; pp. 131–138. [Google Scholar]
- Li, Y.; Li, J.; Li, W.; Du, H. A state-of-the-art review on magnetorheological elastomer devices. Smart Mater. Struct. 2014, 23, 123001. [Google Scholar] [CrossRef]
- Behrooz, M.; Wang, X.; Gordaninejad, F. Performance of a new magnetorheological elastomer isolation system. Smart Mater. Struct. 2014, 23, 045014. [Google Scholar] [CrossRef]
- Li, W.H.; Zhou, Y.; Tian, T.F. Viscoelastic properties of MR elastomers under harmonic loading. Rheol. Acta 2010, 49, 733–740. [Google Scholar] [CrossRef]
- Chen, L.; Jerrams, S. A rheological model of the dynamic behavior of magnetorheological elastomers. J. Appl. Phys. 2011, 110, 013513. [Google Scholar] [CrossRef]
- Yu, Y.; Li, Y.; Li, J. A new hysteretic model for magnetorheological elastomer base isolator and parameter identification based on modified artificial fish swarm algorithm. In Proceedings of the 31st International Symposium on Automation and Robotics in Construction and Mining (ISARC), Sydney, Australia, 9–11 July 2014; pp. 176–183. [Google Scholar]
- Yang, J.; Du, H.; Li, W.; Li, Y.; Li, J.; Sun, S.; Deng, H.X. Experimental study and modeling of a novel magnetorheological elastomer isolator. Smart Mater. Struct. 2013, 22, 117001. [Google Scholar] [CrossRef]
- Behrooz, M.; Wang, X.; Gordaninejad, F. Modeling of a new semi-active/passive magnetorheological elastomer isolator. Smart Mater. Struct. 2014, 23, 045013. [Google Scholar] [CrossRef][Green Version]
- Yu, Y.; Li, Y.; Li, J. Parameter identification and sensitivity analysis of an improved LuGre friction model for magnetorheological elastomer base isolator. Meccanica 2015, 50, 2691–2707. [Google Scholar] [CrossRef]
- Koo, J.-H.; Khan, F.; Jang, D.-D.; Jung, H.-J. Dynamic characterization and modeling of magneto-rheological elastomers under compressive loadings. Smart Mater. Struct. 2010, 19, 117002. [Google Scholar] [CrossRef]
- Fu, J.; Liao, G.; Yu, M.; Li, P.; Lai, J. NARX neural network modeling and robustness analysis of magnetorheological elastomer isolator. Smart Mater. Struct. 2016, 25, 125019. [Google Scholar] [CrossRef]
- Leng, D.; Xu, K.; Ma, Y.; Liu, G.; Sun, L. Modeling the behaviors of magnetorheological elastomer isolator in shear-compression mixed mode utilizing artificial neural network optimized by fuzzy algorithm (ANNOFA). Smart Mater. Struct. 2018, 27, 115026. [Google Scholar] [CrossRef]
- Yu, Y.; Li, Y.; Li, J.; Gu, X.; Royel, S. Nonlinear characterization of the MRE isolator using binary-coded discrete CSO and ELM. Int. J. Struct. Stab. Dyn. 2018, 18, 1840007. [Google Scholar] [CrossRef]
- Chen, L.; Gong, X.L.; Li, W.H. Effect of carbon black on the mechanical performances of magnetorheological elastomers. Polym. Test. 2008, 27, 340–345. [Google Scholar] [CrossRef]
- De Wit, C.C.; Lischinsky, P.; Åström, K.J.; Olsson, H. A new model for control of systems with friction. IEEE Trans. Automat. Contr. 1995, 40, 419–425. [Google Scholar] [CrossRef]
- Kwok, N.M.; Ha, Q.P.; Nguyen, T.H.; Li, J.; Samali, B. A novel hysteretic model for magnetorheological fluid dampers and parameter identification using particle swarm optimization. Sensor. Actuat. A Phys. 2006, 132, 441–451. [Google Scholar] [CrossRef]
- Kwok, N.M.; Ha, Q.P.; Nguyen, T.H.; Li, J.; Samali, B. Bouc–Wen model parameter identification for a MR fluid damper using computationally efficient GA. ISA Trans. 2019, 448, 146–158. [Google Scholar] [CrossRef]
- Zhu, H.; Rui, X.; Yang, F.; Zhu, W.; Wei, M. An efficient parameters identification method of normalized Bouc–Wen model for MR damper. J. Sound Vib. 2019, 448, 146–158. [Google Scholar] [CrossRef]
- Kanarachos, S.; Savitski, D.; Lagaros, N.; Fitzpatrick, M.E. Automotive magnetorheological dampers: Modelling and parameter identification using contrast-based fruit fly optimisation. Soft Comput. 2018, 22, 8131–8149. [Google Scholar] [CrossRef]
- Talatahari, S.; Kaveh, A.; Mohajer Rahbari, N. Parameter identification of Bouc–Wen model for MR fluid dampers using adaptive charged system search optimization. J. Mech. Sci. Technol. 2012, 26, 2523–2534. [Google Scholar] [CrossRef]
- Talatahari, S.; Rahbari, N.M. Enriched Imperialist Competitive Algorithm for system identification of magneto-rheological dampers. Mech. Syst. Signal Process. 2015, 62, 506–516. [Google Scholar] [CrossRef]
- Meng, F.; Zhou, J. Modeling and control of a shear-valve mode MR damper for semiactive vehicle suspension. Math. Probl. Eng. 2019, 2019, 2568185. [Google Scholar] [CrossRef]
- Zhu, J.T.; Xu, Z.D.; Guo, Y.Q. Magnetoviscoelasticity parametric model of an MR elastomer vibration mitigation device. Smart Mater. Struct. 2012, 21, 075034. [Google Scholar] [CrossRef]
- Yu, Y.; Li, Y.; Li, J. Parameter identification of a novel strain stiffening model for magnetorheological elastomer base isolator utilizing enhanced particle swarm optimization. J. Intel. Mat. Syst. Struct. 2015, 26, 2446–2462. [Google Scholar] [CrossRef]
- Yan, A.; Wang, Z.; Cai, Z. Prediction of human intestinal absorption by GA feature selection and support vector machine regression. Int. J. Mol. Sci. 2008, 9, 1961–1976. [Google Scholar] [CrossRef] [PubMed]
- Hanh, N.T.; Binh, H.T.T.; Hoai, N.X.; Palaniswami, M.S. An efficient genetic algorithm for maximizing area coverage in wireless sensor networks. Inform. Sci. 2019, 488, 58–75. [Google Scholar] [CrossRef]
- Suo, S.; Xu, Z.; Li, W.; Gan, Y. Improved mathematical model for analysis of the Payne effect of magnetorheological elastomers. J. Aerosp. Eng. 2018, 31, 04018046. [Google Scholar] [CrossRef]




































| Model | Advantages and/or Disadvantages | Reference |
|---|---|---|
| Kelvin–Voigt model | The Kelvin–Voigt model is capable of effectively illustrating viscoelastic behavior of MRE system under given loading conditions. The drawback is that it lacks the ability to numerically characterize the material system. | [21] |
| Four-parameter viscoelastic model | The field-dependent modulus and damping capacities can be well characterized. | [28] |
| Rheological model | Besides the viscoelastic behavior, the field-dependent mechanical properties and interfacial slippage between polymer matrix and the particles are also considered in the rheological model. | [29] |
| Bouc–Wen model | The hysteretic behavior of MRE device can be well characterized. However, a large number of parameters should be identified and a highly nonlinear differential equation is incorporated that increases the challenge for the controller design. | [31] |
| Improved Bouc–Wen model | Compared to BW model, improved BW model introduces more parameters to better portray the hysteretic responses of MRE device. | [32] |
| Dahl model | The Dahl model can be regarded as a special case of the general BW model, and it has fewer model parameters than the BW model, with the benefit of good computational efficiency. | [26] |
| LuGre friction model | The friction dynamics of the MRE device can be modeled by LuGre friction model. Its main disadvantage is that the model lacks a term to describe the Stribeck effect [39], which may be apparent at low velocity areas. | [33] |
| Strain stiffening model | The strain stiffening phenomenon of MRE materials and devices can be well captured by this model. However, two differential equations in the model expression increase the challenge for model parameter identification. | [22] |
| Hyperbolic hysteresis model | The hyperbolic hysteresis model has simple model structure with only four parameters. The main advantage of this model is that it does not have any differential equation in the model. | [30] |
© 2019 by the authors. Licensee MDPI, Basel, Switzerland. This article is an open access article distributed under the terms and conditions of the Creative Commons Attribution (CC BY) license (http://creativecommons.org/licenses/by/4.0/).
Share and Cite
Yu, Y.; Li, J.; Li, Y.; Li, S.; Li, H.; Wang, W. Comparative Investigation of Phenomenological Modeling for Hysteresis Responses of Magnetorheological Elastomer Devices. Int. J. Mol. Sci. 2019, 20, 3216. https://doi.org/10.3390/ijms20133216
Yu Y, Li J, Li Y, Li S, Li H, Wang W. Comparative Investigation of Phenomenological Modeling for Hysteresis Responses of Magnetorheological Elastomer Devices. International Journal of Molecular Sciences. 2019; 20(13):3216. https://doi.org/10.3390/ijms20133216
Chicago/Turabian StyleYu, Yang, Jianchun Li, Yancheng Li, Shaoqi Li, Huan Li, and Weiqiang Wang. 2019. "Comparative Investigation of Phenomenological Modeling for Hysteresis Responses of Magnetorheological Elastomer Devices" International Journal of Molecular Sciences 20, no. 13: 3216. https://doi.org/10.3390/ijms20133216
APA StyleYu, Y., Li, J., Li, Y., Li, S., Li, H., & Wang, W. (2019). Comparative Investigation of Phenomenological Modeling for Hysteresis Responses of Magnetorheological Elastomer Devices. International Journal of Molecular Sciences, 20(13), 3216. https://doi.org/10.3390/ijms20133216

