Antiproliferative Activity of Pt(IV) Conjugates Containing the Non-Steroidal Anti-Inflammatory Drugs (NSAIDs) Ketoprofen and Naproxen †
Abstract
1. Introduction
2. Results and Discussion
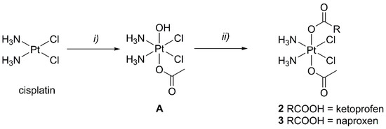
2.1. Synthesis and Characterization of the Pt(IV) Complexes
2.2. Antiproliferative Activity
2.3. Gene Modulation and RT-qPCR
3. Materials and Methods
3.1. General Procedures
3.2. Synthesis of (RS)-2-[3-(benzoyl)phenyl]propanoyl Chloride (Acyl Chloride of Ketoprofen)
3.3. Synthesis of 2-(6-metoxynaphtalen-2-yl)propanoyl Chloride (Acyl Chloride of Naproxen)
3.4. Synthesis of (OC-6-44)-acetatodiamminedichlorido(RS)-2-[3-(benzoyl)phenyl]propanoatoplatinum(IV) (2)
3.5. Synthesis of (OC-6-44)-acetatodiamminedichlorido2-(6-metoxynaphtalen-2-yl)propanoatoplatinum(IV) (3)
3.6. Lipophilicity and Stability in Water
3.7. Antiproliferative Activity
3.8. Cellular Uptake
3.9. Quantitative Reverse Transcription PCR (RT-qPCR)
4. Conclusions
Supplementary Materials
Author Contributions
Funding
Acknowledgments
Conflicts of Interest
Abbreviations
| A2780 | ovarian endometroid adenocarcinoma cell line |
| A-549 | lung carcinoma cell line |
| AR | accumulation ratio |
| COX | cyclooxygenase |
| Cq | cycle quantification value |
| DMEM | Dulbecco’s Modified Eagle Medium |
| DMF | N,N-dimethylformamide |
| DNA | deoxyribonucleic acid |
| EDTA | 2,2′,2″,2‴-(ethane-1,2-diyldinitrilo)tetraacetic acid or ethylenediaminetetraacetic acid |
| ESI-MS | electrospray ionization - mass spectrometry |
| FBS | fetal bovine serum |
| HCT 116 | colorectal carcinoma cell line |
| HEPES | 4-(2-hydroxyethyl)-1-piperazineethanesulfonic acid |
| HT-29 | colon adenocarcinoma cell line |
| IC50 | half-maximal inhibitory concentrations |
| ICP-MS | inductively coupled plasma - mass spectrometry |
| ICP-OES | inductively coupled plasma – optical emission spectroscopy |
| k′ | RP-HPLC capacity factor |
| MPM | malignant pleural mesothelioma |
| MSTO-211H | biphasic malignant pleural mesothelioma cell line |
| NAG-1 | NSAID activated gene 1 |
| NMR | nuclear magnetic resonance |
| NSAIDs | non-steroidal anti-inflammatory drugs |
| PBS | phosphate buffered saline |
| PTFE | polytetrafluoroethylene |
| RNA | ribonucleic acid |
| RP-HPLC | reversed-phase high performance liquid chromatography |
| RPMI | Roswell Park Memorial Institute |
| RT-qPCR | quantitative reverse transcription polymerase chain reaction |
| SD | standard deviation |
| SEM | standard error means |
| SW480 | colorectal adenocarcinoma |
| t0 | column dead time |
| tR | retention time |
| UV | ultraviolet |
| ΔCq/ΔΔCq | cDNA level of expression |
References
- Oun, R.; Moussa, Y.E.; Wheate, N.J. The side effects of platinum-based chemotherapy drugs: A review for chemists. Dalton Trans. 2018, 47, 6645–6653. [Google Scholar] [CrossRef] [PubMed]
- Nakamura, T.; Miki, T. Recent strategy for the management of advanced testicular cancer. Int. J. Urol. 2010, 17, 148–157. [Google Scholar] [CrossRef] [PubMed]
- Morphy, R.; Kay, C.; Rankovic, Z. From magic bullets to designed multiple ligands. Drug Discov. Today 2004, 9, 641–651. [Google Scholar] [CrossRef]
- Gabano, E.; Ravera, M.; Osella, D. Pros and cons of bifunctional platinum(IV) antitumor prodrugs: Two are (not always) better than one. Dalton Trans. 2014, 43, 9813–9820. [Google Scholar] [CrossRef] [PubMed]
- Apps, M.G.; Choi, E.H.Y.; Wheate, N.J. The state-of-play and future of platinum drugs. Endoc. Relat. Cancer 2015, 22, R219–R233. [Google Scholar] [CrossRef] [PubMed]
- Gibson, D. Platinum(IV) anticancer prodrugs—Hypotheses and facts. Dalton Trans. 2016, 45, 12983–12991. [Google Scholar] [CrossRef] [PubMed]
- Kenny, R.G.; Chuah, S.W.; Crawford, A.; Marmion, C.J. Platinum(IV) Prodrugs—A Step Closer to Ehrlich’s Vision? Eur. J. Inorg. Chem. 2017, 1596–1612. [Google Scholar] [CrossRef]
- Shi, Y.; Liu, S.A.; Kerwood, D.J.; Goodisman, J.; Dabrowiak, J.C. Pt(IV) complexes as prodrugs for cisplatin. J. Inorg. Biochem. 2012, 107, 6–14. [Google Scholar] [CrossRef]
- Wexselblatt, E.; Gibson, D. What do we know about the reduction of Pt(IV) pro-drugs? J. Inorg. Biochem. 2012, 117, 220–229. [Google Scholar] [CrossRef]
- Johnstone, T.C.; Suntharalingam, K.; Lippard, S.J. The Next Generation of Platinum Drugs: Targeted Pt(II) Agents, Nanoparticle Delivery, and Pt(IV) Prodrugs. Chem. Rev. 2016, 116, 3436–3486. [Google Scholar] [CrossRef]
- Najjar, A.; Rajabi, N.; Karaman, R. Recent Approaches to Platinum(IV) Prodrugs: A Variety of Strategies for Enhanced Delivery and Efficacy. Curr. Pharm. Design 2017, 23, 2366–2376. [Google Scholar] [CrossRef] [PubMed]
- Gibson, D. Multi-action Pt(IV) anticancer agents; do we understand how they work? J. Inorg. Biochem. 2019, 191, 77–84. [Google Scholar] [CrossRef]
- Kenny, R.G.; Marmion, C.J. Toward Multi-Targeted Platinum and Ruthenium Drugs—A New Paradigm in Cancer Drug Treatment Regimens? Chem. Rev. 2019, 119, 1058–1137. [Google Scholar] [CrossRef] [PubMed]
- Ravera, M.; Gabano, E.; McGlinchey, M.J.; Osella, D. A view on multi-action Pt(IV) antitumor prodrugs. Inorg. Chim. Acta 2019, 492, 32–47. [Google Scholar] [CrossRef]
- Smith, W.L.; DeWitt, D.L.; Garavito, R.M. Cyclooxygenases: Structural, cellular, and molecular biology. Annu. Rev. Biochem. 2000, 69, 145–182. [Google Scholar] [CrossRef] [PubMed]
- Yu, T.T.; Lao, X.Z.; Zheng, H. Influencing COX-2 Activity by COX Related Pathways in Inflammation and Cancer. Mini Rev. Med. Chem. 2016, 16, 1230–1243. [Google Scholar] [CrossRef]
- Gurpinar, E.; Grizzle, W.E.; Piazza, G.A. NSAIDs Inhibit Tumorigenesis, but How? Clinical Cancer Res. 2014, 20, 1104–1113. [Google Scholar] [CrossRef]
- Liggett, J.L.; Zhang, X.B.; Eling, T.E.; Baek, S.J. Anti-tumor activity of non-steroidal anti-inflammatory drugs: Cyclooxygenase-independent targets. Cancer Lett. 2014, 346, 217–224. [Google Scholar] [CrossRef]
- Cuzick, J.; Otto, F.; Baron, J.A.; Brown, P.H.; Burn, J.; Greenwald, P.; Jankowski, J.; La Vecchia, C.; Meyskens, F.; Senn, H.J.; et al. Aspirin and non-steroidal anti-inflammatory drugs for cancer prevention: An international consensus statement. Lancet Oncol. 2009, 10, 501–507. [Google Scholar] [CrossRef]
- Lin, J.; Hsiao, P.W.; Chiu, T.H.; Chao, J.I. Combination of cyclooxygenase-2 inhibitors and oxaliplatin increases the growth inhibition and death in human colon cancer cells. Biochem. Pharmacol. 2005, 70, 658–667. [Google Scholar] [CrossRef]
- Dannhardt, G.; Kiefer, W. Cyclooxygenase inhibitors - current status and future prospects. Eur. J. Med. Chem. 2001, 36, 109–126. [Google Scholar] [CrossRef]
- Thun, M.J.; Henley, S.J.; Patrono, C. Nonsteroidal anti-inflammatory drugs as anticancer agents: Mechanistic, pharmacologic, and clinical issues. J. Natl. Cancer Inst. 2002, 94, 252–266. [Google Scholar] [CrossRef] [PubMed]
- Patrignani, P.; Patrono, C. Cyclooxygenase inhibitors: From pharmacology to clinical read-outs. Biochim. Biophys. Acta Mol. Cell Biol. Lipids 2015, 1851, 422–432. [Google Scholar] [CrossRef] [PubMed]
- Pathak, R.K.; Marrache, S.; Choi, J.H.; Berding, T.B.; Dhar, S. The Prodrug Platin-A: Simultaneous Release of Cisplatin and Aspirin. Angew. Chem. Int. Ed. 2014, 53, 1963–1967. [Google Scholar] [CrossRef] [PubMed]
- Cheng, Q.Q.; Shi, H.D.; Wang, H.X.; Min, Y.Z.; Wang, J.; Liu, Y.Z. The ligation of aspirin to cisplatin demonstrates significant synergistic effects on tumor cells. Chem. Commun. 2014, 50, 7427–7430. [Google Scholar] [CrossRef]
- Cheng, Q.Q.; Shi, H.D.; Wang, H.X.; Wang, J.; Liu, Y.Z. Asplatin enhances drug efficacy by altering the cellular response. Metallomics 2016, 8, 672–678. [Google Scholar] [CrossRef]
- Neumann, W.; Crews, B.C.; Marnett, L.J.; Hey-Hawkins, E. Conjugates of Cisplatin and Cyclooxygenase Inhibitors as Potent Antitumor Agents Overcoming Cisplatin Resistance. ChemMedChem 2014, 9, 1150–1153. [Google Scholar] [CrossRef]
- Neumann, W.; Crews, B.C.; Sarosi, M.B.; Daniel, C.M.; Ghebreselasie, K.; Scholz, M.S.; Marnett, L.J.; Hey-Hawkins, E. Conjugation of Cisplatin Analogues and Cyclooxygenase Inhibitors to Overcome Cisplatin Resistance. ChemMedChem 2015, 10, 183–192. [Google Scholar] [CrossRef]
- Curci, A.; Denora, N.; Iacobazzi, R.M.; Ditaranto, N.; Hoeschele, J.D.; Margiotta, N.; Natile, G. Synthesis, characterization, and in vitro cytotoxicity of a Kiteplatin-Ibuprofen Pt(IV) prodrug. Inorg. Chim. Acta 2018, 472, 221–228. [Google Scholar] [CrossRef]
- Tan, J.J.; Li, C.; Wang, Q.; Li, S.Y.; Chen, S.Z.; Zhang, J.C.; Wang, P.C.; Ren, L.; Liang, X.J. A Carrier-Free Nanostructure Based on Platinum(IV) Prodrug Enhances Cellular Uptake and Cytotoxicity. Mol. Pharm. 2018, 15, 1724–1728. [Google Scholar] [CrossRef]
- Qin, X.D.; Xu, G.; Chen, F.H.; Fang, L.; Gou, S.H. Novel platinum(IV) complexes conjugated with a wogonin derivative as multi-targeted anticancer agents. Bioorg. Med. Chem. 2017, 25, 2507–2517. [Google Scholar] [CrossRef] [PubMed]
- Chen, F.H.; Qin, X.D.; Xu, G.; Gou, S.H.; Jin, X.F. Reversal of cisplatin resistance in human gastric cancer cells by a wogonin-conjugated Pt(IV) prodrug via attenuating Casein Kinase 2-mediated Nuclear Factor-kappa B pathways. Biochem.Pharmacol. 2017, 135, 50–68. [Google Scholar] [CrossRef] [PubMed]
- Maiti, S.; Paira, P. Biotin conjugated organic molecules and proteins for cancer therapy: A review. Eur. J. Med. Chem. 2018, 145, 206–223. [Google Scholar] [CrossRef] [PubMed]
- Hu, W.W.; Fang, L.; Hua, W.Y.; Gou, S.H. Biotin-Pt(IV)-indomethacin hybrid: A targeting anticancer prodrug providing enhanced cancer cellular uptake and reversing cisplatin resistance. J. Inorg. Biochem. 2017, 175, 47–57. [Google Scholar] [CrossRef] [PubMed]
- Tolan, D.A.; Abdel-Monem, Y.K.; El-Nagar, M.A. Anti-tumor platinum(IV) complexes bearing the anti-inflammatory drug naproxen in the axial position. Appl. Organ. Chem. 2019, e4763. [Google Scholar] [CrossRef]
- Cryer, B.; Feldman, M. Cyclooxygenase-1 and cyclooxygenase-2 selectivity of widely used nonsteroidal anti-inflammatory drugs. Am. J. Med. 1998, 104, 413–421. [Google Scholar] [CrossRef]
- Wilson, J.J.; Lippard, S.J. Synthetic Methods for the Preparation of Platinum Anticancer Complexes. Chem. Rev. 2014, 114, 4470–4495. [Google Scholar] [CrossRef] [PubMed]
- Ravera, M.; Gabano, E.; Zanellato, I.; Fregonese, F.; Pelosi, G.; Platts, J.A.; Osella, D. Antiproliferative activity of a series of cisplatin-based Pt(IV)-acetylamido/carboxylato prodrugs. Dalton Trans. 2016, 45, 5300–5309. [Google Scholar] [CrossRef]
- Gabano, E.; Gama, S.; Mendes, F.; Fregonese, F.; Paulo, A.; Ravera, M. Application of microwave-assisted heating to the synthesis of Pt(II) complexes. Inorg. Chim. Acta 2015, 437, 16–19. [Google Scholar] [CrossRef]
- Petruzzella, E.; Chirosca, C.V.; Heidenga, C.S.; Hoeschele, J.D. Microwave-assisted synthesis of the anticancer drug cisplatin, cis-Pt(NH3)2Cl2. Dalton Trans. 2015, 44, 3384–3392. [Google Scholar] [CrossRef]
- Gabano, E.; Ravera, M.; Trivero, F.; Tinello, S.; Gallina, A.; Zanellato, I.; Gariboldi, M.B.; Monti, E.; Osella, D. The cisplatin-based Pt(IV)-diclorofibrato multi-action anticancer prodrug exhibits excellent performances also under hypoxic conditions. Dalton Trans. 2018, 47, 8268–8282. [Google Scholar] [CrossRef] [PubMed]
- Gabano, E.; Ravera, M.; Perin, E.; Zanellato, I.; Rangone, B.; McGlinchey, M.J.; Osella, D. Synthesis and characterization of cyclohexane-1R,2R-diamine-based Pt(IV) dicarboxylato anticancer prodrugs: Their selective activity against human colon cancer cell lines. Dalton Trans. 2019, 48, 435–445. [Google Scholar] [CrossRef] [PubMed]
- Liu, X.; Testa, B.; Fahr, A. Lipophilicity and Its Relationship with Passive Drug Permeation. Pharm. Res. 2011, 28, 962–977. [Google Scholar] [CrossRef] [PubMed]
- Lin, X.L.; Hefesha, H.; Scriba, G.; Fahr, A. Retention behavior of neutral and positively and negatively charged solutes on an immobilized-artificial-membrane (IAM) stationary phase. Helvet. Chim. Acta 2008, 91, 1505–1512. [Google Scholar] [CrossRef]
- Nemirovski, A.; Kasherman, Y.; Tzaraf, Y.; Gibson, D. Reduction of cis,trans,cis-PtCl2(OCOCH3)2(NH3)2 by aqueous extracts of cancer cells. J. Med. Chem. 2007, 50, 5554–5556. [Google Scholar] [CrossRef] [PubMed]
- Gabano, E.; Ravera, M.; Zanellato, I.; Tinello, S.; Gallina, A.; Rangone, B.; Gandin, V.; Marzano, C.; Bottone, M.G.; Osella, D. An unsymmetric cisplatin-based Pt(IV) derivative containing 2-(2-propynyl) octanoate: A very efficient multi-action antitumor prodrug candidate. Dalton Trans. 2017, 46, 14174–14185. [Google Scholar] [CrossRef] [PubMed]
- Ronconi, L.; Sadler, P.J. Applications of heteronuclear NMR spectroscopy in biological and medicinal inorganic chemistry. Coord. Chem. Rev. 2008, 252, 2239–2277. [Google Scholar] [CrossRef]
- Davies, M.S.; Hall, M.D.; Berners-Price, S.J.; Hambley, T.W. 1H, 15N heteronuclear single quantum coherence NMR study of the mechanism of aquation of platinum(IV) ammine complexes. Inorg. Chem. 2008, 47, 7673–7680. [Google Scholar] [CrossRef]
- Catalano, A.; Graciotti, L.; Rinaldi, L.; Raffaelli, G.; Rodilosso, S.; Betta, P.; Gianni, W.; Amoroso, S.; Procopio, A. Reclinical evaluation of the nonsteroidal anti-inflammatory agent celecoxib on malignant mesothelioma chemoprevention. Int. J. Cancer 2004, 109, 322–328. [Google Scholar] [CrossRef]
- Livak, K.J.; Schmittgen, T.D. Analysis of relative gene expression data using real-time quantitative PCR and the 2−ΔΔC method. Methods 2001, 25, 402–408. [Google Scholar] [CrossRef]
- Nolan, T.; Hands, R.E.; Bustin, S.A. Quantification of mRNA using real-time RT-PCR. Nat. Protocols 2006, 1, 1559–1582. [Google Scholar] [CrossRef] [PubMed]
- Chou, T.C.; Talalay, P. Quantitative analysis of dose-effect relationships: The combined effects of multiple drugs or enzyme inhibitors. Adv. Enzyme Regul. 1984, 22, 27–55. [Google Scholar] [CrossRef]
- Chou, T.-C. Theoretical basis, experimental design, and computerized simulation of synergism and antagonism in drug combination studies. Pharmacol. Rev. 2006, 58, 621–681. [Google Scholar] [CrossRef] [PubMed]
- Chou, T.C. Drug Combination Studies and Their Synergy Quantification Using the Chou-Talalay Method. Cancer Res. 2010, 70, 440–446. [Google Scholar] [CrossRef] [PubMed]
- Lindauer, E.; Holler, E. Cellular distribution and cellular reactivity of platinum(II) complexes. Biochem. Pharmacol.y 1996, 52, 7–14. [Google Scholar] [CrossRef]
- Alessio, M.; Zanellato, I.; Bonarrigo, I.; Gabano, E.; Ravera, M.; Osella, D. Antiproliferative activity of Pt(IV)-bis(carboxylato) conjugates on malignant pleural mesothelioma cells. J. Inorg. Biochem. 2013, 129, 52–57. [Google Scholar] [CrossRef] [PubMed]
- Raveendran, R.; Braude, J.P.; Wexselblatt, E.; Novohradsky, V.; Stuchlikova, O.; Brabec, V.; Gandin, V.; Gibson, D. Pt(IV) derivatives of cisplatin and oxaliplatin with phenylbutyrate axial ligands are potent cytotoxic agents that act by several mechanisms of action. Chem. Sci. 2016, 7, 2381–2391. [Google Scholar] [CrossRef] [PubMed]
- Singh, R.; Letai, A.; Sarosiek, K. Regulation of apoptosis in health and disease: The balancing act of BCL-2 family proteins. Nat. Rev. Mol. Cell Biol. 2019, 20, 175–193. [Google Scholar] [CrossRef] [PubMed]
- Baek, S.J.; Kim, J.S.; Moore, S.M.; Lee, S.H.; Martinez, J.; Eling, T.E. Cyclooxygenase inhibitors induce the expression of the tumor suppressor gene EGR-1, which results in the up-regulation of NAG-1, an antitumorigenic protein. Mol. Pharmacol. 2005, 67, 356–364. [Google Scholar] [CrossRef]
- Baek, S.J.; Kim, K.S.; Nixon, J.B.; Wilson, L.C.; Eling, T.E. Cyclooxygenase inhibitors regulate the expression of a TGF-beta superfamily member that has proapoptotic and antitumorigenic activities. Mol. Pharmacol. 2001, 59, 901–908. [Google Scholar] [CrossRef]
- Iczkowski, K.A.; Pantazis, C.G. Overexpression of NSAID-activated gene product in prostate cancer. Int. J. Surg. Pathol. 2003, 11, 159–166. [Google Scholar] [CrossRef] [PubMed]
- Iguchi, G.; Chrysovergis, K.; Lee, S.H.; Baek, S.J.; Langenbach, R.; Eling, T.E. A reciprocal relationship exists between non-steroidal anti-inflammatory drug-activated gene-1 (NAG-1) and cyclooxygenase-2. Cancer Lett. 2009, 282, 152–158. [Google Scholar] [CrossRef] [PubMed]
- Baek, S.J.; Wilson, L.C.; Lee, C.H.; Eling, T.E. Dual function of nonsteroidal anti-inflammatory drugs (NSAIDs): Inhibition of cyclooxygenase and induction of NSAID-activated gene. J. Pharmacol. Exp. Therap. 2002, 301, 1126–1131. [Google Scholar] [CrossRef] [PubMed]
- Wilson, L.C.; Baek, S.J.; Call, A.; Eling, T.E. Nonsteroidal anti-inflammatory drug-activated gene (NAG-1) is induced by genistein through the expression of p53 in colorectal cancer cells. Int. J. Cancer 2003, 105, 747–753. [Google Scholar] [CrossRef] [PubMed]
- Eling, T.E.; Baek, S.J.; Shim, M.; Lee, C.H. NSAID activated gene (NAG-1), a modulator of tumorigenesis. J. Biochem. Mol. Biol. 2006, 39, 649–655. [Google Scholar] [CrossRef]
- Parfenova, H.; Parfenov, V.N.; Shlopov, B.V.; Levine, V.; Falkos, S.; Pourcyrous, M.; Leffler, C.W. Dynamics of nuclear localization sites for COX-2 in vascular endothelial cells. Am. J. Physiol. Cell Physiol. 2001, 281, C166–C178. [Google Scholar] [CrossRef] [PubMed]
- Yamashita, M.; Tsuji, S.; Nishiyama, A.; Myrvik, Q.N.; Henriksen, R.A.; Shibata, Y. Differential subcellular localization of COX-2 in macrophages phagocytosing heat-killed Mycobacterium bovis BCG. Am. J. Physiol. Cell Physiol. 2007, 293, C184–C190. [Google Scholar] [CrossRef]
- Ravera, M.; Gabano, E.; Tinello, S.; Zanellato, I.; Osella, D. May glutamine addiction drive the delivery of antitumor cisplatin-based Pt(IV) prodrugs? J. Inorg. Biochem. 2017, 167, 27–35. [Google Scholar] [CrossRef]
- Ermondi, G.; Caron, G.; Ravera, M.; Gabano, E.; Bianco, S.; Platts, J.A.; Osella, D. Molecular interaction fields vs. quantum-mechanical-based descriptors in the modelling of lipophilicity of platinum(iv) complexes. Dalton Trans. 2013, 42, 3482–3489. [Google Scholar] [CrossRef]
- Platts, J.A.; Ermondi, G.; Caron, G.; Ravera, M.; Gabano, E.; Gaviglio, L.; Pelosi, G.; Osella, D. Molecular and statistical modeling of reduction peak potential and lipophilicity of platinum(IV) complexes. J. Biol. Inorg. Chem. 2011, 16, 361–372. [Google Scholar] [CrossRef]
- Ravera, M.; Gabano, E.; Bianco, S.; Ermondi, G.; Caron, G.; Vallaro, M.; Pelosi, G.; Zanellato, I.; Bonarrigo, I.; Cassino, C.; et al. Host-guest inclusion systems of Pt(IV)-bis(benzoato) anticancer drug candidates and cyclodextrins. Inorg. Chim. Acta 2015, 432, 115–127. [Google Scholar] [CrossRef]
- Ravera, M.; Gabano, E.; Zanellato, I.; Ilaria, B.; Alessio, M.; Arnesano, F.; Galliani, A.; Natile, G.; Osella, D. Cellular trafficking, accumulation and DNA platination of a series of cisplatin-based dicarboxylato Pt(IV) prodrugs. J. Inorg. Biochem. 2015, 150, 1–8. [Google Scholar] [CrossRef] [PubMed]








| Compounds | log k’ | IC50 (μM) | |||||
|---|---|---|---|---|---|---|---|
| A-549 | HT-29 | HCT 116 | MSTO-211H | SW480 | A2780 | ||
| cisplatin | −0.50 | 3.60 ± 0.90 | 2.72 ± 0.39 | 3.05 ±0.28 | 1.33 ± 0.35 | 2.27 ± 0.12 | 0.460 ± 0.110 |
| oxaliplatin | −0.28 | 0.74 ± 0.25 | 0.92 ± 0.08 | 1.16 ± 0.09 | 1.01 ± 0.55 | 0.48 ± 0.02 | 0.171 ± 0.008 |
| aspirin | −0.08 | 1672 ± 152 | 2835 ± 885 | 2578 ± 772 | 639 ± 374 | 1607 ± 386 | 1597 ± 455 |
| ketoprofen | 0.40 | 725 ± 69 | 828 ± 229 | 984 ± 179 | 518 ± 296 | 830 ± 173 | 676 ± 36 |
| naproxen | 0.50 | 701±28 | 764 ± 158 | 640 ± 91 | 427 ± 159 | 927 ± 257 | 353 ± 64 |
| asplatin, 1 | −0.32 | 6.4 ± 2.7 (0.56) | 4.42 ± 0.21 (0.62) | 1.50 ± 0.083 (2.0) | 1.74 ± 0.21 (0.75) | 0.217 ± 0.07 (1.1) | 0.552 ± 0.123 (0.83) |
| 2 | 0.14 | 0.825 ± 0.388 (4.4) | 0.486 ± 0.235 (5.6) | 0.184 ± 0.088 (17) | 0.198 ± 0.035 (6.7) | 0.0948 ± 0.023 (24) | 0.063 ± 0.033 (7.3) |
| 3 | 0.18 | 0.486 ± 0.075 (7.4) | 0.313 ± 0.186 (8.7) | 0.149 ± 0.076 (20) | 0.161 ± 0.040 (8.3) | 0.0844 ± 0.0287 (27) | 0.045 ± 0.016 (10) |
© 2019 by the authors. Licensee MDPI, Basel, Switzerland. This article is an open access article distributed under the terms and conditions of the Creative Commons Attribution (CC BY) license (http://creativecommons.org/licenses/by/4.0/).
Share and Cite
Ravera, M.; Zanellato, I.; Gabano, E.; Perin, E.; Rangone, B.; Coppola, M.; Osella, D. Antiproliferative Activity of Pt(IV) Conjugates Containing the Non-Steroidal Anti-Inflammatory Drugs (NSAIDs) Ketoprofen and Naproxen †. Int. J. Mol. Sci. 2019, 20, 3074. https://doi.org/10.3390/ijms20123074
Ravera M, Zanellato I, Gabano E, Perin E, Rangone B, Coppola M, Osella D. Antiproliferative Activity of Pt(IV) Conjugates Containing the Non-Steroidal Anti-Inflammatory Drugs (NSAIDs) Ketoprofen and Naproxen †. International Journal of Molecular Sciences. 2019; 20(12):3074. https://doi.org/10.3390/ijms20123074
Chicago/Turabian StyleRavera, Mauro, Ilaria Zanellato, Elisabetta Gabano, Elena Perin, Beatrice Rangone, Marco Coppola, and Domenico Osella. 2019. "Antiproliferative Activity of Pt(IV) Conjugates Containing the Non-Steroidal Anti-Inflammatory Drugs (NSAIDs) Ketoprofen and Naproxen †" International Journal of Molecular Sciences 20, no. 12: 3074. https://doi.org/10.3390/ijms20123074
APA StyleRavera, M., Zanellato, I., Gabano, E., Perin, E., Rangone, B., Coppola, M., & Osella, D. (2019). Antiproliferative Activity of Pt(IV) Conjugates Containing the Non-Steroidal Anti-Inflammatory Drugs (NSAIDs) Ketoprofen and Naproxen †. International Journal of Molecular Sciences, 20(12), 3074. https://doi.org/10.3390/ijms20123074

