Analysis of the TP53 Deleterious Single Nucleotide Polymorphisms Impact on Estrogen Receptor Alpha-p53 Interaction: A Machine Learning Approach
Abstract
1. Introduction
2. Results
2.1. Modeling the p53 Full-Length Protein Structure
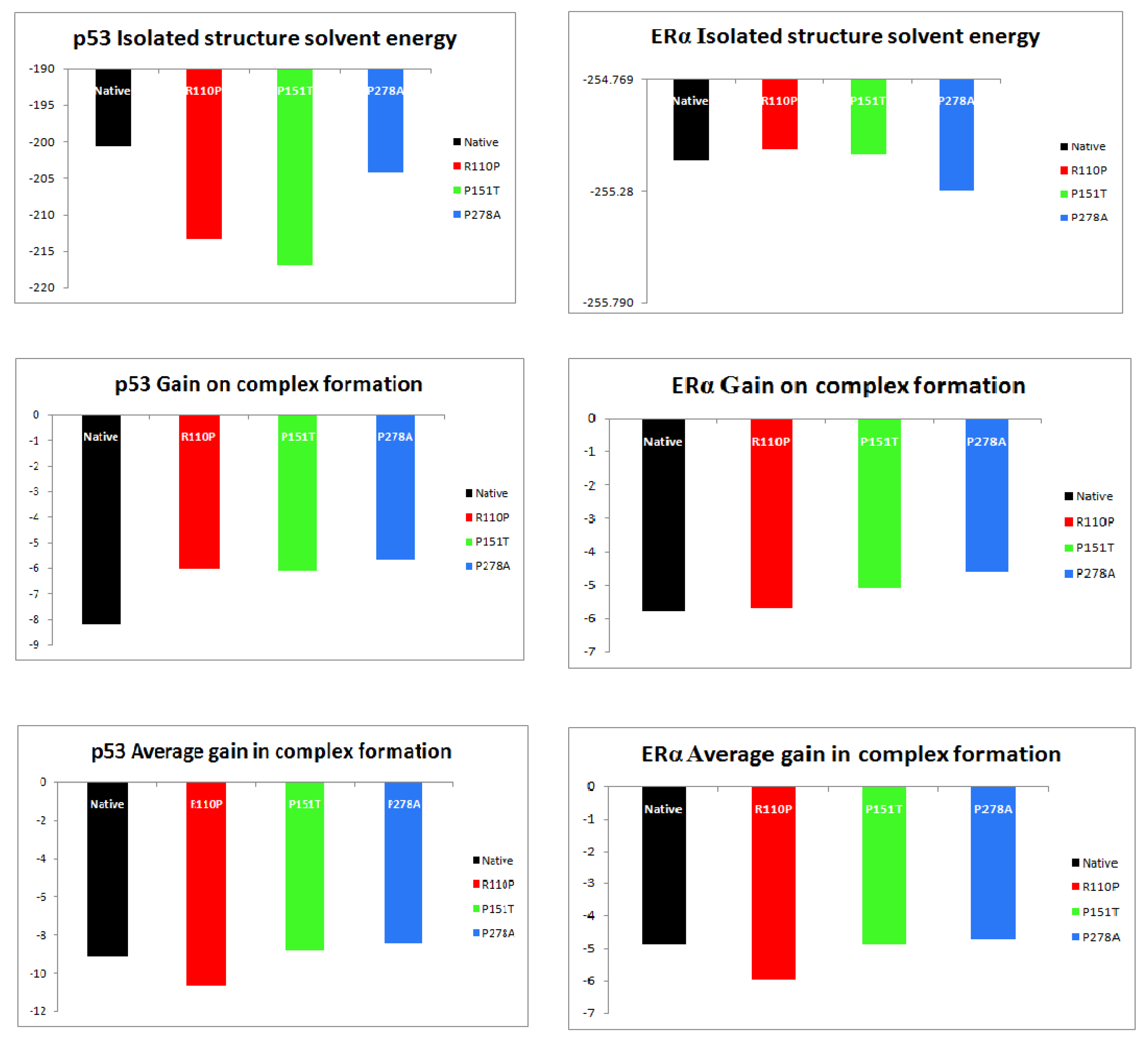
2.2. Impact of p53 Mutants on p53–ERα Interaction
2.3. Artificial Neural Network Analysis
3. Materials and Methods
3.1. Full-Length Structure of p53
3.2. Structure of ERα and Interaction of p53–ERα
3.3. Machine Learning Approach
4. Discussion
5. Conclusions
Author Contributions
Funding
Conflicts of Interest
References
- Hortobagyi, G.N.; de la Garza Salazar, J.; Pritchard, K.; Amadori, D.; Haidinger, R.; Hudis, C.A.; Khaled, H.; Liu, M.C.; Martin, M.; Namer, M.; et al. The global breast cancer burden: Variations in epidemiology and survival. Clin. Breast Cancer 2005, 6, 391–401. [Google Scholar] [CrossRef] [PubMed]
- Porter, P. “Westernizing” women’s risks? Breast cancer in lower-income countries. N. Engl. J. Med. 2008, 358, 213–216. [Google Scholar] [CrossRef] [PubMed]
- Anderson, B.O.; Jakesz, R. Breast cancer issues in developing countries: An overview of the Breast Health Global Initiative. World J. Surg. 2008, 32, 2578–2585. [Google Scholar] [CrossRef] [PubMed]
- Green, M.; Raina, V. Epidemiology, screening and diagnosis of breast cancer in the Asia–Pacific region: Current perspectives and important considerations. Asia–Pac. J. Clin. Oncol. 2008, 4, S5–S13. [Google Scholar] [CrossRef]
- Agarwal, G.; Ramakant, P. Breast Cancer Care in India: The Current Scenario and the Challenges for the Future. Breast Care 2008, 3, 21–27. [Google Scholar] [CrossRef] [PubMed]
- Singletary, S.E. Rating the risk factors for breast cancer. Ann. Surg. 2003, 237, 474–482. [Google Scholar] [CrossRef] [PubMed]
- Sanchez, A.M.; Flamini, M.I.; Baldacci, C.; Goglia, L.; Genazzani, A.R.; Simoncini, T. Estrogen receptor-alpha promotes breast cancer cell motility and invasion via focal adhesion kinase and N-WASP. Mol. Endocrinol. 2010, 24, 2114–2125. [Google Scholar] [CrossRef]
- Yu, C.P.; Deeb, R.A.; Chu, K.H. Microbial degradation of steroidal estrogens. Chemosphere 2013, 91, 1225–1235. [Google Scholar] [CrossRef]
- Minkin, M.J.; Maamari, R.; Reiter, S. Improved compliance and patient satisfaction with estradiol vaginal tablets in postmenopausal women previously treated with another local estrogen therapy. Int. J. Women’s Health 2013, 5, 133–139. [Google Scholar] [CrossRef]
- Platet, N.; Cathiard, A.M.; Gleizes, M.; Garcia, M. Estrogens and their receptors in breast cancer progression: A dual role in cancer proliferation and invasion. Crit. Rev. Oncol. Hematol. 2004, 51, 55–67. [Google Scholar] [CrossRef]
- Pavao, M.; Traish, A.M. Estrogen receptor antibodies: Specificity and utility in detection, localization and analyses of estrogen receptor alpha and beta. Steroids 2001, 66, 1–16. [Google Scholar] [CrossRef]
- Jiang, X. Harnessing the immune system for the treatment of breast cancer. J. Zhejiang Univ. Sci. B 2014, 15, 1–15. [Google Scholar] [CrossRef] [PubMed]
- Bailey, S.T.; Shin, H.; Westerling, T.; Liu, X.S.; Brown, M. Estrogen receptor prevents p53-dependent apoptosis in breast cancer. Proc. Natl. Acad. Sci. USA 2012, 109, 18060–18065. [Google Scholar] [CrossRef] [PubMed]
- Ross-Innes, C.S.; Stark, R.; Holmes, K.A.; Schmidt, D.; Spyrou, C.; Russell, R.; Massie, C.E.; Vowler, S.L.; Eldridge, M.; Carroll, J.S. Cooperative interaction between retinoic acid receptor-alpha and estrogen receptor in breast cancer. Genes Dev. 2010, 24, 171–182. [Google Scholar] [CrossRef] [PubMed]
- Liu, W.; Konduri, S.D.; Bansal, S.; Nayak, B.K.; Rajasekaran, S.A.; Karuppayil, S.M.; Rajasekaran, A.K.; Das, G.M. Estrogen receptor-alpha binds p53 tumor suppressor protein directly and represses its function. J. Biol. Chem. 2006, 281, 9837–9840. [Google Scholar] [CrossRef] [PubMed]
- Berger, C.E.; Qian, Y.; Liu, G.; Chen, H.; Chen, X. p53, a target of estrogen receptor (ER) alpha, modulates DNA damage-induced growth suppression in ER-positive breast cancer cells. J. Biol. Chem. 2012, 287, 30117–30127. [Google Scholar] [CrossRef] [PubMed]
- Konduri, S.D.; Medisetty, R.; Liu, W.; Kaipparettu, B.A.; Srivastava, P.; Brauch, H.; Fritz, P.; Swetzig, W.M.; Gardner, A.E.; Khan, S.A.; et al. Mechanisms of estrogen receptor antagonism toward p53 and its implications in breast cancer therapeutic response and stem cell regulation. Proc. Natl. Acad. Sci. USA 2010, 107, 15081–15086. [Google Scholar] [CrossRef] [PubMed]
- Liu, W.; Ip, M.M.; Podgorsak, M.B.; Das, G.M. Disruption of estrogen receptor alpha-p53 interaction in breast tumors: A novel mechanism underlying the anti-tumor effect of radiation therapy. Breast Cancer Res. Treat. 2009, 115, 43–50. [Google Scholar] [CrossRef]
- Ratanaphan, A. A DNA Repair BRCA1 Estrogen Receptor and Targeted Therapy in Breast Cancer. Int. J. Mol. Sci. 2012, 13, 14898–14916. [Google Scholar] [CrossRef]
- Chitrala, K.N.; Yeguvapalli, S. Computational screening and molecular dynamic simulation of breast cancer associated deleterious non-synonymous single nucleotide polymorphisms in TP53 gene. PLoS ONE 2014, 9, e104242. [Google Scholar] [CrossRef]
- Rumelhart, D.E.; Hinton, G.E.; Williams, R.J. Learning representations by back-propagating errors. Nature 1986, 323, 533–536. [Google Scholar] [CrossRef]
- Viadiu, H. Molecular architecture of tumor suppressor p53. Curr. Top. Med. Chem. 2008, 8, 1327–1334. [Google Scholar] [CrossRef]
- Apweiler, R.; Bairoch, A.; Wu, C.H.; Barker, W.C.; Boeckmann, B.; Ferro, S.; Gasteiger, E.; Huang, H.; Lopez, R.; Magrane, M.; et al. UniProt: The Universal Protein knowledgebase. Nucleic Acids Res. 2004, 32, D115–D119. [Google Scholar] [CrossRef] [PubMed]
- Lindahl, E.; Azuara, C.; Koehl, P.; Delarue, M. NOMAD-Ref: Visualization, deformation and refinement of macromolecular structures based on all-atom normal mode analysis. Nucleic Acids Res. 2006, 34, W52–W56. [Google Scholar] [CrossRef]
- Dykstra, K.D.; Guo, L.; Birzin, E.T.; Chan, W.; Yang, Y.T.; Hayes, E.C.; DaSilva, C.A.; Pai, L.Y.; Mosley, R.T.; Kraker, B.; et al. Estrogen receptor ligands. Part 16: 2-Aryl indoles as highly subtype selective ligands for ERalpha. Bioorg. Med. Chem. Lett. 2007, 17, 2322–2328. [Google Scholar] [CrossRef] [PubMed]
- Chen, R.; Li, L.; Weng, Z. ZDOCK: An initial-stage protein-docking algorithm. Proteins 2003, 52, 80–87. [Google Scholar] [CrossRef]
- PyMol, version 0.99; DeLano Scientific: San Carlos, CA, USA, 2006.
- Krissinel, E.; Henrick, K. Inference of macromolecular assemblies from crystalline state. J. Mol. Biol. 2007, 372, 774–797. [Google Scholar] [CrossRef]
- Mani, S.; Chen, Y.; Li, X.; Arlinghaus, L.; Chakravarthy, A.B.; Abramson, V.; Bhave, S.R.; Levy, M.A.; Xu, H.; Yankeelov, T.E. Machine learning for predicting the response of breast cancer to neoadjuvant chemotherapy. J. Am. Med. Inform. Assoc. 2013, 20, 688–695. [Google Scholar] [CrossRef]
- Kamada, M.; Sakuma, Y.; Hayashida, M.; Akutsu, T. Prediction of protein-protein interaction strength using domain features with supervised regression. Sci. World J. 2014, 2014, 240673. [Google Scholar] [CrossRef] [PubMed]
- van Vugt, M.K. Ballet as a movement-based contemplative practice? Implications for neuroscientific studies. Front. Hum. Neurosci. 2014, 8, 513. [Google Scholar] [CrossRef] [PubMed][Green Version]
- Chatterjee, P.; Basu, S.; Kundu, M.; Nasipuri, M.; Plewczynski, D. PPI_SVM: Prediction of protein-protein interactions using machine learning, domain-domain affinities and frequency tables. Cell. Mol. Biol. Lett. 2011, 16, 264–278. [Google Scholar] [CrossRef] [PubMed]
- Hall, M.; Frank, E.; Holmes, G.; Pfahringer, B.; Reutemann, P.; Witten, I.H. The WEKA Data Mining Software: An Update. Sigkdd Explor. 2009, 11. [Google Scholar] [CrossRef]
- Nagini, S. Breast Cancer: Current Molecular Therapeutic Targets and New Players. Anti-Cancer Agents Med. Chem. 2017, 17, 152–163. [Google Scholar] [CrossRef]
- Mahdavi, M.; Nassiri, M.; Kooshyar, M.M.; Vakili-Azghandi, M.; Avan, A.; Sandry, R.; Pillai, S.; Lam, A.K.; Gopalan, V. Hereditary breast cancer; Genetic penetrance and current status with BRCA. J. Cell. Physiol. 2018. [Google Scholar] [CrossRef] [PubMed]
- Shiovitz, S.; Korde, L.A. Genetics of breast cancer: A topic in evolution. Ann. Oncol. 2015, 26, 1291–1299. [Google Scholar] [CrossRef] [PubMed]
- Bertheau, P.; Lehmann-Che, J.; Varna, M.; Dumay, A.; Poirot, B.; Porcher, R.; Turpin, E.; Plassa, L.F.; de Roquancourt, A.; Bourstyn, E.; et al. p53 in breast cancer subtypes and new insights into response to chemotherapy. Breast 2013, 22, S27–S29. [Google Scholar] [CrossRef] [PubMed]
- Xu, J.; Reumers, J.; Couceiro, J.R.; De Smet, F.; Gallardo, R.; Rudyak, S.; Cornelis, A.; Rozenski, J.; Zwolinska, A.; Marine, J.C.; et al. Gain of function of mutant p53 by coaggregation with multiple tumor suppressors. Nat. Chem. Biol. 2011, 7, 285–295. [Google Scholar] [CrossRef]
- Wang, B.; Niu, D.; Lam, T.H.; Xiao, Z.; Ren, E.C. Mapping the p53 transcriptome universe using p53 natural polymorphs. Cell Death Differ. 2014, 21, 521–532. [Google Scholar] [CrossRef]
- Cao, A.Y.; Huang, J.; Hu, Z.; Li, W.F.; Ma, Z.L.; Tang, L.L.; Zhang, B.; Su, F.X.; Zhou, J.; Di, G.H.; et al. Mutation analysis of BRIP1/BACH1 in BRCA1/BRCA2 negative Chinese women with early onset breast cancer or affected relatives. Breast Cancer Res. Treat. 2009, 115, 51–55. [Google Scholar] [CrossRef]
- Maxwell, K.N.; Wubbenhorst, B.; D’Andrea, K.; Garman, B.; Long, J.M.; Powers, J.; Rathbun, K.; Stopfer, J.E.; Zhu, J.; Bradbury, A.R.; et al. Prevalence of mutations in a panel of breast cancer susceptibility genes in BRCA1/2-negative patients with early-onset breast cancer. Genet. Med. 2015, 17, 630–638. [Google Scholar] [CrossRef]
- Kastenhuber, E.R.; Lowe, S.W. Putting p53 in Context. Cell 2017, 170, 1062–1078. [Google Scholar] [CrossRef]
- Fernandez-Fernandez, M.R.; Sot, B. The relevance of protein-protein interactions for p53 function: The CPE contribution. Protein Eng. Des. Sel. 2011, 24, 41–51. [Google Scholar] [CrossRef] [PubMed]
- Brady, C.A.; Attardi, L.D. p53 at a glance. J. Cell Sci. 2010, 123, 2527–2532. [Google Scholar] [CrossRef]
- Sayeed, A.; Konduri, S.D.; Liu, W.; Bansal, S.; Li, F.; Das, G.M. Estrogen receptor alpha inhibits p53-mediated transcriptional repression: Implications for the regulation of apoptosis. Cancer Res. 2007, 67, 7746–7755. [Google Scholar] [CrossRef] [PubMed]
- Joerger, A.C.; Fersht, A.R. The tumor suppressor p53: From structures to drug discovery. Cold Spring Harb. Perspect. Biol. 2010, 2, a000919. [Google Scholar] [CrossRef] [PubMed]
- Herzog, G.; Joerger, A.C.; Shmueli, M.D.; Fersht, A.R.; Gazit, E.; Segal, D. Evaluating Drosophila p53 as a model system for studying cancer mutations. J. Biol. Chem. 2012, 287, 44330–44337. [Google Scholar] [CrossRef] [PubMed]
- Pagano, B.; Jama, A.; Martinez, P.; Akanho, E.; Bui, T.T.; Drake, A.F.; Fraternali, F.; Nikolova, P.V. Structure and stability insights into tumour suppressor p53 evolutionary related proteins. PLoS ONE 2013, 8, e76014. [Google Scholar] [CrossRef]
- Hwang, L.A.; Phang, B.H.; Liew, O.W.; Iqbal, J.; Koh, X.H.; Koh, X.Y.; Othman, R.; Xue, Y.; Richards, A.M.; Lane, D.P.; et al. Monoclonal Antibodies against Specific p53 Hotspot Mutants as Potential Tools for Precision Medicine. Cell Rep. 2018, 22, 299–312. [Google Scholar] [CrossRef]
- Burley, S.K.; Berman, H.M.; Kleywegt, G.J.; Markley, J.L.; Nakamura, H.; Velankar, S. Protein Data Bank (PDB): The Single Global Macromolecular Structure Archive. Methods Mol. Biol. 2017, 1607, 627–641. [Google Scholar]
- Divekar, S.D.; Storchan, G.B.; Sperle, K.; Veselik, D.J.; Johnson, E.; Dakshanamurthy, S.; Lajiminmuhip, Y.N.; Nakles, R.E.; Huang, L.; Martin, M.B. The role of calcium in the activation of estrogen receptor-alpha. Cancer Res. 2011, 71, 1658–1668. [Google Scholar] [CrossRef]
- Shanle, E.K.; Xu, W. Selectively targeting estrogen receptors for cancer treatment. Adv. Drug Deliv. Rev. 2010, 62, 1265–1276. [Google Scholar] [CrossRef] [PubMed]
- Nykanen, M.; Kuopio, T. Protein and gene expression of estrogen receptor alpha and nuclear morphology of two breast cancer cell lines after different fixation methods. Exp. Mol. Pathol. 2010, 88, 265–271. [Google Scholar] [CrossRef] [PubMed]
- Li, R.; He, P.; Cui, J.; Staufenbiel, M.; Harada, N.; Shen, Y. Brain endogenous estrogen levels determine responses to estrogen replacement therapy via regulation of BACE1 and NEP in female Alzheimer’s transgenic mice. Mol. Neurobiol. 2013, 47, 857–867. [Google Scholar] [CrossRef] [PubMed]
- Abbasi, S.; Rasouli, M.; Nouri, M.; Kalbasi, S. Association of estrogen receptor-alpha A908G (K303R) mutation with breast cancer risk. Int. J. Clin. Exp. Med. 2013, 6, 39–49. [Google Scholar] [PubMed]
- Barone, I.; Iacopetta, D.; Covington, K.R.; Cui, Y.; Tsimelzon, A.; Beyer, A.; Ando, S.; Fuqua, S.A. Phosphorylation of the mutant K303R estrogen receptor alpha at serine 305 affects aromatase inhibitor sensitivity. Oncogene 2010, 29, 2404–2414. [Google Scholar] [CrossRef] [PubMed]
- Onland-Moret, N.C.; van Gils, C.H.; Roest, M.; Grobbee, D.E.; Peeters, P.H. The estrogen receptor alpha gene and breast cancer risk (The Netherlands). Cancer Causes Control. 2005, 16, 1195–1202. [Google Scholar] [CrossRef] [PubMed]
- Girault, I.; Bieche, I.; Lidereau, R. Role of estrogen receptor alpha transcriptional coregulators in tamoxifen resistance in breast cancer. Maturitas 2006, 54, 342–351. [Google Scholar] [CrossRef]
- Gao, M.; Skolnick, J. Structural space of protein-protein interfaces is degenerate, close to complete, and highly connected. Proc. Natl. Acad. Sci. USA 2010, 107, 22517–22522. [Google Scholar] [CrossRef] [PubMed]
- Lins, L.; Thomas, A.; Brasseur, R. Analysis of accessible surface of residues in proteins. Protein Sci. 2003, 12, 1406–1417. [Google Scholar] [CrossRef]
- Xu, D.; Tsai, C.J.; Nussinov, R. Hydrogen bonds and salt bridges across protein-protein interfaces. Protein Eng. 1997, 10, 999–1012. [Google Scholar] [CrossRef]
- Deo, R.C. Machine Learning in Medicine. Circulation 2015, 132, 1920–1930. [Google Scholar] [CrossRef] [PubMed]
- Montazeri, M.; Montazeri, M.; Montazeri, M.; Beigzadeh, A. Machine learning models in breast cancer survival prediction. Technol. Health Care 2016, 24, 31–42. [Google Scholar] [CrossRef] [PubMed]
- Nahid, A.A.; Kong, Y. Involvement of Machine Learning for Breast Cancer Image Classification: A Survey. Comput. Math. Methods Med. 2017, 2017, 3781951. [Google Scholar] [CrossRef] [PubMed]
- Toprak, A. Extreme Learning Machine (ELM)-Based Classification of Benign and Malignant Cells in Breast Cancer. Med. Sci. Monit. 2018, 24, 6537–6543. [Google Scholar] [CrossRef] [PubMed]
- Smith, T.C.; Frank, E. Introducing Machine Learning Concepts with WEKA. Methods Mol. Biol. 2016, 1418, 353–378. [Google Scholar]






| Domain Name | PDB ID: Chain Name |
|---|---|
| Transactivation domain | 2LY4:B, 2GS0:B |
| DNA binding domain | 2OCJ:A,1TSR:A |
| Tetramerization domain | 1OLG:A, 1C26:A |
| Regulatory domain | 1DT7:X, 2H4J:D, 1JSP:A |
| Attribute | Variable Type | Value Range |
|---|---|---|
| Interface atoms (p53) | Numerical (continuous) | (74, 179) |
| Interface atoms (ER) | Numerical (continuous) | (75, 173) |
| Surface atoms (p53) | Numerical (continuous) | (1933, 1999) |
| Surface atoms (ER) | Numerical (continuous) | (1154, 1173) |
| Interface residues (p53) | Numerical (continuous) | (16, 53) |
| Interface residues (ER) | Numerical (continuous) | (20, 44) |
| Surface residues (p53) | Numerical (continuous) | (365, 374) |
| Surface residues (ER) | Numerical (continuous) | (220, 224) |
| Interface SASA (p53) | Numerical (continuous) | (693.5, 1575.2) |
| Interface SASA (ER) | Numerical (continuous) | (694.2, 1521.7) |
| Total SASA (p53) | Numerical (continuous) | (23,820.5, 24,850.6) |
| Total SASA (ER) | Numerical (continuous) | (12,983.1, 13,016.6) |
| Isolated structure Solvent energy (p53) | Numerical (continuous) | (−216.9, −200.6) |
| Isolated structure Solvent energy (ER) | Numerical (continuous) | (−255.9, 254.6) |
| Gain on Complex formation (p53) | Numerical (continuous) | (−10.2, −2.0) |
| Gain on Complex formation (ER) | Numerical (continuous) | (−10.2, 0.1) |
| Average gain in Complex formation (p53) | Numerical (continuous) | (−13.7, −5.9) |
| Average gain in Complex formation (ER) | Numerical (continuous) | (−7.6, −3.3) |
| Number of Hydrogen bonding residues (p53) | Numerical (continuous) | (0, 13) |
| Number of Hydrogen bonding residues (ER) | Numerical (continuous) | (0, 12) |
| Number of Salt bridge residues (p53) | Numerical (continuous) | (0, 5) |
| Number of Salt bridge residues (ER) | Numerical (continuous) | (0, 5) |
| Complex | Categorical (quaternary) | (Native, R110P, P151T, P278A) |
| Attribute | Sub Groups & Ranges | Value Range |
|---|---|---|
| Total SASA (p53) | (Very Low) = 23,820.5 (Low) = < 24,335.55 (Medium) = ≥ 24,335.55 (High) = 24,850.6 | (23,820.5, 24,850.6) |
| Total SASA (ER) | (Very Low) = 12,983.1 (Low) = < 12,999.85 (Medium) = ≥ 12,999.85 (High) = 13,016.6 | (12,983.1, 13,016.6) |
| Average gain in Complex formation (p53) | (Very Low) = −13.7 (Low) = < −9.8 (Medium) = ≥ −9.8 (High) = −5.9 | (−13.7, −5.9) |
| Average gain in Complex formation (ER) | (Very Low) = −7.6 (Low) = < −5.45 (Medium) = ≥ −5.45 (High) = −3.3 | (−7.6, −3.3) |
| Number of Hydrogen bonding residues (p53) | (None) = 0 (Low) = < 6 (Medium) = ≥ 6 (High) = 13 | (0, 13) |
| Number of Hydrogen bonding residues (ER) | (None) = 0 (Low) = < 6 (Medium) = ≥ 6 (High) = 12 | (0, 12) |
| Number of Salt bridge residues (p53) | (None) = 0 (Low) = < 2 (Medium) = ≥ 2 (High) = 5 | (0, 5) |
| Number of Salt bridge residues (ER) | (None) = 0 (Low) = < 2 (Medium) = ≥ 2 (High) = 5 | (0, 5) |
© 2019 by the authors. Licensee MDPI, Basel, Switzerland. This article is an open access article distributed under the terms and conditions of the Creative Commons Attribution (CC BY) license (http://creativecommons.org/licenses/by/4.0/).
Share and Cite
Chitrala, K.N.; Nagarkatti, M.; Nagarkatti, P.; Yeguvapalli, S. Analysis of the TP53 Deleterious Single Nucleotide Polymorphisms Impact on Estrogen Receptor Alpha-p53 Interaction: A Machine Learning Approach. Int. J. Mol. Sci. 2019, 20, 2962. https://doi.org/10.3390/ijms20122962
Chitrala KN, Nagarkatti M, Nagarkatti P, Yeguvapalli S. Analysis of the TP53 Deleterious Single Nucleotide Polymorphisms Impact on Estrogen Receptor Alpha-p53 Interaction: A Machine Learning Approach. International Journal of Molecular Sciences. 2019; 20(12):2962. https://doi.org/10.3390/ijms20122962
Chicago/Turabian StyleChitrala, Kumaraswamy Naidu, Mitzi Nagarkatti, Prakash Nagarkatti, and Suneetha Yeguvapalli. 2019. "Analysis of the TP53 Deleterious Single Nucleotide Polymorphisms Impact on Estrogen Receptor Alpha-p53 Interaction: A Machine Learning Approach" International Journal of Molecular Sciences 20, no. 12: 2962. https://doi.org/10.3390/ijms20122962
APA StyleChitrala, K. N., Nagarkatti, M., Nagarkatti, P., & Yeguvapalli, S. (2019). Analysis of the TP53 Deleterious Single Nucleotide Polymorphisms Impact on Estrogen Receptor Alpha-p53 Interaction: A Machine Learning Approach. International Journal of Molecular Sciences, 20(12), 2962. https://doi.org/10.3390/ijms20122962
