Comparative Analysis of the Chloroplast Genomes of the Chinese Endemic Genus Urophysa and Their Contribution to Chloroplast Phylogeny and Adaptive Evolution
Abstract
1. Introduction
2. Results and Discussion
2.1. Complete Chloroplast Genomes of Three Species
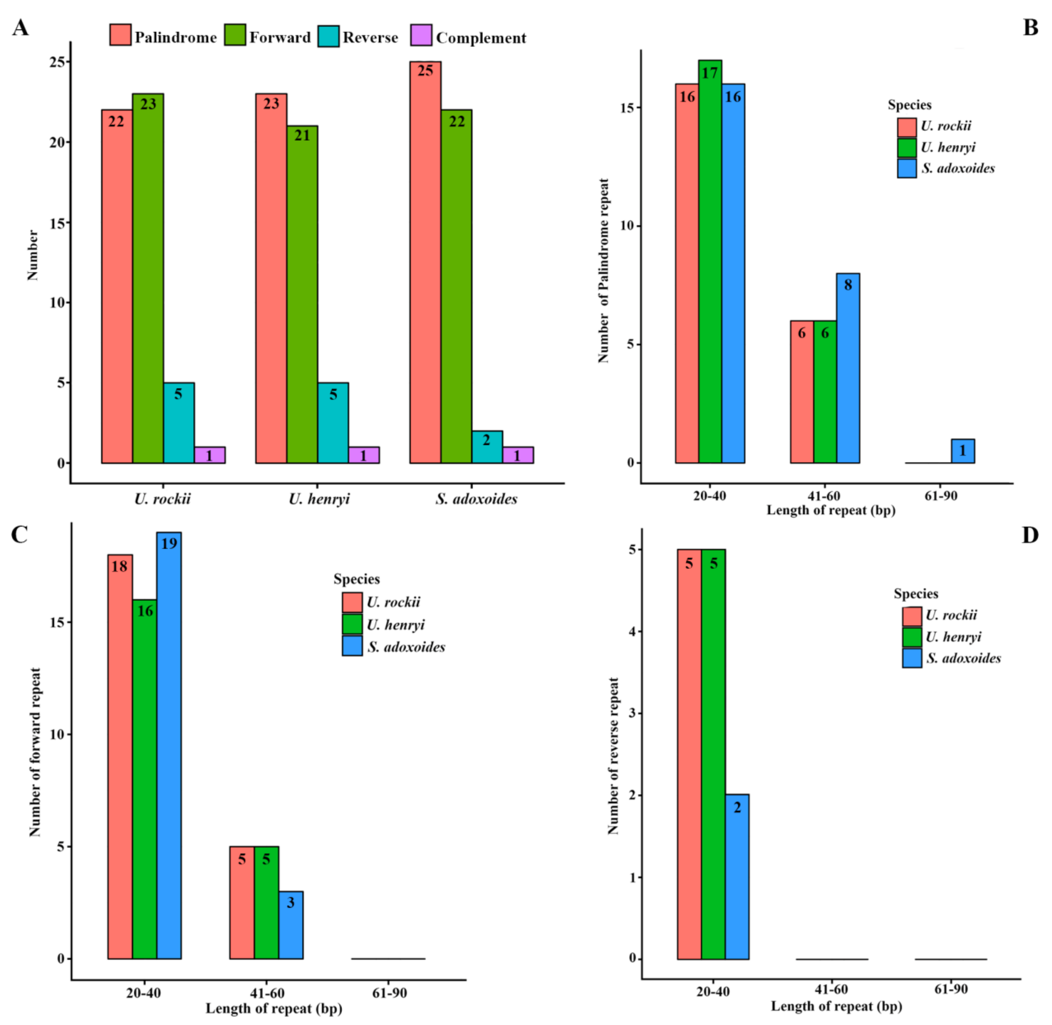
2.2. Repeat Analysis
2.3. Genomes Sequence Divergence among the Three Species
2.4. Phylogenetic Analysis
2.5. Positive Selected Analysis
3. Materials and Methods
3.1. Plant Materials and DNA Extraction
3.2. Chloroplast Genome Sequencing and Assembling
3.3. Genome Annotation and Analysis
3.4. Repeat Sequence Characterization and SSRs
3.5. Phylogenetic Analysis
3.6. Chloroplast Genome Nucleotide Diversity and Positive Selected Analysis
Supplementary Materials
Author Contributions
Funding
Acknowledgments
Conflicts of Interest
References
- Fu, D.Z.; Orbelia, R.R. Flora of China; Science Press: Beijing, China, 2001; Volume 6, pp. 277–278. [Google Scholar]
- Xie, D.F.; Li, M.J.; Tan, J.B.; Price, M.; Xiao, Q.Y.; Zhou, S.D.; He, X.J. Phylogeography and genetic effects of habitat fragmentation on endemic Urophysa (Ranunculaceae) in Yungui Plateau and adjacent regions. PLoS ONE 2017, 12, e0186378. [Google Scholar] [CrossRef] [PubMed]
- Du, B.G.; Zhu, D.Y.; Yang, Y.J.; Shen, J.; Yang, F.L.; Su, Z.Y. Living situation and protection strategies of endangered Urophysa rockii. Jiangsu J. Agri. Sci. 2010, 1, 324–325. [Google Scholar]
- Wang, J.X.; He, X.J.; Xu, W.; Meng, W.K.; Su, Z.Y. Preliminary study on Urophysa rockii. II. Biological characteristics, ecological characteristics and community analysis. J. Sichuan For. Sci. Technol. 2011, 32, 28–39. [Google Scholar]
- Zhang, Y.X.; Hu, H.Y.; He, X.J. Genetic diversity of Urophysa rockii Ulbrich, an endangered and rare species, detected by ISSR. Acta Bot. Boreal.-Occident. Sin. 2013, 33, 1098–1105. [Google Scholar]
- Zhang, Y.X.; Hu, H.Y.; Yang, L.J.; Wang, C.B.; He, X.J. Seed dispersal and germination of an endangered and rare species Urophysa rockii (Ranunculaceae). Acta Bot. Boreal.-Occident. Sin. 2013, 35, 303–309. [Google Scholar]
- Park, M.; Park, H.; Lee, H.; Lee, B.H.; Lee, J. The complete plastome sequence of an antarctic bryophyte Sanionia uncinata (hedw.) loeske. Int. J. Mol. Sci. 2018, 19, 709. [Google Scholar] [CrossRef] [PubMed]
- Dong, W.P.; Liu, H.; Xu, C.; Zuo, Y.J.; Chen, Z.J.; Zhou, S.L. A chloroplast genomic strategy for designing taxon specific DNA mini-barcodes: A case study on ginsengs. BMC Genet. 2014, 15, 138. [Google Scholar] [CrossRef] [PubMed]
- Curci, P.L.; de Paola, D.; Danzi, D.; Vendramin, G.G.; Sonnante, G. Complete chloroplast genome of the multifunctional crop Globe artichoke and comparison with other Asteraceae. PLoS ONE 2015, 10, e0120589. [Google Scholar] [CrossRef] [PubMed]
- Downie, S.R.; Jansen, R.K. A comparative analysis of whole plastid genomes from the Apiales: Expansion and contraction of the inverted repeat, mitochondrial to plastid transfer of DNA, and identification of highly divergent noncoding regions. Syst. Bot. 2015, 40, 336–351. [Google Scholar] [CrossRef]
- Nadachowska-Brzyska, K.; Li, C.; Smeds, L.; Zhang, G.J.; Ellegren, H. Temporal dynamics of avian populations during pleistocene revealed by whole-genome sequences. Curr. Biol. 2015, 25, 1375–1380. [Google Scholar] [CrossRef] [PubMed]
- Suo, Z.L.; Li, W.Y.; Jin, X.B.; Zhang, H.J. A new nuclear DNA marker revealing both microsatellite variations and single nucleotide polymorphic loci: A case study on classification of cultivars in Lagerstroemia indica L. J. Microb. Biochem. Technol. 2016, 8, 266–271. [Google Scholar] [CrossRef]
- Saina, J.K.; Li, Z.Z.; Gichira, A.W.; Liao, Y.Y. The complete chloroplast genome sequence of tree of heaven (Ailanthus altissima (mill.) (Sapindales: Simaroubaceae), an important pantropical tree. Int. J. Mol. Sci. 2018, 19, 929. [Google Scholar] [CrossRef] [PubMed]
- Yurina, N.P.; Odintsova, M.S. Comparative structural organization of plant chloroplast and mitochondrial genomes. Genetika 1998, 34, 5–22. [Google Scholar]
- Jansen, R.K.; Raubeson, L.A.; Boore, J.L.; DePamphilis, C.W.; Chumley, T.W.; Haberle, R.C.; Wyman, S.K.; Alverson, A.; Peery, R.; Herman, S.J.; et al. Methods for obtaining and analyzing whole chloroplast genome sequences. Method Enzymol. 2005, 395, 348–384. [Google Scholar]
- Jansen, R.K.; Ruhlman, T.A. Plastid Genomes of Seed Plants. In Genomics of Chloroplasts and Mitochondria; Bock, R., Knoop, V., Eds.; Springer: Dordrecht, The Netherlands, 2012; pp. 103–126. [Google Scholar]
- Choi, K.S.; Chung, M.G.; Park, S. The complete chloroplast genome sequences of three Veroniceae species (Plantaginaceae): Comparative analysis and highly divergent regions. Front. Plant Sci. 2016, 7, 355. [Google Scholar] [CrossRef] [PubMed]
- Dong, W.L.; Wang, R.N.; Zhang, N.Y.; Fan, W.B.; Fang, M.F.; Li, Z.H. Molecular evolution of chloroplast genomes of orchid species: Insights into phylogenetic relationship and adaptive evolution. Int. J. Mol. Sci. 2018, 19, 716. [Google Scholar] [CrossRef] [PubMed]
- Dong, W.; Liu, J.; Yu, J.; Wang, L.; Zhou, S. Highly variable chloroplast markers for evaluating plant phylogeny at low taxonomic levels and for DNA barcoding. PLoS ONE 2012, 7, e35071. [Google Scholar] [CrossRef] [PubMed]
- Krak, K.; Vít, P.; Belyayev, A.; Douda, J.; Hreusová, L.; Mandák, B. Allopolyploid origin of Chenopodium album s. str. (Chenopodiaceae): A molecular and cytogenetic insight. PLoS ONE 2016, 11, e0161063. [Google Scholar] [CrossRef] [PubMed]
- Smith, D.R. Mutation rates in plastid genomes: They are lower than you might think. Genome Biol. Evol. 2015, 7, 1227–1234. [Google Scholar] [CrossRef] [PubMed]
- Jansen, R.K.; Cai, Z.; Raubeson, L.A.; Daniell, H.; Depamphilis, C.W.; Leebensmack, J.; Müller, K.F.; Guisinger-Bellian, M.; Haberle, R.C.; Chumley, T.W.; et al. Analysis of 81 genes from 64 plastid genomes resolves relationships in angiosperms and identifies genome-scale evolutionary patterns. Proc. Natl. Acad. Sci. USA 2007, 104, 19369–19374. [Google Scholar] [CrossRef] [PubMed]
- Qian, J.; Song, J.; Gao, H.; Zhu, Y.; Xu, J.; Pang, X. The complete chloroplast genome sequence of the medicinal plant Salvia miltiorrhiza. PLoS ONE 2013, 8, e57607. [Google Scholar] [CrossRef] [PubMed]
- Asaf, S.; Waqas, M.; Khan, A.L.; Khan, M.A.; Kang, S.M.; Imran, Q.M.; Shahzad, R.; Bilal, S.; Yun, B.W.; Lee, I.J.; et al. The complete chloroplast genome of wild rice (Oryza minuta) and its comparison to related species. Front. Plant Sci. 2017, 8, 304. [Google Scholar] [CrossRef] [PubMed]
- Gu, C.; Tembrock, L.R.; Zheng, S.; Wu, Z. The complete chloroplast genome of Catha edulis: A comparative analysis of genome features with related species. Int. J. Mol. Sci. 2018, 19, 525. [Google Scholar] [CrossRef] [PubMed]
- Huang, J.; Chen, R.; Li, X. Comparative analysis of the complete chloroplast genome of four known Ziziphus species. Genes 2017, 8, 340. [Google Scholar] [CrossRef] [PubMed]
- Yi, X.; Gao, L.; Wang, B.; Su, Y.J.; Wang, T. The complete chloroplast genome sequence of Cephalotaxus oliveri (Cephalotaxaceae): Evolutionary comparison of Cephalotaxus chloroplast DNAs and insights into the loss of inverted repeat copies in gymnosperms. Genome Biol. Evol. 2013, 5, 688–698. [Google Scholar] [CrossRef] [PubMed]
- Cavalier-Smith, T. Chloroplast evolution: Secondary symbiogenesis and multiple losses. Curr. Biol. 2002, 12, 62–64. [Google Scholar] [CrossRef]
- Asano, T.; Tsudzuki, T.; Takahashi, S.; Shimada, H.; Kadowaki, K. Complete nucleotide sequence of the sugarcane (Saccharum officinarum) chloroplast genome: A comparative analysis of four monocot chloroplast genomes. DNA Res. 2004, 11, 93–99. [Google Scholar] [CrossRef] [PubMed]
- Timme, R.E.; Kuehl, J.V.; Boore, J.L.; Jansen, R.K. A comparative analysis of the Lactuca and Helianthus (Asteraceae) plastid genomes: Identification of divergent regions and categorization of shared repeats. Am. J. Bot. 2007, 94, 302–312. [Google Scholar] [CrossRef] [PubMed]
- Nie, X.J.; Lv, S.Z.; Zhang, Y.X.; Du, X.H.; Wang, L.; Biradar, S.S.; Tan, X.F.; Wan, F.H.; Weining, S. Complete chloroplast genome sequence of a major invasive species, crofton weed (Ageratina adenophora). PLoS ONE 2012, 7, e36869. [Google Scholar] [CrossRef] [PubMed]
- Dong, W.P.; Xu, C.; Li, D.L.; Jin, X.B.; Lu, Q.; Suo, Z.L. Comparative analysis of the complete chloroplast genome sequences in psammophytic Haloxylon species (Amaranthaceae). Peer J. 2016, 4, e2699. [Google Scholar] [CrossRef] [PubMed]
- Kaur, S.; Panesar, P.S.; Bera, M.B.; Kaur, V. Simple sequence repeat markers in genetic divergence and marker-assisted selection of rice cultivars: A review. Crit. Rev. Food Sci. Nutr. 2015, 55, 41–49. [Google Scholar] [CrossRef] [PubMed]
- Yang, Y.; Zhou, T.; Duan, D.; Yang, J.; Feng, L.; Zhao, G. Comparative analysis of the complete chloroplast genomes of five Quercus species. Front. Plant Sci. 2016, 7, 959. [Google Scholar] [CrossRef] [PubMed]
- Powell, W.; Morgante, M.; McDevitt, R.; Vendramin, G.G.; Rafalski, J.A. Polymorphic simple sequence repeat regions in chloroplast genomes-applications to the population genetics of pines. Proc. Natl. Acad. Sci. USA 1995, 92, 7759–7763. [Google Scholar] [CrossRef] [PubMed]
- Provan, J.; Corbett, G.; McNicol, J.W.; Powell, W. Chloroplast DNA variability in wild and cultivated rice (Oryza spp.) revealed by polymorphic chloroplast simple sequence repeats. Genome 1997, 40, 104–110. [Google Scholar] [CrossRef] [PubMed]
- Pauwels, M.; Vekemans, X.; Gode, C.; Frerot, H.; Castric, V.; Saumitou-Laprade, P. Nuclear and chloroplast DNA phylogeography reveals vicariance among European populations of the model species for the study of metal tolerance, Arabidopsis halleri (Brassicaceae). New Phytol. 2012, 193, 916–928. [Google Scholar] [CrossRef] [PubMed]
- Rose, O.; Falush, D. A threshold size for microsatellite expansion. Mol. Biol. Evol. 1998, 15, 613–615. [Google Scholar] [CrossRef] [PubMed]
- Raubeson, L.A.; Peery, R.; Chumley, T.W.; Dziubek, C.; Fourcade, H.M.; Boore, J.L.; Jansen, R.K. Comparative chloroplast genomics: Analyses including new sequences from the angiosperms Nuphar advena and Ranunculus macranthus. BMC Genom. 2007, 8, 174. [Google Scholar] [CrossRef] [PubMed]
- Huotari, T.; Korpelainen, H. Complete chloroplast genome sequence of Elodea Canadensis and comparative analyses with other monocot plastid genomes. Gene 2012, 508, 96–105. [Google Scholar] [CrossRef] [PubMed]
- Wang, W.B.; Yu, H.; Wang, J.H.; Lei, W.J.; Gao, J.H.; Qiu, X.P.; Wang, J.S. The complete chloroplast genome sequences of the medicinal plant Forsythia suspensa (Oleaceae). Int. J. Mol. Sci. 2017, 18, 2288. [Google Scholar] [CrossRef] [PubMed]
- Asaf, S.; Khan, A.L.; Khan, A.R.; Waqas, M.; Kang, S.M.; Khan, M.A.; Lee, S.M.; Lee, I.J. Complete chloroplast genome of Nicotiana otophora and its comparison with related species. Front. Plant Sci. 2016, 7, 447. [Google Scholar] [CrossRef] [PubMed]
- Kuang, D.Y.; Wu, H.; Wang, Y.L.; Gao, L.M.; Zhang, S.Z.; Lu, L. Complete chloroplast genome sequence of Magnolia kwangsiensis (Magnoliaceae): Implication for DNA barcoding and population genetics. Genome 2011, 54, 663–673. [Google Scholar] [CrossRef] [PubMed]
- Chen, J.; Hao, Z.; Xu, H.; Yang, L.; Liu, G.; Sheng, Y. The complete chloroplast genome sequence of the relict woody plant Metasequoia glyptostroboides Hu et Cheng. Front. Plant Sci. 2015, 6, 447. [Google Scholar] [CrossRef] [PubMed]
- Kim, K.J.; Lee, H.L. Complete chloroplast genome sequences from Korean ginseng (Panax schinseng Nees) and comparative analysis of sequence evolution among 17 vascular plants. DNA Res. 2004, 11, 247–261. [Google Scholar] [CrossRef] [PubMed]
- Hu, Y.; Woeste, K.E.; Zhao, P. Completion of the chloroplast genomes of five Chinese Juglans and their contribution to chloroplast phylogeny. Front. Plant Sci. 2017, 7, 1955. [Google Scholar] [CrossRef] [PubMed]
- Wang, R.J.; Cheng, C.L.; Chang, C.C.; Wu, C.L.; Su, T.M.; Chaw, S.M. Dynamics and evolution of the inverted repeat-large single copy junctions in the chloroplast genomes of monocots. BMC Evol. Biol. 2008, 8, 36. [Google Scholar] [CrossRef] [PubMed]
- Yang, M.; Zhang, X.; Liu, G.; Yin, Y.; Chen, K.; Yun, Q. The complete chloroplast genome sequence of date palm (Phoenix dactylifera L.). PLoS ONE 2010, 5, e12762. [Google Scholar] [CrossRef] [PubMed]
- Li, Z.Z.; Saina, J.K.; Gichira, A.W.; Kyalo, C.M.; Wang, Q.F.; Chen, J.M. Comparative genomics of the balsaminaceae sister genera Hydrocera triflora and Impatiens pinfanensis. Int. J. Mol. Sci. 2018, 19, 319. [Google Scholar] [CrossRef] [PubMed]
- Li, C.Y. Classification and Systematics of the Aquilegiinae Tamura; The Chinese Academy of Science: Beijing, China, 2006. [Google Scholar]
- Bastida, J.M.; Alcántara, J.M.; Rey, P.J.; Vargas, P.; Herrera, C.M. Extended phylogeny of Aquilegia: The biogeographical and ecological patterns of two simultaneous but contrasting radiations. Plant Syst. Evol. 2010, 284, 171–185. [Google Scholar] [CrossRef]
- Fior, S.; Li, M.; Oxelman, B.; Viola, R.; Hodges, S.A.; Ometto, L.; Varotto, C. Spatiotemporal reconstruction of the Aquilegia rapid radiation through next-generation sequencing of rapidly evolving cpDNA regions. New Phytol. 2013, 198, 579–592. [Google Scholar] [CrossRef] [PubMed]
- Wei, W.; Lu, A.M.; Yi, R.; Endress, M.E.; Chen, Z.D. Phytogeny and classification of Ranunculales: Evidence from four molecular loci and morphological data. Perspect. Plant Ecol. Evol. Syst. 2009, 11, 81–110. [Google Scholar]
- Lan, Y.; Sun, J.; Tian, R.M.; Bartlett, D.H.; Li, R.S.; Wong, Y.H.; Zhang, W.P.; Qiu, J.W.; Xu, T.; He, L.S.; et al. Molecular adaptation in the world’s deepest-living animal: Insights from transcriptome sequencing of the hadal amphipod Hirondellea gigas. Mol. Ecol. 2017, 26, 3732–3743. [Google Scholar] [CrossRef] [PubMed]
- Yang, Z.; Wong, W.S.; Nielsen, R. Bayes empirical Bayes inference of amino acid sites under positive selection. Mol. Biol. Evol. 2005, 22, 1107–1118. [Google Scholar] [CrossRef] [PubMed]
- Ai, B.; Gao, Y.; Zhang, X.; Tao, J.; Kang, M.; Huang, H. Comparative transcriptome resources of eleven Primulina species, a group of ‘stone plants’ from a biodiversity hot spot. Mol. Ecol. Resour. 2015, 15, 619–632. [Google Scholar] [CrossRef] [PubMed]
- Muto, A.; Ushida, C. Transcription and translation. Methods Cell Biol. 1995, 48, 483. [Google Scholar]
- Romanovsky, Y.M.; Tikhonov, A.N. Molecular energy transducers of the living cell. Proton ATP synthase: A rotating molecular motor. Physics-Uspekhi 2010, 53, 931–956. [Google Scholar] [CrossRef]
- Allahverdiyeva, Y.; Mamedov, F.; Mäenpää, P.; Vass, I.; Aro, E.M. Modulation of photosynthetic electron transport in the absence of terminal electron acceptors: Characterization of the rbcL deletion mutant of tobacco. Biochim. Biophys. Acta Bioenerg. 2005, 1709, 69–83. [Google Scholar] [CrossRef] [PubMed]
- Piot, A.; Hackel, J.; Christin, P.A.; Besnard, G. One-third of the plastid genes evolved under positive selection in PACMAD grasses. Planta 2018, 247, 255–266. [Google Scholar] [CrossRef] [PubMed]
- Kapralov, M.V.; Filatov, D.A. Widespread positive selection in the photosynthetic Rubisco enzyme. BMC Evol. Biol. 2007, 7, 73–82. [Google Scholar] [CrossRef] [PubMed]
- Doyle, J.J.; Doyle, J.L. A rapid DNA isolation procedure for small quantities of fresh leaf tissue. Phytochem Bull. 1987, 19, 11–15. [Google Scholar]
- Li, H.; Durbin, R. Fast and accurate short read alignment with Burrows-Wheeler Transform. Bioinformatics 2009, 25, 1754–1760. [Google Scholar] [CrossRef] [PubMed]
- Wyman, S.K.; Jansen, R.K.; Boore, J.L. Automatic annotation of organellar genomes with DOGMA. Bioinformatics 2004, 20, 3252–3255. [Google Scholar] [CrossRef] [PubMed]
- Lohse, M.; Drechsel, O.; Kahlau, S.; Bock, R. Organellar genome draw—A suite of tools for generating physical maps of plastid and mitochondrial genomes and visualizing expression data sets. Nucleic Acids Res. 2013, 41, 575. [Google Scholar] [CrossRef] [PubMed]
- Kumar, S.; Nei, M.; Dudley, J.; Tamura, K. MEGA: A biologist centric software for evolutionary analysis of DNA and protein sequences. Brief. Bioinform. 2008, 9, 299–306. [Google Scholar] [CrossRef] [PubMed]
- Thiel, T.; Michalek, W.; Varshney, R.; Graner, A. Exploiting EST databases for the development and characterization of gene derived SSR-markers in barley (Hordeum vulgare L.). Theor. Appl. Genet. 2003, 106, 411–422. [Google Scholar] [CrossRef] [PubMed]
- Kurtz, S.; Choudhuri, J.V.; Ohlebusch, E.; Schleiermacher, C.; Stoye, J.; Giegerich, R. REPuter: The manifold applications of repeat analysis on a genomic scale. Nucleic Acids Res. 2001, 29, 4633–4642. [Google Scholar] [CrossRef] [PubMed]
- Katoh, K.; Standley, D.M. MAFFT multiple sequence alignment software version 7: Improvements in performance and usability. Mol. Biol. Evol. 2013, 30, 772–780. [Google Scholar] [CrossRef] [PubMed]
- Swofford, D.L. PAUP*. Phylogenetic Analysis Using Parsimony (*and Other Methods); Version 4b10; Sinauer: Sunderland, MA, USA, 2003. [Google Scholar]
- Stamatakis, A. RAxML-VI-HPC: Maximum likelihood-based phylogenetic analyses with thousands of taxa and mixed models. Bioinformatics 2006, 22, 2688–2690. [Google Scholar] [CrossRef] [PubMed]
- Ronquist, F.; Teslenko, M.; van der Mark, P.; Ayres, D.L.; Darling, A.; Hohna, S.; Larget, B.; Liu, L.; Suchard, M.A.; Huelsenbeck, J. MrBayes 3.2: Efficient Bayesian phylogenetic inference and model choice across a large model space. Syst. Biol. 2012, 61, 539–542. [Google Scholar] [CrossRef] [PubMed]
- Librado, P.; Rozas, J. DnaSP v5: A software for comprehensive analysis of DNA polymorphism data. Bioinformatics 2009, 25, 1451–1452. [Google Scholar] [CrossRef] [PubMed]
- Yang, Z.; dos Reis, M. Statistical properties of the branch-site test of positive selection. Mol. Biol. Evol. 2011, 28, 1217–1228. [Google Scholar] [CrossRef] [PubMed]
- Edgar, R.C. MUSCLE: Multiple sequence alignment with high accuracy and high throughput. Nucleic Acids Res. 2004, 32, 1792–1797. [Google Scholar] [CrossRef] [PubMed]
- Capella-Gutierrez, S.; Silla-Martínez, J.M.; Gabaldon, T. TrimAl: A tool for automated alignment trimming in large-scale phylogenetic analyses. Bioinformatics 2009, 25, 1972–1973. [Google Scholar] [CrossRef] [PubMed]
- Yang, Z. PAML 4: Phylogenetic analysis by maximum likelihood. Mol. Biol. Evol. 2007, 24, 1586–1591. [Google Scholar] [CrossRef] [PubMed]
- Yang, Z.; Nielsen, R. Codon-substitution models for detecting molecular adaptation at individual sites along specific lineages. Mol. Biol. Evol. 2002, 19, 908–917. [Google Scholar] [CrossRef] [PubMed]
- Benjamini, Y.; Hochberg, Y. Controlling the false discovery rate: A practical and powerful approach to multiple testing. J. R. Stat. Soc. B 1995, 57, 289–300. [Google Scholar]
- Clamp, M.; Cuff, J.; Searle, S.M.; Barton, G.J. The Jalview java alignment editor. Bioinformatics 2004, 20, 426–427. [Google Scholar] [CrossRef] [PubMed]







| Species | LSC | SSC | IR | Total | |||||||
|---|---|---|---|---|---|---|---|---|---|---|---|
| Length (bp) | GC% | Length (%) | Length (bp) | GC% | Length (%) | Length (bp) | GC% | Length (%) | Length (bp) | GC% | |
| U. rockii | 87,128 | 37.2 | 55.0 | 18,216 | 32.5 | 11.5 | 26,584 | 43.7 | 16.8 | 158,512 | 38.8 | 
| U. henryi | 87,031 | 37.2 | 55.0 | 18,260 | 32.6 | 11.5 | 26,506 | 43.6 | 16.7 | 158,303 | 38.8 | 
| S. adoxoides | 87,202 | 37.2 | 55.1 | 18,192 | 32.5 | 11.5 | 26,473 | 43.7 | 16.7 | 158,340 | 38.9 | 
| Tsuga chinensis | 88,522 | 36.3 | 55.3 | 18,405 | 32.0 | 11.5 | 26,632 | 43.1 | 16.6 | 160,191 | 38.1 | 
| Aconitum austrokoreense | 86,362 | 36.2 | 55.4 | 16,948 | 32.7 | 10.9 | 26,291 | 43.0 | 16.9 | 155,892 | 38.1 | 
| A. kusnezoffii | 86,335 | 36.2 | 55.4 | 16,945 | 32.7 | 10.9 | 26,291 | 43.0 | 16.9 | 155,862 | 38.1 | 
| A. volubile | 86,348 | 36.2 | 55.4 | 16,944 | 32.6 | 10.9 | 26,290 | 43.0 | 16.9 | 155,872 | 38.1 | 
| Ranunculus macranthus | 84,637 | 36.0 | 54.6 | 18,909 | 31.0 | 12.2 | 25,791 | 43.5 | 16.6 | 155,129 | 37.9 | 
| R. occidentalis | 83,532 | 35.9 | 54.1 | 21,269 | 31.6 | 13.8 | 24,831 | 43.6 | 16.1 | 154,474 | 37.8 | 
| R. austro-oreganus | 83,582 | 35.9 | 54.1 | 21,249 | 31.6 | 13.8 | 24,831 | 43.6 | 16.1 | 154,493 | 37.8 | 
| Clematis terniflora | 79,328 | 36.3 | 49.7 | 18,110 | 31.4 | 11.4 | 31,045 | 42.0 | 19.5 | 159,528 | 38.0 | 
| Coptis chinensis | 84,567 | 36.4 | 54.4 | 17,376 | 32.1 | 11.2 | 26,762 | 43.0 | 17.2 | 155,484 | 38.2 | 
| Species | Protein-Coding | tRNA | rRNA | ||||||
|---|---|---|---|---|---|---|---|---|---|
| Length (bp) | GC% | Length (%) | Length (bp) | GC% | Length (%) | Length (bp) | GC% | Length (%) | |
| U. rockii | 78,867 | 39.2 | 49.8 | 2687 | 53.2 | 1.7 | 8602 | 55.8 | 5.4 | 
| U. henryi | 78,769 | 39.2 | 49.8 | 2695 | 53.3 | 1.7 | 8602 | 55.8 | 5.4 | 
| S. adoxoides | 78,498 | 39.3 | 49.6 | 2706 | 53.6 | 1.7 | 8602 | 55.8 | 5.4 | 
| T. chinensis | 78,903 | 38.4 | 49.3 | 2716 | 53.1 | 1.7 | 9050 | 55.4 | 5.6 | 
| A. austrokoreense | 79,575 | 38.3 | 51.0 | 2810 | 53.0 | 1.8 | 9050 | 55.4 | 5.8 | 
| A. kusnezoffii | 78,294 | 38.4 | 50.2 | 2813 | 52.9 | 1.8 | 9046 | 55.3 | 5.8 | 
| A. volubile | 79,560 | 38.3 | 51.0 | 2810 | 53.0 | 1.8 | 9050 | 55.5 | 5.8 | 
| R. macranthus | 78,615 | 38.2 | 50.7 | 2738 | 53.1 | 1.8 | 7559 | 55.2 | 4.9 | 
| R. occidentalis | 69,294 | 38.6 | 44.9 | 2717 | 53.1 | 1.8 | 9050 | 55.4 | 5.9 | 
| R. austro-oreganus | 74,355 | 38.1 | 48.1 | 2796 | 52.9 | 1.8 | 9050 | 55.4 | 5.9 | 
| C. terniflora | 81,819 | 38.3 | 51.3 | 2718 | 53.4 | 1.7 | 9050 | 55.4 | 5.7 | 
| C. chinensis | 71,637 | 39.0 | 46.1 | 2716 | 53.2 | 1.7 | 9050 | 55.5 | 5.8 | 
| Category for Genes | Group of Genes | Name of Genes | 
|---|---|---|
| Self-replication | transfer RNAs | trnA-UGC *, trnC-GCA, trnD-GUC, trnE-UUC, trnF-GAA, trnfM-CAU, trnG-GCC, trnG-UCC, trnI-CAU *, trnI-GAU *, trnK-UUU, trnL-CAA *, trnL-UAA, trnL-UAG, trnM-CAU, trnN-GUU *, trnP-UGG, trnQ-UUG, trnR-ACG *, trnR-UCU, trnS-GCU, trnS-GGA, trnS-UGA, trnT-GGU, trnT-UGU, trnV-GAC *, trnV-UAC, trnW-CCA, trnY-GUA | 
| ribosomal RNAs | rrn4.5 *, rrna5 *, rrn16 *, rrn23 * | |
| RNA polymerase | rpoA, rpoB, rpoC1, rpoC2 | |
| Small subunit of ribosomal proteins (SSU) | rps2, rps3, rps4, rps7 *, rps8, rps11, rps12 *, rps14, rps15, rps16, rps18, rps19 * | |
| Large subunit of ribosomal proteins (LSU) | rpl2 *, rpl14, rpl16, rpl20, rpl22, rpl23 *, rpl32, rpl33, rpl36 | |
| Genes for photosynthesis | Subunits of NADH-dehydrogenase | ndhA, ndhB *, ndhC, ndhD, ndhE, ndhF, ndhG, ndhH, ndhI, ndhJ, ndhK | 
| Subunits of photosystem I | psaA, psaB, psaC, psaI, psaJ | |
| Subunits of photosystem II | psbA, psbB, psbC, psbD, psbE, psbF, psbH, psbI, psbJ, psbK, psbL, psbM, psbN, psbT, psbZ | |
| Subunits of cytochrome b/f complex | petA, petB, petD, petG, petL, petN | |
| Subunits of ATP synthase | atpA, atpB, atpE, atpF, atpH, atpI | |
| Large subunit of rubisco | rbcL | |
| Other genes | Tanslational initiation factor | infA | 
| Protease | clpP | |
| Maturase | matK | |
| Subunit of Acetyl-CoA-carboxylase | accD | |
| Envelope membrane protein | cemA | |
| C-type cytochrome synthesis gene | ccsA | |
| Genes of unknown function | hypothetical chloroplast reading frames (ycf) | ycf1 *, ycf2 *, ycf3, ycf4 | 
| Gene Name | Null Hypothesis | Alternative Hypothesis | Significance Test | ||||||
|---|---|---|---|---|---|---|---|---|---|
| lnL | df | Omega (ω = 1) | lnL | df | Omega (ω > 1) | BEB | NEB | p-Value | |
| psbI | −188.6475 | 26 | 1 | −188.6475 | 27 | 3.40383 | NA | NA | 1 | 
| psbL | −164.11693 | 26 | 1 | −164.1169 | 27 | 3.40719 | NA | NA | 1 | 
| rps14 | −621.64162 | 26 | 1 | −621.6416 | 27 | 3.40833 | NA | NA | 1 | 
| psaI | −214.67663 | 26 | 1 | −214.6766 | 27 | 3.38764 | NA | NA | 1 | 
| atpH | −434.45059 | 26 | 1 | −434.4506 | 27 | 3.35869 | NA | NA | 1 | 
| psaJ | −318.52192 | 26 | 1 | −318.5219 | 27 | 3.4089 | NA | NA | 1 | 
| atpE | −868.20243 | 26 | 1 | −868.2024 | 27 | 3.40891 | NA | NA | 1 | 
| atpA | −3297.629 | 26 | 1 | −3297.41 | 27 | 69.43581 | 220, E, 0.794 | NA | 5.04 × 10-1 | 
| petN | −126.25816 | 26 | 1 | −126.2582 | 27 | 3.40693 | NA | NA | 1 | 
| rps11 | −920.92455 | 26 | 1 | −920.9246 | 27 | 1 | NA | NA | 1 | 
| psbT | −216.52331 | 26 | 1 | −216.5233 | 27 | 1 | NA | NA | 1 | 
| ndhG | −1238.1161 | 26 | 1 | −1238.116 | 27 | 3.33667 | NA | NA | 9.99 × 10-1 | 
| ycf4 | −1275.4093 | 26 | 1 | −1275.409 | 27 | 3.40886 | NA | NA | 1 | 
| rps18 | −567.98294 | 26 | 1 | −567.9829 | 27 | 3.39414 | NA | NA | 1 | 
| petB | −1274.0507 | 26 | 1 | −1274.051 | 27 | 3.403 | NA | NA | 1 | 
| rpl20 | −1000.285 | 26 | 1 | −999.941 | 27 | 112.30316 | 88, R, 0.683 | NA | 4.07 × 10-1 | 
| psbN | −223.7602 | 26 | 1 | −223.7602 | 27 | 3.40292 | NA | NA | 1 | 
| psbF | −198.46733 | 26 | 1 | −198.4673 | 27 | 3.38407 | NA | NA | 1 | 
| petG | −206.74878 | 26 | 1 | −206.7488 | 27 | 3.42095 | NA | NA | 1 | 
| psbK | −375.13705 | 26 | 1 | −375.1371 | 27 | 3.4063 | NA | NA | 1 | 
| rpl36 | −267.8099 | 26 | 1 | −267.8099 | 27 | 1 | NA | NA | 1 | 
| rps2 | −1620.734 | 26 | 1 | −1620.734 | 27 | 3.40891 | NA | NA | 1 | 
| psbM | −179.71897 | 26 | 1 | −179.719 | 27 | 3.4064 | NA | NA | 1 | 
| rpoB | −6830.0894 | 26 | 1 | −6830.089 | 27 | 3.40847 | NA | NA | 9.99 × 10-1 | 
| psaA | −4245.754 | 26 | 1 | −4245.49 | 27 | 63.47379 | 28, R, 0.778 | NA | 4.66 × 10-1 | 
| psbH | −540.92362 | 26 | 1 | −540.9236 | 27 | 3.40123 | NA | NA | 1 | 
| ndhE | −616.75534 | 26 | 1 | −616.7553 | 27 | 3.40218 | NA | NA | 1 | 
| atpB | −3133.747 | 26 | 1 | −3133.75 | 27 | 1 | 115, N, 0.828 | NA | 1 | 
| ndhI | −1307.986 | 26 | 1 | −1307.68 | 27 | 575.22179 | 174, S, 0.696 | NA | 4.35 × 10-1 | 
| cemA | −1787.561 | 26 | 1 | −1787.561 | 27 | 3.40891 | NA | NA | 1 | 
| ndhJ | −1001.4075 | 26 | 1 | −1001.407 | 27 | 1 | NA | NA | 1 | 
| psbJ | −209.10513 | 26 | 1 | −209.1051 | 27 | 3.38566 | NA | NA | 1 | 
| petA | −1331.3789 | 26 | 1 | −1331.379 | 27 | 3.4089 | NA | NA | 1 | 
| psbC | −2760.6743 | 26 | 1 | −2760.674 | 27 | 1 | NA | NA | 1 | 
| ndhH | −2643.2896 | 26 | 1 | −2643.29 | 27 | 1 | NA | NA | 9.98 × 10-1 | 
| rbcL | −2937.477 | 26 | 1 | −2937.41 | 27 | 5.22178 | 440, E, 0.736 | NA | 7.20 × 10-1 | 
| clpP | −1301.1173 | 26 | 1 | −1301.117 | 27 | 3.40876 | NA | NA | 1 | 
| ndhC | −731.03212 | 26 | 1 | −731.0321 | 27 | 3.33544 | NA | NA | 1 | 
| ycf3 | −935.76375 | 26 | 1 | −935.7638 | 27 | 3.40891 | NA | NA | 1 | 
| psbD | −1922.7755 | 26 | 1 | −1922.775 | 27 | 3.38592 | NA | NA | 1 | 
| psbA | −1960.3785 | 26 | 1 | −1960.379 | 27 | 3.39639 | NA | NA | 1 | 
| petL | −172.24809 | 26 | 1 | −172.2481 | 27 | 3.40087 | NA | NA | 1 | 
| rpl33 | −413.59385 | 26 | 1 | −413.5939 | 27 | 3.4089 | NA | NA | 1 | 
| psbE | −435.90511 | 26 | 1 | −435.9051 | 27 | 3.40785 | NA | NA | 1 | 
| psaC | −498.98549 | 26 | 1 | −498.9855 | 27 | 3.408 | NA | NA | 1 | 
| atpI | −1445.5558 | 26 | 1 | −1445.556 | 27 | 3.39588 | NA | NA | 1 | 
| psaB | −4069.2947 | 26 | 1 | −4069.295 | 27 | 3.41513 | NA | NA | 1 | 
© 2018 by the authors. Licensee MDPI, Basel, Switzerland. This article is an open access article distributed under the terms and conditions of the Creative Commons Attribution (CC BY) license (http://creativecommons.org/licenses/by/4.0/).
Share and Cite
Xie, D.-F.; Yu, Y.; Deng, Y.-Q.; Li, J.; Liu, H.-Y.; Zhou, S.-D.; He, X.-J. Comparative Analysis of the Chloroplast Genomes of the Chinese Endemic Genus Urophysa and Their Contribution to Chloroplast Phylogeny and Adaptive Evolution. Int. J. Mol. Sci. 2018, 19, 1847. https://doi.org/10.3390/ijms19071847
Xie D-F, Yu Y, Deng Y-Q, Li J, Liu H-Y, Zhou S-D, He X-J. Comparative Analysis of the Chloroplast Genomes of the Chinese Endemic Genus Urophysa and Their Contribution to Chloroplast Phylogeny and Adaptive Evolution. International Journal of Molecular Sciences. 2018; 19(7):1847. https://doi.org/10.3390/ijms19071847
Chicago/Turabian StyleXie, Deng-Feng, Yan Yu, Yi-Qi Deng, Juan Li, Hai-Ying Liu, Song-Dong Zhou, and Xing-Jin He. 2018. "Comparative Analysis of the Chloroplast Genomes of the Chinese Endemic Genus Urophysa and Their Contribution to Chloroplast Phylogeny and Adaptive Evolution" International Journal of Molecular Sciences 19, no. 7: 1847. https://doi.org/10.3390/ijms19071847
APA StyleXie, D.-F., Yu, Y., Deng, Y.-Q., Li, J., Liu, H.-Y., Zhou, S.-D., & He, X.-J. (2018). Comparative Analysis of the Chloroplast Genomes of the Chinese Endemic Genus Urophysa and Their Contribution to Chloroplast Phylogeny and Adaptive Evolution. International Journal of Molecular Sciences, 19(7), 1847. https://doi.org/10.3390/ijms19071847
 
        

 
       