Transcriptomics Investigation into the Mechanisms of Self-Incompatibility between Pin and Thrum Morphs of Primula maximowiczii
Abstract
1. Introduction
2. Results
2.1. Heteromorphic SI of Distylous P. maximowiczii
2.2. De Novo RNA-seq Assembly and Annotation of Unigenes
2.3. Differentially Expressed Genes (DEGs) in Pin and Thrum SI
2.4. Functional Classification of All DEGs in PS vs. PT and TS vs. TP
2.5. KEGG Enrichment Analyses of the Upregulated and Downregulated DEGs in PS vs. PT and/or TS vs. TP
2.6. Genes That Are Differentially Expressed in a Genotype-Specific Manner in Pollen
2.7. Transcriptomics Profiles of DEGs Associated with Plant-Pathogen Interactions
2.8. Transcriptomics Analysis of Transcription Factors (TFs) in P. maximowiczii SI
3. Discussion
4. Materials and Methods
4.1. Plant Material
4.2. Artificial Pollination
4.3. Pollen Germination and Pollen-Tube Growth In Vivo
4.4. RNA Isolation, RNA-seq, and De Novo Transcriptome Assembly
4.5. Gene Annotation and DEG Analysis
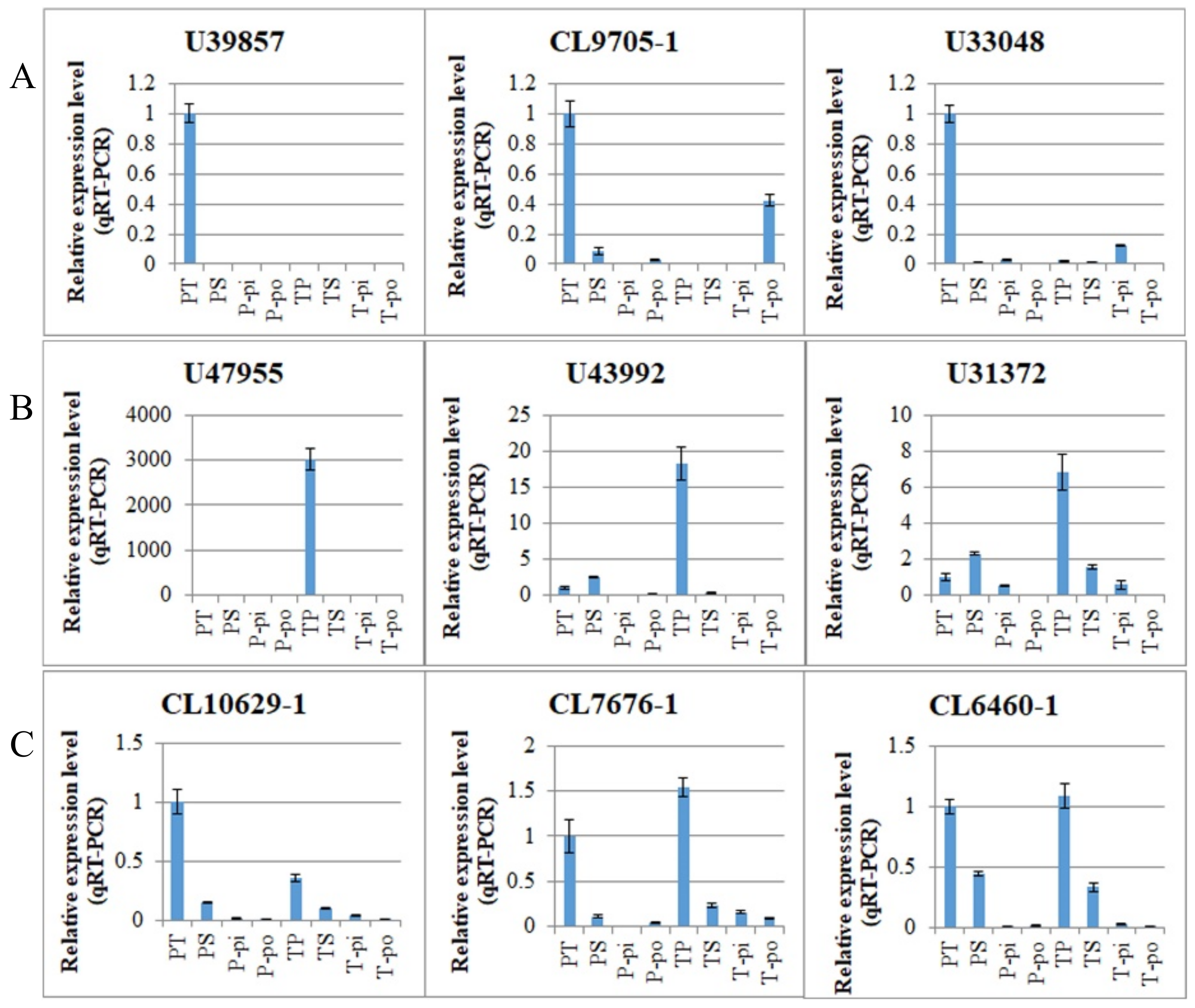
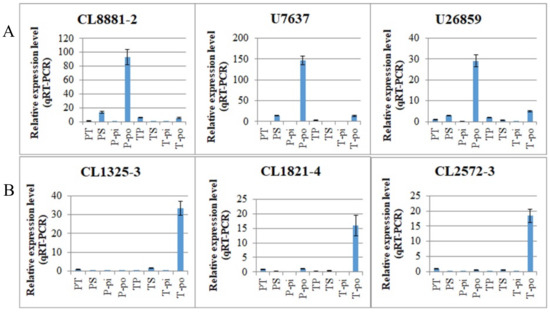
4.6. Real-Time PCR Assays
5. Conclusions
Supplementary Materials
Author Contributions
Funding
Conflicts of Interest
References
- Allen, A.M.; Hiscock, S.J. Evolution and Phylogeny of Self-Incompatibility Systems in Angiosperms. In Self-Incompatibility in Flowering Plants: Evolution, Diversity, and Mechanisms; Franklin-Tong, V.E., Ed.; Springer: Berlin/Heidelberg, Germany, 2008; Volume 4, pp. 73–95. ISBN 978-3-540-68485-5. [Google Scholar]
- Lewis, D.; Jones, D.A. The genetics of heterostyly. In Evolution and Functionof Heterostyly; Barrett, S.C.H., Ed.; Springer: Heidelberg, Germany, 1992; pp. 129–150. ISBN 978-3-642-86658-6. [Google Scholar]
- McCubbin, A. Heteromorphic Self-Incompatibility in Primula: Twenty-First Century Tools Promise to Unravel a Classic Nineteenth Century Model System. In Self-Incompatibility in Flowering Plants: Evolution, Diversity, and Mechanisms; Franklin-Tong, V.E., Ed.; Springer: Berlin/Heidelberg, Germany, 2008; Volume 14, pp. 289–308. ISBN 978-3-540-68485-5. [Google Scholar]
- Wedderburn, F.; Richards, A.J. Variation in within-morph incompatibility inhibition sites in heteromorphic Primula L. New Phytol. 1990, 116, 149–162. [Google Scholar] [CrossRef]
- Webster, M.A.; Gilmartin, P.M. Analysis of late stage flower development in Primula vulgaris reveals novel differences in cell morphology and temporal aspects of floral heteromorphy. New Phytol. 2006, 171, 591–603. [Google Scholar] [CrossRef] [PubMed]
- Dowrick, V.P.J. Heterosyly and homostyly in Primula obonica. Heredity 1956, 10, 219–236. [Google Scholar] [CrossRef]
- Bateson, W.; Gregory, R.P. On the inheritance of heterostylism in Primula. Proc. R. Soc. Lond. B 1905, 76, 581–586. [Google Scholar] [CrossRef]
- Haldane, J.B.S. Two new allelomorphs for heterostylism in Primula. Am. Nat. 1933, 67, 559–560. [Google Scholar] [CrossRef]
- Ernst, A. Self-fertility in monomorphic Primulas. Genetica 1955, 27, 391–448. [Google Scholar] [CrossRef]
- Li, J.; Cocker, J.M.; Wright, J.; Webster, M.A.; McMullan, M.; Dyer, S.; Swarbreck, D.; Caccamo, M.; Oosterhout, C.; Gilmartin, P.M. Genetic architecture and evolution of the S locus supergene in Primula vulgaris. Nat. Plants 2016, 2, 16188. [Google Scholar] [CrossRef] [PubMed]
- Manfield, I.W.; Pavlov, V.K.; Li, J.; Cook, H.E.; Hummel, F.; Gilmartin, P.M. Molecular characterization of DNA sequences from the Primula vulgaris S-locus. J. Exp. Bot. 2005, 56, 1177–1188. [Google Scholar] [CrossRef] [PubMed]
- Li, J.; Webster, M.; Furuya, M.; Gilmartin, P.M. Identification and characterization of pin and thrum alleles of two genes that co-segregate with the Primula S-locus. Plant J. 2007, 51, 18–31. [Google Scholar] [CrossRef] [PubMed]
- Huu, C.N.; Kappel, C.; Keller, B.; Sicard, A.; Takebayashi, Y.; Breuninger, H.; Nowak, M.D.; Bäurle, I.; Himmelbach, A.; Burkart, M.; et al. Presence versus absence of CYP734A50 underlies the style-length dimorphism in primroses. eLife 2016, 5, e17956. [Google Scholar] [CrossRef] [PubMed]
- Burrows, B.A.; McCubbin, A.G. Sequencing the genomic regions flanking S-linked PvGLO sequences confirms the presence of two GLO loci, one of which lies adjacent to the style-length determinant gene CYP734A50. Plant Reprod. 2017, 30, 53–67. [Google Scholar] [CrossRef] [PubMed]
- Shivanna, K.R.; Heslop-Harrison, J.; Heslop-Harrison, Y. Heterostyly in Primula 2. Sites of pollen inhibition, and effects of pistil constituents on compatible and incompatible pollen tube growth. Protoplasma 1981, 107, 319–337. [Google Scholar] [CrossRef]
- Stevens, V.A.M.; Murray, B.G. Studies on heteromorphic self-incompatibility systems: Physiological aspects of the incompatibility system of Primula obconica. Theor. Appl. Genet. 1982, 61, 245–256. [Google Scholar] [CrossRef] [PubMed]
- Safavian, D.; Shore, J.S. Structure of styles and pollen tubes of distylous Turnera joelii and T. scabra (Turneraceae): Are there different mechanisms of incompatibility between the morphs? Sex Plant Reprod. 2010, 23, 225–237. [Google Scholar] [CrossRef] [PubMed]
- Hodgkin, T.; Lyon, G.D.; Dickinson, H.G. Recognition in flowering plants: A comparison of the Brassica self-incompatibility system and plant pathogen interactions. New Phytol. 1988, 110, 557–569. [Google Scholar] [CrossRef]
- Dickinson, H.G. Dry stigmas, water and self-incompatibility. Sex Plant Reprod. 1995, 8, 1–10. [Google Scholar] [CrossRef]
- Elleman, C.J.; Dickinson, H.G. Identification of pollen components regulating pollination-specific responses in the stigmatic papillae of Brassica oleracea. New Phytol. 1996, 133, 197–205. [Google Scholar] [CrossRef] [PubMed]
- Elleman, C.J.; Dickinson, H.G. Commonalities between pollen/stigma and host/pathogen interactions: Calcium accumulation during stigmatic penetration by Brassica oleracea pollen tubes. Plant Reprod. 1999, 12, 194–202. [Google Scholar] [CrossRef]
- Martin, G.; Brommonschenkel, S.; Chunwongse, J.; Frary, A.; Ganal, M.; Spivey, R.; Wu, T.; Earle, E.; Tanksley, S. Map-based cloning of a protein kinase gene conferring disease resistance in tomato. Science 1993, 262, 1432–1436. [Google Scholar] [CrossRef] [PubMed]
- Cock, J.M.; Swarup, R.; Dumas, C. Natural antisense transcripts of the S-locus receptor kinase gene and related sequences in Brassica oleracea. Mol. Gen. Genet. 1997, 255, 514–524. [Google Scholar] [CrossRef] [PubMed]
- Kao, T.H.; McCubbin, A.G. How flowering plants discriminate between self and non-self pollen to prevent inbreeding. Proc. Natl. Acad. Sci. USA 1996, 93, 12059–12065. [Google Scholar] [CrossRef] [PubMed]
- Wang, C.L.; Xu, G.H.; Jiang, X.T.; Chen, G.; Wu, J.; Wu, H.Q.; Zhang, S.L. S-RNase triggers mitochondrial alteration and DNA degradation in the incompatible pollen tube of Pyrus pyrifolia in vitro. Plant J. 2009, 57, 220–229. [Google Scholar] [CrossRef] [PubMed]
- Wilkins, K.A.; Poulter, N.S.; Franklin-Tong, V.E. Taking one for the team: Self-recognition and cell suicide in pollen. J. Exp. Bot. 2014, 65, 1331–1342. [Google Scholar] [CrossRef] [PubMed]
- Zhu, X.F.; Jiang, X.F.; Li, L.; Zhang, Z.Q.; Li, Q.J. Asymmetrical disassortative pollination in a distylous primrose: The complementary roles of bumblebee nectar robbers and syrphid flies. Sci. Rep. 2015, 5, 7721. [Google Scholar] [CrossRef] [PubMed]
- Brys, R.; Jacquemyn, H. Disruption of the distylous syndrome in Primula veris. Ann. Bot. 2014, 115, 27–39. [Google Scholar] [CrossRef] [PubMed]
- Liu, S.J.; Wu, L.Y.; Huang, S.Q. Shortened anther–stigma distance reduces compatible pollination in two distylous Primula species. J. Plant Ecol. 2015, 9, 224–232. [Google Scholar] [CrossRef]
- Jiang, X.F.; Li, Q.J. Self- and intra-morph incompatibility and selection analysis of an inconspicuous distylous herb growing on the Tibetan plateau (Primula tibetica). Ecol. Evol. 2017, 7, 5746–5753. [Google Scholar] [CrossRef] [PubMed]
- Nowak, M.D.; Russo, G.; Sshlapbach, R.; Huu, C.N.; Lenhard, M.; Conti, E. The draft genome of Primula veris yields insights into the molecular basis of heterostyly. Genome Biol. 2015, 16, 12. [Google Scholar] [CrossRef] [PubMed]
- Nole-Wilson, S.; Krizek, B.A. DNA binding properties of the Arabidopsis floral development protein AINTEGUMENTA. Nucleic Acids Res. 2000, 28, 4076–4082. [Google Scholar] [CrossRef] [PubMed]
- Nakano, T.; Suzuki, K.; Fujimura, T.; Shinshi, H. Genome-wide analysis of the ERF gene family in Arabidopsis and rice. Plant Physiol. 2006, 140, 411–432. [Google Scholar] [CrossRef] [PubMed]
- Pandey, S.P.; Somssich, I.E. The role of WRKY transcription factors in plant immunity. Plant Physiol. 2009, 150, 1648–1655. [Google Scholar] [CrossRef] [PubMed]
- Rushton, P.J.; Somssich, I.E.; Ringler, P.; Shen, Q.J. WRKY transcription factors. Trends Plant Sci. 2010, 15, 247–258. [Google Scholar] [CrossRef] [PubMed]
- Agnieszka, K.M. Involvement of plant C2H2-type zinc finger transcription factors in stress responses. Plant Sci. 2012, 185–186, 78–85. [Google Scholar] [CrossRef]
- Gibbs, P.E. Do homomorphic and heteromorphic self-incompatibility systems have the same sporophytic mechanism? Plant Syst. Evol. 1986, 154, 285–323. [Google Scholar] [CrossRef]
- De Nettancourt, D. Incompatibility and Incongruity in Wild and Cultivated Plants; Springer: Berlin/Heidelberg, Germany, 2001; pp. 1–24. ISBN 978-3-642-08457-7. [Google Scholar]
- Stein, J.C.; Dixit, R.; Nasrallah, M.E.; Nasrallah, J.B. SRK, the stigma-specific S-locus receptorkinase of Brassica, is targeted to the plasma membrane in transgenic tobacco. Plant Cell 1996, 8, 429–445. [Google Scholar] [CrossRef] [PubMed]
- Takasaki, T.; Hatakeyama, K.; Suzuki, G.; Watanabe, M.; Isogai, A.; Hinata, K. The S receptor kinase determinaes self-incompatibility in Brassica stigma. Nature 2000, 403, 913–916. [Google Scholar] [CrossRef] [PubMed]
- Takayama, S.; Shimosato, H.; Shiba, H. Direct ligand-receptor complex interaction controls Brassica self-incompatibility. Nature 2001, 413, 534–538. [Google Scholar] [CrossRef] [PubMed]
- Qin, X.; Zhang, Y.; Liu, Y.; Guo, D.; Li, H. Cloning and sequence analysis of S-RNase genes in Citrus grandis var. shatinyu. J. Guangxi Normal Univ. 2015, 33, 139–145. [Google Scholar]
- Guan, P.; Zeng, B.; Li, J.; Luo, S.P.; Wang, J.Y.; Li, W.Y.; Tian, J.; Li, P. Cloning and sequence analysis of 2 full-length S-RNase genes in Amygdalus ledebouriana Schlech. J. Fruit Sci. 2016, 33, 905–916. [Google Scholar]
- De Lorenzo, G.; D’Ovidio, R.; Cervone, F. The role of polygalacturonase-inhibiting proteins (PGIPs) in defense against pathogenic fungi. Annu. Rev. Phytopathol. 2001, 39, 313–335. [Google Scholar] [CrossRef] [PubMed]
- Huang, L.; Liu, Y.; Yu, X.L.; Xiang, X.; Cao, J.S. A polygalacturonase inhibitory protein gene (BcMF19) expressed during pollen development in Chinese cabbage-pak-choi. Mol. Biol. Rep. 2010, 38, 545–552. [Google Scholar] [CrossRef] [PubMed]
- Zhou, W.; Takeda, H.; Liu, X.; Nakagawa, N.; Sakuraii, N.; Huang, J.; Li, Y. A novel endo-1,4-β-glucanasegene (LlpCel1) is exclusively expressed in pollen and pollen tubes of Lilium longiflorum. Acta Bot. Sin. 2004, 46, 142–147. [Google Scholar]
- Bennett, A.B.; Labavitch, J.M. Ethylene and ripening-regulated expression and function of fruit cell wall modifying proteins. Plant Sci. 2008, 175, 130–136. [Google Scholar] [CrossRef]
- Mccubbin, A.G.; Lee, C.; Hetrick, A. Identification of genes showing differential expression between morphs in developing flowers of Primula vulgaris. Sex. Plant Reprod. 2006, 19, 63–72. [Google Scholar] [CrossRef]
- Pearce, G.; Moura, D.S.; Stratmann, J.; Ryan, C.A. RALF, a 5-kDa ubiquitous polypeptide in plants, arrests root growth and development. Proc. Natl. Acad. Sci. USA 2001, 98, 12843–12847. [Google Scholar] [CrossRef] [PubMed]
- Wilkins, K.A.; Bosch, M.; Haque, T.; Teng, N.; Poulter, N.S.; Franklin-Tong, V.E. Self-incompatibility-induced programmed cell death in field poppy pollen involves dramatic acidification of the incompatible pollen tube cytosol. Plant Physiol. 2015, 167, 766–779. [Google Scholar] [CrossRef] [PubMed]
- Micheli, F. Pectin methylesterases: Cell wall enzymes with important roles in plant physiology. Trends Plant Sci. 2001, 6, 414–419. [Google Scholar] [CrossRef]
- Bosch, M.; Cheung, A.Y.; Hepler, P.K. Pectin methylesterase, a regulator of pollen tube growth. Plant Physiol. 2005, 138, 1334–1346. [Google Scholar] [CrossRef] [PubMed]
- Collmer, A.; Keen, N.T. The role of pectic enzymes in plant pathogenesis. Annu. Rev. Phytopathol. 1986, 24, 383–409. [Google Scholar] [CrossRef]
- Abramovitch, R.B.; Martin, G.B. Strategies used by bacterial pathogens to suppress plant defenses. Curr. Opin. Plant Biol. 2004, 7, 356–364. [Google Scholar] [CrossRef] [PubMed]
- Suzuki, G.; Kai, N.; Hirose, T.; Fukui, K.; Nishio, T.; Takayama, S.; Isogai, A.; Watanabe, M.; Hinata, K. Genomic organization of the S-locus: Identification and characterization of genes in SLG/SRK region of S9 haplotype of Brassica campestris (syn. rapa). Genetics 1999, 153, 391–400. [Google Scholar] [PubMed]
- Lai, Z.; Ma, W.; Han, B.; Liang, L.; Zhang, Y.; Hong, G.; Xue, Y. An F-box gene linked to the self-incompatibility S-locus of Antirrhinum is expressed specifically in pollen and tapetum. Plant Mol. Biol. 2002, 50, 29–42. [Google Scholar] [CrossRef] [PubMed]
- Entani, T.; Iwano, M.; Shiba, H.; Che, F.S.; Isogai, A.; Takayama, S. Comparative analysis of the self-incompatibility S-locus region of Prunus mume: Identification of a pollen-expressed F-box gene with allelic diversity. Gene Cell 2003, 8, 203–213. [Google Scholar] [CrossRef]
- Ma, Y.L. The Growth, Development and Flowering Control of Primula maximowiczii. Master’s Thesis, Beijing Forestry University, Beijing, China, 2013. [Google Scholar]
- Kho, Y.O.; Baer, J. Observing pollen tubes by means of florescence. Euphytica 1968, 17, 298–302. [Google Scholar] [CrossRef]
- Mortazavi, A.; Williams, B.A.; Mccue, K.; Schaeffer, L.; Wold, B. Mapping and quantifying mammalian transcriptomes by RNA-Seq. Nat. Methods 2008, 5, 621–628. [Google Scholar] [CrossRef] [PubMed]
- Wang, T.; Wang, G.; Jia, Z.H.; Pan, D.L.; Zhang, J.Y.; Guo, Z.R. Transcriptome analysis of kiwifruit in response to Pseudomonas syringae pv. Actinidiae infection. Int. J. Mol. Sci. 2018, 19, 373. [Google Scholar] [CrossRef] [PubMed]
- Jin, J.; Tian, F.; Yang, D.C.; Meng, Y.Q.; Kong, L.; Luo, J.; Gao, G. PlantTFDB 4.0: Toward a central hub for transcription factors and regulatory interactions in plants. Nucleic Acids Res. 2016, 45, D1040–D1045. [Google Scholar] [CrossRef] [PubMed]










| Database | Number of Unigenes | Percentage (%) |
|---|---|---|
| Non-Redundant protein sequence (NR) | 59,798 | 59.95 |
| Nucleotide Sequence Database (NT) | 48,174 | 48.29 |
| Swiss-Prot | 39,419 | 39.52 |
| Kyoto Encyclopedia of Genes and Genomes (KEGG) | 36,120 | 36.21 |
| Cluster of Orthologous Groups of proteins (COG) | 25,123 | 25.81 |
| Gene Ontology (GO) | 45,456 | 45.57 |
| With annotations | 61,552 | 61.70 |
| Without annotations | 38,202 | 38.30 |
| Total unigenes | 99,754 | 100.00 |
| KEGG Class | Pathway | p-Value |
|---|---|---|
| Environmental adaptation | Plant–pathogen interaction | 0.0002 |
| Carbohydrate metabolism | Amino sugar and nucleotide sugar metabolism | 0.0008 |
| Biosynthesis of other secondary metabolites | Stilbenoid, diarylheptanoid and gingerol biosynthesis | 0.0014 |
| Biosynthesis of other secondary metabolites | Flavonoid biosynthesis | 0.0025 |
| Biosynthesis of other secondary metabolites | Phenylpropanoid biosynthesis | 0.0120 |
| Amino acid metabolism | Cysteine and methionine metabolism | 0.0190 |
| Metabolism of other amino acids | Glutathione metabolism | 0.0199 |
| Metabolism of terpenoids and polyketides | Diterpenoid biosynthesis | 0.0206 |
| Folding, sorting, and degradation | The soluble N-ethylmaleimide-sensitive factor attachment protein receptor (SNARE) interactions in vesicular transport | 0.0371 |
| Metabolism of terpenoids and polyketides | Carotenoid biosynthesis | 0.0399 |
| Lipid metabolism | Cutin, suberine, and wax biosynthesis | 0.0493 |
| KEGG Class | Pathway | p-Value |
|---|---|---|
| Metabolism of other amino acids | Glutathione metabolism | 0.0026 |
| KEGG Class | Pathway | p-Value |
|---|---|---|
| Lipid metabolism | Fatty acid biosynthesis | 0.0009 |
| Global and overview | Fatty acid metabolism | 0.0024 |
| Environmental adaptation | Plant-pathogen interaction | 0.0060 |
| Metabolism of other amino acids | Glutathione metabolism | 0.0291 |
| KEGG Class | Pathway | p-Value |
|---|---|---|
| Carbohydrate metabolism | Pentose and glucuronate interconversions | 0.0001 |
| Energy metabolism | Oxidative phosphorylation | 0.0005 |
| Biosynthesis of other secondary metabolites | Flavonoid biosynthesis | 0.0050 |
| Metabolism of terpenoids, and polyketides | Diterpenoid biosynthesis | 0.0280 |
| Energy metabolism | Nitrogen metabolism | 0.0290 |
| Energy metabolism | Carbon fixation in photosynthetic organisms | 0.0369 |
| Translation | Ribosome | 0.0369 |
| Replication and repair | Nucleotide excision repair | 0.0458 |
| Carbohydrate metabolism | Starch and sucrose metabolism | 0.0471 |
| KEGG Class | Pathway | p-Value |
|---|---|---|
| Amino acid metabolism | Tyrosine metabolism | 0.0119 |
| Biosynthesis of other secondary metabolites | Isoquinoline alkaloid biosynthesis | 0.0157 |
| Translation | Ribosome | 0.0193 |
| Carbohydrate metabolism | Citrate cycle (tricarboxylic acid (TCA) cycle) | 0.0327 |
| Folding, sorting, and degradation | Proteasome | 0.0371 |
© 2018 by the authors. Licensee MDPI, Basel, Switzerland. This article is an open access article distributed under the terms and conditions of the Creative Commons Attribution (CC BY) license (http://creativecommons.org/licenses/by/4.0/).
Share and Cite
Lu, W.; Bian, X.; Yang, W.; Cheng, T.; Wang, J.; Zhang, Q.; Pan, H. Transcriptomics Investigation into the Mechanisms of Self-Incompatibility between Pin and Thrum Morphs of Primula maximowiczii. Int. J. Mol. Sci. 2018, 19, 1840. https://doi.org/10.3390/ijms19071840
Lu W, Bian X, Yang W, Cheng T, Wang J, Zhang Q, Pan H. Transcriptomics Investigation into the Mechanisms of Self-Incompatibility between Pin and Thrum Morphs of Primula maximowiczii. International Journal of Molecular Sciences. 2018; 19(7):1840. https://doi.org/10.3390/ijms19071840
Chicago/Turabian StyleLu, Wanpei, Xiaomeng Bian, Weiru Yang, Tangren Cheng, Jia Wang, Qixiang Zhang, and Huitang Pan. 2018. "Transcriptomics Investigation into the Mechanisms of Self-Incompatibility between Pin and Thrum Morphs of Primula maximowiczii" International Journal of Molecular Sciences 19, no. 7: 1840. https://doi.org/10.3390/ijms19071840
APA StyleLu, W., Bian, X., Yang, W., Cheng, T., Wang, J., Zhang, Q., & Pan, H. (2018). Transcriptomics Investigation into the Mechanisms of Self-Incompatibility between Pin and Thrum Morphs of Primula maximowiczii. International Journal of Molecular Sciences, 19(7), 1840. https://doi.org/10.3390/ijms19071840

