Differential Effects of Statins on Inflammatory Interleukin-8 and Antimicrobial Peptide Human Β-Defensin 2 Responses in Salmonella-Infected Intestinal Epithelial Cells
Abstract
1. Introduction
2. Results and Discussion
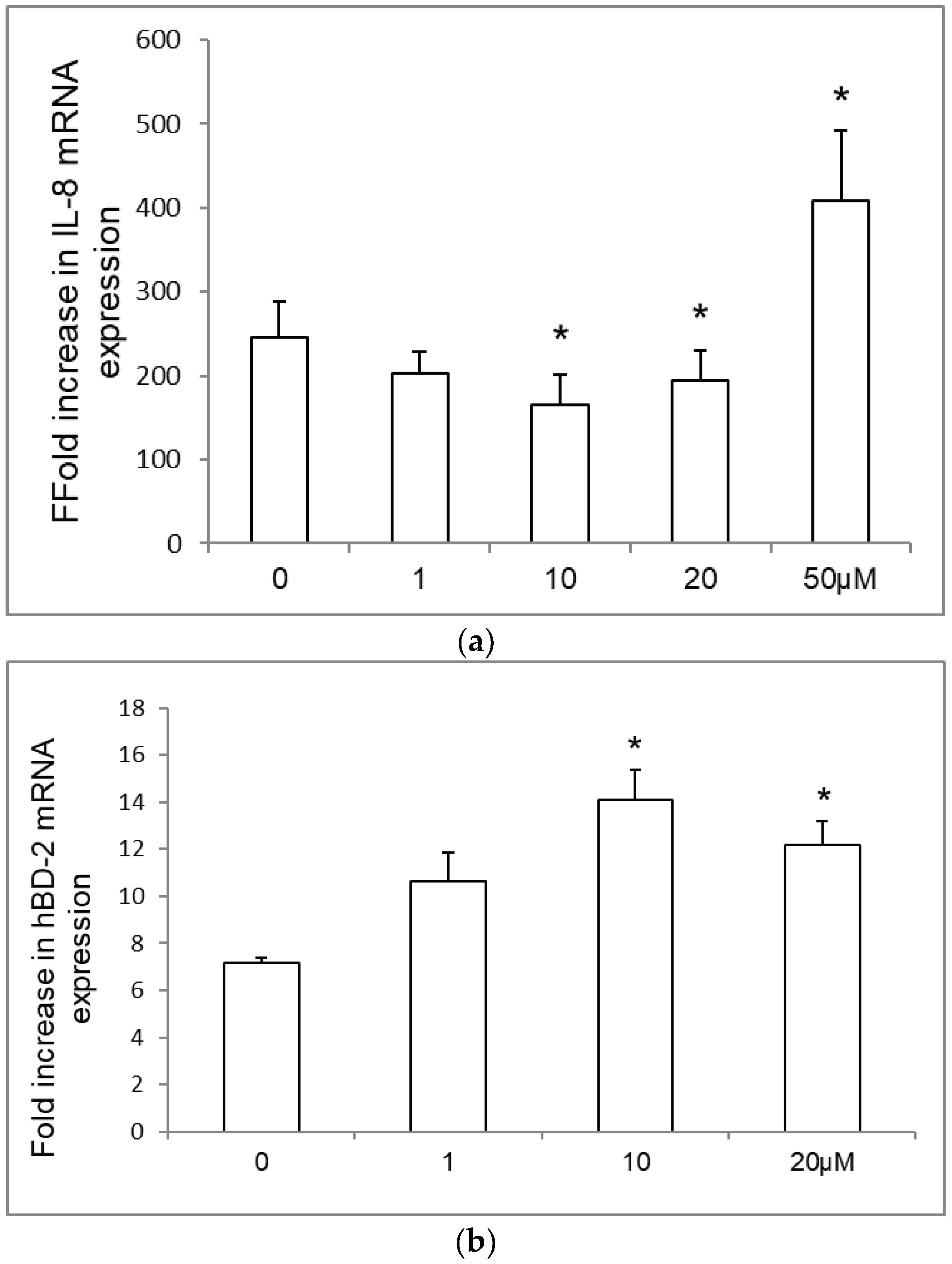
2.1. Statins Suppressed IL-8 mRNA and Enhanced hBD-2 mRNA Expression in Salmonella-Infected SW480 Cells
2.2. Involvement of Akt Signaling in the Simvastatin-Mediated Negative Regulation of IL-8 Expression in Salmonella-Infected SW480 Cells
2.3. Simvastatin Up-Regulates VDR mRNA and Protein Expression in Salmonella-Infected SW480 Cells
2.4. The Involvement of VDR in the Simvastatin-Mediated Negative Regulation of IL-8 Expression in Salmonella-Infected SW480 Cells
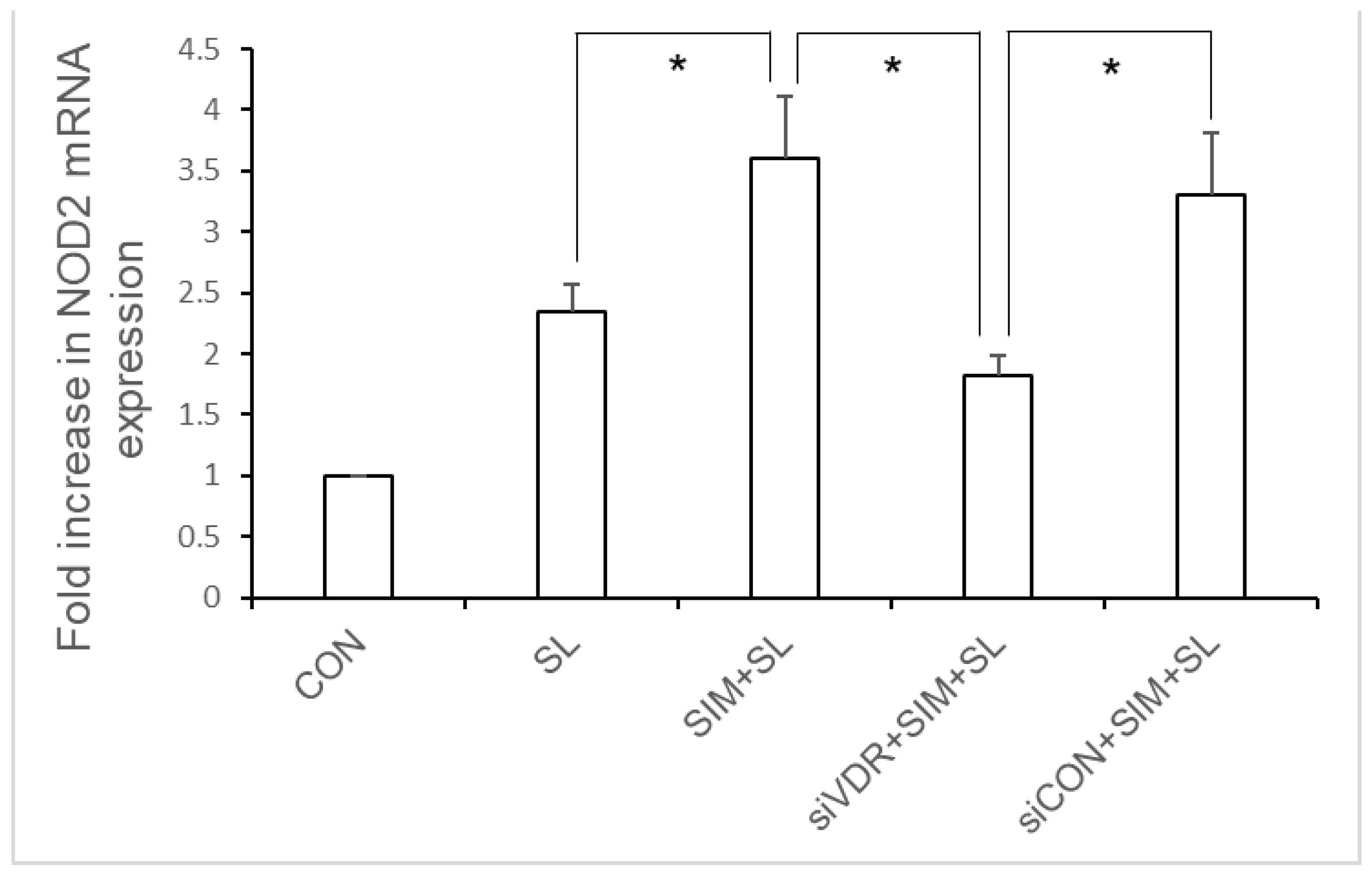
2.5. The Involvement of VDR in Simvastatin-Mediated Upregulation of NOD2 Expression in Salmonella-Infected SW480 Cells
2.6. Involvement of VDR in the Positive Regulation of hBD-2 Expression in Salmonella-Infected SW480 Cells by Simvastatin
2.7. It Is a General Phenomenon in Intestinal Epithelial Caco-2 Cells
3. Discussion
4. Methods and Materials
4.1. Bacterial Strains
4.2. Cell Culture and Infection
4.3. Reagents
4.4. Cytokine Assays
4.5. Cell Fractionation
4.6. Western Blotting
4.7. RNA Isolation and cDNA Synthesis
4.8. Real-Time Reverse Transcription PCR
4.9. RNA Interference (RNAi) in Cultured Cells
4.10. Cell Viability and Morphologic Features
4.11. Statistical Analysis
5. Conclusions
Author Contributions
Funding
Acknowledgments
Conflicts of Interest
References
- Glynn, M.K.; Bopp, C.; Dewitt, W.; Dabney, P.; Mokhtar, M.; Angulo, F.J. Emergence of multidrug-resistant Salmonella enterica serotype typhimurium DT104 infections in the United States. N. Engl. J. Med. 1998, 338, 1333–1338. [Google Scholar] [CrossRef] [PubMed]
- Lauderdale, T.L.; Aarestrup, F.M.; Chen, P.C.; Lai, J.F.; Wang, H.Y.; Shiau, Y.R.; Huang, I.W.; Hung, C.L.; TSAR Hospitals. Multidrug resistance among different serotypes of clinical Salmonella isolates in Taiwan. Diagn. Microbiol. Infect. Dis. 2006, 55, 149–155. [Google Scholar] [CrossRef] [PubMed]
- Fleckenstein, J.M.; Kopecko, D.J. Breaching the mucosal barrier by stealth: an emerging pathogenic mechanism for enteroadherent bacterial pathogens. J. Clin. Investig. 2001, 107, 27–30. [Google Scholar] [CrossRef] [PubMed]
- Thomsen, R.W.; Riis, A.; Kornum, J.B.; Christensen, S.; Johnsen, S.P.; Sorensen, H.T. Preadmission use of statins and outcomes after hospitalization with pneumonia: Population-based cohort study of 29,900 patients. Arch. Intern. Med. 2008, 168, 2081–2087. [Google Scholar] [CrossRef] [PubMed]
- Mehl, A.; Harthug, S.; Lydersen, S.; Paulsen, J.; Asvold, B.O.; Solligard, E.; Damas, J.K.; Edna, T.H. Prior statin use and 90-day mortality in Gram-negative and Gram-positive bloodstream infection: A prospective observational study. Eur. J. Clin. Microbiol. Infect. Dis. 2015, 34, 609–617. [Google Scholar] [CrossRef] [PubMed][Green Version]
- Kouroumichakis, I.; Papanas, N.; Proikaki, S.; Zarogoulidis, P.; Maltezos, E. Statins in prevention and treatment of severe sepsis and septic shock. Eur. J. Intern. Med. 2011, 22, 125–133. [Google Scholar] [CrossRef] [PubMed]
- Schmidt, H.; Hennen, R.; Keller, A.; Russ, M.; Muller-Werdan, U.; Werdan, K.; Buerke, M. Association of statin therapy and increased survival in patients with multiple organ dysfunction syndrome. Intensive Care Med. 2006, 32, 1248–1251. [Google Scholar] [CrossRef] [PubMed]
- Nseir, W.; Bishara, J.; Mograbi, J.; Mahamid, M.; Khalaila, W.; Taha, M.; Farah, R. Do statins protect against the development of Clostridium difficile-associated diarrhoea? J. Antimicrob. Chemother. 2013, 68, 1889–1893. [Google Scholar] [CrossRef] [PubMed]
- Sakoda, K.; Yamamoto, M.; Negishi, Y.; Liao, J.K.; Node, K.; Izumi, Y. Simvastatin decreases IL-6 and IL-8 production in epithelial cells. J. Dent. Res. 2006, 85, 520–523. [Google Scholar] [CrossRef] [PubMed]
- Rosenson, R.S.; Tangney, C.C.; Casey, L.C. Inhibition of proinflammatory cytokine production by pravastatin. Lancet 1999, 353, 983–984. [Google Scholar] [CrossRef]
- Huang, F.C.; Li, Q.; Cherayil, B.J. A phosphatidyl-inositol-3-kinase-dependent anti-inflammatory pathway activated by Salmonella in epithelial cells. FEMS Microbiol. Lett. 2005, 243, 265–270. [Google Scholar] [CrossRef] [PubMed]
- Voss, E.; Wehkamp, J.; Wehkamp, K.; Stange, E.F.; Schroder, J.M.; Harder, J. NOD2/CARD15 mediates induction of the antimicrobial peptide human β-defensin-2. J. Biol. Chem. 2006, 281, 2005–2011. [Google Scholar] [CrossRef] [PubMed]
- Verway, M.; Behr, M.A.; White, J.H. Vitamin D, NOD2, autophagy and Crohn’s disease. Expert Rev. Clin. Immunol. 2010, 6, 505–508. [Google Scholar] [CrossRef] [PubMed]
- Hewison, M. Antibacterial effects of vitamin D. Nat. Rev. Endocrinol. 2011, 7, 337–345. [Google Scholar] [CrossRef] [PubMed]
- Huang, F.C. Plasma membrane cholesterol plays a critical role in the Salmonella-induced anti-inflammatory response in intestinal epithelial cells. Cell. Immunol. 2011, 271, 480–487. [Google Scholar] [CrossRef] [PubMed]
- Ikeda, M.; Takeshima, F.; Isomoto, H.; Shikuwa, S.; Mizuta, Y.; Ozono, Y.; Kohno, S. Simvastatin attenuates trinitrobenzene sulfonic acid-induced colitis, but not oxazalone-induced colitis. Dig. Dis. Sci. 2008, 53, 1869–1875. [Google Scholar] [CrossRef] [PubMed]
- Garcia Rodriguez, L.A.; Ruigomez, A.; Panes, J. Acute gastroenteritis is followed by an increased risk of inflammatory bowel disease. Gastroenterology 2006, 130, 1588–1594. [Google Scholar] [CrossRef] [PubMed]
- Mitsuyama, K.; Toyonaga, A.; Sasaki, E.; Watanabe, K.; Tateishi, H.; Nishiyama, T.; Saiki, T.; Ikeda, H.; Tsuruta, O.; Tanikawa, K. IL-8 as an important chemoattractant for neutrophils in ulcerative colitis and Crohn’s disease. Clin. Exp. Immunol. 1994, 96, 432–436. [Google Scholar] [CrossRef] [PubMed]
- Rea, W.E.; Durrant, D.C.; Boldy, D.A. Ulcerative colitis after statin treatment. Postgrad. Med. J. 2002, 78, 286–287. [Google Scholar] [CrossRef] [PubMed][Green Version]
- Iribarren, C.; Jacobs, D.R., Jr.; Sidney, S.; Claxton, A.J.; Feingold, K.R. Cohort study of serum total cholesterol and in-hospital incidence of infectious diseases. Epidemiol. Infect. 1998, 121, 335–347. [Google Scholar] [CrossRef] [PubMed]
- Hennessy, E.; Adams, C.; Reen, F.J.; O’Gara, F. Is There Potential for Repurposing Statins as Novel Antimicrobials? Antimicrob. Agents Chemother. 2016, 60, 5111–5121. [Google Scholar] [CrossRef] [PubMed]
- Patel, A.M.; Shariff, S.; Bailey, D.G.; Juurlink, D.N.; Gandhi, S.; Mamdani, M.; Gomes, T.; Fleet, J.; Hwang, Y.J.; Garg, A.X. Statin toxicity from macrolide antibiotic coprescription: A population-based cohort study. Ann. Intern. Med. 2013, 158, 869–876. [Google Scholar] [CrossRef] [PubMed]
- Caparros-Martin, J.A.; Lareu, R.R.; Ramsay, J.P.; Peplies, J.; Reen, F.J.; Headlam, H.A.; Ward, N.C.; Croft, K.D.; Newsholme, P.; Hughes, J.D.; et al. Statin therapy causes gut dysbiosis in mice through a PXR-dependent mechanism. Microbiome 2017, 5, 95. [Google Scholar] [CrossRef] [PubMed]
- Maier, L.; Pruteanu, M.; Kuhn, M.; Zeller, G.; Telzerow, A.; Anderson, E.E.; Brochado, A.R.; Fernandez, K.C.; Dose, H.; Mori, H.; et al. Extensive impact of non-antibiotic drugs on human gut bacteria. Nature 2018, 555, 623–628. [Google Scholar] [CrossRef] [PubMed]
- Froicu, M.; Cantorna, M.T. Vitamin D and the vitamin D receptor are critical for control of the innate immune response to colonic injury. BMC Immunol. 2007, 8, 5. [Google Scholar] [CrossRef] [PubMed]
- Froicu, M.; Weaver, V.; Wynn, T.A.; McDowell, M.A.; Welsh, J.E.; Cantorna, M.T. A crucial role for the vitamin D receptor in experimental inflammatory bowel diseases. Mol. Endocrinol. 2003, 17, 2386–2392. [Google Scholar] [CrossRef] [PubMed]
- Harant, H.; Andrew, P.J.; Reddy, G.S.; Foglar, E.; Lindley, I.J. 1α,25-dihydroxyvitamin D3 and a variety of its natural metabolites transcriptionally repress nuclear-factor-κB-mediated interleukin-8 gene expression. Eur. J. Biochem. 1997, 250, 63–71. [Google Scholar] [CrossRef] [PubMed]
- Grimes, D.S. Are statins analogues of vitamin D? Lancet 2006, 368, 83–86. [Google Scholar] [CrossRef]
- Marshall, T.G. Are statins analogues of vitamin D? Lancet 2006, 368, 1234. [Google Scholar] [CrossRef]
- Zhang, Y.; Zhang, J.; Studzinski, G.P. AKT pathway is activated by 1, 25-dihydroxyvitamin D3 and participates in its anti-apoptotic effect and cell cycle control in differentiating HL60 cells. Cell Cycle 2006, 5, 447–451. [Google Scholar] [CrossRef] [PubMed]
- Huang, C.Y.; Hsiao, J.K.; Lu, Y.Z.; Lee, T.C.; Yu, L.C. Anti-apoptotic PI3K/Akt signaling by sodium/glucose transporter 1 reduces epithelial barrier damage and bacterial translocation in intestinal ischemia. Lab. Investig. 2011, 91, 294–309. [Google Scholar] [CrossRef] [PubMed]
- Manukyan, M.C.; Weil, B.R.; Wang, Y.; Abarbanell, A.M.; Herrmann, J.L.; Poynter, J.A.; Meldrum, D.R. The phosphoinositide-3 kinase survival signaling mechanism in sepsis. Shock 2010, 34, 442–449. [Google Scholar] [CrossRef] [PubMed]
- Di Sabatino, A.; Ciccocioppo, R.; Luinetti, O.; Ricevuti, L.; Morera, R.; Cifone, M.G.; Solcia, E.; Corazza, G.R. Increased enterocyte apoptosis in inflamed areas of Crohn’s disease. Dis. Colon Rectum 2003, 46, 1498–1507. [Google Scholar] [CrossRef] [PubMed]
- Nenci, A.; Becker, C.; Wullaert, A.; Gareus, R.; van Loo, G.; Danese, S.; Huth, M.; Nikolaev, A.; Neufert, C.; Madison, B.; et al. Epithelial NEMO links innate immunity to chronic intestinal inflammation. Nature 2007, 446, 557–561. [Google Scholar] [CrossRef] [PubMed]
- Kong, J.; Zhang, Z.; Musch, M.W.; Ning, G.; Sun, J.; Hart, J.; Bissonnette, M.; Li, Y.C. Novel role of the vitamin D receptor in maintaining the integrity of the intestinal mucosal barrier. Am. J. Physiol. Gastrointest. Liver Physiol. 2008, 294, G208–G216. [Google Scholar] [CrossRef] [PubMed]
- Catron, D.M.; Lange, Y.; Borensztajn, J.; Sylvester, M.D.; Jones, B.D.; Haldar, K. Salmonella enterica serovar Typhimurium requires nonsterol precursors of the cholesterol biosynthetic pathway for intracellular proliferation. Infect. Immun. 2004, 72, 1036–1042. [Google Scholar] [CrossRef] [PubMed]
- Erkkila, L.; Jauhiainen, M.; Laitinen, K.; Haasio, K.; Tiirola, T.; Saikku, P.; Leinonen, M. Effect of simvastatin, an established lipid-lowering drug, on pulmonary Chlamydia pneumoniae infection in mice. Antimicrob. Agents Chemother. 2005, 49, 3959–3962. [Google Scholar] [CrossRef] [PubMed][Green Version]
- Salzman, N.H.; Ghosh, D.; Huttner, K.M.; Paterson, Y.; Bevins, C.L. Protection against enteric salmonellosis in transgenic mice expressing a human intestinal defensin. Nature 2003, 422, 522–526. [Google Scholar] [CrossRef] [PubMed]
- Lin, Y.C.; Lin, J.H.; Chou, C.W.; Chang, Y.F.; Yeh, S.H.; Chen, C.C. Statins increase p21 through inhibition of histone deacetylase activity and release of promoter-associated HDAC1/2. Cancer Res. 2008, 68, 2375–2383. [Google Scholar] [CrossRef] [PubMed]
- Schwab, M.; Reynders, V.; Loitsch, S.; Steinhilber, D.; Schroder, O.; Stein, J. The dietary histone deacetylase inhibitor sulforaphane induces human β-defensin-2 in intestinal epithelial cells. Immunology 2008, 125, 241–251. [Google Scholar] [CrossRef] [PubMed]
- Liu, P.T.; Stenger, S.; Li, H.; Wenzel, L.; Tan, B.H.; Krutzik, S.R.; Ochoa, M.T.; Schauber, J.; Wu, K.; Meinken, C.; et al. Toll-like receptor triggering of a vitamin D-mediated human antimicrobial response. Science 2006, 311, 1770–1773. [Google Scholar] [CrossRef] [PubMed]
- Huang, F.C. The differential effects of 1,25-dihydroxyvitamin D3 on Salmonella-induced interleukin-8 and human β-defensin-2 in intestinal epithelial cells. Clin. Exp. Immunol. 2016, 185, 98–106. [Google Scholar] [CrossRef] [PubMed]
- Huang, F.C.; Huang, S.C. The different effects of probiotics treatment on Salmonella-induced interleukin-8 response in intestinal epithelia cells via PI3K/Akt and NOD2 expression. Benef. Microbes 2016, 7, 739–748. [Google Scholar] [CrossRef] [PubMed]
- Huang, F.C. De Novo sphingolipid synthesis is essential for Salmonella-induced autophagy and human β-defensin 2 expression in intestinal epithelial cells. Gut Pathog. 2016, 8, 5. [Google Scholar] [CrossRef] [PubMed]
- Huang, F.C. Differential regulation of interleukin-8 and human β-defensin 2 in Pseudomonas aeruginosa -infected intestinal epithelial cells. BMC Microbiol. 2014, 14, 275. [Google Scholar] [CrossRef] [PubMed]











© 2018 by the authors. Licensee MDPI, Basel, Switzerland. This article is an open access article distributed under the terms and conditions of the Creative Commons Attribution (CC BY) license (http://creativecommons.org/licenses/by/4.0/).
Share and Cite
Huang, F.-C.; Huang, S.-C. Differential Effects of Statins on Inflammatory Interleukin-8 and Antimicrobial Peptide Human Β-Defensin 2 Responses in Salmonella-Infected Intestinal Epithelial Cells. Int. J. Mol. Sci. 2018, 19, 1650. https://doi.org/10.3390/ijms19061650
Huang F-C, Huang S-C. Differential Effects of Statins on Inflammatory Interleukin-8 and Antimicrobial Peptide Human Β-Defensin 2 Responses in Salmonella-Infected Intestinal Epithelial Cells. International Journal of Molecular Sciences. 2018; 19(6):1650. https://doi.org/10.3390/ijms19061650
Chicago/Turabian StyleHuang, Fu-Chen, and Shun-Chen Huang. 2018. "Differential Effects of Statins on Inflammatory Interleukin-8 and Antimicrobial Peptide Human Β-Defensin 2 Responses in Salmonella-Infected Intestinal Epithelial Cells" International Journal of Molecular Sciences 19, no. 6: 1650. https://doi.org/10.3390/ijms19061650
APA StyleHuang, F.-C., & Huang, S.-C. (2018). Differential Effects of Statins on Inflammatory Interleukin-8 and Antimicrobial Peptide Human Β-Defensin 2 Responses in Salmonella-Infected Intestinal Epithelial Cells. International Journal of Molecular Sciences, 19(6), 1650. https://doi.org/10.3390/ijms19061650

