Binding Interactions of Zinc Cationic Porphyrin with Duplex DNA: From B-DNA to Z-DNA
Abstract
:1. Introduction
2. Results and Discussion
2.1. Characterizing the Formation of B-DNA and Z-DNA Conformations
2.2. Interaction of TMPyP4 with B-DNA and Z-DNA
2.3. Interaction of ZnTMPyP4 with B-DNA and Z-DNA
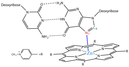
2.3.1. Interaction of ZnTMPyP4 with Right-Handed B-DNA
2.3.2. Interaction of ZnTMPyP4 with Left-Handed Z-DNA
3. Materials and Methods
3.1. Materials
3.2. Steady-State Spectroscopy
3.3. Laser Flash Photolysis
3.4. Structural Transition from B-DNA to Z-DNA
4. Conclusions
Supplementary Materials
Acknowledgments
Author Contributions
Conflicts of Interest
References
- Rich, A.; Nordheim, A.; Wang, A.H.-J. The chemistry and biology of left-handed Z-DNA. Annu. Rev. Biochem. 1984, 53, 791–846. [Google Scholar] [CrossRef] [PubMed]
- Belmont, P.; Constant, J.-F.; Demeunynck, M. Nucleic acid conformation diversity: From structure to function and regulation. Chem. Soc. Rev. 2001, 30, 70–81. [Google Scholar] [CrossRef]
- Pohl, F.M.; Jovin, T.M. Salt-induced co-operative conformational change of a synthetic DNA: Equilibrium and kinetic studies with poly (dG-dC). J. Mol. Biol. 1972, 67, 375–396. [Google Scholar] [CrossRef]
- Lafer, E.M.; Möller, A.; Nordheim, A.; Stollar, B.D.; Rich, A. Antibodies specific for left-handed Z-DNA. Proc. Natl. Acad. Sci. USA 1981, 78, 3546–3550. [Google Scholar] [CrossRef] [PubMed]
- Jovin, T.M.; Soumpasis, D.M.; McIntosh, L.P. The transition between B-DNA and Z-DNA. Annu. Rev. Phys. Chem. 1987, 38, 521–558. [Google Scholar] [CrossRef]
- Rich, A.; Zhang, S. Z-DNA: The long road to biological function. Nat. Rev. Genet. 2003, 4, 566. [Google Scholar] [CrossRef] [PubMed]
- Liu, R.; Liu, H.; Chen, X.; Kirby, M.; Brown, P.O.; Zhao, K. Regulation of CSF1 promoter by the SWI/SNF-like BAF complex. Cell 2001, 106, 309–318. [Google Scholar] [CrossRef]
- Xu, Y.; Zhang, Y.X.; Sugiyama, H.; Umano, T.; Osuga, H.; Tanaka, K. (P)-helicene displays chiral selection in binding to Z-DNA. J. Am. Chem. Soc. 2004, 126, 6566–6567. [Google Scholar] [CrossRef] [PubMed]
- Balaz, M.; De Napoli, M.; Holmes, A.E.; Mammana, A.; Nakanishi, K.; Berova, N.; Purrello, R. A cationic zinc porphyrin as a chiroptical probe for Z-DNA. Angew. Chem. Int. Ed. 2005, 44, 4006–4009. [Google Scholar] [CrossRef] [PubMed]
- Pasternack, R.F.; Sidney, D.; Hunt, P.A.; Snowden, E.A.; Gibbs, J. Interactions of water soluble porphyrins with Z-poly (dG-dC). Nucleic Acids Res. 1986, 14, 3927–3943. [Google Scholar] [CrossRef] [PubMed]
- McKinnie, R.E.; Choi, J.D.; Bell, J.W.; Pasternack, R.F.; Gibbs, E.J. Porphyrin induced Z to B conversion of poly (dG-dC)2 in ethanol. J. Inorg. Biochem. 1988, 32, 207–224. [Google Scholar] [CrossRef]
- D’Urso, A.; Mammana, A.; Balaz, M.; Holmes, A.E.; Berova, N.; Lauceri, R.; Purrello, R. Interactions of a tetraanionic porphyrin with DNA: From a Z-DNA sensor to a versatile supramolecular device. J. Am. Chem. Soc. 2009, 131, 2046–2047. [Google Scholar] [CrossRef] [PubMed]
- Choi, J.K.; D’Urso, A.; Balaz, M. Chiroptical properties of anionic and cationic porphyrins and metalloporphyrins in complex with left-handed Z-DNA and right-handed B-DNA. J. Inorg. Biochem. 2013, 127, 1–6. [Google Scholar] [CrossRef] [PubMed]
- Nejdl, L.; Ruttkay-Nedecky, B.; Kudr, J.; Krizkova, S.; Smerkova, K.; Dostalova, S.; Vaculovicova, M.; Kopel, P.; Zehnalek, J.; Trnkova, L.; et al. DNA interaction with zinc(II) ions. Int. J. Biol. Macromol. 2014, 64, 281–287. [Google Scholar] [CrossRef] [PubMed]
- Gong, L.; Jang, Y.J.; Kim, J.; Kim, S.K. Z-form DNA specific binding geometry of Zn(II) meso-tetrakis (N-methylpyridinium-4-yl) porphyrin probed by linear dichroism spectroscopy. J. Phys. Chem. B 2012, 116, 9619–9626. [Google Scholar] [CrossRef] [PubMed]
- Pasternack, R.F.; Gibbs, E.J.; Villafranca, J.J. Interactions of porphyrins with nucleic-acids. Biochemistry 1983, 22, 2406–2414. [Google Scholar] [CrossRef] [PubMed]
- McMillin, D.R.; Shelton, A.H.; Bejune, S.A.; Fanwick, P.E.; Wall, R.K. Understanding binding interactions of cationic porphyrins with B-form DNA. Coord. Chem. Rev. 2005, 249, 1451–1459. [Google Scholar] [CrossRef]
- Pasternack, R.F. Circular dichroism and the interactions of water soluble porphyrins with DNA—A minireview. Chirality 2003, 15, 329–332. [Google Scholar] [CrossRef] [PubMed]
- D’Urso, A.; Nardis, S.; Pomarico, G.; Fragalà, M.E.; Paolesse, R.; Purrello, R. Interaction of tricationic corroles with single/double helix of homopolymeric nucleic acids and DNA. J. Am. Chem. Soc. 2013, 135, 8632–8638. [Google Scholar] [CrossRef] [PubMed]
- Chirvony, V.S.; Galievsky, V.A.; Terekhov, S.N.; Dzhagarov, B.M.; Ermolenkov, V.V.; Turpin, P.Y. Binding of the cationic 5-coordinate Zn(II)-5, 10, 15, 20-tetrakis (4-N-methylpyridyl) porphyrin to DNA and model polynucleotides: Ionic-strength dependent intercalation in [poly (dG-dC)]2. Biospectroscopy 1999, 5, 302–312. [Google Scholar] [CrossRef]
- Song, D.; Yang, W.; Qin, T.; Wu, L.; Liu, K.; Su, H. Explicit differentiation of G-quadruplex/ligand interactions: Triplet excited states as sensitive reporters. J. Phys. Chem. Lett. 2014, 5, 2259–2266. [Google Scholar] [CrossRef] [PubMed]
- Qin, T.; Liu, K.; Song, D.; Yang, C.; Su, H. Porphyrin bound to i-motifs: Intercalation versus external groove binding. Chemistry-An Asian Journal 2017, 12, 1578–1586. [Google Scholar] [CrossRef] [PubMed]
- Yao, X.; Song, D.; Qin, T.; Yang, C.; Yu, Z.; Li, X.; Liu, K.; Su, H. Interaction between G-quadruplex and zinc cationic porphyrin: The role of the axial water. Sci. Rep. 2017, 7, 10951. [Google Scholar] [CrossRef] [PubMed]
- Kruk, N.N.; Dzhagarov, B.M.; Galievsky, V.A.; Chirvony, V.S.; Turpin, P.-Y. Photophysics of the cationic 5, 10, 15,20-tetrakis (4-N-methylpyridyl) porphyrin bound to DNA, [poly(dA-dT)]2 and [poly(dG-dC)]2: Interaction with molecular oxygen studied by porphyrin triplet-triplet absorption and singlet oxygen luminescence. J. Photochem. Photobiol. B Biol. 1998, 42, 181–190. [Google Scholar] [CrossRef]
- Mammana, A.; Pescitelli, G.; Asakawa, T.; Jockusch, S.; Petrovic, A.G.; Monaco, R.R.; Purrello, R.; Turro, N.J.; Nakanishi, K.; Ellestad, G.A.; et al. Role of environmental factors on the structure and spectroscopic response of 5′-DNA-porphyrin conjugates caused by changes in the porphyrin–porphyrin interactions. Chemistry-An Eurpoean Journal 2009, 15, 11853–11866. [Google Scholar] [CrossRef] [PubMed]
- Gilski, M.; Drozdzal, P.; Kierzek, R.; Jaskolski, M. Atomic resolution structure of a chimeric DNA-RNA Z-type duplex in complex with Ba2+ ions: A case of complicated multi-domain twinning. Acta Crystallogr. Sect. D Struct. Biol. 2016, 72, 211–223. [Google Scholar] [CrossRef] [PubMed]
- Taboury, J.; Bourtayre, P.; Liquier, J.; Taillandier, E. Interaction of Z form poly (dG-dC). Poly (dG-dC) with divalent metal ions: Localization of the binding sites by IR spectroscopy. Nucleic Acids Res. 1984, 12, 4247–4258. [Google Scholar] [CrossRef] [PubMed]
- Loprete, D.; Hartman, K. Conditions for the stability of the B, C, and Z structural forms of poly (dG-dC) in the presence of lithium, potassium, magnesium, calcium, and zinc cations. Biochemistry 1993, 32, 4077–4082. [Google Scholar] [CrossRef] [PubMed]
- Egli, M.; Williams, L.D.; Gao, Q.; Rich, A. Structure of the pure-spermine form of Z-DNA (magnesium free) at 1-Å Resolution. Biochemistry 1991, 30, 11388–11402. [Google Scholar] [CrossRef] [PubMed]
- Bancroft, D.; Williams, L.D.; Rich, A.; Egli, M. The low-temperature crystal structure of the pure-spermine form of Z-DNA reveals binding of a spermine molecule in the minor groove. Biochemistry 1994, 33, 1073–1086. [Google Scholar] [CrossRef] [PubMed]







| Sample | τ1 (μs) | τ2 (μs) |
|---|---|---|
| TMPyP4 | 1.7 ± 0.02 | |
| TMPyP4+B-DNA | 27.8 ± 0.3 | |
| TMPyP4+Z-DNA | 28.6 ± 0.2 | |
| ZnTMPyP4 | 2.6 ± 0.01 | |
| ZnTMPyP4+B-DNA | 11.9 ± 0.2 (42%) | 30.4 ± 0.1 (58%) |
| ZnTMPyP4+Z-DNA | 3.4 ± 0.3 (53%) | 14.8 ± 0.2 (47%) |
© 2018 by the authors. Licensee MDPI, Basel, Switzerland. This article is an open access article distributed under the terms and conditions of the Creative Commons Attribution (CC BY) license (http://creativecommons.org/licenses/by/4.0/).
Share and Cite
Qin, T.; Liu, K.; Song, D.; Yang, C.; Zhao, H.; Su, H. Binding Interactions of Zinc Cationic Porphyrin with Duplex DNA: From B-DNA to Z-DNA. Int. J. Mol. Sci. 2018, 19, 1071. https://doi.org/10.3390/ijms19041071
Qin T, Liu K, Song D, Yang C, Zhao H, Su H. Binding Interactions of Zinc Cationic Porphyrin with Duplex DNA: From B-DNA to Z-DNA. International Journal of Molecular Sciences. 2018; 19(4):1071. https://doi.org/10.3390/ijms19041071
Chicago/Turabian StyleQin, Tingxiao, Kunhui Liu, Di Song, Chunfan Yang, Hongmei Zhao, and Hongmei Su. 2018. "Binding Interactions of Zinc Cationic Porphyrin with Duplex DNA: From B-DNA to Z-DNA" International Journal of Molecular Sciences 19, no. 4: 1071. https://doi.org/10.3390/ijms19041071
APA StyleQin, T., Liu, K., Song, D., Yang, C., Zhao, H., & Su, H. (2018). Binding Interactions of Zinc Cationic Porphyrin with Duplex DNA: From B-DNA to Z-DNA. International Journal of Molecular Sciences, 19(4), 1071. https://doi.org/10.3390/ijms19041071
