Galectin-3 in Peripheral Artery Disease. Relationships with Markers of Oxidative Stress and Inflammation
Abstract
:1. Introduction
2. Results
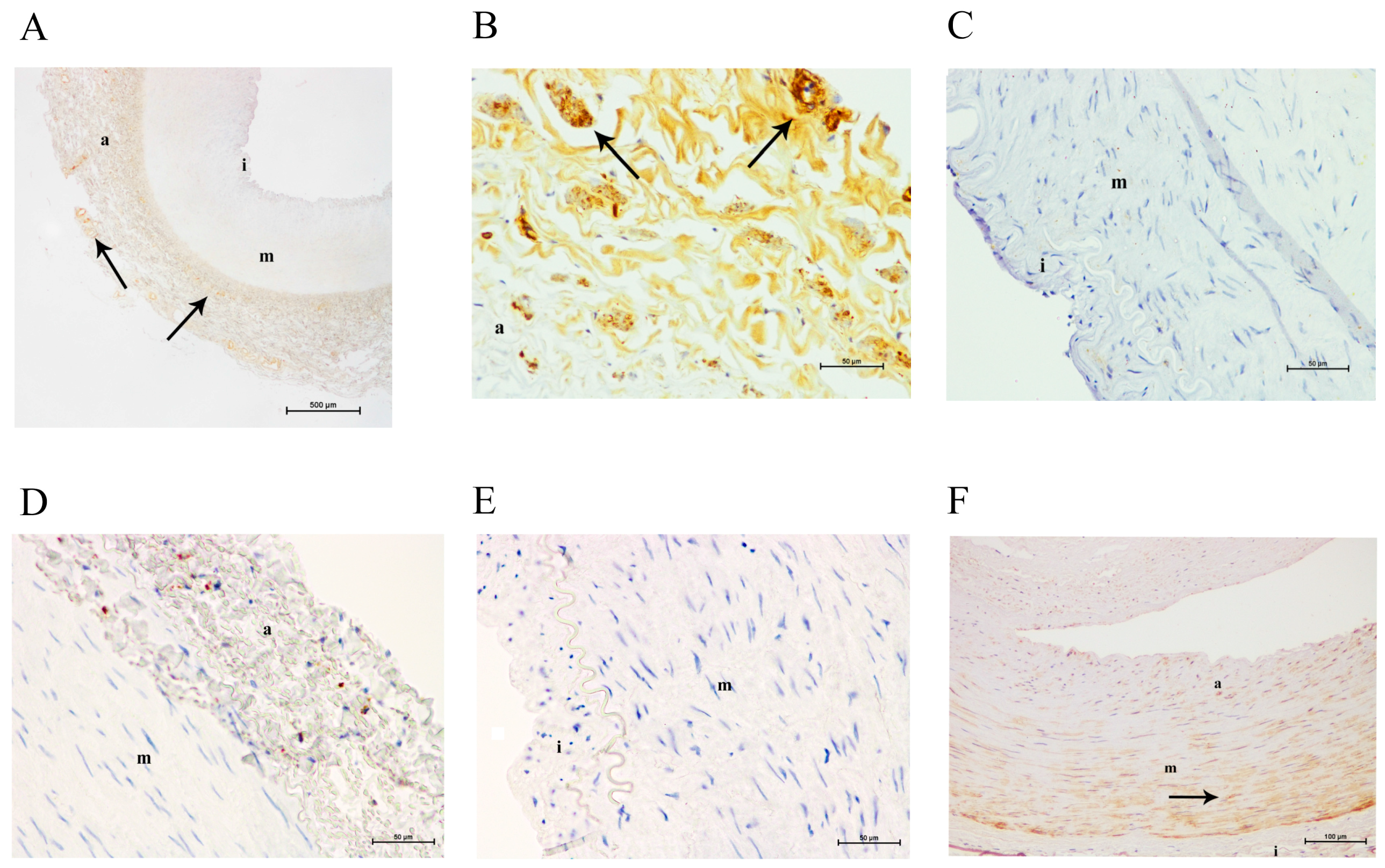
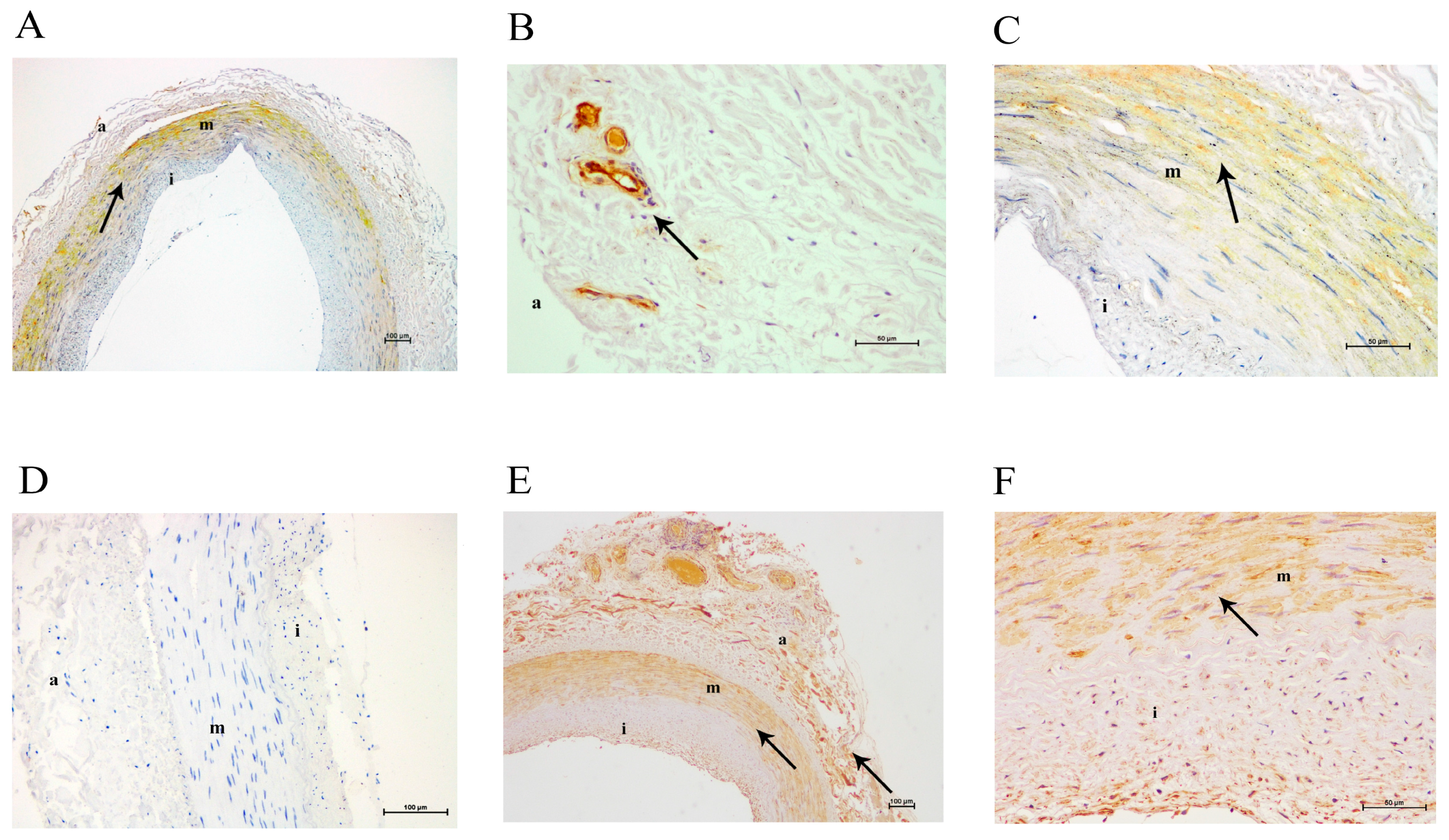
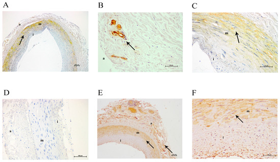
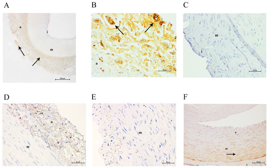
2.1. Histological and Immunohistochemical Analyses
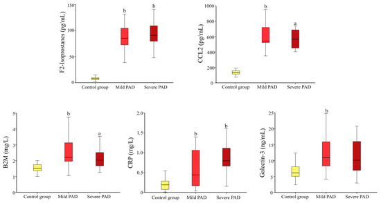
2.2. Biochemical Analyses
3. Discussion
4. Materials and Methods
4.1. Ethics Approval
4.2. Clinical Assessment of PAD Severity
4.3. Participants
4.3.1. Arteries from Normal Subjects and PAD Patients
4.3.2. Characteristics of Subjects for the Biochemical Study
4.4. Histological and Immunohistochemical Study
4.5. Biochemical Assessments
4.6. Statistical Analyses
5. Conclusions
Acknowledgments
Author Contributions
Conflicts of Interest
References
- Barondes, S.H.; Cooper, D.N.; Gitt, M.A.; Leffler, H. Galectins. Structure and function of a large family of animal lectins. J. Biol. Chem. 1994, 269, 20807–20810. [Google Scholar] [PubMed]
- Pugliese, G.; Iacobini, C.; Pesce, C.M.; Menini, S. Galectin-3: An emerging all-out player in metabolic disorders and their complications. Glycobiology 2015, 25, 136–150. [Google Scholar] [CrossRef] [PubMed]
- Rubinstein, N.; Ilarregui, J.M.; Toscano, M.A.; Rabinovich, G.A. The role of galectins in the initiation, amplification and resolution of the inflammatory response. Tissue Antigens 2004, 64, 1–12. [Google Scholar] [CrossRef] [PubMed]
- Paz, I.; Sachse, M.; Dupont, N.; Mounier, J.; Cederfur, C.; Enninga, J.; Leffler, H.; Poirier, F.; Prevost, M.C.; Lafont, F.; et al. Galectin-3, a marker for vacuole lysis by invasive pathogens. Cell. Microbiol. 2010, 12, 530–544. [Google Scholar] [CrossRef] [PubMed]
- DeRoo, E.P.; Wrobleski, S.K.; Shea, E.M.; Al-Khalil, R.K.; Hawley, A.E.; Henke, P.K.; Myers, D.D., Jr.; Wakefield, T.W.; Diaz, J.A. The role of galectin-3 and galectin-3-binding protein in venous thrombosis. Blood 2015, 125, 1813–1821. [Google Scholar] [CrossRef] [PubMed]
- Diaz, J.A.; Ramacciotti, E.; Wakefield, T.W. Do galectins play a role in venous thrombosis? A review. Thromb. Res. 2010, 125, 373–376. [Google Scholar] [CrossRef] [PubMed]
- Madrigal-Matute, J.; Lindholt, J.S.; Fernandez-Garcia, C.E.; Benito-Martin, A.; Burillo, E.; Zalba, G.; Beloqui, O.; Llamas-Granda, P.; Ortiz, A.; Egido, J.; et al. Galectin-3, a biomarker linking oxidative stress and inflammation with the clinical outcomes of patients with atherothrombosis. J. Am. Heart Assoc. 2014, 3, e000785. [Google Scholar] [CrossRef] [PubMed]
- Chen, S.C.; Kuo, P.L. The role of galectin-3 in the kidneys. Int. J. Mol. Sci. 2016, 17, 565. [Google Scholar] [CrossRef] [PubMed]
- Wang, L.; Guo, X.L. Molecular regulation of galectin-3 expression and therapeutic implication in cancer progression. Biomed. Pharmacother. 2016, 78, 165–171. [Google Scholar] [CrossRef] [PubMed]
- Menini, S.; Iacobini, C.; Blasetti Fantauzzi, C.; Pesce, C.M.; Pugliese, G. Role of galectin-3 in obesity and impaired glucose homeostasis. Oxid. Med. Cell Longev. 2016, 2016, 9618092. [Google Scholar] [CrossRef] [PubMed]
- Lala, R.I.; Puschita, M.; Darabantiu, D.; Pilat, L. Galectin-3 in heart failure pathology—“Another brick in the wall”? Acta Cardiol. 2015, 70, 323–331. [Google Scholar] [PubMed]
- Nachtigal, M.; Ghaffar, A.; Mayer, E.P. Galectin-3 gene inactivation reduces atherosclerotic lesions and adventitial inflammation in ApoE-deficient mice. Am. J. Pathol. 2008, 172, 247–255. [Google Scholar] [CrossRef] [PubMed]
- Papaspyridonos, M.; McNeill, E.; de Bono, J.P.; Smith, A.; Burnand, K.G.; Channon, K.M.; Greaves, D.R. Galectin-3 is an amplifier of inflammation in atherosclerotic plaque progression through macrophage activation and monocyte chemoattraction. Arterioscler. Thromb. Vasc. Biol. 2008, 28, 433–440. [Google Scholar] [CrossRef] [PubMed]
- MacKinnon, A.C.; Liu, X.; Hadoke, P.W.; Miller, M.R.; Newby, D.E.; Sethi, T. Inhibition of galectin-3 reduces atherosclerosis in apolipoprotein E-deficient mice. Glycobiology 2013, 23, 654–666. [Google Scholar] [CrossRef] [PubMed]
- Yu, L.; Ruifrok, W.P.; Meissner, M.; Bos, E.M.; van Goor, H.; Sanjabi, B.; van der Harst, P.; Pitt, B.; Goldstein, I.J.; Koerts, J.A.; et al. Genetic and pharmacological inhibition of galectin-3 prevents cardiac remodeling by interfering with myocardial fibrogenesis. Circ. Heart Fail. 2013, 6, 107–117. [Google Scholar] [CrossRef] [PubMed]
- Menini, S.; Iacobini, C.; Ricci, C.; Blasetti, F.C.; Salvi, L.; Pesce, C.M.; Relucenti, M.; Familiari, G.; Taurino, M.; Pugliese, G. The galectin-3/RAGE dyad modulates vascular osteogenesis in atherosclerosis. Cardiovasc. Res. 2013, 100, 472–480. [Google Scholar] [CrossRef] [PubMed]
- Sharma, U.C.; Pokharel, S.; van Brakel, T.J.; van Berlo, J.H.; Cleutjens, J.P.; Schroen, B.; Andre, S.; Crijns, H.J.; Gabius, H.J.; Maessen, J.; et al. Galectin-3 marks activated macrophages in failure-prone hypertrophied hearts and contributes to cardiac dysfunction. Circulation 2004, 110, 3121–3128. [Google Scholar] [CrossRef] [PubMed]
- Salvagno, G.L.; Pavan, C. Prognostic biomarkers in acute coronary syndrome. Ann. Trans. Med. 2016, 4, 258. [Google Scholar] [CrossRef] [PubMed]
- Hashmi, S.; Al-Salam, S. Galectin-3 is expressed in the myocardium very early post-myocardial infarction. Cardiovasc. Pathol. 2015, 24, 213–223. [Google Scholar] [CrossRef] [PubMed]
- Sharma, U.C.; Mosleh, W.; Chaudhari, M.R.; Katkar, R.; Weil, B.; Evelo, C.; Cimato, T.R.; Pokharel, S.; Blankesteijn, W.M.; Suzuki, G. Myocardial and serum galectin-3 expression dynamics marks post-myocardial infarction cardiac remodelling. Heart Lung Circ. 2016. [Google Scholar] [CrossRef] [PubMed]
- Criqui, M.H. Peripheral arterial disease–epidemiological aspects. Vasc. Med. 2001, 6 (Suppl. S3), S3–S7. [Google Scholar] [CrossRef] [PubMed]
- Strzyżewski, K.W.; Pioruńska-Stolzmann, M.; Majewski, W.; Kasprzak, M.; Strzyżewski, W. Effect of surgical treatment on lipid peroxidation parameters and antioxidant status in the serum of patients with peripheral arterial disease. Dis. Markers 2013, 35, 647–652. [Google Scholar] [CrossRef] [PubMed]
- Rull, A.; Camps, J.; Alonso-Villaverde, C.; Joven, J. Insulin resistance, inflammation, and obesity: Role of monocyte chemoattractant protein-1 (or CCL2) in the regulation of metabolism. Mediat. Inflamm. 2010, 2010, 326580. [Google Scholar] [CrossRef] [PubMed]
- Rull, A.; García, R.; Fernández-Sender, L.; Beltrán-Debón, R.; Aragonès, G.; Alegret, J.M.; Alonso-Villaverde, C.; Mackness, B.; Mackness, M.; Camps, J.; et al. The role of combined assessment of defense against oxidative stress and inflammation in the evaluation of peripheral arterial disease. Curr. Mol. Med. 2011, 11, 453–464. [Google Scholar] [CrossRef] [PubMed]
- McDermott, M.M.; Lloyd-Jones, D. The role of biomarkers and genetics in peripheral artery disease. J. Am. Coll. Cardiol. 2009, 54, 1228–1237. [Google Scholar] [CrossRef] [PubMed]
- Cooke, J.P.; Wilson, A.M. Biomarkers of peripheral artery disease. J. Am. Coll. Cardiol. 2010, 55, 2017–2023. [Google Scholar] [CrossRef] [PubMed]
- Fort-Gallifa, I.; García-Heredia, A.; Hernández-Aguilera, A.; Simó, J.M.; Sepúlveda, J.; Martín-Paredero, V.; Camps, J.; Joven, J. Biochemical indices of oxidative stress and inflammation in the evaluation of peripheral artery disease. Free Radic. Biol. Med. 2016, 97, 568–576. [Google Scholar] [CrossRef] [PubMed]
- Kim, H.; Lee, J.; Hyun, J.W.; Park, J.W.; Joo, H.G.; Shin, T. Expression and immunohistochemical localization of galectin-3 in various mouse tissues. Cell. Biol. Int. 2007, 31, 655–662. [Google Scholar] [CrossRef] [PubMed]
- Henderson, N.C.; Mackinnon, A.C.; Farnworth, S.L.; Poirier, F.; Russo, F.P.; Iredale, J.P.; Haslett, C.; Simpson, K.J.; Sethi, T. Galectin-3 regulates myofibroblast activation and hepatic fibrosis. Proc. Natl. Acad. Sci. USA 2006, 103, 5060–5065. [Google Scholar] [CrossRef] [PubMed]
- Qian, X.; Li, M.; Wagner, M.B.; Chen, G.; Song, X. Doxazosin stimulates galectin-3 expression and collagen synthesis in HL-1 cardiomyocytes independent of protein kinase C pathway. Front. Pharmacol. 2016, 7, 495. [Google Scholar] [CrossRef] [PubMed]
- Sádaba, J.R.; Martínez-Martínez, E.; Arrieta, V.; Álvarez, V.; Fernández-Celis, A.; Ibarrola, J.; Melero, A.; Rossignol, P.; Cachofeiro, V.; López-Andrés, N. Role for galectin-3 in calcific aortic valve stenosis. J. Am. Heart Assoc. 2016, 5, e004360. [Google Scholar] [CrossRef] [PubMed]
- Rull, A.; Hernandez-Aguilera, A.; Fibla, M.; Sepulveda, J.; Rodríguez-Gallego, E.; Riera-Borrull, M.; Sirvent, J.J.; Martín-Paredero, V.; Menendez, J.A.; Camps, J.; et al. Understanding the role of circulating chemokine (C–C motif) ligand 2 in patients with chronic ischemia threatening the lower extremities. Vasc. Med. 2014, 19, 442–451. [Google Scholar] [CrossRef] [PubMed]
- Rong, J.X.; Shapiro, M.; Trogan, E.; Fisher, E.A. Transdifferentiation of mouse aortic smooth muscle cells to a macrophage-like state after cholesterol loading. Proc. Natl. Acad. Sci. USA 2003, 100, 13531–13536. [Google Scholar] [CrossRef] [PubMed]
- Hernández-Aguilera, A.; Sepúlveda, J.; Rodríguez-Gallego, E.; Guirro, M.; García-Heredia, A.; Cabré, N.; Luciano-Mateo, F.; Fort-Gallifa, I.; Martín-Paredero, V.; Joven, J.; et al. Immunohistochemical analysis of paraoxonases and chemokines in arteries of patients with peripheral artery disease. Int. J. Mol. Sci. 2015, 16, 11323–11338. [Google Scholar] [CrossRef] [PubMed]
- Casanegra, A.I.; Stoner, J.A.; Tafur, A.J.; Pereira, H.A.; Rathbun, S.W.; Gardner, A.W. Differences in galectin-3, a biomarker of fibrosis, between participants with peripheral artery disease and participants with normal ankle-brachial index. Vasc. Med. 2016, 21, 437–444. [Google Scholar] [CrossRef] [PubMed]
- Suzuki, Y.; Inoue, T.; Yoshimaru, T.; Ra, C. Galectin-3 but not galectin-1 induces mast cell death by oxidative stress and mitochondrial permeability transition. Biochim. Biophys. Acta 2008, 1783, 924–934. [Google Scholar] [CrossRef] [PubMed]
- Martínez-Martínez, E.; Jurado-López, R.; Valero-Muñoz, M.; Bartolomé, M.V.; Ballesteros, S.; Luaces, M.; Briones, A.M.; López-Andrés, N.; Miana, M.; Cachofeiro, V. Leptin induces cardiac fibrosis through galectin-3, mTOR and oxidative stress: Potential role in obesity. J. Hypertens. 2014, 32, 1104–1114. [Google Scholar] [CrossRef] [PubMed]
- Medvedeva, E.A.; Berezin, I.I.; Surkova, E.A.; Yaranov, D.M.; Shchukin, Y.V. Galectin-3 in patients with chronic heart failure: Association with oxidative stress, inflammation, renal dysfunction and prognosis. Minerva Cardioangiol. 2016, 64, 595–602. [Google Scholar] [PubMed]
- La’ulu, S.L.; Apple, F.S.; Murakami, M.M.; Ler, R.; Roberts, W.L.; Straseski, J.A. Performance characteristics of the ARCHITECT Galectin-3 assay. Clin. Biochem. 2013, 46, 119–122. [Google Scholar] [CrossRef] [PubMed]
- Gruson, D.; Mancini, M.; Ahn, S.A.; Rousseau, M.F. Measurement of Galectin-3 with the ARCHITECT assay: Clinical validity and cost-effectiveness in patients with heart failure. Clin. Biochem. 2014, 47, 1006–1009. [Google Scholar] [CrossRef] [PubMed]
- Gruson, D.; Mancini, M.; Ahn, S.A.; Rousseau, M.F. Galectin-3 testing: Validity of a novel automated assay in heart failure patients with reduced ejection fraction. Clin. Chim. Acta 2014, 429, 189–193. [Google Scholar] [CrossRef] [PubMed]
- Becker, F. Exploration of arterial function with noninvasive technics. Results in chronic arterial occlusive disease of the lower limbs according to Leriche and Fontaine classification. Int. Angiol. 1985, 4, 311–322. [Google Scholar] [PubMed]
- Al-Qaisi, M.; Nott, D.M.; King, D.H.; Kaddoura, S. Ankle brachial pressure index (ABPI): An update for practitioners. Vasc. Health Risk Manag. 2009, 5, 833–841. [Google Scholar] [CrossRef] [PubMed]
- Krishnan, P.; Purushothaman, K.R.; Purushothaman, M.; Turnbull, I.C.; Tarricone, A.; Vasquez, M.; Jain, S.; Baber, U.; Lascano, R.A.; Kini, A.S.; et al. Enhanced neointimal fibroblast, myofibroblast content and altered extracellular matrix composition: Implications in the progression of human peripheral artery restenosis. Atherosclerosis 2016, 251, 226–233. [Google Scholar] [CrossRef] [PubMed]
- Zweig, M.H.; Campbell, G. Receiver-operating characteristics (ROC) plots: A fundamental evaluation tool in clinical medicine. Clin. Chem. 1993, 39, 561–577. [Google Scholar] [PubMed]






| Variable | Control Group (n = 72) | PAD (n = 86) | p-Value |
|---|---|---|---|
| Age, years | 63 (59–73) | 66 (49–87) | 0.529 |
| Male gender, n (%) | 47 (65.3) | 68 (79.1) | 0.039 |
| Smoking, n (%) | 17 (23.6) | 6 (10.9) | 0.048 |
| Medications, n (%) | |||
| Antiplatelet drugs | Not recorded | 25 (29.0) | |
| Statins | 48 (55.8) | ||
| Antidiabetic drugs | 48 (55.8) | ||
| Angiotensin converting enzyme inhibitors | 48 (55.8) | ||
| Angiotensin receptor antagonists | 41 (47.6) | ||
| Calcium receptor antagonists | 55 (63.9) | ||
| Diuretics | 46 (53.5) | ||
| Anti-arrhythmia drugs | 73 (84.9) | ||
| Beta-blockers | 73 (84.9) | ||
| Bronchodilators | 59 (68.6) | ||
| Arterial hypertension, n (%) | 12 (16.9) | 28 (63.6) | <0.001 |
| Diabetes mellitus, n (%) | 4 (5.6) | 29 (67.4) | <0.001 |
| Dyslipidemia, n (%) | 7 (9.9) | 20 (46.5) | <0.001 |
| Ischemic heart disease, n (%) | 0 | 4 (22.2) | |
| Chronic obstructive pulmonary disease, n (%) | 0 | 9 (25.0) | |
| Ankle brachial index = 0.4–0.9 | Not applicable | 81 (94.2) | |
| Ankle brachial index < 0.4 | Not applicable | 5 (5.8) | |
| Fontaine classification | |||
| Stage I, n (%) | Not applicable | 3 (3.4) | |
| Stage II, n (%) | Not applicable | 37 (43.0) | |
| Stage III, n (%) | Not applicable | 9 (10.5) | |
| Stage IV, n (%) | Not applicable | 37 (43.0) | |
| Galectin-3, ng/mL | 6.13 (3.05–12.2) | 10.79 (4.21–19.09) | <0.001 |
| F2-isoprostanes, pg/mL | 7.76 (3.03–14.82) | 90.91 (47.62–141.71) | <0.001 |
| Chemokine (C–C motif) ligand 2, pg/mL | 136.34 (88.37–203.22) | 565.75 (211.00–1154.00) | <0.001 |
| β-2-microglobulin, mg/L | 1.53 (1.09–2.35) | 2.22 (1.34–4.55) | <0.001 |
| C-reactive protein, mg/L | 0.19 (0.02–0.74) | 0.80 (0.07–2.82) | <0.001 |
| Variable | No | Yes | p-Value |
|---|---|---|---|
| Male gender | 11.22 (5.50–19.13) | 10.60 (4.07–19.98) | 0.361 |
| Smoking | 10.84 (4.57–19.00) | 10.53 (18.89–26.55 | 0.948 |
| Arterial hypertension | 8.79 (3.29–16.76) | 10.64 (5.13–23.12) | 0.222 |
| Diabetes mellitus | 10.57 (3.29–24.69) | 10.18 (4.08–19.00) | 0.726 |
| Dyslipidemia | 10.10 (3.46–20.61) | 10.20 (4.11–24.41) | 0.932 |
| Ischemic heart disease | 8.79 (6.55–18.31) | 9.43 (4.88–24.69) | 0.878 |
| Chronic obstructive pulmonary disease | 9.72 (4.06–22.14) | 11.45 (3.29–21.19) | 0.349 |
| Parameter | Spearman’s ρ | p-Value |
|---|---|---|
| F2-isoprostanes | 0.437 | <0.001 |
| Chemokine (C−C motif) ligand | 0.295 | 0.005 |
| C-reactive protein | 0.341 | <0.001 |
| β-2-microglobulin | 0.544 | <0.001 |
© 2017 by the authors. Licensee MDPI, Basel, Switzerland. This article is an open access article distributed under the terms and conditions of the Creative Commons Attribution (CC BY) license (http://creativecommons.org/licenses/by/4.0/).
Share and Cite
Fort-Gallifa, I.; Hernández-Aguilera, A.; García-Heredia, A.; Cabré, N.; Luciano-Mateo, F.; Simó, J.M.; Martín-Paredero, V.; Camps, J.; Joven, J. Galectin-3 in Peripheral Artery Disease. Relationships with Markers of Oxidative Stress and Inflammation. Int. J. Mol. Sci. 2017, 18, 973. https://doi.org/10.3390/ijms18050973
Fort-Gallifa I, Hernández-Aguilera A, García-Heredia A, Cabré N, Luciano-Mateo F, Simó JM, Martín-Paredero V, Camps J, Joven J. Galectin-3 in Peripheral Artery Disease. Relationships with Markers of Oxidative Stress and Inflammation. International Journal of Molecular Sciences. 2017; 18(5):973. https://doi.org/10.3390/ijms18050973
Chicago/Turabian StyleFort-Gallifa, Isabel, Anna Hernández-Aguilera, Anabel García-Heredia, Noemí Cabré, Fedra Luciano-Mateo, Josep M. Simó, Vicente Martín-Paredero, Jordi Camps, and Jorge Joven. 2017. "Galectin-3 in Peripheral Artery Disease. Relationships with Markers of Oxidative Stress and Inflammation" International Journal of Molecular Sciences 18, no. 5: 973. https://doi.org/10.3390/ijms18050973
APA StyleFort-Gallifa, I., Hernández-Aguilera, A., García-Heredia, A., Cabré, N., Luciano-Mateo, F., Simó, J. M., Martín-Paredero, V., Camps, J., & Joven, J. (2017). Galectin-3 in Peripheral Artery Disease. Relationships with Markers of Oxidative Stress and Inflammation. International Journal of Molecular Sciences, 18(5), 973. https://doi.org/10.3390/ijms18050973

