Abstract
The aim of this study was to investigate the effect of exogenous nitric oxide (NO), i.e., S-nitrosoglutathione (GSNO) and sodium nitroprusside (SNP), on the metabolic status of Pisum sativum L. cv. Cysterski leaves infested by Acyrthosiphon pisum Harris, population demographic parameters and A. pisum feeding activity. A reduction in the level of semiquinone radicals in pea seedling leaves pretreated with exogenous NO occurred 24 h after A. pisum infestation, which was earlier than in non-pretreated leaves. A decrease in the level of O2•− was observed in leaves pretreated with GSNO and infested by aphids at 48 and 72 h post-infestation (hpi). Directly after the pretreatment with GSNO, an increase in the level of metal ions was recorded. NO considerably induced the relative mRNA levels for phenylalanine ammonia-lyase in 24-h leaves pretreated with NO donors, both non-infested and infested. NO stimulated the accumulation of pisatin in leaves until 24 h. The Electrical Penetration Graph revealed a reduction in the feeding activity of the pea aphid on leaves pretreated with NO. The present study showed that foliar application of NO donors induced sequentially defense reactions of pea against A. pisum and had a deterrent effect on aphid feeding and limited the population growth rate.
1. Introduction
Plants, similarly as animals, have an innate immune system which recognizes conserved microbe/pathogens-associated molecular patterns (MAMPs/PAMPs) or herbivore-associated molecular patterns (HAMPs). Although plants do not have mobile defenders or an adaptive immune system, they have their own extensive defense strategies. For example, they can use systemic signals sent from infection/infestation sites [1]. The capacity of plants to mobilize defensive reactions is strongly related to their physiological status [2]. The metabolic status of plants is dependent on the stage of development, nutrition and environmental conditions. In response to attacks of herbivores, they induce a wide spectrum of defense reactions directed against the attackers both at the site of infestation and systemically. Examples of such reactions include global changes in gene expression [3,4], cell wall strengthening [5,6], biosynthesis of secondary metabolites [7,8,9,10] and pathogenesis-related (PR) proteins [11,12]. The above-mentioned plant responses are preceded by the transmission of defense response signal cascades. Signals are mediated by second messengers such as Ca2+ ions, protein kinases, reactive oxygen/ nitrogen species (ROS/RNSs) and bioactive endogenous molecules such as phytohormones [13,14]. Therefore, phytophagous insects may encounter a strong defensive barrier as a result of induction of PAMP-triggered immunity (PTI) [15].
The aphid Acyrthosiphon pisum Harris is an oligophagous herbivore that infests plants of the Fabaceae family, especially those of the tribes Genistae, Trifoliae, and Fabeae, including plants of high economic importance such as pea Pisum sativum L. The feeding of A. pisum causes plant injury by removing plant sap with the sucking-piercing mouthparts. Beside direct damage, the pea aphid vectors more than 30 non-persistent and persistent viruses [16].
The present study highlights the effect of known NO donors producing the NO+ (sodium nitroprusside, SNP) and NO forms (nitrosoglutathione, GSNO) on demographic parameters of the pea aphid population, feeding activity and defense reactions of pea seedlings. This is the first report revealing the dynamics of defense (changes in the redox status, phenylpropanoid metabolism and β-glucosidase activity) induced by exogenous NO in plant response to aphid attack.
In the past 20 years, the perception of NO has evolved from a gaseous free radical to a molecule that plays a crucial role in diverse physiological processes [17]. The regulatory function of NO is primarily associated with post-translationally modified proteins. NO can control physiological processes also directly by regulating gene transcription [18]. As reported by Corpas and Barroso [19], nitric oxide (NO), peroxynitrite (ONOO−) and S-nitrosoglutathione (GSNO) are components which have important signaling functions in higher plants under physiological and stress conditions. These molecules can bind to metal centres, contribute to S-nitrosylation of thiol groups and nitration of tyrosine [20,21,22,23]. Therefore, NO may directly affect the activity of plant proteins and the signaling cascade leading to changes in gene expression [24,25,26,27]. NO can influence transduction processes by the regulation of key signaling proteins, i.e. protein kinases (MAPK, CDPK and SnRK) and Ca2+-permeable channels, as well as the mobilization of secondary messengers including intracellular Ca2+, cGMP, and cADPR, and phosphorylation-dependent processes [22,28]. Therefore, the cross-talk interactions between NO, Ca2+, and protein kinases in plant cells exposed to environmental stimuli might influence the dynamic of gene expression regulation. In the past 20 years, the perception of NO has evolved from a gaseous free radical to a molecule that plays a crucial role in diverse physiological processes [17]. The regulatory function of NO is primarily associated with post-translationally modified proteins. NO can control physiological processes also directly by regulating gene transcription [18]. As reported by Corpas and Barroso [19], nitric oxide (NO), peroxynitrite (ONOO−) and S-nitrosoglutathione (GSNO) are components which have important signaling functions in higher plants under physiological and stress conditions. These molecules can bind to metal centres, contribute to S-nitrosylation of thiol groups and nitration of tyrosine [20,21,22,23]. Therefore, NO may directly affect the activity of plant proteins and the signaling cascade leading to changes in gene expression [24,25,26,27]. NO can influence transduction processes by the regulation of key signaling proteins, i.e. protein kinases (MAPK, CDPK and SnRK) and Ca2+-permeable channels, as well as the mobilization of secondary messengers including intracellular Ca2+, cGMP, and cADPR, and phosphorylation-dependent processes [22,28]. Therefore, the cross-talk interactions between NO, Ca2+, and protein kinases in plant cells exposed to environmental stimuli might influence the dynamic of gene expression regulation.
In order to explain the role of NO in the organism commercially available NO donors are used in most experiments [29]. NO localization and release kinetics determine specific functions of this molecule [30]. In plants NO is generated from nitrite (NO2−), l-arginine and possibly other N-compounds via distinct enzymatic and chemical processes. In nonenzymatic processes NO is released from nitrous acid and S-nitrosoglutathione [31]. In in vitro experiments the chemical breakdown of NO donor molecules, i.e. sodium nitroprusside (SNP), S-nitroso-N-acetylpenicillamine (SNAP), S-nitrosoglutathione (GSNO) and 3-morpholinosydnomine(SIN-1), leads to the release of NO [32,33]. The influence of NO donor, S-nitrosoglutathione (GSNO) and sodium nitroprusside (SNP) on the plant immune response was demonstrated in studies concerning the impacts of biotic factors such as fungal pathogens [34,35]. In turn, for abiotic stresses the application of an NO donor (e.g., SNP) was shown to reduce detrimental effects of abiotic stressors [36,37]. Studies on NO, being a reactive nitrogen species, have shown its effect on different cells to be either protective or toxic, depending on its concentration and on the location [20]. Moreover, ROS may be scavenged by NO, which is an antioxidant agent as well as a signaling molecule, thus altering antioxidative gene expression and as a result protecting plant cells against oxidative damage [37]. On the other hand, Davies [38] reported that in insects NO signaling is involved in various physiological processes, such as reproduction, locomotion, olfaction, learning and memory [39]. Moreover, research conducted by Liu [40] suggests an insecticidal activity of NO. Being a signal molecule in biological systems nitric oxide proved to be an effective and safe agent applicable in insect control under ultralow oxygen conditions.
The preliminary aim of our studies was to verify the effect of exogenous NO, i.e., S-nitrosoglutathione (GSNO) or sodium nitroprusside (SNP), on demographic parameters of Acyrthosiphon pisum population and feeding activity. Apart from these investigations the primary objective was to verify if exogenous NO induces defense reactions in leaves of pea seedlings (Pisum sativum L. cv. Cysterski) against A. pisum Harris. Therefore, initial investigations concerned the effects of NO donors alone and cross-talk of exogenous NO and A. pisum infestation on changes in cell redox status, i.e., concentrations of free radicals and levels of Mn2+ and Fe3+ ions, with the use of electron paramagnetic resonance spectroscopy (EPR). Moreover, one aim of the research was to determine the expression of genes encoding phenylalanine ammonialyase (PAL), as an enzyme initiating phenylpropanoid metabolism, and the levels of flavonoids, including pisatin, in leaves exposed to NO donors, either A. pisum infested and non-infested. In addition, changes in β-glucosidase activity, the enzyme hydrolysing free aglycones from their glycoside bonds, were determined. Therefore, in the present study we showed how pretreatment with NO donors influences defense reactions sequence and its intensity in the leaves of pea seedlings. Identification of defense responses of pea leaves in the context of the pretreatment with exogenous NO and the impact of NO on A. pisum population growth rate and feeding activity is completely novel. In order to develop long-term and sustainable aphid control strategies it is crucial to understand the role of plant immunity and the induction of defense against aphids.
2. Results
2.1. The Effect of Nitric Oxide Donors on Demographic Parameters of Acyrthosiphon pisum Population
The treatment of pea seedlings with exogenous NO extends the pre-reproductive period by ca. 1 day, but it does not affect the survival of larvae (Table 1). The observations revealed that in the control 100% larvae reached maturity and after GSNO/SNP treatment about 95%. Statistical analysis confirmed significance of differences in these results (Table S1). Also, GSNO and the SNP had a significant impact on the length of the period of reproduction of A. pisum (Table 1 and Table 2). Therefore, NO donors limited approximately twice the duration of the period of reproduction and influenced the decrease in fertility of A. pisum (Figure 1). The highest rm (intrinsic rate of increase) was recorded for A. pisum cultivated on control seedlings (untreated NO donor) (0.270), and the lowest rm was found for aphids cultured on seedlings treated with GSNO (0.217) (Table 2). Analysis of demographic parameters revealed that, within a 24-h period on the control seedlings, the population of A. pisum increases 1.31 times, whereas on seedlings treated with GSNO, the population of A. pisum increased 1.242 times; whereas on seedlings treated with SNP, it increased 1.257 times. Mean generation time (T) of A. pisum cultured on seedlings from all experimental variants (control and GSNO/SNP) was approximately 13 days and at that time the aphid population was increasing 33.672 times for the control, for aphids cultured on seedlings treated with SNP it was 18.22 times and for aphids cultured on seedlings treated with GSNO 16.510 times.
Table 1.
Mean developmental time, longevity, total fecundity and rate of development of A. pisum on P. sativum seedlings exposed to pretreatment with an NO donor or with no pretreatment (control) (n = 20). Hypotheses on equality of means were verified by the two-sample t-test (Table S1).
Table 2.
Population and life table parameters of apterous A. pisum on P. sativum seedlings exposed to pretreatment with an NO donor or with no pretreatment (control). Ro, net reproductive rate; rm, intrinsic rate of increase; λ, finite rate of increase; T, generation time; DT, doubling time.
Figure 1.
Effect of nitric oxide donors on fecundity of 20 apterous females Acyrthosiphon pisum cultured on the Pisum sativum L. cv. Cysterski seedlings. Values are means ± SE from 20 replicates per treatment. Hypotheses on equality of means were verified by the two-sample t-test (Table S1). To account for multiple testing, we used the Bonferroni correction.
2.2. Effect of Exogenous Nitric Oxide on Behavioral Responses of A. pisum during Probing in Plant Tissues of Pea
The analysis of EPG recordings exposed various aphid behaviors associated with stylet position both inside and outside plant tissues: non-penetration (np), probing in the mesophyll (C) including the so-called “derailed” stylet movements (F), probing in phloem tissue including salivation (E1) and sap ingestion (E2), and ingestion of xylem sap (G). “Derailed” stylet movements (F) and the xylem phase (G) occurred sporadically irrespective of treatment, therefore they were analysed together with pathway activity (C) and defined as probing in non-phloem tissues. The typical behavior of A. pisum on the control seedlings consisted mainly of probing activities (>90% of experimental time) that were associated with the pathway and phloem phases (phloem phase index: 0.6). Probing was divided into 54 probes on average and 10% of these probes contained a phloem phase. On average, the time to reach phloem sieve elements was 2 h and the delay between finding sieve elements (1st period of phloem salivation E1) and sustained sap uptake (E2 longer than 10 min) was 0.1 h. There were 10.4 phloem phase periods per aphid. These phloem phases included primarily sap consumption: the proportion of saliva secretion in aphid activity in sieve elements was very low (phloem salivation index: 0.02) (Table 3). Aphid probing behavior on 24 h +GSNO seedlings did not differ significantly from individuals on control seedlings: the duration, frequency and sequence of individual phases of probing, including the phloem phase, were similar. In contrast, significant changes in the pea aphid probing activities occurred on 48 h +GSNO plants in relation to the control and 24 h +GSNO seedlings: the occurrences of the first phloem phase E1 and the first sustained ingestion phase E2 > 10 min. were delayed by approximately five and four hours, respectively, and the share of the phloem phase in probing activities decreased by 20% (Table 3). On 24 h +SNP and 48 h +SNP seedlings there occurred an increasing tendency for aphids to keep stylets outside plant tissues (i.e., longer non-probing periods and shorter pathway activity). The time dedicated to activities during probing in sieve elements was comparable to the duration of these activities on control plants, but aphids on 24 h +SNP seedlings reached phloem vessels and started sap ingestion significantly later than on control seedlings. Similar tendencies were found for aphids on 48 h +SNP seedlings. No statistically significant differences were observed in behavior between aphids on 24 h +SNP and 48 h +SNP seedlings (Table 4).
Table 3.
Mean (± SE) non-sequential and sequential electrical penetration graph (EPG) parameters describing the probing behavior of A. pisum on P. sativum L. treated with GSNO.
Table 4.
Mean (± SE) non-sequential and sequential electrical penetration graph (EPG) parameters describing the probing behavior of Acyrthosiphon pisum on Pisum sativum treated with SNP.
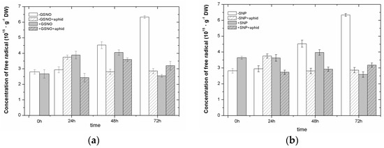
2.3. The Effect of Nitric Oxide Donors and A. pisum on Semiquinone Radical Generation
A. pisum feeding alone caused an increase in the concentration of semiquinone radicals with one g-values, 2.0026 ± 0.0005 in leaves, but it was observed only at 24 hpi. In turn, in subsequent time points after A. pisum feeding in −GSNO + aphid/−SNP + aphid leaves concentrations of these radicals decreased significantly in relation to the control leaves (−GSNO/−SNP). Pretreatment with SNP, but not GSNO, stimulated generation of semiquinone radicals already at 0 h of experiment (24 h after application), which was detected using electron paramagnetic resonance spectroscopy (EPR) (Figure 2a,b); the concentration of these radicals in pea leaves pretreated with SNP (+SNP) was 29% higher than in non-pretreated leaves (−SNP). Furthermore, already at 24 hpi and then at 48 hpi in leaves pretreated with GSNO/SNP and infested by A. pisum (GSNO + aphid/SNP + aphid), a reduction in semiquinone radicals in relation to pretreated and non-infested (+GSNO/+SNP) leaves was recorded. Statistical analysis showed highly significant differences in these results (Table S2).

Figure 2.
Effect of nitric oxide donors and A. pisum on concentrations of: semiquinone radical (a,b); manganese (c,d); and iron ions (e,f) in leaves of P. satium L. cv. Cysterski . The data were obtained in three independent experiments and statistically analysed using ANOVA (p-values at α = 0.05). Hypotheses on the equality of means were verified by the two-sample t-test. To account for multiple testing, we used the Bonferroni correction (statistically significant differences are shown in Table S2).
2.4. The Effect of Nitric Oxide Donors and A. pisum on the Concentration of Manganese (Mn2+) and Iron (Fe3+) Ions
EPR spectroscopy revealed the presence of Mn2+ ions with g-values of 2.00 (0.01) (Figure 2c,d) and Fe3+ ions with g-values of 4.27 (Figure 2e,f) in leaves. Level of these ions decreased in leaves infested by A. pisum and non-pretreated with NO donors (−GSNO + aphids/−SNP + aphids) (by approximately 62% and 33%), but it was only at 48 hpi. In turn, GSNO foliar application resulted in a considerable increase in the concentrations of Mn2+ and Fe3+ ions in +GSNO leaves in relation to the control (−GSNO) at 0 h of experiment (Figure 2c,e). Statistical analysis showed differences in the above-mentioned results to be highly significant (Table S2). In the case of SNP, an increase in the concentration of these ions was observed from 0 to 48 h of experiment in +SNP leaves as compared to −SNP leaves (Figure 2d,f). However, the highest accumulation of these ions was found in 24-h leaves non-pretreated with NO donors and leaves infested by A. pisum (−GSNO + aphids/−SNP + aphids). An opposite trend was observed in 24-h leaves pretreated with the GSNO donor and infested by A. pisum (+GSNO + aphids), wherelevels of Mn2+ and Fe3+ ions decreased (Figure 2c,e). Reduced levels of these ions were recorded at 48 and 72-h in leaves pretreated with SNP and infested by aphids (+SNP + aphids) in relation to pretreated with SNP and non-infested (+SNP) leaves (Figure 2d,f). Therefore, at 48 and 72 hpi, the concentration of Mn2+ ions in −SNP leaves was by approximately 31% and 22% lower than in +SNP leaves, respectively.
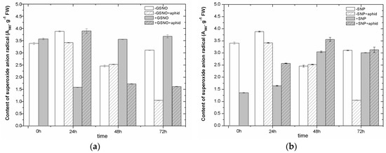
2.5. The Effect of Nitric Oxide Donors and A. pisum on Superoxide Anion Generation
At 0 h of experiment, the reduction in the level of superoxide anion by approximately 61% was noted in leaves pretreated with SNP (+SNP) in relation to non-pretreated (−SNP), with the differences in the results being statistically significant (Figure 3b) (Table S2). Such a reduction was not found in the case of leaves pretreated with GSNO (+GSNO) at 0 h of experiment, but at 24 h of experiment (+GSNO vs. −GSNO) (Figure 3a). At the subsequent time points, the level of O2•− remained high in leaves pretreated with GSNO (+GSNO). In turn, A. pisum infestation caused high generation of O2•− in +GSNO + aphid leaves at 24 hpi, followed by a considerable decrease in its level (more than 50%) in relation to +GSNO leaves at 48 and 72 hpi. Moreover, A. pisum feeding, particularly at 72 hpi, caused a very strong reduction in O2•− in −GSNO + aphids leaves. It must be stressed that the impact of SNP, i.e., the NO+ donor, on the generation of O2•− in leaves infested by A. pisum was different than GSNO, the NO·donor, because in 48 and 72-h +SNP + aphids leaf tissues, the level of O2•− was exceeded that in +SNP leaf tissues. The highest generation of O2•− in these tissues was noted in 48-h leaves pretreated with SNP and infested by A. pisum.
Figure 3.
The effect of nitric oxide donors (GSNO (a); and SNP, (b)) and A. pisum on the generation of the superoxide anion in leaves of P. satium L. cv. Cysterski. The data were obtained in three independent experiments and statistically analysed using ANOVA (p-values at α = 0.05). Hypotheses on the equality of means were verified by the two-sample t-test (Table S2). To account for multiple testing, we used the Bonferroni correction.
2.6. The Effect of Nitric Oxide Donors and A. pisum on Expression Levels of Phenylalanine Ammonialyase Genes
Semi-quantitative reverse transcription-polymerase chain reaction (RT-PCR) analysis revealed that pea feeding by itself strongly stimulated PAL gene expression at 48 hpi; relative mRNA levels recorded for these genes in −GSNO + aphid/−SNP + aphid leaves were significantly higher than in −GSNO/−SNP leaves. Moreover, already at the start of the experiment (0 h, i.e., 24 h from the moment of pretreatment with GSNO), an increase in the expression of genes encoding phenylalanine ammonialyase (PAL) increased (Figure 4). Then, at 24 and 48 h both GSNO and SNP significantly induced relative mRNA levels of these genes in leaves pretreated with NO donors; the expression level of PAL in pretreated leaves was higher than in non-pretreated (+GSNO/+SNP vs. −GSNO/−SNP). Statistical analysis showed highly significant differences in these results (Table S2). The highest relative mRNA levels for PAL was observed in 24-h leaves pretreated with NO donors, irrespective of A. pisum infestation. In turn, at 72 h the mRNA level considerably decreased in all experimental variants.
Figure 4.
RT-PCR products amplified from the PAL genes obtained from pea seedling leaves pretreated with NO donors (GSNO or SNP) or non-pretreated, both in the non-infested and infested by A. pisum, constitutive actin expression and a ratio of intensity of PAL/intensity of actin. The data were obtained in three independent experiments and statistically analysed using ANOVA (p-values at α < 0.05). Hypotheses on the equality of means were verified by the two-sample t-test (Table S2). To account for multiple testing, we used the Bonferroni correction.
2.7. The Effect of Nitric Oxide Donors and A. pisum on Accumulation of Pisatin
The colonization of leaves by A. pisum alone did not cause pisatin accumulation in this experimental system. Foliar application of NO donors induced pisatin accumulation in +GSNO/+SNP leaves at 0 and 24 h of the experiment (Figure 5). Therefore, two- and six-fold increase in pisatin levels was found in 0-h leaf tissue of +GSNO/+SNP (24 h after pretreatment with NO) as compared to leaf tissue of −GSNO/−SNP, respectively. Statistical analysis showed highly significant differences in these results (Table S2). In turn, at 24-h, for +GSNO/+SNP leaves, this level was by approx 16% and 23% higher than in non-pretreated, i.e., −GSNO/−SNP leaves. However, the highest accumulation of pisatin was noted at 48 hpi in leaves pretreated with GSNO and infested by A. pisum (+GSNO + aphids). In the case of SNP application, at 48 hpi, an approximately three-fold higher level of pisatin was observed in +SNP + aphids leaves than in +SNP leaves, but it was lower from that in other experimental variants (−SNP and −SNP + aphids). Moreover, when analyzing the level of pisatin versus time, it can be observed that from 24 h of experiment the level of this isoflavonoid considerably increased in all experimental variants.
Figure 5.
The effect of nitric oxide donors and A. pisum on pterocarpan pisatin levels in seedling leaves of Pisum sativum L. cv. Cysterski. The data were obtained in three independent experiments and statistically analysed using ANOVA (p-values at α = 0.05). Hypotheses on the equality of means were verified by the two-sample t-test (Table S2). To account for multiple testing, we used the Bonferroni correction.
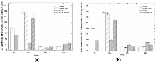
2.8. The Effect of Nitric Oxide Donors and A. pisum on the Level of Isoflavonoid and Flavonoid Glycosides
At 0 h and 24 h of experiment, a 2- and 3.5-fold decrease in the level of isoflavone glycoside 2′-OH-genistein 7-O-glucoside was noted in leaves pretreated with GSNO/SNP (+GSNO/+SNP) in relation to non-pretreated leaves (−GSNO/−SNP), respectively (Figure 6a,b). In turn, in 24-h leaves pretreated with NO donors and infested by A. pisum, approximately 5- and 3-fold higher levels of 2′-OH-genistein 7-O-glucoside in +GSNO + aphid/+SNP + aphid leaves than in +GSNO/+SNP leaves was visible, respectively. In the next time points of experiment, the levels of this glycoside declined drastically in all leaf tissues in relation to previous times. Moreover, at 48 and 72 hpi, slightly lower levels of 2′-OH-genistein 7-O-glucoside were observed in leaves pretreated with SNP and infested by A. pisum (+SNP + aphids) than in +SNP leaves. Liquid chromatography–mass spectrometry analyses revealed the presence of quercetin rhamnosyl-triglucoside (Glc-Glc-Glc-Rha quercetin) (Figure 6c,d,g) and isorhamnetin 3-O-glucoside (Figure 6e–g), which are flavonol glycosides. At 0 h of experiment, similarly to 2′-OH-genistein 7-O-glucoside, the level of quercetin rhamnosyl-triglucoside (Glc-Glc-Glc-Rha quercetin) decreased in leaves after the pretreatment with NO donors (24 h after application) (Figure 6c,d). In 24-h leaves pretreated and non-pretreated with exogenous NO, non-infested (+GSNO)/+SNP or −GSNO/−SNP) and infested (+GSNO + aphid/+SNP + aphid or −GSNO + aphid/−SNP + aphid), the levels of this metabolite demonstrated the same trend as 2′-OH-genistein 7-O-glucoside. Therefore, A. pisum infestation induced a high accumulation of quercetin rhamnosyl-triglucoside in leaves pretreated and non-pretreated with exogenous NO, but the level of this glucoside was higher in non-pretreated and infested leaves (−GSNO + aphid/−SNP + aphid) than in pretreated and infested leaves (+GSNO + aphid/+SNP + aphid). From 24 h of experiment the levels of this glycoside showed a drastic decline in all experimental variants. Generally at all-time points of the experiment, the level of isorhamnetin 3-O-glucoside in leaves pretreated with GSNO/SNP was lower than in non-pretreated leaves (Figure 6e,f). A. pisum infestation significantly stimulated accumulation of isorhamnetin 3-glucoside, but higher levels of this glucoside were recorded in −GSNO + aphid/−SNP + aphid leaves than in +GSNO + aphids/+SNP + aphids leaves. The highest levels of this metabolite was found in 72-h −GSNO + aphids/−SNP + aphids leaves. Therefore, in leaves pretreated with GSNO/SNP and infested by the pea aphid (+GSNO + aphid/+SNP + aphid), levels of isorhamnetin 3-O-glucoside were 2.68–6.86 arbitrary units (Figure 6e) and 3.76–8.31 arbitrary units (Figure 6f), respectively, while the levels in leaves non-pretreated with GSNO/SNP and infested by the pea aphid (−GSNO + aphid/−SNP + aphid) ranged from 5.73 to 9.73 arbitrary units.

Figure 6.
The influence of nitric oxide donors and A. pisum on the level of isoflavonoid and flavonoid glycosides: 2′-OH-genistein 7-O-glucoside (a,b); and quercetin rhamnosyl-triglucoside (c,d); and isorhamnetin 3-O-glucoside (e,f). An LC-MS extracted ion chromatogram showing profiles of phenolic compounds found in pea leaves (g). The data were obtained in three independent experiments and statistically analysed using ANOVA (p-values at α = 0.05). Hypotheses on equality of means were verified by the two-sample t-test (Table S2). To account for multiple testing, we used the Bonferroni correction.
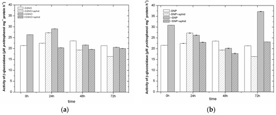
2.9. The Effect of Nitric Oxide Donors and A. pisum on β-Glucosidase Activity
It has been demonstrated that NO donors alone stimulated the activity of β-glucosidase already at 0 h (Figure 7). Statistical analysis showed highly significant differences in these results (Table S2). Also, in 24-h leaves pretreated with GSNO/SNP, the activity of β-glucosidase was higher than in non-pretreated and non-infested leaves (−GSNO/−SNP). Particularly the high activity of the enzyme was noted in 72-h leaves pretreated with SNP (+SNP) and the activity of this enzyme was at least 1.5 times higher than in other variants (–SNP, –SNP + aphid and +SNP + aphid) (Figure 7b). Besides, pea aphid feeding alone (−GSNO + aphid/−SNP + aphid) caused an increase in β-glucosidase activity, but only at 24 hpi in relation to non-pretreated and non-infested leaves (−GSNO/−SNP). Moreover, it is surprising that the activity of β-glucosidase in leaves infested by A. pisum, both pretreated with GSNO/SNP (+GSNO + aphid/+SNP + aphid) and non-pretreated (−GSNO + aphid/−SNP + aphid), was lower than in non-infested leaves (+GSNO/+SNP and −GSNO/−SNP).
Figure 7.
The effect of nitric oxide donors (GSNO (a); and SNP (b)) and A. pisum on β-glucosidase activity. The data were obtained in three independent experiments and statistically analysed using ANOVA (p-values at α = 0.05). Hypotheses on equality of means were verified by the two-sample t-test (Table S2). To account for multiple testing, we used the Bonferroni correction.
3. Discussion
This study is the first to demonstrate that application of NO (GSNO or SNP) on pea seedlings reduce A. pisum performance and feeding activity. At the same time, we showed here the dynamics of defense (e.g., changes in the redox status, phenylpropanoid metabolism and β-glucosidase activity) induced by exogenous NO in P. sativum response to pea aphid attack. Therefore, analysis of demographic parameters of the population of A. pisum revealed that NO donors prolong the pre-reproductive period, had a significant impact on the length of the reproduction period of A. pisum reducing it approximately two-fold (Table 1 and Table 2). Additionally, it has been demonstrated that GSNO and SNP have a significant impact on reducing fertility (Table 1 and Table 2, Figure 1). Thereby, this study highlights the role of NO donors in the limiting of the A. pisum population growth rate. It has been reported that NO may be an environmentally friendly option for postharvest pest control. For example, Liu [40] reported efficacy of NO fumigations under ultralow oxygen levels in relation to all life stages of the four analysed insect species, i.e., western flower thrips, Frankliniella occidentalis (Pergande); aphid, Nasonovia ribisnigri (Mosley); confused flour beetle, Tribolium confusum Jacquelin du Val; and rice weevil, Sitophilus oryzae (L.). Besides, it is important to remember that the efficacy of NO fumigation is higher than that of phosphine and comparable with that of methyl bromide, while at the same time being safer to human health and quality of fresh produce. On the other hand, as reported Ascenzi and Gradoni [41], NO can limit Trypanosoma, Plasmodium, and Schistosoma development at all stages of the parasite life cycle. Strong evidence has been provided by basic studies in comparative physiology and biochemistry in simple organisms that NO signaling is evolutionarily and functionally conserved [38]. NO has been used as a signaling molecule in all invertebrate orders investigated to date [42]. Therefore, salivary NO is used as a vasodilator by blood-sucking insects [43] and l-glutamate-stimulated NO signaling was discovered in Trypanosoma cruzi epimastigotes [44]. In turn, in Hydra vulgaris, NO signaling contributed to olfactory-like feeding behavior [45] and a calcium-sensitive NOS was implicated in Sepia officinalis in melanin production in their ink glands [46]. Additionally, the neuronal role of NO signaling was investigated by Scholz et al. [47]. It has been demonstrated that in lobsters the NO/cGMP signaling pathway may be involved in the development of the nervous system. Furthermore, NO may be a modulatory neurotransmitter for various neurons throughout the central nervous system (CNS).
Results obtained within these studies provided also an answer to the important question: to what degree NO in leaves of pea seedlings influence the intensity of feeding by A. pisum that possesses piercing-sucking mouthparts. The application of NO donors GSNO and SNP to pea seedlings caused similar significant changes in pea aphid feeding activity during the pre-phloem and the phloem phases, which were the delay in reaching phloem vessels they had access to plants, as well as a decrease in phloem phase duration, respectively (Table 3 and Table 4). However, the timing and occurrence of alterations in probing activities differed depending on the donor and the time interval between the application and aphid access. The application of SNP evoked changes in aphid activities sooner than GSNO: the delay in reaching sieve elements and the reduced phloem sap consumption occurred in aphids on plants that were offered as soon as 24 h after treatment while on GSNO-treated plants only after 48 h. In turn, other studies have revealed that the delay in reaching sieve elements can be associated with the occurrence of xenobiotics in non-phloem tissues, especially the mesophyll: on the way from the epidermis to the phloem, aphids puncture mesophyll cells with their stylets and ingest samples of cell contents for gustatory purposes, which is supposed to help in the recognition of the host plants under natural conditions [48,49,50]. Under experimental conditions, the delay or a failure in reaching phloem vessels was often recorded following the exogenous application of chemical deterrents [51,52]. Likewise, the reduction of time assigned to the uptake of phloem sap indicates the activity of deterrent factors located in sieve elements [53,54,55]. On acceptable plants sap consumption may last for several hours [56,57].
In parallel, we investigated the potential defense mechanisms of plant-host such as changes in the level of free radicals, PAL gene expression, flavonoids and β-glucosidase activity. These changes in metabolic status of P. sativum L. seedlings stimulated by NO may contribute to reducing the feeding activity of A. pisum. Our understanding of the role played by NO in plant defense against aphids is still fragmentary and strongly limited. As reported by Bellin et al. [58], NO is an essential component of plant immune response. It is known that the quickness and the rate of startup responses decide about the success of a given defensive strategy of the plant against biotic factors. However, little is known on the time-dependent aspect of changes induced by NO donors (GSNO and SNP) and cross-talks between NO and A. pisum infestation. Molecular and metabolome changes were studied at 0 and 24, 48 and 72 h after A. pisum infestation.
The results of this study show that free radicals (semiquinone radicals), which gave signals with one g-values, 2.0026 ± 0.0005 (the line width 7.5 Gs on the X-band and Q-band) were found in the leaves pretreated with exogenous NO or non-pretreated as well as in non-infested or infested by A. pisum (Figure 2a,b). Additionally, electron paramagnetic resonance (EPR) spectroscopy revealed also signals of Mn2+ ions with g-values of 2.00(0.01) (Figure 2c,d) and Fe3+ ions with g-values of 4.27 (Figure 2e,f) in the above types of these leaves. The reduction in semiquinone radical levels in pea seedling leaves pretreated with exogenous NO, already 24 h after A. pisum infestation and later (48 hpi), may suggest that semiquinone radicals may be incorporated in polymers, e.g., lignin, in combination with other reactive free radicals (e.g., O2•−), which propagate depolymerization throughout the lignin matrix and prevent the breakdown of cell walls. It was demonstrated by Pearce et al. [59] that semiquinone radicals can interact as free radical scavengers, quenching free radical chain reactions leading to lignocellulose biodegradation. Our research demonstrated that already at 24 hpi the reduction in semiquinone radicals in 24-leaves pretreated with exogenous NO (+GSNO + aphid/+SNP + aphid) was accompanied by a high level of O2•− (Figure 3). Perhaps, the maintaining of a high level of O2•− generation is necessary at 24 hpi, because a pool of O2•− reacts with semiquinone radicals, and a portion of O2•− is needed for cytotoxic effects against A. pisum. The wide-ranging impact of NO on the metabolism of plants is associated with two of its functions, i.e., cytoprotective and cytotoxic, in which NO may play in the interaction with ROS. Bellin et al. [58] reported that during defense ROS function either independently or in cooperation with NO, modulating the RNS signaling functions throughout the process. Reduction in the level of semiquinone radicals noted in the present study may indicate the induction of a defensive barrier by NO already in the early stages of A. pisum feeding. In leaves non-pretreated with NO donors the same trend for the reduction in semiquinone radicals also was noted in response to A. pisum infestation as in pretreated with NO, but it occurred later. Substantiated experimental evidence clearly shows that NO being a free radical molecule acts as a mediator in biochemical processes related to a broad spectrum of physiological events in plants [60]. In the response of plants to aphids, mechanisms of intracellular redox regulation of metabolic processes are crucial. In addition, in the present study it is worth mentioning that already at 0 h the elevated generation of semiquinone radicals was observed in +SNP leaves. SNP-induced generation of semiquinone radicals can have a toxic effect towards the pea aphid. Also, our previous experiments in another experimental system revealed the participation of semiquinone radicals in response to A. pisum [61]. It has been revealed that aphid infestation enhanced semiquinone radical generation and the superoxide anion in leaves of pea seedlings cultured in perlite and infested by A. pisum populations of various sizes, i.e., 10, 20 and 30 aphids.
Plant responses to insects are initiated at the plant cell plasma membrane, where insect herbivores interact both physically (causing mechanical damage) and chemically (introducing elicitors or triggering plant-derived signaling molecules) [62]. Both results from GSNO + aphid (Figure 3a) and SNP + aphid variants (Figure 3b) show different trend for post-infestation O2•− generation at 48 and 72 hpi. Firstly, GSNO and A. pisum infestation caused a strong decrease in O2•− in relation to +GSNO variants at these time points after infestation. In turn, in the case of impact of SNP and A. pisum infestation, a higher level of superoxide anion in relation to SNP variant was found at the above-time points after infestation. Sometimes the differences in the impact of NO donors may result from the fact that from the GSNO, NO is formed and from SNP—the NO+ is formed. NO burst and hypothetical modes of NO action in plant defense responses are connected with the activation of a signal transduction cascade, including an oxidative burst and resulting in the production of ROS [63]. As reported by Bolwell and Wojtaszek [64], the formation of ROS is part of the antimicrobial response in plants. Moreover, Moloi and Westhuizen [65] studies suggested that peroxynitrite can be involved in resistance responses to Russian wheat aphid (RWA) as one of the signal molecules in addition to NO, H2O2 and SA. Besides, these authors revealed the significant effect of NO application (using SNP donor) on the reduction of the RWA population growth and the feeding symptoms. On the other hand, Foisssner et al. [66] reported that ROS and NO interact to execute pathogens by forming a highly toxic peroxynitrite (ONOO−). Intra- or extracellular NO might act as a long distance, mobile signal triggering the development of systemic resistance. Moreover, in the present study we also revealed that the perception of A. pisum infestation by P. sativum leaves induces a strong accumulation of Mn2+ and Fe3+ ions (Figure 2c,d,e,f) already at 0 h of experiment in leaves pretreated with GSNO (+GSNO variant), suggesting their uptake from the medium used in pea seedling culture and their inclusion in the antioxidant defense.
Moreover, the LC-UV/ESI-MS/MS analyses revealed the sequence of changes in the accumulation of secondary metabolites e.g., flavonoids, which may have a deterrent impact on A. pisum feeding activity after the application of NO donors pea seedlings (Figure 5 and Figure 6). The accumulation of pisatin, phytoalexin in pea seedling leaves pretreated with GSNO/SNP especially until 24 h was demonstrated (Figure 5a,b and Figure 6g). Also, it should be stressed that GSNO and SNP played a considerable role inducing the expression level of genes encoding PAL, the enzyme initiating phenylpropanoid metabolism (Figure 4). This induction of PAL genes was visible already in 0-h leaves pretreated with GSNO (24 h after application). In turn, the highest accumulation of pisatin was noted at 48 hpi in leaves pretreated with GSNO and infested by A. pisum (+GSNO + aphids). Besides, through the amplification of the signal generated by NO and NO and A. pisum feeding cross-talks, high mRNA transcript levels for PAL in +GSNO/+SNP and +GSNO + aphid/+SNP + aphid leaves was observed. High levels of mRNA transcripts for PAL were accompanied also by an elevated level of pisatin in 0-h leaves pretreated with GSNO. Moreover, A. pisum infestation alone caused increased expression of genes encoding PAL. Based on the results on pisatin and expression genes encoding PAL, it could be concluded that NO itself and NO and A. pisum infestation induced the biosynthesis of this phytoalexin. These metabolites are low molecular weight antimicrobial substances produced by plants in response to infection or stress, and involved in their active defense mechanisms [8,67]. Additionally, Morkunas et al. [10] revealed a considerable post-infestation accumulation of pisatin in leaf cells after 48 h of aphid colonization and this increase was correlated with the number of aphids colonizing seedlings. NO is a multi-functional signaling molecule, which modifies various physiological processes in plants [68]. Besides, NO is a short-lived free radical gas, typically applied to plants using NO-releasing compounds such as SNP [69]. Hao [70] showed that NO application via the SNP enhanced UV-B induced PAL activity and increased flavonoid accumulation in Ginkgo biloba callus. Moreover, as revealed by Wang and Wu [71], the NO donor SNP alone significantly stimulated PAL activity, while also enhancing methyl jasmonate-induced PAL activity (MeJA +SNP vs. MeJA). In turn, Zhang et al. [72] reported that pretreatment of the cells with SNP increased SA-induced NO generation, PAL activation and salvianolic acid B (Sal B) accumulation, which suggested that NO activated PAL and was involved in SA-induced Sal B biosynthesis. The increase in levels of anthocyanins, ascorbic acid and phenolic compounds triggered by SNP caused a greater antioxidant capacity in SNP treated fruits [73]. Also, earlier studies by Delledonne et al. [74] and Durner et al. [75] showed both that while NO acted synergistically with ROS to potentiate cell death and that it also acted independently of ROS, inducing the expression of defense-related genes, including the PAL gene. In studies presented here, a decline in the level of isoflavone (Figure 6a,b) and flavonol glycosides (Figure 6c–f) in leaves pretreated with NO donors may suggest the need for the formation of free aglycones in these leaves. A very strong reduction in these glucosides was already observed in 0-h tissues pretreated with GSNP/SNP (+GSNO/+SNP variant). Also, it has been revealed that NO donors alone stimulated the activity of β-glucosidase already in 0-h tissues and 24-h tissues (+GSNO/+SNP variant) (Figure 7). What is more, as a consequence of pea aphid feeding β-glucosidase activity increased in 24-h tissues infested by aphids (−GSNO + aphid/−SNP + aphid variants) in relation to non-infested tissues (−GSNO/−SNP variants). Additionally, the activity of β-glucosidase in leaves infested by A. pisum, both pretreated with NO donors (+GSNO + aphid/+SNP + aphid) and non-pretreated (−GSNO + aphid/−SNP + aphid) was lower than in non-infested leaves (+GSNO/+SNP and −GSNO/−SNP). In these studies, β-glucosidase activity was measured with a substrate 4-nitrophenyl-beta-D-glucopyranoside, but not with substrate, such as one of the isoflavone glycosides (2′-OH-genistein 7-O-glucoside) and flavonol glycosides (quercetin rhamnosyl-triglucoside) found in the study. As reported by Miller [76], many molecules involved in plant defense, e.g., phenols, isoflavanoids, salicylic acid (SA) and cyanogenic compounds, are released from the glucosylated storage form by β-glucosidases. However, insect adaptations often circumvent or counteract the activity of plant β-glucosidases, the bioactivating enzymes which are crucial in the plant two-component chemical defence [77].
4. Materials and Methods
4.1. Plant Material and Growth Conditions
Experiments were conducted using pea (Pisum sativum L. cv. Cysterski) seeds of the S-elite class, obtained from the Plant Breeding Company at Tulce near Poznan in Poland. Seeds were surface-sterilized as described by Mai et al. [14]. After 6 h of imbibition they were transferred onto filter paper (in Petri dishes) and immersed in a small volume of water to support further absorption. After further 42 h seed coats were removed from the germinating seeds. Next, the germinating seeds (35 pieces) were transferred to hydroponic boxes containing Hoagland medium. Hydroponic boxes were covered with dark foil. Pea seedlings were maintained in a growth chamber at 22–23 °C, 65% relative humidity, and light intensity of 130–150 μM photons m−2·s−1 with the 14/10 h (light/dark) photoperiod. Hoagland medium was aerated each day using the aeration system.
Experiments were conducted on leaves of 12-day-old pea seedlings subjected to pretreatment with a specific NO donor, i.e., 200 μM GSNO/SNP, or not pretreated with GSNO/SNP (pretreated with H2O) in the light at 25 °C. Therefore, the whole pea seedlings growing on the hydroponic boxes containing Hoagland medium in glass boxes were thoroughly sprayed with a solution of GSNO/SNP or H2O in the light. Upon light irradiation SNP releases nitric oxide in the form of nitrosonium cation (NO+). Twenty-four hours after pretreatment of leaves with GSNO/SNP or with H2O (time 0 hpi) they were either infested with A. pisum (+GSNO + aphid/+SNP + aphid or −GSNO + aphid/−SNP + aphid), or remained non-infested (+GSNO)/+SNP or −GSNO/−SNP). Because from a strictly chemical point of view, SNP is a NO+ donor, the effect of another NO donor, i.e., S-nitrosoglutathione (GSNO), we also tested. Leaves of pea seedlings were carefully collected at 0, 24, 48, 72 h post-infestation (hpi) with pea aphids.
4.2. Aphids and Experiment on Infestation
Acyrthosiphon pisum (Harris), originally kept and supplied by the Department of Entomology, the Poznań University of Life Sciences, Poland, was reared on Pisum sativum L. cv. Cysterski in a growth chamber under conditions specified above on the 12th day of culture, each pea seedling was separated and infested with 20 apterous adult females of A. pisum. The aphid populations were monitored daily throughout all experiments and newborn nymphs were removed as they appeared. The control plants were pea seedlings with no pea aphid infestation.
4.3. Determination of the Effect of Nitric Oxide Donors on the Demographic Parameters of A. pisum Population
The whole 12-day-old pea seedlings growing on the hydroponic boxes containing Hoagland medium in glass boxes were thoroughly sprayed with a solution of 200 μM GSNO/SNP or H2O (control) in the light. Next, for the influence of GSNO/SNP on the population growth rate, 30 females (apterous aphids of the same age) were individually placed on pea seedling shoots, 24 h after pretreatment of seedlings with a specific NO donor. Larvae born by 30 females were the material for further observations. The survival rate of larvae was determined for a population of 100 larvae. For the calculation of demographic parameters of populations, 20 females were observed. The length of the following developmental stages was recorded: pre-reproduction, reproduction, postreproduction, the total life span and female fecundity. The observations were carried out seven times a week. Demographic parameters for the aphid populations at different variant (control, +GSNO, +SNP) were determined following methods described by Birch [78]:
- (a)
- intrinsic rate of increase, rm;
- (b)
- net reproductive value, Ro;
- (c)
- finite rate of increase, λ; and
- (d)
- mean generation time, T.
The intrinsic growth rate (rm) was calculated using the formula of Wyatt and White [79]: rm = 0,738 [(lnMd)/d], where d is the development period from birth to beginning of first reproduction and Md is the number of nymphs born in the period from time d. Rearing was performed in a controlled environment of a growth chamber at 22–23 °C, 65% relative humidity, and light intensity of 130–150 μM photons m−2·s−1 with the 14/10 h (light/dark) photoperiod. For the calculation of demographic parameters used DEMOGRAF program [80].
4.4. The Effect of Nitric Oxide Donors on Behavioral Responses of A. pisum during Probing and Feeding
Experiments were conducted on 12-day-old pea seedlings pretreated with a specific NO donor, i.e., 200 μM GSNO/SNP, or not pretreated with GSNO/SNP (pretreated with H2O, control) in the light at 25 °C. Therefore, the whole pea seedlings growing on the hydroponic boxes containing Hoagland medium in glass boxes were thoroughly sprayed with a solution of GSNO/SNP or H2O (control) in the light. Next, for the influence of GSNO/SNP on the probing behavior of pea aphid A. pisum, apterous aphids were individually placed on pea seedling shoots, 24 or 48 h after pretreatment of seedlings with a specific NO donor or H2O. The effect of the application of GSNO/SNP to peas on the probing behavior of A. pisum was investigated by means of the Electrical Penetration Graph technique (EPG). This technique is commonly applied in Hemiptera-plant relationship studies [81,82]. The system is based on an electrical circuit where electrodes are attached to the aphid and the plant. When aphid stylets pierce into plant tissues, the circuit is completed. Aphid activities cause changes in electrical properties of the circuit and these changes are manifested as EPG waveforms. Presently, the meaning of most of the waveforms is known, so it is possible to relate them to specific aphid activities [83]. Based on the values derived from the analysis of various EPG parameters it is possible to assess the suitability of plants to aphids [53]. A 1 h starvation period after the attachment of the electrode is ensured before the start of the experiment. Each freshly prepared aphid/plant combination was used as an individual replicate. The experimental plants offered to the aphids were pretreated with GSNO or SNP for 24 and 48 h. A completely randomized design was used for these experiments. Giga-8 DC EPG system with a 1 GΩ of input resistance (EPG Systems, Wageningen, The Netherlands) was used to record EPGs. EPGs were recorded and analysed using Stylet+ release 2011_5 software (EPG Systems). The EPG recording started at 10–11 a.m. and was finished 24 h later. For analysis, the test plants pretreated for 24 and 48 h were labeled 24 h +SNP/24 h +GSNO and 48 h +SNP/48 h +GSNO, respectively. Various behavioral phases were labelled manually using the Stylet+ software. The analysis of EPG recordings included: np (non-probing, i.e., aphids with stylets outside plant tissues), C (pathway, i.e., probing in the epidermis and mesophyll and the so-called “derailed” stylet activities F and xylem sap consumption G), E1 (salivation into sieve elements), and E2 (phloem sap consumption). Several parameters related to the sequence and frequency of aphid activities during probing and stylet position in plant tissues were analysed [84]. Waveform patterns that were not terminated before the end of the experimental period (24 h) were included in the calculations. In sequential parameters, the duration of the period preceding the first phloem phase or first sustained ingestion phase equalled the time from the first probe until the end of the recording if either phase did not occur in a given aphid/VIP replicate. In sequential parameters, when time to waveforms related to phloem phase was calculated, if no phloem phase occurred, the time from the first probe until the end of the recording was used. In non-sequential parameters that described general aphid behavior, when a given waveform had not been recorded for an individual, the duration of that waveform was given the value “0” Phloem phase index was calculated as: phloem phase/phloem phase + non-phloem probing phase: E/E + C + F + G; was calculated as: phloem salivation/phloem phase: E1/E1 + E2. EPG parameters were calculated manually and individually for every aphid, and the mean and standard errors were subsequently calculated using the EPG analysis Excel worksheet created for this study. The Mann–Whitney U-test was applied to analyse differences in parameters derived from EPG recordings. The following comparisons were made: control: 24 h +SNP, control: 48 h +SNP, 24 h +SNP: 48 h +SNP and control: 24 h +GSNO, control: 48 h +GSNO, 24 h +GSNO: 48 h +GSNO.
4.5. Determination of Semiquinone Radicals and Manganese and Iron Ions
Radicals were detected directly in pea leaves using the electron paramagnetic resonance (EPR) technique [69,70]. Samples of 1 g fresh weight of pea leaves were frozen in liquid nitrogen and lyophilized in a Jouan LP3 freeze dryer. The lyophilized material was transferred to EPR-type quartz tubes (diameter 4 mm). Electron paramagnetic resonance was measured at room temperature with a Bruker ELEXSYS X-band spectrometer (Rheinstettenstate, Germany). The EPR spectra were recorded as first derivatives of microwave absorption. Microwave power of 2 mW and a 2 G magnetic field modulation were applied in all experiments to avoid signal saturation and deformation
EPR spectra were recorded for free radicals and Mn2+ and Fe3+ ions in the magnetic field range of 3300–3360 G and with 4096 data points. To determine the number of paramagnetic centres in the samples, the spectra were double-integrated and compared with the intensity of the standard Al2O3:Cr3+ single crystal with a known spin concentration [34,61,85,86,87,88,89,90]. Some background corrections of the spectra were introduced before and after the first integration to obtain a reliable absorption signal before the second integration. Concentrations of semiquinone radicals were calculated as the number of spins per 1 g of sample (dry weight/DW).
4.6. Determination of Superoxide Anion Content
The content of superoxide anion (O2•–) in biological samples was determined based on its ability to reduce nitro blue tetrazolium (NBT) according to the procedure described in [91] and modified by Mai et al. [61]. Leaves of pea (500 mg) were immersed in 10 mM potassium phosphate buffer (pH 7.8) containing 0.05% NBT and 10 mM NaN3, NADPH in a final volume of 3.5 mL and incubated for 1 h at room temperature. After incubation 2 mL of the reaction solution were heated at 85 °C for 15 min and rapidly cooled. The levels of O2•− were expressed as absorbance at 580 nm per 1 g of fresh materials (A580·g−1 fr.wt.). A Perkin Elmer Lambda 15 UV-Vis spectrophotometer (Norwalk, CT, USA) was used in the analyses.
4.7. Analysis of Pisatin and Flavonols
4.7.1. Isolation of Phenolic Compounds
Plant material, previouslyfrozen at −80 °C was homogenized in 80% methanol (20 mL·g−1·FW) and sonicated for 3 min in a VirTis VirSonic 60 sonicator [34]. The suspension was filtered through a Büchner funnel and concentrated under vacuum at 40 °C. Plant extract samples for LC analyses were prepared from 0.5 g FW pea tissue. The samples were purified and concentrated by solid-phase extraction on cartridges containing a cation exchanger and RP C-18 silica gel (Alltech, Carnforth, England, UK) used in tandem, according to the method proposed by Stobiecki et al. [92].
4.7.2. Liquid Chromatography–Mass Spectrometry (LC/UV/ESI/MS/MS)
Plant extract samples were analysed using a Waters UPLC Acquity system coupled with a micrOToF-Q mass spectrometer (Bruker Daltonics, Bremen, Germany). An Agilent Poroshell RP-C18 column (100 × 2.1 mm; 2.7 µm) was used. During LC analyses elution was performed using with two solvent mixtures: A (95% H2O, 4.5% acetonitrile, 0.5% acetic acid; v/v/v) and B (95% acetonitrile, 4.5% H2O, 0.5% acetic acid; v/v/v). Elution steps were as follows: 0–5 min 10%–30% B, 5–12 min isocratic at 30% B, 12–13 min linear gradient up to 95% of B and 13–15 min isocratic at 95% of B. Pisatin and flavonols were identified by comparing their retention times and mass spectra with the data from respective standards. The micrOToF-Q mass spectrometer consisted of an ESI source operating at a voltage of ±4.5 kV, nebulization with nitrogen at 1.2 bar and dry gas flow of 8.0 L/min at 220 °C. The instrument was operated using the micrOTOF Control program version 2.3 and data were analyzed using the Bruker Data Analysis ver. 4 package. Targeted MS/MS experiments were performed using a collision energy ranging from 10 to 25 eV, depending on the molecular masses of compounds. The instrument operated at a resolution of minimum 15,000 full widths at half maximum.
For quantitative analysis, the extracted ion chromatogram traces from a MS detector were used, with peaks plotted for exact monoisotopic masses of compounds. p-Hydroxybenzoic acid was added to each analyzed sample as the internal standard at a final concentration of 125 µM (LC retention time and MS spectra did not interfere with those of the studied compounds).
4.8. Total RNA Extraction and Semiquantitative RT-PCR Analysis
Pea seedling leaves (0.50 g) were frozen in liquid nitrogen and ground with a mortar and pestle in the presence of liquid nitrogen. For RT-PCR analyses of the target gene, total RNA was isolated from 45 mg tissue using the SV Total RNA Isolation System (Promega, Manheim, Germany) according to the recommendations of the manufacturer [14,93]. The cDNA samples for RT-PCR experiments were synthesized from 1 μg of total RNA and oligo (dT)18 primers, using the High Capacity cDNA Reverse Transcription Kit (Applied Biosystems, Life Technologies Polska, Warszawa, Poland). One µL of reaction product (cDNA) served as a template for PCR reaction with specific PCR primers. Optimization of PCR reaction conditions (temperature and time of the individual steps, the number of cycles, the concentration of DNA polymerase, the concentration of Mg2+ and primers) was performed. Thermal cycling conditions in the PAL gene expression assay consisted of an initial denaturation at 95 °C for 5 min, followed by 25 cycles at 95 °C for 30 s, 58 °C for 30 s and 72 °C for 45 s. Standards, cDNA samples and the no-template control were analyzed in three replicates in each assay. The PCR products were analyzed by the agarose gel electrophoresis (1.5%) and the Gene Tools software, version 4.02 (Syngene). The specific primers for PAL were used for PCR reactions: the forward primer (F): 5′-CCAAGTCAATTGAGAGGGAG-3′ and the reverse primer (R): 5′-CATCTTGGTTGTGCTGCTC-3′. The fragment of Pisum sativum actin coding sequence was amplified as a reference gene using actin F (5′-GCATTGTAGGTCGTCCTCG-3′) and actin R (5′-TGTGCCTCATCACCAACATAT-3′) primers.
4.9. Extraction and Assay of β 1,3-Glucosidase Activity
The activity of β 1,3-glucosidase (EC 3.2.1.21) was determined spectrophotometrically (Perkin Elmer Lambda 15 UV-Vis spectrophotometer, Norwalk, CT, USA) applying the method proposed by Nichols et al. [94] and modified by Morkunas et al. [95]. Pea leaves (500 mg) were ground at 4 °C in 0.05 M phosphate buffer of pH 7.0 and 1% polyvinylpyrrolidone (PVP). The enzyme activity was determined in the supernatant obtained after centrifugation at 15,000× g for 20 min. The mixture containing 0.2 mL phosphate buffer (0.05 M, pH 7.0), 0.2 mL extract and 0.2 mL 4-nitrophenyl-b-d-glucopyranoside as substrate (2 mg·mL−1) was incubated for one hour at 35 °C. Afterwards, 0.6 mL 0.2 M Na2CO3 was added. The formation of p-nitrophenol (p-NP) was followed at 400 nm. The activity was measured in three replications and expressed as μM p-nitrophenol mg−1·protein·h−1.
4.10. Statistical Analysis
All determinations were conducted within three independent experiments. Analysis of variance (ANOVA) was used to verify significance of means from independent experiments within a given experimental variant. The ANOVA, StatSoft, Inc. (2009), STATISTICA, version 9.0, www.statsoft.com software was applied in statistical analysis of the data. The elementary comparisons between particular levels of the analyzed factor in different times (independently) were tested using the two-sample t-test for equal means for all observed traits. To account for multiple testing, we used the Bonferroni correction. Moreover, comparisons related to the following variants, i.e., variant +SNP/+GSNO vs. variant –SNP/−GSNO; variant −SNP/−GSNO vs. variant −SNP + aphid /−GSNO + aphid; variant +SNP/+GSNO vs. variant +SNP + aphid/+GSNO + aphid; variant −SNP + aphid/−GSNO + aphid vs. variant +SNP + aphid/+GSNO + aphid. The figures present data obtained as means of triplicates for each variant along with standard errors of mean (SE).
5. Conclusions
The data in the present work revealed the role of NO donors in the limiting of the A. pisum population growth rate. GSNO and SNP prolong the pre-reproductive period, limit the period of reproduction and have a significant impact on reducing fertility. Reduction of pea aphid performance was caused a consequence of reduced phloem sieve element contact. Results of these studies suggest sequence in the dynamic events that occur as a result of NO application and A. pisum infestation of P. sativum. In the presented study we revealed that NO induces a specified sequence of defense responses in P. sativum-A. pisum system. NO–induced defense strategy of P. sativum includes changes in free radicals generation and in the level of metal ions during A. pisum attack. Also, NO–induced changes in biosynthesis of flavonoids in this plant-aphid system. Results of research presented here will not only contribute novel information to our knowledge on plant biology but they may be of importance for the use of NO in pest control. However, more studies are required to elucidate the mechansism(s) by which NO donors enhance plant resistance to aphids.
Supplementary Materials
Supplementary materials can be found at www.mdpi.com/1422-0067/18/2/329/s1.
Acknowledgments
The study was supported by the Polish National Science Centre (NCN, grant No. 2011/01/B/NZ9/00074). We would like to thank Jan Bocianowski from Department of Mathematical and Statistical Methods, Poznań University of Life Sciences for performing the elementary comparisons between particular levels of analyzed factor in different times by using the two-sample t-test for equal means for all observed traits.
Author Contributions
Iwona Morkunas Conceived and designed the experiments, analyzed the data, analysis of literature and wrote the paper; Beata Gabryś the analysis of Electrical Penetration Graph (EPG) data and wrote the section regarding the effect of exogenous NO on feeding activity of the pea aphid; Jolanta Floryszak-Wieczorek designed the experiments with NO donors; Agnieszka Woźniak, and MA students of Iwona Morkunas, i.e., Piotr Bilman and Katarzyna Grześkiewicz, prepared hydroponic culture of plants, performed experiments and prepared references; Waldemar Bednarski carried out measurements of concentrations of free radicals, Mn2+ and Fe3+ ions using electron paramagnetic resonance spectroscopy (EPR) and the analysis of EPR data; Łukasz Marczak carried out measurements of concentrations of flavonoids; Dorota Narożna performed of RT-PCR analysis; Katarzyna Dancewicz performed experiments with EPG; Magda Formela prepared figures and analysis of literature; Van Chung Mai prepared figures and statistical analysis of variance (ANOVA); Beata Borowiak-Sobkowiak supplied the aphids and participated in experiments with A. pisum infestation; and Agnieszka Woźniak and Beata Borowiak-Sobkowiak carried out the experiment regarding determination of the effect of NO donors on the demographic parameters of A. pisum population. All authors read and approved the manuscript.
Conflicts of Interest
The authors declare no conflict of interests. The founding sponsors had no role in the design of the study; in the collection, analyses, or interpretation of data; in the writing of the manuscript, and in the decision to publish the results.
Abbreviations
| SNP | Sodium nitroprusside |
| GSNO | S-nitrosoglutathione |
| SNAP | S-nitroso-N-acetylpenicillamine |
| SIN-1 | 3-Morpholinosydnomine |
| +GSNO | Pretreated with GSNO and not infested by aphids |
| +SNP | Pretreated with SNP and not infested by aphids |
| −GSNO | Not pretreated with GSNO and not infested by aphids |
| −SNP | Not pretreated with SNP and not infested by aphids |
| +GSNO + aphid | Pretreated with GSNO and infested by aphids |
| +SNP + aphid | Pretreated with SNP and infested by aphids |
| −GSNO + aphid | Not pretreated with GSNO and infested by aphids |
| −SNP + aphid | Not pretreated with SNP and infested by aphids |
| NO | Nitric oxide |
| EPR | Electron paramagnetic resonance |
| fr. wt. | Fresh weight |
| dry wt. | Dry weight |
| g | Gram |
| g | The factor describing energy levels of the unpaired electron for the paramagnetic centre in an external magnetic field |
| h | Hour |
| hpi | Hours post infestation |
| ROS | Reactive oxygen species |
| O2•− | Superoxide anion |
| PAL | Phenylalanine ammonia-lyase |
| RNS | Reactive nitrogen species |
| ONOO− | Peroxynitrite |
| cADPR | Cyclic ADP ribose |
| Mn2+ | Manganese ions |
| Fe3+ | Iron ions |
| EPG | Electrical Penetration Graph |
| LC/UV/ESI/MS/MS | Liquid chromatography/ultraviolet detection/electrospray–mass spectrometry (tandem mass spectrometry) |
| 24 h +GSNO | Seedlings offered to aphids 24 h after treatment with GSNO in EPG experiment |
| 48 h +GSNO | Seedlings offered to aphids 48 h after treatment with GSNO in EPG experiment |
| 24 h +SNP | Seedlings offered to aphids 24 h after treatment with SNP in EPG experiment |
| 48 h +SNP | Seedlings offered to aphids 48 h after treatment with SNP in EPG experiment, PAMPs, Pathogen-associated molecular patterns, PTI, PAMP-triggered immunity; MAPK, Mitogen-activated protein kinase |
References
- Jones, J.D.; Dangl, J.L. The plant immune system. Nature 2006, 444, 323–329. [Google Scholar] [CrossRef] [PubMed]
- Thalineau, E.; Truong, H.N.; Berger, A.; Fournier, C.; Boscari, A.; Wendehenne, D.; Jeandroz, S. Cross-regulation between N metabolism and nitric oxide (NO) signaling during plant immunity. Front. Plant Sci. 2016, 7, 472. [Google Scholar] [CrossRef] [PubMed]
- Kuśnierczyk, A.; Winge, P.E.R.; Jørstad, T.S.; Troczyńska, J.; Rossiter, J.T.; Bones, A.M. Towards global understanding of plant defence against aphids–timing and dynamics of early Arabidopsis defence responses to cabbage aphid (Brevicoryne brassicae) attack. Plant Cell Environ. 2008, 31, 1097–1115. [Google Scholar] [CrossRef] [PubMed]
- Chen, X.; Zhang, Z.; Visser, R.G.F.; Broekgaarden, C.; Vosman, B. Overexpression of IRM1 enhances resistance to aphids in Arabidopsis thaliana. PLoS ONE 2013, 8, e70914. [Google Scholar] [CrossRef]
- Thompson, G.A.; Goggin, F.L. Transcriptomics and functional genomics of plant defence induction by phloem-feeding insects. J. Exp. Bot. 2006, 57, 755–766. [Google Scholar] [CrossRef] [PubMed]
- Divol, F.; Vilaine, F.; Thibivilliers, S.; Kusiak, C.; Sauge, M.H.; Dinant, S. Involvement of the xyloglucan endotransglycosylase/hydrolases encoded by celery XTH1 and Arabidopsis XTH33 in the phloem response to aphids. Plant Cell Environ. 2007, 30, 187–201. [Google Scholar] [CrossRef] [PubMed]
- Jeandet, P.; Douillet-Breuil, A.C.; Bessis, R.; Debord, S.; Sbaghi, M.; Adrian, M. Phytoalexins from the Vitaceae: Biosynthesis, phytoalexin gene expression in transgenic plants, antifungal activity, and metabolism. J. Agric. Food Chem. 2002, 50, 2731–2741. [Google Scholar] [CrossRef] [PubMed]
- Jeandet, P.; Clément, C.; Courot, E.; Cordelier, S. Modulation of phytoalexin biosynthesis in engineered plants for disease resistance. Int. J. Mol. Sci. 2013, 14, 14136–14170. [Google Scholar] [CrossRef] [PubMed]
- Jeandet, P. Phytoalexins: Current progress and future prospects. Molecules 2015, 20, 2770–2774. [Google Scholar] [CrossRef]
- Morkunas, I.; Woźniak, A.; Formela, M.; Marczak, Ł.; Narożna, D.; Borowiak-Sobkowiak, B.; Kühn, C.; Grimm, B. Pea aphid infestation induces changes in flavonoids, antioxidative defence, soluble sugars and sugar transporter expression in leaves of pea seedlings. Protoplasma 2016, 253, 1063–1079. [Google Scholar] [CrossRef] [PubMed]
- Inbar, M.O.; Mayer, R.T.; Doostdar, H.A. Induced activity of pathogenesis related (PR) proteins in aphid galls. Symbiosis 2003, 34, 293–300. [Google Scholar]
- De Ilarduya, O.M.; Xie, Q.; Kaloshian, I. Aphid-induced defense responses in Mi-1-mediated compatible and incompatible tomato interactions. Mol. Plant Microbe Interact. 2003, 16, 699–708. [Google Scholar] [CrossRef] [PubMed]
- Morkunas, I.; Narożna, D.; Nowak, W.; Samardakiewicz, S.; Remlein-Starosta, D. Cross-talk interactions of sucrose and Fusarium oxysporum in the phenylpropanoid pathway and the accumulation and localization of flavonoids in embryo axes of yellow lupine. J. Plant Physiol. 2011, 168, 424–433. [Google Scholar] [CrossRef] [PubMed]
- Mai, V.C.; Drzewiecka, K.; Jeleń, H.; Narożna, D.; Rucińska-Sobkowiak, R.; Kęsy, J.; Floryszak-Wieczorek, J.; Gabryś, B.; Morkunas, I. Differential induction of Pisum sativum defense signaling molecules in response to pea aphid infestation. Plant Sci. 2014, 221, 1–12. [Google Scholar] [CrossRef]
- Dodds, P.N.; Rathjen, J.P. Plant immunity: Towards an integrated view of plant–pathogen interactions. Nat. Rev. Genet. 2010, 11, 539–548. [Google Scholar] [CrossRef] [PubMed]
- Blackman, R.L.; Eastop, V. Taxonomic issues. In Aphids as Crop Pests; van Emden, H., Harrington, R., Eds.; CAB International: Wallingford, UK, 2007; pp. 1–30. [Google Scholar]
- Sanz, L.; Albertos, P.; Mateos, I.; Sánchez-Vicente, I.; Lechón, T.; Fernández-Marcos, M.; Lorenzo, O. Nitric oxide (NO) and phytohormones crosstalk during early plant development. J. Exp. Bot. 2015, 66, 2857–2868. [Google Scholar] [CrossRef] [PubMed]
- Palmieri, M.C.; Sell, S.; Huang, X.; Scherf, M.; Werner, T.; Durner, J.; Lindermayr, C. Nitric oxide-responsive genes and promoters in Arabidopsis thaliana: A bioinformatics approach. J. Exp. Bot. 2008, 59, 177–186. [Google Scholar] [CrossRef] [PubMed]
- Corpas, F.J.; Barroso, J.B. Functional implications of peroxisomal nitric oxide (NO) in plants. Front. Plant Sci. 2014, 5, 97. [Google Scholar] [CrossRef] [PubMed]
- Lamattina, L.; García-Mata, C.; Graziano, M.; Pagnussat, G. Nitric oxide: The versatility of an extensive signal molecule. Annu. Rev. Plant Biol. 2003, 54, 109–136. [Google Scholar] [CrossRef] [PubMed]
- Besson-Bard, A.; Pugin, A.; Wendehenne, D. New insights into nitric oxide signaling in plants. Annu. Rev. Plant Biol. 2008, 59, 21–39. [Google Scholar] [CrossRef] [PubMed]
- Courtois, C.; Besson, A.; Dahan, J.; Bourque, S.; Dobrowolska, G.; Pugin, A.; Wendehenne, D. Nitric oxide signaling in plants: Interplays with Ca2+ and protein kinases. J. Exp. Bot. 2008, 59, 155–163. [Google Scholar] [CrossRef] [PubMed]
- Baudouin, E. The language of nitric oxide signaling. Plant Biol. 2011, 13, 233–242. [Google Scholar] [CrossRef] [PubMed]
- Lindermayr, C.; Saalbach, G.; Durner, J. Proteomic identification of S-nitrosylated proteins in Arabidopsis. Plant Physiol. 2005, 137, 921–930. [Google Scholar] [CrossRef] [PubMed]
- Lindermayr, C.; Saalbach, G.; Bahnweg, G.; Durner, J. Differential inhibition of Arabidopsis methionine adenosyltransferases by protein S-nitrosylation. J. Biol. Chem. 2006, 281, 4285–4291. [Google Scholar] [CrossRef] [PubMed]
- Grün, S.; Lindermayr, C.; Sell, S.; Durner, J. Nitric oxide and gene regulation in plants. J. Exp. Bot. 2006, 57, 507–516. [Google Scholar] [CrossRef] [PubMed]
- Belenghi, B.; Romero-Puertas, M.C.; Vercammen, D.; Brackenier, A.; Inzé, D.; Delledonne, M.; van Breusegem, F. Metacaspase activity of Arabidopsis thaliana is regulated by S-nitrosylation of a critical cysteine residue. J. Biol. Chem. 2007, 282, 1352–1358. [Google Scholar] [CrossRef] [PubMed]
- Klessig, D.F.; Durner, J.; Noad, R.; Navarre, D.A.; Wendehenne, D.; Kumar, D.; Zhou, J.M.; Shah, J.; Zhang, S.; Kachroo, P.; et al. Nitric oxide and salicylic acid signaling in plant defense. Proc. Natl. Acad. Sci. USA 2000, 97, 8849–8855. [Google Scholar] [CrossRef] [PubMed]
- Arasimowicz-Jelonek, M.; Floryszak-Wieczorek, J.; Kosmala, A. Are nitric oxide donors a valuable tool to study the functional role of nitric oxide in plant metabolism? Plant Biol. 2011, 13, 747–756. [Google Scholar] [CrossRef] [PubMed]
- Weller, R. Nitric oxide: A key mediator in cutaneous physiology. Clin. Exp. Dermatol. 2003, 28, 511–514. [Google Scholar] [CrossRef] [PubMed]
- Rőszer, T. Biosynthesis of nitric oxide in plants. In Nitric Oxide in Plants: Metabolism and Role in Stress Physiology; Springer International Publishing: New York, NY, USA, 2014; pp. 17–32. [Google Scholar]
- Floryszak-Wieczorek, J.; Milczarek, G.; Arasimowicz, M.; Ciszewski, A. Do nitric oxide donors mimic endogenous NO-related response in plants? Planta 2006, 224, 1363–1372. [Google Scholar] [CrossRef] [PubMed]
- Simaei, M.; Khavari-Nejad, R.A.; Bernard, F. Exogenous application of salicylic acid and nitric oxide on the ionic contents and enzymatic activities in NaCl-stressed soybean plants. Am. J. Plant Sci. 2012, 3, 1495–1503. [Google Scholar] [CrossRef]
- Morkunas, I.; Formela, M.; Floryszak-Wieczorek, J.; Marczak, Ł.; Narożna, D.; Nowak, W.; Bednarski, W. Cross-talk interactions of exogenous nitric oxide and sucrose modulates phenylpropanoid metabolism in yellow lupine embryo axes infected with Fusarium oxysporum. Plant Sci. 2013, 211, 102–121. [Google Scholar] [CrossRef] [PubMed]
- Mur, L.A.; Prats, E.; Pierre, S.; Hall, M.A.; Hebelstrup, K.H. Integrating nitric oxide into salicylic acid and jasmonic acid/ethylene plant defense pathways. Front. Plant Sci. 2013, 4, 215. [Google Scholar] [CrossRef] [PubMed]
- Lopez-Carrion, A.I.; Castellano, R.; Rosales, M.A.; Ruiz, J.M.; Romero, L. Role of nitric oxide under saline stress: Implications on proline metabolism. Biol. Plant. 2008, 52, 587–591. [Google Scholar] [CrossRef]
- Arasimowicz, M.; Floryszak-Wieczorek, J. Nitric oxide as a bioactive signaling molecule in plant stress responses. Plant Sci. 2007, 172, 876–887. [Google Scholar] [CrossRef]
- Davies, S. Nitric oxide signaling in insects. Insect Biochem. Mol. Biol. 2000, 30, 1123–1138. [Google Scholar] [CrossRef]
- Müller, U. The nitric oxide system in insects. Prog. Neurobiol. 1997, 51, 363–381. [Google Scholar] [CrossRef]
- Liu, Y.B. Nitric oxide as a potent fumigant for postharvest pest control. J. Econ. Entomol. 2013, 106, 2267–2274. [Google Scholar] [CrossRef] [PubMed]
- Ascenzi, P.; Gradoni, L. Nitric Oxide Limits Parasite Development in Vectors and in Invertebrate Intermediate Hosts. IUBMB Life 2002, 53, 121–123. [Google Scholar] [PubMed]
- Colasanti, M.; Venturini, G. Nitric oxide in invertebrates. Mol. Neurobiol. 1998, 17, 157–174. [Google Scholar] [CrossRef] [PubMed]
- Ribeiro, J.M.; Nussenzveig, R.H. Nitric oxide synthase activity from a hematophagous insect salivary gland. FEBS Lett. 1993, 330, 165–168. [Google Scholar] [CrossRef]
- Paveto, C.; Pereira, C.; Espinosa, J.; Montagna, A.E.; Farber, M.; Esteva, M.; Flavia, M.M.; Torres, H.N. The nitric oxide transduction pathway in Trypanosoma cruzi. J. Biol. Chem. 1995, 270, 16576–16579. [Google Scholar] [CrossRef] [PubMed]
- Colasanti, M.; Venturini, G.; Merante, A.; Musci, G.; Lauro, G.M. Nitric oxide involvement in Hydra vulgaris very primitive olfactory-like system. J. Neurosci. 1997, 17, 493–499. [Google Scholar] [PubMed]
- Palumbo, A.; Di Cosmo, A.; Gesualdo, I. A Calcium-Dependent Nitric Oxide Synthase and NMDA R1 Glutamate Receptor in the Ink Gland of Sepia officinalis: A Hint to a Regulatory Role of Nitric Oxide in Melanogenesis? Biochem. Biophys. Res. Commun. 1997, 235, 429–432. [Google Scholar] [CrossRef] [PubMed]
- Scholz, N.L.; Chang, E.S.; Graubard, K.; Truman, J.W. The NO/cGMP pathway and the development of neural networks in postembryonic lobsters. J. Neurobiol. 1998, 34, 208–226. [Google Scholar] [CrossRef]
- Mart, B.; Collar, J.L.; Tjallingii, W.F.; Fereres, A. Intracellular ingestion and salivation by aphids may cause the acquisition and inoculation of non-persistently transmitted plant viruses. J. Gen. Virol. 1997, 78, 2701–2705. [Google Scholar]
- Gabryś, B.; Pawluk, M. Acceptability of different species of Brassicaceae as hosts for the cabbage aphid. In Proceedings of the 10th International Symposium on Insect-Plant Relationships, Oxford, England, UK, 4–10 July 1998; Simpson, S.J., Mordue, A.J., Hardie, J., Eds.; Springer: Dordrecht, The Netherlands, 1999; pp. 105–109. [Google Scholar]
- Gabryś, B.; Tjallingii, W.F. The role of sinigrin in host plant recognition by aphids during initial plant penetration. Entomol. Exp. Appl. 2002, 104, 89–93. [Google Scholar] [CrossRef]
- Dancewicz, K.; Gabryś, B.; Dams, I.; Wawrzeńczyk, C. Enantiospecific effect of pulegone and pulegone-derived lactones on Myzus persicae (Sulz.) settling and feeding. J. Chem. Ecol. 2008, 34, 530–538. [Google Scholar] [CrossRef] [PubMed]
- Gabryś, B.; Dancewicz, K.; Gliszczyńska, A.; Kordan, B.; Wawrzeńczyk, C. Systemic deterrence of aphid probing and feeding by novel β-damascone analogues. J. Pest Sci. 2015, 88, 507–516. [Google Scholar] [CrossRef] [PubMed]
- Mayoral, A.M.; Tjallingii, W.F.; Castanera, P. Probing behavior of Diuraphis noxia on five cereal species with different hydroxamic acid levels. Entomol. Exp. Appl. 1996, 78, 341–348. [Google Scholar] [CrossRef]
- Kordan, B.; Dancewicz, K.; Wróblewska, A.; Gabryś, B. Intraspecific variation in alkaloid profile of four lupine species with implications for the pea aphid probing behavior. Phytochem. Lett. 2012, 5, 71–77. [Google Scholar] [CrossRef]
- Dancewicz, K.; Sznajder, K.; Załuski, D.; Kordan, B.; Gabryś, B. Behavioral sensitivity of Myzus persicae to volatile isoprenoids in plant tissues. Entomol. Exp. Appl. 2016, 160, 229–240. [Google Scholar] [CrossRef]
- Alvarez, A.E.; Tjallingii, W.F.; Garzo, E.; Vleeshouwers, V.; Dicke, M.; Vosman, B. Location of resistance factors in the leaves of potato and wild tuber-bearing Solanum species to the aphid Myzus persicae. Entomol. Exp. Appl. 2006, 121, 145–157. [Google Scholar] [CrossRef]
- Marchetti, E.; Civolani, S.; Leis, M.; Chicca, M.; Tjallingii, W.F.; Pasqualini, E.; Baronio, P. Tissue location of resistance in apple to the rosy apple aphid established by electrical penetration graphs. Bull. Insectol. 2009, 62, 203–208. [Google Scholar]
- Bellin, D.; Asai, S.; Delledonne, M.; Yoshioka, H. Nitric oxide as a mediator for defense responses. Mol. Plant Microbe Interact. 2013, 26, 271–277. [Google Scholar] [CrossRef] [PubMed]
- Pearce, R.B.; Edwards, P.P.; Green, T.L.; Anderson, P.A.; Fisher, B.J.; Carpenter, T.A.; Hall, L.D. Immobilized long-lived free radicals at the host–pathogen interface in sycamore (Acer pseudoplatanus L.). Phys. Mol. Plant Pathol. 1997, 50, 371–390. [Google Scholar] [CrossRef]
- Simontacchi, M.; Galatro, A.; Ramos-Artuso, F.; Santa-María, G.E. Plant Survival in a Changing Environment: The Role of Nitric Oxide in Plant Responses to Abiotic Stress. Front. Plant Sci. 2015, 6, 977. [Google Scholar] [CrossRef] [PubMed]
- Mai, V.C.; Bednarski, W.; Borowiak-Sobkowiak, B.; Wilkaniec, B.; Samardakiewicz, S.; Morkunas, I. Oxidative stress in pea seedling leaves in response to Acyrthosiphon pisum infestation. Phytochemistry 2013, 93, 49–62. [Google Scholar] [CrossRef]
- Zebelo, S.A.; Maffei, M.E. Role of early signaling events in plant-insect interactions. J. Exp. Bot. 2015, 66, 435–448. [Google Scholar] [CrossRef] [PubMed]
- Huang, X.; Kiefer, E.; von Rad, U.; Ernst, D.; Foissner, I.; Durner, J. Nitric oxide burst and nitric oxide-dependent gene induction in plants. Plant Physiol. Biochem. 2002, 40, 625–631. [Google Scholar] [CrossRef]
- Bolwell, G.P.; Wojtaszek, P. Mechanisms for the generation of reactive oxygen species in plant defence—A broad perspective. Physiol. Mol. Plant Pathol. 1997, 51, 347–366. [Google Scholar] [CrossRef]
- Moloi, M.J.; Westhuizen, A.J. Involvement of nitric oxide in the Russian wheat aphid resistance response of wheat. Cereal Res. Commun. 2013, 42, 119–125. [Google Scholar] [CrossRef]
- Foissner, I.; Wendehenne, D.; Langebartels, C.; Durner, J. In vivo imaging of an elicitor-induced nitric oxide burst in tobacco. Plant J. 2000, 23, 817–824. [Google Scholar] [CrossRef] [PubMed]
- Jeandet, P.; Hébrard, C.; Deville, M.A.; Cordelier, S.; Dorey, S.; Aziz, A.; Crouzet, J. Deciphering the role of phytoalexins in plant-microorganism interactions and human health. Molecules 2014, 19, 18033–18056. [Google Scholar] [CrossRef] [PubMed]
- Wendehenne, D.; Pugin, A.; Klessig, D.F.; Durner, J. Nitric oxide: Comparative synthesis and signaling in animal and plant cells. Trends Plant Sci. 2001, 6, 177–183. [Google Scholar] [CrossRef]
- Murgia, I.; de Pinto, M.C.; Delledonne, M.; Soave, C.; de Gara, L. Comparative effects of various nitric oxide donors on ferritin regulation, programmed cell death, and cell redox state in plant cells. J. Plant Physiol. 2004, 161, 777–783. [Google Scholar] [CrossRef] [PubMed]
- Hao, G.; Du, X.; Zhao, F.; Shi, R.; Wang, J. Role of nitric oxide in UV-B-induced activation of PAL and stimulation of flavonoid biosynthesis in Ginkgo biloba callus. Plant Cell Tissue Organ Cult. 2009, 97, 175–185. [Google Scholar] [CrossRef]
- Wang, J.W.; Wu, J.Y. Nitric oxide is involved in methyl jasmonate-induced defense responses and secondary metabolism activities of Taxus cells. Plant Cell Physiol. 2005, 46, 923–930. [Google Scholar] [CrossRef] [PubMed]
- Zhang, J.Y.; Chen, H.Y.; Zhang, H.P.; Zhu, N.; Dong, J.E. Nitric oxide triggered by salicylic acid mediates the biosynthesis of salvianolic acid B in Salvia miltiorhizza suspension cell culture. Plant Sci. J. 2015, 31, 81–89. [Google Scholar]
- Sharma, S.; Sharma, R.R. Nitric oxide inhibits activities of PAL and PME enzymes and reduces chilling injury in “Santa Rosa” Japanese plum (Prunus salicina Lindell). J. Plant Biochem. Biotechnol. 2015, 24, 292–297. [Google Scholar] [CrossRef]
- Delledonne, M.; Xia, Y.; Dixon, R.A.; Lamb, C. Nitric oxide functions as a signal in plant disease resistance. Nature 1998, 394, 585–588. [Google Scholar] [PubMed]
- Durner, J.; Wendehenne, D.; Klessig, D.F. Defense gene induction in tobacco by nitric oxide, cyclic GMP, and cyclic ADP-ribose. Proc. Natl. Acad. Sci. USA 1998, 95, 10328–10333. [Google Scholar] [CrossRef] [PubMed]
- Miller, L.P. Glycosides. In Phytochemistry: The Process and Products of Photosynthesis; Miller, L.P., Ed.; Van Nostrand Reinhold: New York, NY, USA, 1973; pp. 297–375. [Google Scholar]
- Pentzold, S.; Zagrobelny, M.; Rook, F.; Bak, S. How insects overcome two-component plant chemical defence: Plant β-glucosidases as the main target for herbivore adaptation. Biol. Rev. 2014, 89, 531–551. [Google Scholar] [CrossRef] [PubMed]
- Birch, L.C. The intrinsic rate of natural increase of an insect population. J. Anim. Ecol. 1948, 17, 15–26. [Google Scholar] [CrossRef]
- Wyatt, I.J.; White, P.F. Simple estimation of intrinsic rates for aphids and tetranychid mites. J. Appl. Ecol. 1977, 14, 757–766. [Google Scholar] [CrossRef]
- Kozłowski, R.; Niedbała, G.; Durak, R.; Borowiak-Sobkowiak, B. System komputerowy wspomagający wyznaczanie parametrów demograficznych i analizę populacji owadów. Tech. Rol. Ogrod. Leśna 2010, 4, 16–18. (In Polish) [Google Scholar]
- Will, T.; Tjallingii, W.F.; Thönnessen, A.; van Bel, A.J. Molecular sabotage of plant defense by aphid saliva. Proc. Natl. Acad. Sci. USA 2007, 104, 10536–10541. [Google Scholar] [CrossRef] [PubMed]
- Philippi, J.; Schliephake, E.; Jürgens, H.U.; Jansen, G.; Ordon, F. Feeding behavior of aphids on narrow-leafed lupin (Lupinus angustifolius) genotypes varying in the content of quinolizidine alkaloids. Entomol. Exp. Appl. 2015, 156, 37–51. [Google Scholar] [CrossRef]
- Tjallingii, W.F. Sieve element acceptance by aphids. Eur. J. Entomol. 1994, 91, 47–52. [Google Scholar]
- Helden, M.; Tjallingii, W.F. Tissue localisation of lettuce resistance to the aphid Nasonovia ribisnigri using electrical penetration graphs. Entomol. Exp. Appl. 1993, 68, 269–278. [Google Scholar] [CrossRef]
- Morkunas, I.; Bednarski, W. Fusarium oxysporum-induced oxidative stress and antioxidative defenses of yellow lupine embryo axes with different sugar levels. J. Plant Physiol. 2008, 165, 262–277. [Google Scholar] [CrossRef] [PubMed]
- Bednarski, W.; Ostrowski, A.; Waplak, S. Low temperature short-range ordering caused by Mn2+ doping of Rb3H(SO4)2. J. Phys. Condens. Matter 2010, 22, 225901. [Google Scholar] [CrossRef] [PubMed]
- Morkunas, I.; Garnczarska, M.; Bednarski, W.; Ratajczak, W.; Waplak, S. Metabolic and ultrastructural responses of lupine embryo axes to sugar starvation. J. Plant Physiol. 2003, 160, 311–319. [Google Scholar] [CrossRef] [PubMed]
- Morkunas, I.; Bednarski, W.; Kozłowska, M. Response of embryo axes of germinating seeds of yellow lupine to Fusarium oxysporum. Plant Physiol. Biochem. 2004, 42, 493–499. [Google Scholar] [CrossRef] [PubMed]
- Morkunas, I.; Bednarski, W.; Kopyra, M. Defense strategies of pea embryo axes with different levels of sucrose to Fusarium oxysporum and Ascochyta pisi. Physiol. Mol. Plant Pathol. 2008, 72, 167–178. [Google Scholar] [CrossRef]
- Formela, M.; Samardakiewicz, S.; Marczak, Ł.; Nowak, W.; Narożna, D.; Bednarski, W.; Kasprowicz-Maluśki, A.; Morkunas, I. Effects of endogenous signals and Fusarium oxysporum on the mechanism regulating genistein synthesis and accumulation in yellow lupine and their impact on plant cell cytoskeleton. Molecules 2014, 19, 13392–13421. [Google Scholar] [CrossRef] [PubMed]
- Doke, N. Involvement of superoxide anion generation in the hypersensitive response of potato tuber tissues to infection with an incompatible race of Phytophthora infestans and to the hyphal wall components. Physiol. Plant Pathol. 1983, 23, 345–357. [Google Scholar] [CrossRef]
- Stobiecki, M.; Wojtaszek, P.; Gulewicz, K. Application of solid phase extraction for profiling of quinolisidine alkaloids and phenolic compounds in Lupinus albus. Phytochem. Anal. 1997, 8, 153–158. [Google Scholar] [CrossRef]
- Morkunas, I.; Stobiecki, M.; Marczak, Ł.; Stachowiak, J.; Narożna, D.; Remlein-Starosta, D. Changes in carbohydrate and isoflavonoid metabolism in yellow lupine in response to infection by Fusarium oxysporum during the stages of seed germination and early seedling growth. Physiol. Mol. Plant Pathol. 2010, 75, 46–55. [Google Scholar] [CrossRef]
- Nichols, E.J.; Beckman, J.M.; Hadwiger, L.A. Glycosidic enzyme activity in pea tissue and pea-Fusarium solani interactions. Plant Physiol. 1980, 66, 199–204. [Google Scholar] [CrossRef] [PubMed]
- Morkunas, I.; Kozłowska, M.; Ratajczak, L.; Marczak, Ł. Role of sucrose in the development of Fusarium wilt in lupine embryo axes. Physiol. Mol. Plant Pathol. 2007, 70, 25–37. [Google Scholar] [CrossRef]
© 2017 by the authors. Licensee MDPI, Basel, Switzerland. This article is an open access article distributed under the terms and conditions of the Creative Commons Attribution (CC BY) license ( http://creativecommons.org/licenses/by/4.0/).