Simultaneous Determination and Investigation of Nine Fungicides in Fruits Using Diethylenetriamine-Functional Magnetic Core-Shell Polymer Modified Graphene Oxide as an Efficient Adsorbent Coupled to UPLC-HRMS
Abstract
1. Introduction
2. Results and Discussion
2.1. Synthesis and Characterization of DETA-MPs-GO
2.2. Optimization of UPLC-HRMS Conditions
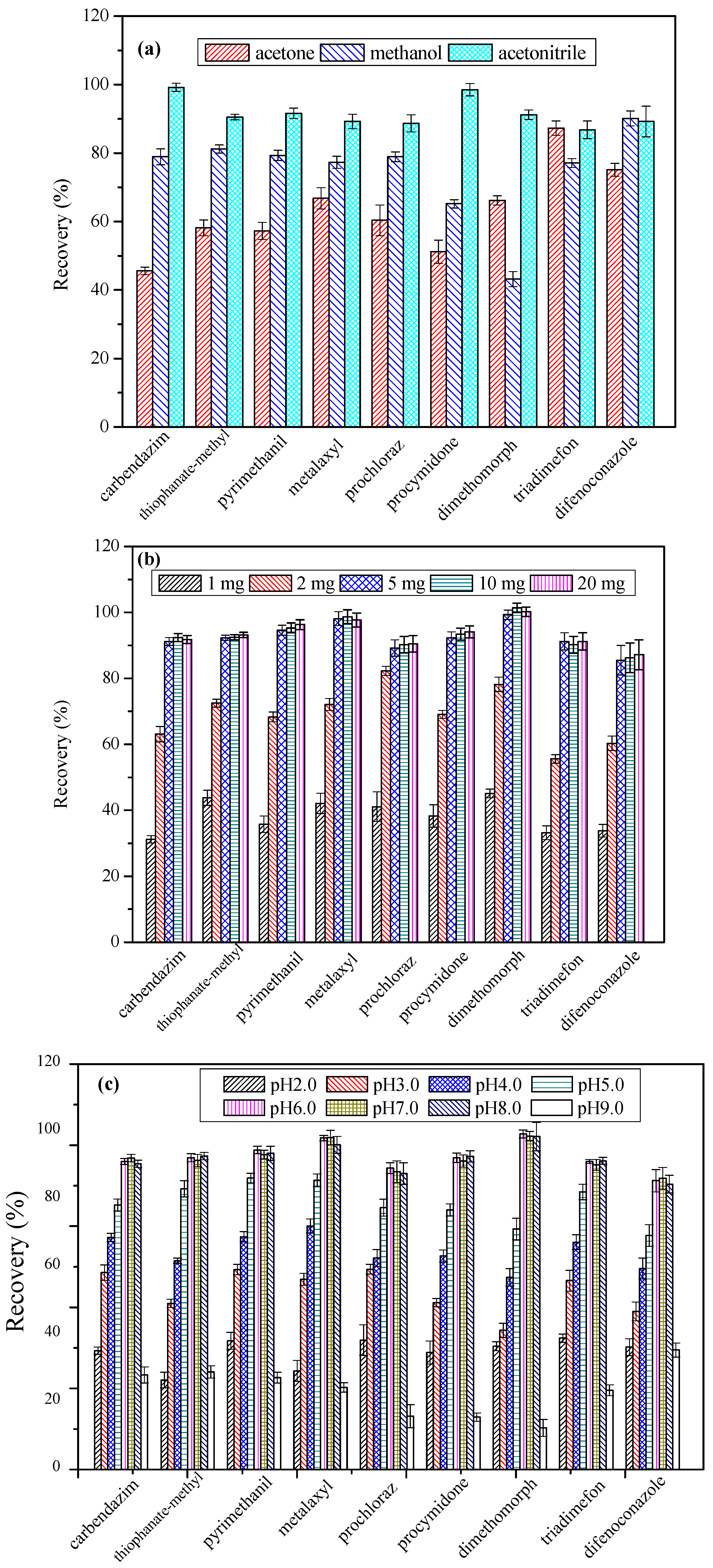
2.3. Selection of Extraction Solvent
2.4. Optimization of the Magnetic Solid-Phase Extraction (MSPE) Procedure
2.4.1. Optimization of Adsorbent Amount Usage
2.4.2. Optimization of Solution pH and Adsorption Mechanism Investigation
2.4.3. Optimization of Elution Procedure
2.5. Matrix Effect
2.6. Method Validation
2.7. Application for Survey of Fungicides in Fruits Samples
3. Materials and Methods
3.1. Reagents and Materials
3.2. Preparation of Diethylenetriamine-Functional Magnetic Core-Shell Polymer Modified Graphene Oxide (DETA-MPs-GO) Microspheres
3.3. Characterization of DETA-MPs-GO
3.4. Sample Extraction and Cleanup Procedure
3.5. Ultra-Performance Liquid Chromatography Parameters
3.6. High-Resolution Mass Spectrometry Parameters
4. Conclusions
Author Contributions
Conflicts of Interest
References
- Cserhati, T.; Szogyi, M. Chromatographic determination of fungicides in biological and environmental matrices. New achievements. Biomed. Chromatogr. 2012, 26, 276–282. [Google Scholar] [CrossRef] [PubMed]
- Kahle, M.; Buerge, I.J.; Hauser, A.; Muller, M.D.; Poiger, T. Azole fungicides: Occurrence and fate in wastewater and surface waters. Environ. Sci. Technol. 2008, 42, 7193–7200. [Google Scholar] [CrossRef] [PubMed]
- Güdücü, H.E.; İnam, R.; Aboul-Enein, H.Y. Determination of organophosphorus and triazole pesticides by gas chromatography and application to vegetable and commercial samples. J. Liq. Chromatogr. Relat. Technol. 2011, 34, 2473–2483. [Google Scholar] [CrossRef]
- Silva, E.A.; Lopez-Avila, V.; Pawliszyn, J. Fast and robust direct immersion solid phase microextraction coupled with gas chromatography-time-of-flight mass spectrometry method employing a matrix compatible fiber for determination of triazole fungicides in fruits. J. Chromatogr. A 2013, 1313, 139–146. [Google Scholar] [CrossRef] [PubMed]
- Fontana, A.R.; Rodriguez, I.; Ramil, M.; Altamirano, J.C.; Cela, R. Solid-phase extraction followed by liquid chromatography quadrupole time-of-flight tandem mass spectrometry for the selective determination of fungicides in wine samples. J. Chromatogr. A 2011, 1218, 2165–2175. [Google Scholar] [CrossRef] [PubMed]
- Cabrera Lda, C.; Caldas, S.S.; Prestes, O.D.; Primel, E.G.; Zanella, R. Evaluation of alternative sorbents for dispersive solid-phase extraction clean-up in the QuEChERS method for the determination of pesticide residues in rice by liquid chromatography with tandem mass spectrometry. J. Sep. Sci. 2016, 39, 1945–1954. [Google Scholar] [CrossRef] [PubMed]
- Da Luz, S.R.; Pazdiora, P.C.; Dallagnol, L.J.; Dors, G.C.; Chaves, F.C. Mycotoxin and fungicide residues in wheat grains from fungicide-treated plants measured by a validated LC-MS method. Food Chem. 2017, 220, 510–516. [Google Scholar] [CrossRef] [PubMed]
- Celeiro, M.; Llompart, M.; Lamas, J.P.; Lores, M.; Garcia-Jares, C.; Dagnac, T. Determination of fungicides in white grape bagasse by pressurized liquid extraction and gas chromatography tandem mass spectrometry. J. Chromatogr. A 2014, 1343, 18–25. [Google Scholar] [CrossRef] [PubMed]
- Rodriguez-Cabo, T.; Rodriguez, I.; Ramil, M.; Cela, R. Dispersive liquid-liquid microextraction using non-chlorinated, lighter than water solvents for gas chromatography-mass spectrometry determination of fungicides in wine. J. Chromatogr. A 2011, 1218, 6603–6611. [Google Scholar] [CrossRef] [PubMed]
- Pan, H.-J.; Ho, W.-H. Determination of fungicides in water using liquid phase microextraction and gas chromatography with electron capture detection. Anal. Chim. Acta 2004, 527, 61–67. [Google Scholar] [CrossRef]
- Otero, R.R.; Ruiz, C.Y.; Grande, B.C.; Gándara, J.S. Solid-phase microextraction-gas chromatographic-mass spectrometric method for the determination of the fungicides cyprodinil and fludioxonil in white wines. J. Chromatogr. A 2002, 942, 41–52. [Google Scholar] [CrossRef]
- Lehotay, S.J.; Neil, M.O.; Tully, J.; Valerde, A.; Contreras, M.; Mol, H.G.J.; Heinke, V.; Anspach, T.; Lach, G.; Fussell, R.; et al. Determination of pesticide residues in foods by acetonitrile extraction and partitioning with magnesium sulfate: Collaborative study. J. AOAC Int. 2007, 90, 485–520. [Google Scholar] [PubMed]
- Eeltink, S.; Wouters, S.; Dores-Sousa, J.L.; Svec, F. Advances in organic polymer-based monolithic column technology for high-resolution liquid chromatography-mass spectrometry profiling of antibodies, intact proteins, oligonucleotides, and peptides. J. Chromatogr. A 2017, 1498, 8–21. [Google Scholar] [CrossRef] [PubMed]
- Gorshkov, V.; Hotta, S.Y.; Verano-Braga, T.; Kjeldsen, F. Peptide de novo sequencing of mixture tandem mass spectra. Proteomics 2016, 16, 2470–2479. [Google Scholar] [CrossRef] [PubMed]
- Gago-Ferrero, P.; Schymanski, E.L.; Hollender, J.; Thomaidis, N.S. Nontarget Analysis of Environmental Samples Based on Liquid Chromatography Coupled to High Resolution Mass Spectrometry (LC-HRMS). Compr. Anal. Chem. 2016, 71, 381–403. [Google Scholar]
- Yang, Z.L.; Li, H.; Wang, B.; Liu, S.Y. An optimized method for neurotransmitters and their metabolites analysis in mouse hypothalamus by high performance liquid chromatography-Q exactive hybrid quadrupole-orbitrap high-resolution accurate mass spectrometry. J. Chromatogr. B Anal. Technol. Biomed. Life Sci. 2016, 1012–1013, 79–88. [Google Scholar] [CrossRef] [PubMed]
- Solliec, M.; Roy-Lachapelle, A.; Sauve, S. Quantitative performance of liquid chromatography coupled to Q-Exactive high resolution mass spectrometry (HRMS) for the analysis of tetracyclines in a complex matrix. Anal. Chim. Acta 2015, 853, 415–424. [Google Scholar] [CrossRef] [PubMed]
- Jia, W.; Chu, X.; Ling, Y.; Huang, J.; Chang, J. Analysis of phthalates in milk and milk products by liquid chromatography coupled to quadrupole Orbitrap high-resolution mass spectrometry. J. Chromatogr. A 2014, 1362, 110–118. [Google Scholar] [CrossRef] [PubMed]
- Deng, X.; Guo, Q.; Chen, X.; Xue, T.; Wang, H.; Yao, P. Rapid and effective sample clean-up based on magnetic multiwalled carbon nanotubes for the determination of pesticide residues in tea by gas chromatography-mass spectrometry. Food Chem. 2014, 145, 853–858. [Google Scholar] [CrossRef] [PubMed]
- Peng, X.T.; Jiang, L.; Gong, Y.; Hu, X.Z.; Peng, L.J.; Feng, Y.Q. Preparation of mesoporous ZrO2-coated magnetic microsphere and its application in the multi-residue analysis of pesticides and PCBs in fish by GC-MS/MS. Talanta 2015, 132, 118–125. [Google Scholar] [CrossRef] [PubMed]
- Zhang, J.; Gan, N.; Chen, S.; Pan, M.; Wu, D.; Cao, Y. β-cyclodextrin functionalized meso-/macroporous magnetic titanium dioxide adsorbent as extraction material combined with gas chromatography-mass spectrometry for the detection of chlorobenzenes in soil samples. J. Chromatogr. A 2015, 1401, 24–32. [Google Scholar] [CrossRef] [PubMed]
- Luo, Y.B.; Li, X.; Jiang, X.Y.; Cai, B.D.; Zhu, F.P.; Zhang, H.F.; Chen, Z.G.; Pang, Y.Q.; Feng, Y.Q. Magnetic graphene as modified quick, easy, cheap, effective, rugged and safe adsorbent for the determination of organochlorine pesticide residues in tobacco. J. Chromatogr. A 2015, 1406, 1–9. [Google Scholar] [CrossRef] [PubMed]
- Pourjavadi, A.; Nazari, M.; Hosseini, S.H. Synthesis of magnetic graphene oxide-containing nanocomposite hydrogels for adsorption of crystal violet from aqueous solution. RSC Adv. 2015, 5, 32263–32271. [Google Scholar] [CrossRef]
- Bi, S.; Zhao, T.; Jia, X.; He, P. Magnetic graphene oxide-supported hemin as peroxidase probe for sensitive detection of thiols in extracts of cancer cells. Biosens. Bioelectron. 2014, 57, 110–116. [Google Scholar] [CrossRef] [PubMed]
- Jin, J.M.; Lee, J.M.; Ha, M.H.; Lee, K.; Choe, S. Highly crosslinked poly(glycidyl methacrylate-co-divinyl benzene) particles by precipitation polymerization. Polymer 2007, 48, 3107–3115. [Google Scholar] [CrossRef]
- Murugan, A.V.; Muraliganth, T.; Manthiram, A. Rapid, Facile microwave-solvothermal synthesis of graphene nanosheets and their polyaniline nanocomposites for energy strorage. Chem. Mater. 2009, 21, 5004–5006. [Google Scholar] [CrossRef]
- He, H.; Gao, C. Supraparamagnetic, conductive, and processable multifunctional graphene nanosheets coated with high-density Fe3O4 nanoparticles. ACS Appl. Mater. Interfaces 2010, 2, 3201–3210. [Google Scholar] [CrossRef] [PubMed]
- Deng, H.; Li, X.; Peng, Q.; Wang, X.; Chen, J.; Li, Y. Monodisperse Magnetic Single-Crystal Ferrite Microspheres. Angew. Chem. 2005, 117, 2842–2845. [Google Scholar] [CrossRef]








| Compounds | Retention time (min) | Molecular Formula | Ionization Mode | Theoretical Value of Exact Mass (Da) | Experiment Value of Exact Mass (Da) | Mass Deviation (ppm) |
|---|---|---|---|---|---|---|
| Carbendazim | 1.97 | C9H9N3O2 | [M + H]+ | 192.07675 | 192.07632 | −2.23 |
| Pyrimethanil | 4.67 | C12H13N3 | [M + H]+ | 200.11822 | 200.11786 | −1.80 |
| Thiophanate-methyl | 4.70 | C12H14N4O4S2 | [M + H]+ | 343.05292 | 343.05240 | −1.52 |
| Metalaxyl | 5.13 | C15H21NO4 | [M + H]+ | 280.15433 | 280.15393 | −1.43 |
| Dimethomorph | 5.50 | C21H22ClNO4 | [M + H]+ | 388.13101 | 388.13052 | −1.26 |
| Prochloraz | 5.51 | C15H16Cl3N3O2 | [M + H]+ | 376.03809 | 376.03702 | −2.85 |
| Triadimefon | 5.94 | C14H16ClN3O2 | [M + H]+ | 294.10038 | 294.09973 | −2.21 |
| Procymidone | 6.28 | C13H11Cl2NO2 | [M + H]+ | 284.02396 | 284.02338 | −2.04 |
| Difenoconazole | 6.50 | C19H17Cl2N3O3 | [M + H]+ | 406.07197 | 406.07132 | −1.60 |
| Compound | Matrix | Average Peak Area | Absolute Matrix Effect (B/A) (%) | |
|---|---|---|---|---|
| Standard Solution (A) | Post-Spiked (B) | |||
| Carbendazim | apple | 3.14 × 106 | 3.01 × 106 | 95.9 |
| orange | 3.11 × 106 | 99.0 | ||
| grape | 2.97 × 106 | 94.6 | ||
| Thiophanate-methyl | apple | 2.81 × 105 | 2.61 × 105 | 92.9 |
| orange | 2.49 × 105 | 88.6 | ||
| grape | 2.53 × 105 | 90.0 | ||
| Pyrimethanil | apple | 1.28 × 106 | 1.19 × 106 | 93.0 |
| orange | 1.23 × 106 | 96.1 | ||
| grape | 1.18 × 106 | 92.2 | ||
| Metalaxyl | apple | 2.26 × 106 | 2.01 × 106 | 88.9 |
| orange | 1.98 × 106 | 87.6 | ||
| grape | 2.08 × 106 | 92.0 | ||
| Prochloraz | apple | 1.45 × 106 | 1.37 × 106 | 94.5 |
| orange | 1.33× 106 | 91.7 | ||
| grape | 1.35 × 106 | 93.1 | ||
| Procymidone | apple | 1.29 × 104 | 1.20 × 104 | 93.0 |
| orange | 1.18 × 104 | 91.5 | ||
| grape | 1.23 × 104 | 95.3 | ||
| Dimethomorph | apple | 2.94 × 105 | 2.83 × 105 | 96.3 |
| orange | 2.85 × 105 | 96.9 | ||
| grape | 2.78 × 105 | 94.6 | ||
| Triadimefon | apple | 8.25 × 105 | 7.14 × 105 | 86.6 |
| orange | 7.19 × 105 | 87.2 | ||
| grape | 7.13 × 105 | 86.4 | ||
| Difenoconazole | apple | 2.65 × 106 | 2.42 × 106 | 91.2 |
| orange | 2.39 × 106 | 90.3 | ||
| grape | 2.44 × 106 | 92.0 | ||
| Compounds | Linear Equation | Linearity Range (μg/L) | R2 | LODs 1 (μg/kg) | LOQs 2 (μg/kg) |
|---|---|---|---|---|---|
| Carbendazim | Y = 1.01 C + 0.091 | 0.1–100.0 | 0.9996 | 0.03 | 0.09 |
| Thiophanate-methyl | Y = 1.12C + 0.062 | 0.1–100.0 | 0.9994 | 0.06 | 0.18 |
| Pyrimethanil | Y = 0.94C + 0.045 | 0.1–100.0 | 0.9998 | 0.01 | 0.09 |
| Metalaxyl | Y = 0.98C + 0013 | 0.1–100.0 | 0.9999 | 0.06 | 0.18 |
| Prochloraz | Y = 0.85C + 0.126 | 0.5–100.0 | 0.9996 | 0.10 | 0.30 |
| Procymidone | Y = 1.05C + 0.315 | 1.0–500.0 | 0.9995 | 0.30 | 0.90 |
| Dimethomorph | Y = 0.81C − 0.094 | 0.1–100.0 | 0.9993 | 0.03 | 0.09 |
| Triadimefon | Y = 0.99C − 0.003 | 0.1–100.0 | 0.9995 | 0.01 | 0.03 |
| Difenoconazole | Y = 1.12C + 0.211 | 0.5–100.0 | 0.9996 | 0.10 | 0.30 |
| Compounds | Average Recovery, % (RSD 1, %) | ||||||||
|---|---|---|---|---|---|---|---|---|---|
| Apple | Orange | Grape | |||||||
| 1.0 μg/kg | 40.0 μg/kg | 80.0 μg/kg | 1.0 μg/kg | 40.0 μg/kg | 80.0 μg/kg | 1.0 μg/kg | 40.0 μg/kg | 80.0 μg/kg | |
| Carbendazim | 96.6 (8.2) | 105.2 (2.1) | 98.1 (1.4) | 90.1 (7.1) | 93.2 (4.2) | 96.4 (2.5) | 96.2 (5.3) | 102.3 (1.8) | 99.3 (1.8) |
| Thiophanate-methyl | 95.2 (5.3) | 103.2 (1.2) | 101.5 (0.9) | 89.4 (3.5) | 90.8 (2.3) | 90.2 (2.0) | 96.3 (3.2) | 98.9 (1.0) | 103.6 (0.8) |
| Pyrimethanil | 90.2 (6.2) | 94.5 (1.1) | 96.2 (1.0) | 87.1 (6.3) | 91.2 (2.5) | 94.7 (1.6) | 92.5 (4.8) | 96.2 (2.3) | 98.7 (1.6) |
| Metalaxyl | 95.3 (6.8) | 96.7 (3.1) | 97.5 (2.3) | 93.4 (6.8) | 95.3 (3.7) | 95.8 (2.4) | 94.2 (5.2) | 97.8 (2.9) | 99.1 (1.4) |
| Prochloraz | 90.8 (6.9) | 92.5 (2.6) | 92.6 (1.8) | 85.6 (6.2) | 88.3 (2.8) | 89.5 (1.9) | 92.5 (4.7) | 94.6 (3.2) | 97.8 (1.9) |
| Procymidone | 88.1 (7.2) | 92.2 (3.2) | 90.3 (2.1) | 85.6 (7.8) | 87.2 (4.2) | 89.6 (3.1) | 91.4 (6.2) | 93.6 (2.8) | 90.3 (1.6) |
| Dimethomorph | 93.1 (5.2) | 99.3 (4.2) | 98.2 (2.4) | 86.9 (6.4) | 92.4 (4.0) | 95.3 (3.5) | 93.4 (5.4) | 98.8 (3.6) | 105.2 (2.1) |
| Triadimefon | 86.3 (4.7) | 89.6 (2.8) | 90.2 (1.2) | 85.6 (5.6) | 89.5 (3.2) | 91.3 (2.3) | 86.5 (3.8) | 89.8 (2.1) | 92.6 (1.0) |
| Difenoconazole | 85.2 (7.5) | 88.1 (4.5) | 91.2 (3.2) | 84.9 (6.2) | 86.7 (5.1) | 93.5 (3.2) | 89.7 (6.4) | 89.5 (6.2) | 93.3 (3.1) |
| Compound | Frequency (%) | Concentration Detected (μg/kg) | |
|---|---|---|---|
| Range (min.–max.) | Mean | ||
| Carbendazim | 79.0 | 0.41–314.0 | 22.6 |
| Thiophanate-methyl | 39.5 | 0.32–45.2 | 3.35 |
| Pyrimethanil | 34.6 | 0.56–618 | 57.1 |
| Metalaxyl | 3.7 | 0.53–2.4 | 1.2 |
| Prochloraz | 49.4 | 0.40–693.0 | 56.9 |
| Procymidone | 6.2 | 6.17–1060 | 287.7 |
| Dimethomorph | 32.1 | 0.41–321.0 | 56.9 |
| Triadimefon | 0 | - | - |
| Difenoconazole | 42.0 | 0.42–121.6 | 13.3 |
© 2017 by the authors. Licensee MDPI, Basel, Switzerland. This article is an open access article distributed under the terms and conditions of the Creative Commons Attribution (CC BY) license (http://creativecommons.org/licenses/by/4.0/).
Share and Cite
Ye, M.-L.; Zhu, Y. Simultaneous Determination and Investigation of Nine Fungicides in Fruits Using Diethylenetriamine-Functional Magnetic Core-Shell Polymer Modified Graphene Oxide as an Efficient Adsorbent Coupled to UPLC-HRMS. Int. J. Mol. Sci. 2017, 18, 2333. https://doi.org/10.3390/ijms18112333
Ye M-L, Zhu Y. Simultaneous Determination and Investigation of Nine Fungicides in Fruits Using Diethylenetriamine-Functional Magnetic Core-Shell Polymer Modified Graphene Oxide as an Efficient Adsorbent Coupled to UPLC-HRMS. International Journal of Molecular Sciences. 2017; 18(11):2333. https://doi.org/10.3390/ijms18112333
Chicago/Turabian StyleYe, Ming-Li, and Yan Zhu. 2017. "Simultaneous Determination and Investigation of Nine Fungicides in Fruits Using Diethylenetriamine-Functional Magnetic Core-Shell Polymer Modified Graphene Oxide as an Efficient Adsorbent Coupled to UPLC-HRMS" International Journal of Molecular Sciences 18, no. 11: 2333. https://doi.org/10.3390/ijms18112333
APA StyleYe, M.-L., & Zhu, Y. (2017). Simultaneous Determination and Investigation of Nine Fungicides in Fruits Using Diethylenetriamine-Functional Magnetic Core-Shell Polymer Modified Graphene Oxide as an Efficient Adsorbent Coupled to UPLC-HRMS. International Journal of Molecular Sciences, 18(11), 2333. https://doi.org/10.3390/ijms18112333
