Ethnobotanic, Ethnopharmacologic Aspects and New Phytochemical Insights into Moroccan Argan Fruits
Abstract
:1. Introduction
1.1. Botanical Description
1.2. Geographical Distribution
1.3. Environmental Interest of the Argan Tree
1.4. Economic Interest
1.5. Ethnobotany
2. Phytochemical Studies of the Argan Fruits
2.1. Argan Oil Chemistry
2.1.1. Extraction
2.1.2. Argan Oil Fatty Acids
2.1.3. Argan Oil Triglycerides
2.1.4. Argan Oil Phytosterols
2.1.5. Argan Oil Triterpenic Alcohols
2.1.6. Tocopherols in Argan Oil
2.1.7. The Polyphenols of Argan Oil
2.1.8. Melatonin and Coenzyme CoQ(10) from Argan Oil
2.2. Argan Flesh Essential Oils
2.2.1. Argan Flesh Triterpenes
2.2.2. Argan Flesh (Pulp) Sterols
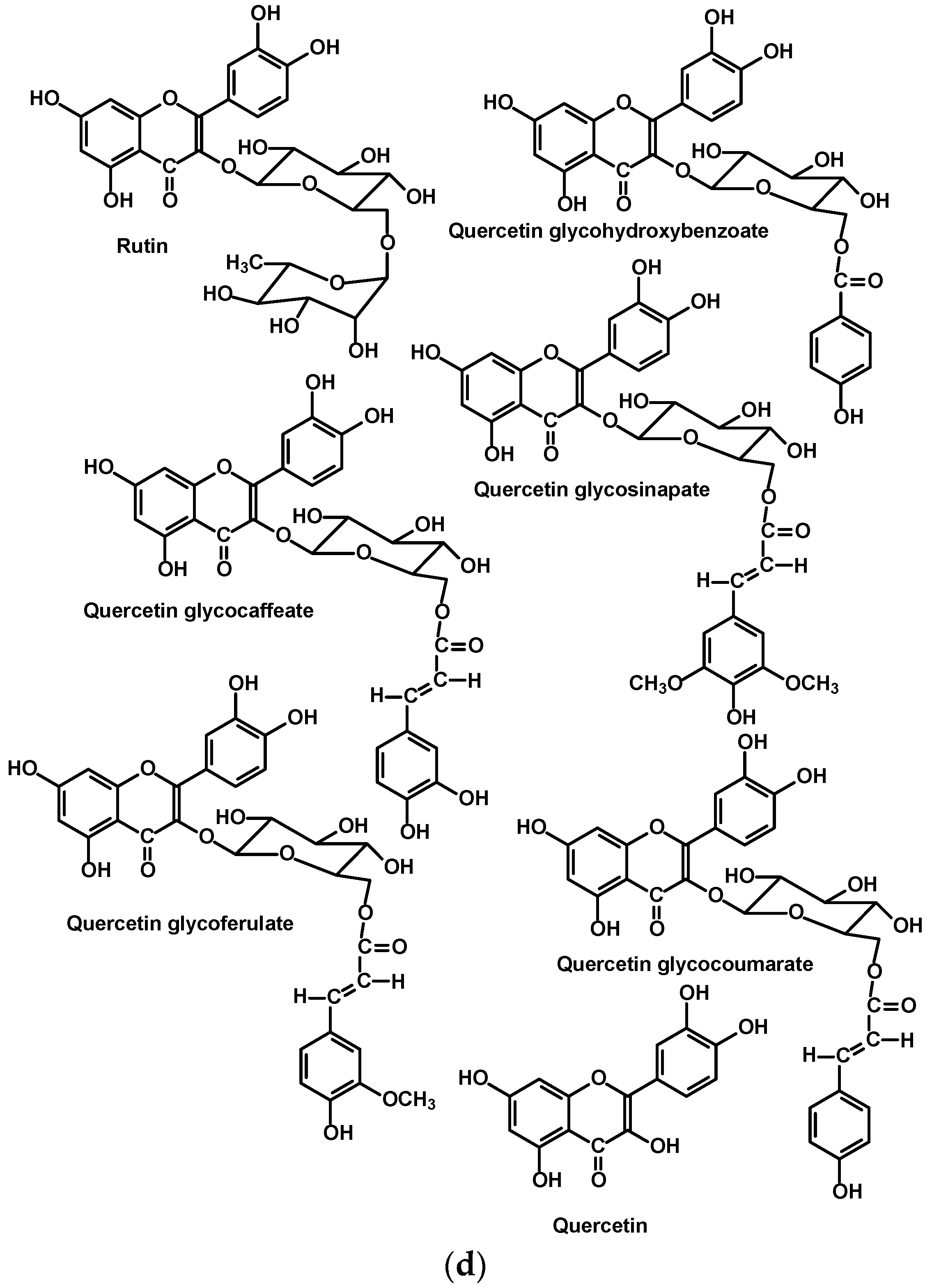
2.2.3. Argan Pulp Polyphenols
2.2.4. Argan Press-Cake Polyphenols
2.2.5. Argan Press-Cake Saponins
2.2.6. Evidence of a New Family of Secondary Metabolism in the Argan Flesh Fruits
2.2.7. Carbohydrates
2.2.8. Polyisoprenes
2.2.9. Argan Fruit Health Benefits
3. Conclusions
Conflicts of Interest
References
- Morton, J.F.; Voss, G. The argan tree (Argania sideroxylon, sapotaceae), a desert source of edible oil. Econ. Bot. 1987, 41, 221–233. [Google Scholar] [CrossRef]
- Ministère Chargé des Eaux et Forêts. Inventaire Forestier National. In Proceedings of the ACTE Congrés Arganier, Agadir, Morocco, 15–17 December 2011. [Google Scholar]
- Biosphere Reserve Information/Morocco/ARGANERAIE. UNESCO. Available online: http://www.unesco.org/mabdb/br/brdir/directory/biores.asp?mode=all&code=MOR+01 (accessed on 19 October 2017).
- Jackard, P. L’Arganier Sapotacee Oléagineuse du Maroc. Pharm. Acta Helv. 1925, 11, 203–209. [Google Scholar]
- Dickhart, W.H. Chemical and physical properties of argan oil. Am. J. Pharm. 1939, 111, 293–294. [Google Scholar]
- Farines, M.; Charrouf, M.; Soulier, J. The sterols of Argania spinosa seed oil. Phytochemistry 1981, 20, 2038–2039. [Google Scholar] [CrossRef]
- Farines, M.; Soulier, J.; Charrouf, M.; Soulier, R. Study of the seed oil from Argania spinosa (L.), Sapotaceae. I. The glyceride fraction. Rev. Fr. Corps Gras 1984, 31, 283–286. [Google Scholar]
- Charrouf, Z.; Fkih-tetouani, S.; Rouessac, F. Occurrence of eythrodiol in Argania spinosa. Albirunya 1990, 6135–6138. [Google Scholar]
- Charrouf, Z.; Wieruszeski, J.M.; Fkih-Tetouani, S.; Leroy, Y.; Charrouf, M.; Fournet, B. Triterpenoid saponins from Argania spinosa. Phytochemistry 1992, 31, 2079–2086. [Google Scholar] [CrossRef]
- Charrouf, Z.; Guillaume, D. Ethnoeconomical, ethnomedical, and phytochemical study of Argania spinosa (L.) Skeels. J. Ethnopharmacol. 1999, 67, 7–14. [Google Scholar] [CrossRef]
- Khallouki, F.; Voggel, J.; Breuer, A.; Klika, K.D.; Ulrich, C.M.; Owen, R.W. Comparison of the major polyphenols in mature Argan fruits from two regions of Morocco. Food Chem. 2017, 221, 1034–1040. [Google Scholar] [CrossRef] [PubMed]
- Khallouki, F.; Haubner, R.; Ricarte, I.; Erben, G.; Klika, K.D.; Ulrich, C.M.; Owen, R.W. Identification of polyphenolic compounds in the flesh of Argan (Morocco) fruits. Food Chem. 2015, 179, 191–198. [Google Scholar] [CrossRef] [PubMed]
- Khallouki, F.; Mannina, L.; Viel, F.; Owen, R.W. Thermal stability and long-chain fatty acid positional distribution on glycerol of argan oil. Food Chem. 2008, 110, 57–61. [Google Scholar] [CrossRef] [PubMed]
- Khallouki, F.; Spiegelhalder, B.; Owen, R.W. Chapitre Intitulé Overview of Tocopherol Composition of Oils (Encyclopaedia of Vitamin E); Part 2; Preedy, V.R., Ed.; CABI Publishing: Oxfordshire, UK, 2006; p. 153. [Google Scholar]
- Khallouki, F.; Spiegelhalder, B.; Bartsch, H.; Owen, R.W. Secondary metabolites of the argan tree (Morocco) may have disease prevention properties. Afr. J. Biotechnol. 2005, 4, 381–388. [Google Scholar]
- Khallouki, F.; Younos, C.; Soulimani, R.; Oster, T.; Charrouf, Z.; Spiegelhalder, B.; Bartsch, H.; Owen, R.W. Consumption of argan oil (Morocco) with its unique profile offatty acids, squalene, sterols, tocopherols and phenolic antioxidants should confer valuablecancer chemopreventive effects. Eur. J. Cancer Prev. 2003, 12, 67–75. [Google Scholar] [CrossRef] [PubMed]
- Klika, K.D.; Khallouki, F.; Owen, R.W. Carboxy methyl and carboxy analogs argaminolics B and C. Rec. Nat. Prod. 2015, 9, 597–602. [Google Scholar]
- Klika, K.D.; Khallouki, F.; Owen, R.W. Amino Phenolics from the Fruit of the Argan Tree Argania spinosa (Skeels L.). Z. Naturforsch. C 2014, 69, 363–367. [Google Scholar] [CrossRef] [PubMed]
- Quezel, P.; Santa, S. Nouvelle Flore de l’Algerie et des Régions Désertiques Méridionales; Centre National de la Recherche Scientifique: Paris, France, 1962; 738p. [Google Scholar]
- Bellakhdar, J. Medecine Arabe Ancienne et Savoir Populaire. La Pharmacopée Marocaine Traditionnelle; IBIS: Paris, France, 1997; pp. 486–488. [Google Scholar]
- Mhirit, O.; Benzyane, M.; Benchekroun, F.; El Yousfi, S.M.; Bendaanoun, M. L’Arganier, une Espèce Fruitière-Forestière à Usages Multiples; Mardaga: Sprimont, Belgium, 1998; 150p. [Google Scholar]
- Boudy, P. Economie Forestière Nord Africaine Tom II : Monographie et Traitement des Essences Forestières; Larose: Paris, France, 1950; pp. 383–415. [Google Scholar]
- Boudy, P. Guide Forestière de L’Afrique du Nord; LAROSE: Paris, France, 1952; pp. 185–195. [Google Scholar]
- Ozenda, P. Flore et la Végétation du Sahara, 3rd ed.; C.N.R.S.: Paris, France, 1991; 662p. [Google Scholar]
- Bouzemouri, B. Problématique de la conservation et du développement de l’arganeraie. In Proceedings of the International Colloque on L’Arganier, Levier du Developpement Humain du Milieu Rural, Rabat, Morocco, 27–28 April 2007; p. 15. [Google Scholar]
- Emberger, L. Le domaine naturel de l’arganier. Bull. Soc. Bot. France 1925, 72, 770–774. [Google Scholar] [CrossRef]
- Msanda, F.A.E.A.; Peltier, J.P. Biodiversité et biogéographie de l’arganeraie marocaine. Cah. Agric. 2005, 14, 357–364. [Google Scholar]
- Msanda, F.; Peltier, J.-P.; El Aboudi, A. Ecologie de l’arganier et typologie des arganeraies. In Atlas de L’Arganier et de L’Arganeraie; IAV Hassan II: Rabat, Morocco, 2007; pp. 8–107. [Google Scholar]
- Nouaim, R.; Chaussod, R. L’Arganier: Argania spinosa (L.) Skeels. (Sapotacées). In Le Flamboyant: Bulletin de Liaison des Membres du Réseau Arbres Tropicaux; Association Silva: Paris, France; 1993; Volume 27, pp. 7–9. [Google Scholar]
- Sebaa, H.S.; Kaid Harche, M. Anatomical structure and ultrastructure of the endocarp cell walls of Argania spinosa (L.) Skeels (Sapotaceae). Micron 2014, 67, 100–106. [Google Scholar] [CrossRef] [PubMed]
- Nouaïm, R.; Chaussod, R.; El Aboudi, A.; Schnabel, C.; Peltier, J.P. L’arganier: Essai de synthèse des connaissances sur cet arbre. In Physiologie des Arbres et Arbustes en Zones Arides et Semi-Arides; Groupe d’Etude de l’Arbre: Paris, France, 1991; pp. 373–388. [Google Scholar]
- Lybbert, T.J.; Aboudrare, A.; Chaloud, D.; Magnan, N.; Nash, M. Booming markets for Moroccan argan oil appera to benefit some rural households while threatening the endemic angan forest. Proc. Natl. Acad. Sci. USA 2011, 108, 13963–13968. [Google Scholar] [CrossRef] [PubMed]
- Argan Oil Market Size To Reach $1.79 Billion By 2022. Available online: http://www.grandviewresearch.com/press-release/global-argan-oil-market (accessed on 30 August 2017).
- Elabed, A. Réactivité Thermique et Cinétique de Dégradation du Bois D’arganier—Application á L’élaboration de Charbon Actif par Activation Chimique á L’acides Phosphoriques. Ph.D. Thesis, Université Mohammed V-AGDAL, Rabat, Morocco, 2007; 198p. [Google Scholar]
- De Ponteves, E.; Bourbouze, A.; Narjisse, H. Occupation de L’espace, Droit Coutumier et Législation Forestière dans un Territoire de l’Arganeraie Septentrionale au Maroc; Les Cahiers de la Recherche Développement, Centre de Coopération Internationale en Recherche Agronomique Pour le Développement: Paris, France, 1990; pp. 28–43. [Google Scholar]
- Chaussod, R.; Adlouni, A.; Christon, R. L’arganier et l’huile d’argane au Maroc: Vers la mutation d’unsystème agroforestier traditionnel? Cah. Agric. 2005, 14, 351–356. [Google Scholar]
- Charrouf, Z.; Guillaume, D. Argan oil: Occurrence, composition and impact on human health. Eur. J. Lipid Sci. Technol. 2008, 110, 632–636. [Google Scholar] [CrossRef]
- Matthäus, B.; Spener, F. What we know and what we should know about virgin oils, a general introduction. Eur. J. Lipid Sci. Technol. 2008, 110, 597–601. [Google Scholar] [CrossRef]
- Maurin, R. L’huile d’argan Argania spinsoa (L.) Skeels sapotaceae. Rev. Fr. Corps Gras 1992, 39, 139–146. [Google Scholar]
- Yousfi, M.; Bombarda, I.; Hamia, C.; Djeridane, A.; Stock, P.; Gaydou, E. Fatty acid, triflyceride and tocopherol composition of Algerian Argan (Argania spinosa) fruit seed lipids. Mediterr. J. Nutr. Metab. 2009, 2, 197–203. [Google Scholar] [CrossRef]
- Mannina, L.; Calcagni, C.; Rossi, E.; Segre, A. Review about olive oil characterization using high-field nuclear magnetic resonance. Ann. Chim. 2003, 93, 97–103. [Google Scholar] [PubMed]
- Matthäus, B.; Guillaume, D.; Gharby, S.; Haddad, A.; Harhar, H.; Charrouf, Z. Effect of processing on the quality of edible argan oil. Food Chem. 2010, 120, 426–432. [Google Scholar] [CrossRef]
- Hilali, M.; Charrouf, Z.; El Aziz Soulhi, A.; Hachimi, L.; Guillaume, D. Influence of origin and extraction method on argan oil physico-chemical characteristics and composition. J. Agric. Food Chem. 2005, 53, 2081–2087. [Google Scholar] [CrossRef] [PubMed]
- Ntsourankoua, H.; Artau, J.A. Dosage et identification des alcools triterpéniques dans les huiles de bourrache, cassis et onagre. Ol. Corps Gras Lipides 1997, 4, 147–151. [Google Scholar]
- Rahmani, M. Composition Chimique de L’huile d’argane Vierge. Cah. Agric. 2005, 9, 461–465. [Google Scholar]
- Sarni-Manchado, P.; Cheynier, V. Les Polyphénols en Agroalimentaire; Tec & Doc: Paris, France, 2006; pp. 2–10. [Google Scholar]
- Rojas, L.; Quideau, S.; Pardon, P.; Charrouf, Z. Colorimetric evaluation of phenolic content and GC-MS characterization of phenolic composition of alimentary and cosmetic argane oil and press cake. J. Agric. Food Chem. 2005, 53, 9122–9127. [Google Scholar] [CrossRef] [PubMed]
- Venegas, C.; Cabrera-Vique, C.; García-Corzo, L.; Escames, G.; Acuña-Castroviejo, D.; López, L.C. Determination of coenzyme Q10, coenzyme Q9, and melatonin contents in virgin argan oils: Comparison with other edible vegetable oils. J. Agric. Food Chem. 2011, 23, 12102–12108. [Google Scholar] [CrossRef] [PubMed]
- Tahrouch, S.; Rapior, S.; Bessiere, J.M.; Andary, C. Les substances volatiles d’argania spinosa (Sapotaceae). Acta Bot. Gallica 1998, 145, 259–263. [Google Scholar] [CrossRef]
- Harhar, H.; Gharby, S.; Ghanmi, M.; El Monfalouti, H.; Guillaume, D.; Charrouf, Z. Composition of the essential oil of Argania spinosa (Sapotaceae) fruit pulp. Nat. Prod. Commun. 2010, 5, 935–936. [Google Scholar] [PubMed]
- Guinda, A.; Rada, M.; Delgado, T.; Castellano, J.M. Pentacyclic triterpenic acids from Argania spinosa. Eur. J. Lipid Sci. Technol. 2011, 113, 231–237. [Google Scholar] [CrossRef]
- Chernane, H.; Hafida, A.; El Hadrami, I.; Ajana, H. Composition phénolique de la pulpe des fruits d’Arganier (Argania spinosa L. Skeels) et relation avec leurs caractéristiques morphologiques. Agrochimica 1999, 43, 137–150. [Google Scholar]
- Charrouf, Z.; Hilali, M.; Jauregui, O.; Soufiaoui, M.; Guillaume, D. Separation and characterization of phenolic compounds in argan fruit pulp using liquid chromatography—Negative electrospray ionization tandem mass spectroscopy. Food Chem. 2007, 100, 1398–1401. [Google Scholar] [CrossRef]
- Radi, N. L’Arganier: Arbre du Sud-Ouest Marocain, en Péril à Protéger. Ph.D. Thesis, Université de Nantes, Nantes, France, 2003. [Google Scholar]
- Alaoui, A.; Charrouf, Z.; Soufiaoui, M.; Carbone, V.; Malorni, A.; Pizza, C.; Piacente, S. Triterpenoid saponins from the shells of Argania spinosa seeds. J. Agric. Food Chem. 2002, 50, 4600–4603. [Google Scholar] [CrossRef] [PubMed]
- Henry, M.; Kowalczyk, M.; Maldini, M.; Piacente, S.; Stochmal, A.; Oleszek, W. Saponin Inventory from Argania spinosa kernel cakes by liquid chromatography and mass spectrometry. Phytochem. Anal. 2013, 24, 616–622. [Google Scholar] [CrossRef] [PubMed]
- Oulad-Ali, A.; Kirchen, V.; Weniger, B.; Anton, R.; Guillaume, D.; Charrouf, Z. Structure elucidation of three triterpene glycosides from the trunk of Argania spinosa. J. Nat. Prod. 1996, 59, 193–195. [Google Scholar] [CrossRef] [PubMed]
- Liang, Y.; Ye, M.; Zhang, L.; Li, H.; Han, J.; Wang, B.; Guo, D. Two new phenolic acids from Drynariae rhizoma. Yaoxue Xuebao 2010, 45, 874–878. [Google Scholar]
- Zhang, L.; Ma, Z.Z.; Che, Y.Y.; Li, N.; Tu, P.F. Protective effect of a new amide compound from Pu-erh tea on human micro-vascular endothelial cell against cytotoxicity induced by hydrogen peroxide. Fitoterapia 2011, 82, 267–271. [Google Scholar] [CrossRef] [PubMed]
- Collins, F.W. Oat phenolics: Structure, occurrence and function. In Oats: Chemistry and Technology; Webster, F.H., Ed.; American Association of Cereal Chemists: St. Paul, MI, USA, 1986; pp. 227–295. [Google Scholar]
- Gould, S.J.; Melville, C.R.; Cone, M.C. 3-Amino-4-hydroxybenzoic acid is derived from the tricarboxylic acid cycle rather than the shikimic acid pathway. J. Am. Chem. Soc. 1996, 118, 9228–9232. [Google Scholar] [CrossRef]
- Hu, Y.; Melville, C.R.; Gould, S.J.; Floss, H.G. 3-Amino-4-hydroxybenzoic acid: The precursor of the C7N unit in asukamycin and manumycin. J. Am. Chem. Soc. 1997, 119, 4301–4302. [Google Scholar] [CrossRef]
- Prapalert, W.; Santiarworn, D.; Liawruangrath, S.; Liawruangrath, B.; Pyne, S.G. A new 1,6-benzoxazocine-5-one alkaloid isolated from the aerial parts of Peristrophe lanceolaria. Nat. Prod. Commun. 2014, 9, 1433–1435. [Google Scholar] [PubMed]
- Alén, R. Structure and chemical composition of wood. In Papermaking Science and Technology Book 3: Papermaking Part 1, Forest Products Chemistry, 1st ed.; Stenius, P., Ed.; Fapet Oy: Helsinki, Finland, 2000; pp. 11–57. [Google Scholar]
- Aboughe-Angone, S.; Nguema-Ona, E.; Ghosh, P.; Lerouge, P.; Ishii, T.; Ray, B.; Driouich, A. Cell wall carbohydrates from fruit pulp of Arganiaspinosa: Structural analysis of pectin and xyloglucan polysaccharides. Carbohydr. Res. 2008, 343, 67–72. [Google Scholar] [CrossRef] [PubMed]
- Palu, S.; Pioch, D.; Suchat, S.; Collet, A.; Bonfils, F.; Char, C. Un latex de polyisoprène inhabituel extrait de la pulpe du fruit d’Argania spinosa; structure chimique, propriétés et valeur additionnelle potentielle dans un contexte de valorisation de biopolymères. In Proceedings of the Actes du Premier Congrès International de l’Arganier, Agadir, Morocco, 15–17 December 2011. [Google Scholar]
- Bartsch, H.; Nair, J.; Owen, R.W. Dietary polyunsaturated fatty acids and cancers of the breast and colorectum: Emerging evidence for their role as risk modifiers. Carcinogenesis 1999, 20, 2209–2218. [Google Scholar] [CrossRef] [PubMed]
- Simopoulos, A.P. Essential fatty acids in health and chronic disease. Am. J. Clin. Nutr. 1999, 70, 560S–569S. [Google Scholar] [PubMed]
- Simopoulos, A.P. The importance of the omega-6/omega-3 fatty acid ratio in cardiovascular disease and other chronic diseases. Exp. Biol. Med. 2008, 233, 674–688. [Google Scholar] [CrossRef] [PubMed]
- Khandelwal, S.; Kelly, L.; Malik, R.; Prabhakaran, D.; Reddy, S. Impact of omega-6 fatty acids on cardiovascular outcomes: A Review. J. Prev. Cardiol. 2013, 2, 325–336. [Google Scholar]
- Derbyshire, E.J. A review of the nutritional composition, organoleptic characteristics and biological effects of the high oleic peanut. Int. J. Food Sci. Nutr. 2014, 65, 781–790. [Google Scholar] [CrossRef] [PubMed]
- Piers, L.S.; Walker, K.Z.; Stoney, R.M.; Soares, M.J.; O’Dea, K. Substitution of saturated with monounsaturated fat in a 4-week diet affects body weight and composition of overweight and obese men. Br. J. Nutr. 2003, 90, 717–727. [Google Scholar] [CrossRef] [PubMed]
- Craft, B.D.; Kosinska, A.; Amarowicz, R.; Pegg, R.B. Antioxidant properties of extracts obtained from raw, dry-roasted, and oil-roasted US peanuts of commercial importance. Plant Foods Hum. Nutr. 2010, 65, 311–318. [Google Scholar] [CrossRef] [PubMed]
- Perez-Jimenez, F.; Lopez-Miranda, J.; Mata, P. Protective effect of dietary monounsaturated fat on arteriosclerosis: Beyond cholesterol. Atherosclerosis 2002, 163, 385–398. [Google Scholar] [CrossRef]
- O’Byrne, D.J.; Knauft, D.A.; Shireman, R.B. Low fat-monounsaturated rich diets containing high-oleic peanuts improve serum lipoprotein profiles. Lipids 1997, 32, 687–695. [Google Scholar]
- Lim, J.N.; Oh, J.J.; Wang, T.; Lee, J.S.; Kim, S.H.; Kim, Y.J.; Lee, H.G. Trans-11 18:1 vaccenic acid (TVA) has a direct anti-carcinogenic effect on MCF-7 human mammary adenocarcinoma cells. Nutrients 2014, 6, 627–636. [Google Scholar] [CrossRef] [PubMed]
- Cooney, R.V.; Franke, A.A.; Harwood, P.J.; Hatch-Pigott, V.; Custer, L.J.; Mordan, L.J. Gammatocopherol detoxification of nitrogen dioxide: Superiority to alpha-tocopherol. Proc. Natl. Acad. Sci. USA 1993, 90, 1771–1775. [Google Scholar] [CrossRef] [PubMed]
- Potter, J.D. The failure of cancer chemoprevention. Carcinogenesis 2014, 35, 974–982. [Google Scholar] [CrossRef] [PubMed]
- Uchida, K.; Mizuno, H.; Hirota, K.; Takeda, K. Effects of Spinasterol and Sitosterol on plasma and liver cholesterol levels and biliary and fecal sterol and bile scid excretions in mice. Jpn. J. Pharmacol. 1983, 33, 103–112. [Google Scholar] [CrossRef] [PubMed]
- Villasenor, I.M.; Dominga, A.P. Anticarcinogenecity potential of spinasterol isolated from squash flowers. Teratog. Carcinog. Mutagen. 2000, 20, 99–105. [Google Scholar] [CrossRef]
- Arizawa, M.; Kinghorn, A.D.; Cordell, G.A.; Phoebe, C.H.; Fansworth, N.R. Plantanticancer agents XXXVI: Schottenol glucosides from Baccaris cordifolia and Ipomopsis aggregatta. Planta Med. 1985, 6, 544–545. [Google Scholar] [CrossRef] [PubMed]
- Badreddine, A.; El Karym, M.; Zarrouk, A.; Nury, T.; El Kharrassi, Y.; Nasser, B.; Cherkaoui, M.; Lizard, G.; Samadi, M. An expeditious synthesis of spinasterol and schottenol, two phytosterols present in argan oil and in cactus pear seed oil, and evaluation of their biological activities on cells of the central nervous system. Steroids 2015, 99, 119–124. [Google Scholar] [CrossRef] [PubMed]
- El Kharrassi, Y.; Samadi, M.; Lopez, T.; Nury, T.; El Kebbaj, R.; Andreoletti, P.; El Hajj, H.; Vamecq, J.; Moustaid, K.; Latruffe, N.; et al. Biological activities of Schottenol and Spinasterol, two natural phytosterols present in argan oil and in cactus pear seed oil, on murine miroglial BV2 cells. Biochem. Biophys. Res. Commun. 2014, 446, 798–804. [Google Scholar] [CrossRef] [PubMed]
- Newmark, H.L. Squalene, olive oil and cancer risk, Rewiew and hypothesis. Ann. N. Y. Acad. Sci. 1999, 889, 193–203. [Google Scholar] [CrossRef] [PubMed]
- Kohno, Y.; Egawa, Y.; Itoh, S.; Nagaoka, S.; Takahashi, M.; Mukai, K. Kinetic study of quenching reaction of singlet oxygen and scavenging reaction of free radical by squalene in n-butanol. Biochim. Biophys. Acta 1995, 1256, 52–56. [Google Scholar] [CrossRef]
- Smith, T.J. Squalene: Potential chemopreventive agent. Expert Opin. Investig. Drugs 2000, 9, 1841–1848. [Google Scholar] [CrossRef] [PubMed]
- Kamimura, H.; Koga, N.; Oguri, K.; Yoshimura, H. Enhanced elimination of theophylline, phenobarbital and strychnine from the bodies of rats and mice by squalene treatment. J. Pharmacobiodyn. 1992, 15, 215–221. [Google Scholar] [CrossRef] [PubMed]
- Elsayed, R.K.; Evans, J.D. Emerging lipid-lowering drugs: Squalene synthase inhibitors. Expert Opin. Emerg. Drugs 2008, 13, 309–322. [Google Scholar] [CrossRef] [PubMed]
- Gabás-Rivera, C.; Barranquero, C.; Martínez-Beamonte, R.; Navarro, M.A.; Surra, J.C.; Osada, J. Dietary squalene increases high density lipoprotein-cholesterol and paraoxonase 1 and decreases oxidative stress in mice. PLoS ONE 2014, 9, e104224. [Google Scholar] [CrossRef] [PubMed]
- Tian, L.T.; Ma, L.; Du, N.S.; Yao, Z.Z. Survey of pharmacology of oleanolic acid. Chin. Mater. Med. 2002, 27, 884–901. [Google Scholar]
- Dzubak, P.; Hajduch, M.; Vydra, D.; Hustova, A.; Kvasnica, M.; Biedermann, D.; Markova, L.; Urban, M.; Sarek, J. Pharmacological activities of natural triterpenoids and their therapeutic implications. Nat. Prod. Rep. 2006, 23, 394–411. [Google Scholar] [CrossRef] [PubMed]
- Dini, I.; Tenore, G.C.; Dini, A. Saponins in Ipomoea batatas tubers; Isolation, characterization, quantification and antioxidant properties. Food Chem. 2009, 113, 411–419. [Google Scholar] [CrossRef]
- Haimeur, A.; Messaouri, H.; Ulmann, L.; Mimouni, V.; Masrar, A.; Chraibi, A.; Tremblin, G.; Meskini, N. Argan oil prevents prothrombotic complications by lowering lipid levels and platelet aggregation, enhancing oxidative status in dyslipidemic patients from the area of Rabat (Morocco). Lipids Health Dis. 2013, 12, 107. [Google Scholar] [CrossRef] [PubMed]
- Mekhfi, H.; Belmekki, F.; Ziyyat, A.; Legssyer, A.; Bnouham, M.; Aziz, M. Antithrombotic activity of argan oil: An in vivo experimental study. Nutrition 2012, 28, 937–941. [Google Scholar] [CrossRef] [PubMed]
- Drissi, A.; Bennani, H.; Giton, F.; Charrouf, Z.; Fiet, J.; Adlouni, A. Tocopherols and saponins derived from Argania spinosa exert, an antiproliferative effect on human prostate cancer. Cancer Investig. 2006, 24, 588–592. [Google Scholar] [CrossRef] [PubMed]
- Bennani, H.; Drissi, A.; Giton, F.; Kheuang, L.; Fiet, J.; Adlouni, A. Antiproliferative effect of polyphenols and sterols of virgin argan oil on human prostate cancer cell lines. Cancer Detect. Prev. 2007, 31, 64–69. [Google Scholar] [CrossRef] [PubMed]
- Samane, S.; Christon, R.; Dombrowski, L.; Turcotte, S.; Charrouf, Z.; Lavigne, C.; Levy, E.; Bachelard, H.; Amarouch, H.; Marette, A.; et al. Fish oil and argan oil intake differently modulate insulin resistance and glucose intolerance in a rat model of dietary-induced obesity. Metabolism 2009, 58, 909–919. [Google Scholar] [CrossRef] [PubMed]
- Bellahcen, S.; Mekhfi, H.; Ziyyat, A.; Legssyer, A.; Hakkou, A.; Aziz, M.; Bnouham, M. Prevention of chemically induced diabetes mellitus in experimental animals by virgin argan oil. Phytother. Res. 2012, 26, 180–185. [Google Scholar] [CrossRef] [PubMed]
- El Midaoui, A.; Haddad, Y.; Couture, R. Beneficial effects of argan oil on blood pressure, insulin resistance, and oxidative stress in rat. Nutrition 2016, 32, 1132–1137. [Google Scholar] [CrossRef] [PubMed]
- Berrougui, H.; Ettaib, A.; Herrera Gonzalez, M.D.; Alvarez de Sotomayor, M.; Bennani-Kabchi, N.; Hmamouchi, M. Hypolipidemic and hypocholesterolemic effect of argan oil (Argania spinosa L.) in Meriones shawi rats. J. Ethnopharmacol. 2003, 89, 15–18. [Google Scholar] [CrossRef]
- Berrougui, H.; Alvarez de Sotomayor, M.; Perez-Guerrero, C.; Ettaib, A.; Hmamouchi, M.; Marhuenda, E.; Herrera, M.D. Argan (Argania spinosa) oil lowers blood pressure and improves endothelial dysfunction in spontaneously hypertensive rats. Br. J. Nutr. 2004, 92, 921–929. [Google Scholar] [CrossRef] [PubMed]
- Jordan, M.; Nayel, A.; Brownlow, B.; Elbayoumi, T. Development and evaluation of tocopherol-rich argan oil-based nanoemulsions as vehicles possessing anticancer activity. J. Biomed. Nanotechnol. 2012, 8, 944–956. [Google Scholar] [CrossRef] [PubMed]
- Cherki, M.; Derouiche, A.; Drissi, A.; El Messal, M.; Bamou, Y.; Idrissi-Ouadghiri, A.; Khalil, A.; Adlouni, A. Consumption of argan oil may have an antiatherogenic effect by improving paraoxonase activities and antioxidant status: Intervention study in healthy men. Nutr. Metab. Cardiovasc. Dis. 2005, 15, 352–360. [Google Scholar] [CrossRef] [PubMed]
- El Monfalouti, H.; Charrouf, Z.; El Hamdouchi, A.; Labraimi, H.; Chafchaouni-Moussaoui, I.; Kartah, B.; El Kari, K.; Bensouda, Y.; Derouich, A.; Dodin, S.; et al. Argan oil and postmenopausal Moroccan women: Impact on the vitamin E profile. Nat. Prod. Commun. 2013, 8, 55–57. [Google Scholar] [PubMed]
- Derouiche, A.; Jafri, A.; Driouch, I.; El Khasmi, M.; Adlouni, A.; Benajiba, N.; Bamou, Y.; Saile, R.; Benouhoud, M. Effect of argan and olive oil consumption on the hormonal profile of androgens among healthy adult Moroccan men. Nat. Prod. Commun. 2013, 8, 51–53. [Google Scholar] [PubMed]
- Eljaoudi, R.; Elkabbaj, D.; Bahadi, A.; Ibrahimi, A.; Benyahia, M.; Errasfa, M. Consumption of Argan Oil Improves Anti-Oxidant and Lipid Status in Hemodialysis Patients. Phytother. Res. 2015, 29, 1595–1599. [Google Scholar] [CrossRef] [PubMed]
- Boucetta, K.Q.; Charrouf, Z.; Aguenaou, H.; Derouiche, A.; Bensouda, Y. The effect of dietary and/or cosmetic argan oil on postmenopausal skin elasticity. Clin. Interv. Aging 2015, 10, 339–349. [Google Scholar] [PubMed]
- Silva, M.M.; Santos, M.R.; Caroco, G.; Rocha, R.; Justino, G.; Mira, L. Structure-antioxidant activity relationships of flavonoids: A reexamination. Free Radic. Res. 2002, 36, 1219–1227. [Google Scholar] [CrossRef] [PubMed]
- Mira, L.; Fernandez, M.T.; Santos, M.; Rocha, R.; Florencio, M.H.; Jennings, K.R. Interactions of flavonoids with iron and copper ions: A mechanism for their antioxidant activity. Free Radic. Res. 2002, 36, 1199–1208. [Google Scholar] [CrossRef] [PubMed]
- Aggarwal, B.B.; Shishodia, S. Molecular targets of dietary agents for prevention and therapy of cancer. Biochem. Pharmacol. 2006, 71, 1397–1421. [Google Scholar] [CrossRef] [PubMed]
- Afrin, S.; Giampieri, F.; Gasparrini, M.; Forbes-Hernandez, T.Y.; Varela-López, A.; Quiles, J.L.; Mezzetti, B.; Battino, M. Chemopreventive and Therapeutic Effects of Edible Berries: A Focus on Colon Cancer Prevention and Treatment. Molecules 2016, 21, E169. [Google Scholar] [CrossRef] [PubMed]
- Lee, J.H.; Khor, T.O.; Shu, L.; Su, Z.Y.; Fuentes, F.; Kong, A.N. Dietary phytochemicals and cancer prevention: Nrf2 signaling, epigenetics, and cell death mechanisms in blocking cancer initiation and progression. Pharmacol. Ther. 2013, 137, 153–171. [Google Scholar] [CrossRef] [PubMed]
- Samane, S.; Noël, J.; Charrouf, Z.; Amarouch, H.; Haddad, P.S. Insulin-sensitizing and anti-proliferative effects of Argania spinosa seed extracts. Evid. Based Complement. Altern. Med. 2006, 3, 317–327. [Google Scholar] [CrossRef] [PubMed]
- Patlolla, J.M.; Rao, C.V. Triterpenoids for cancer prevention and treatment: Current status and future prospects. Curr. Pharm. Biotechnol. 2012, 13, 147–155. [Google Scholar] [CrossRef] [PubMed]
- Cháirez-Ramírez, M.H.; Moreno-Jiménez, M.R.; González-Laredo, R.F.; Gallegos-Infante, J.A.; Rocha-Guzmán, N.E. Lupane-type triterpenes and their anti-cancer activities against most common malignant tumors: A review. EXLCI J. 2016, 15, 758–771. [Google Scholar]
- Yenilmez, A.; Isikli, B.; Aral, E.; Degirmenci, I.; Sutken, E.; Baycu, C. Antioxidant effects of melatonin and coenzyme Q10 on oxidative damage caused by single-dose ochratoxin A in rat kidney. Chin. J. Physiol. 2010, 53, 310–317. [Google Scholar] [CrossRef] [PubMed]
- Charrouf, Z.; Fkih-Tétouani, S.; Charrouf, M.; Mouchel, B. Tritérpènes et stérols extraits de la pulpe d’Argania spinosa (L.), Sapotaceae. Plantes Méd. Phytother. 1991, 25, 112–117. [Google Scholar]
- Fraser, C.M.; Thompson, M.G.; Shirley, A.M.; Ralph, J.; Schoenherr, J.A.; Sinlapadech, T.; Hall, M.C.; Chapple, C. Related Arabidopsis serine carboxypeptidase-like sinapoylglucose acyltransferases display distinct but overlapping substrate specificities. Plant Physiol. 2007, 144, 1986–1999. [Google Scholar] [CrossRef] [PubMed]
- Mock, H.P.; Strack, D. Energetics of the uridine 5-diphosphoglucose: Hydroxycinnamic acid acyltransferase reaction. Phytochemistry 1993, 32, 515–519. [Google Scholar] [CrossRef]
- Federal Register. Skin Protectant Drug Products for Over-The-Counter Human Use; Final Monograph; Federal Register: Rockville, MD, USA, 2003; Volume 68, p. 33362.
- Dimberg, L.H.; Theander, O.; Lingert, H. Avenanthramides—A group of phenolic antioxidants in oats. Cereal Chem. 1993, 70, 637–641. [Google Scholar]
- Saeed, S.A.; Butt, N.M.; McDonald-Gibson, W.J.; Collier, H.O.J. Inhibitors of prostaglandin biosynthesis in extracts of oat (Aveena sativa) seeds. Biochem. Soc. Trans. 1981, 9, 444. [Google Scholar] [CrossRef]
- Vollhardt, J.; Fielder, D.A.; Redmont, M.J. Identification and cosmetic application of powerful anti-irritant constituents of oat grain. In Proceedings of the XXI IFSCC International Congress, Berlin, Germany, 11–14 September 2000; pp. 395–402. [Google Scholar]
- Koenig, R.; Dickman, J.R.; Wise, M.L.; Ji, L.L. Avenanthramides are bioavailable and accumulate in hepatic, cardiac, and skeletal muscle tissue following oral gavage in rats. J. Agric. Food Chem. 2011, 59, 6438–6443. [Google Scholar] [CrossRef] [PubMed]
- Harvey, P.R.; Ilson, R.G.; Strasberg, S.M. The simultaneous determination of oxidized and reduced glutathiones in liver tissue by ion pairing reverse phase high performance liquid chromatography with a coulometric electrochemical detector. Clin. Chim. Acta 1989, 180, 203–212. [Google Scholar] [CrossRef]
- Fu, J.; Zhu, Y.; Yerke, A.; Wise, M.L.; Johnson, J.; Chu, Y.; Sang, S. Oat avenanthramides induce heme oxygenase-1 expression via Nrf2-mediated signaling in HK-2 cells. Mol. Nutr. Food Res. 2015, 59, 2471–2479. [Google Scholar] [CrossRef] [PubMed]
- Pellegrini, G.G.; Morales, C.C.; Wallace, T.C.; Plotkin, L.I.; Bellido, T. Avenanthramides Prevent Osteoblast and Osteocyte Apoptosis and Induce Osteoclast Apoptosis in Vitro in an Nrf2-Independent Manner. Nutrients 2016, 8, E423. [Google Scholar] [CrossRef] [PubMed]
- Huang, X.F.; Yu, Y.; Beck, E.J.; South, T.; Li, Y.; Batterham, M.J.; Tapsell, LC.; Chen, J. Diet high in oat beta-glucan activates the gut-hypothalamic (PYY(3)(−)(3)(6)-NPY) axis and increases satiety in diet-induced obesity in mice. Mol. Nutr. Food Res. 2011, 55, 1118–1121. [Google Scholar] [CrossRef] [PubMed]
- Andersson, K.E.; Hellstrand, P. Dietary oats and modulation of atherogenic pathways. Mol. Nutr. Food Res. 2012, 56, 1003–1013. [Google Scholar] [CrossRef] [PubMed]
- Ji, L.L.; Laya, D.; Chunga, E.; Fua, Y.; Peterson, D.M. Effects of avenanthramides on oxidant generation and antioxidant enzyme activity in exercised rats. Nutr. Res. 2003, 23, 1579–1590. [Google Scholar] [CrossRef]
- Saltzman, E.; Das, S.K.; Lichtenstein, A.H.; Dallal, G.E.; Corrales, A.; Schaefer, E.J.; Greenberg, A.S.; Roberts, S.B. An oat-containing hypocaloric diet reduces systolic blood pressure and improves lipid profile beyond effects of weight loss in men and women. J. Nutr. 2001, 131, 1465–1470. [Google Scholar] [PubMed]
- Weickert, M.O.; Mohlig, M.; Schofl, C.; Arafat, A.M.; Otto, B.; Viehoff, H.; Koebnick, C.; Kohl, A.; Spranger, J.; Pfeiffer, A.F. Cereal fiber improves whole-body insulin sensitivity in overweight and obese women. Diabetes Care 2006, 29, 775–780. [Google Scholar] [CrossRef] [PubMed]
- Chang, H.C.; Huang, C.N.; Yeh, D.M.; Wang, S.J.; Peng, C.H.; Wang, C.J. Oat prevents obesity and abdominal fat distribution, and improves liver function in humans. Plant Foods Hum. Nutr. 2013, 68, 18–23. [Google Scholar] [CrossRef] [PubMed]
- Kim, E.M.; Jeon, J.H.; Chung, M.H.; Choi, E.M.; Baek, S.H.; Jeon, P.H.; Lee, M.H. The Effect of Nefopam Infusion during Laparascopic Cholecystectomy on Postoperative Pain. Int. J. Med. Sci. 2017, 14, 570–577. [Google Scholar] [CrossRef] [PubMed]
- Verleye, M.; André, N.; Heulard, I.; Gillardin, J.M. Nefopam blocks voltage-sensitive sodium channels and modulates glutamatergic transmission in rodents. Brain Res. 2004, 1013, 249–255. [Google Scholar] [CrossRef] [PubMed]
- Alfonsi, P.; Adam, F.; Passard, A.; Guignard, B.; Sessler, D.I.; Chauvin, M. Nefopam, a nonsedative benzoxazocine analgesic, selectively reduces the shivering threshold in unanesthetized subjects. Anesthesiology 2004, 100, 37–43. [Google Scholar] [CrossRef] [PubMed]
- Alfonsi, P.; Passard, A.; Guignard, B.; Chauvin, M.; Sessler, D.I. Nefopam and meperidine are infra-additive on the shivering threshold in humans. Anesth. Analg. 2014, 119, 58–63. [Google Scholar] [CrossRef] [PubMed]



| Tocol Forms | R1 | R2 |
|---|---|---|
| α | CH3 | CH3 |
| β | CH3 | H |
| γ | H | CH3 |
| δ | H | H |







© 2017 by the authors. Licensee MDPI, Basel, Switzerland. This article is an open access article distributed under the terms and conditions of the Creative Commons Attribution (CC BY) license (http://creativecommons.org/licenses/by/4.0/).
Share and Cite
Khallouki, F.; Eddouks, M.; Mourad, A.; Breuer, A.; Owen, R.W. Ethnobotanic, Ethnopharmacologic Aspects and New Phytochemical Insights into Moroccan Argan Fruits. Int. J. Mol. Sci. 2017, 18, 2277. https://doi.org/10.3390/ijms18112277
Khallouki F, Eddouks M, Mourad A, Breuer A, Owen RW. Ethnobotanic, Ethnopharmacologic Aspects and New Phytochemical Insights into Moroccan Argan Fruits. International Journal of Molecular Sciences. 2017; 18(11):2277. https://doi.org/10.3390/ijms18112277
Chicago/Turabian StyleKhallouki, Farid, Mohamed Eddouks, Akdad Mourad, Andrea Breuer, and Robert Wyn Owen. 2017. "Ethnobotanic, Ethnopharmacologic Aspects and New Phytochemical Insights into Moroccan Argan Fruits" International Journal of Molecular Sciences 18, no. 11: 2277. https://doi.org/10.3390/ijms18112277
APA StyleKhallouki, F., Eddouks, M., Mourad, A., Breuer, A., & Owen, R. W. (2017). Ethnobotanic, Ethnopharmacologic Aspects and New Phytochemical Insights into Moroccan Argan Fruits. International Journal of Molecular Sciences, 18(11), 2277. https://doi.org/10.3390/ijms18112277
