Chemical Composition and Antioxidant Activity of Euterpe oleracea Roots and Leaflets
Abstract
:1. Introduction
2. Results and Discussion
2.1. Antioxidant Activity
2.1.1. Antioxidant Activity in the Chemical Assays (DPPH, FRAP, and ORAC)
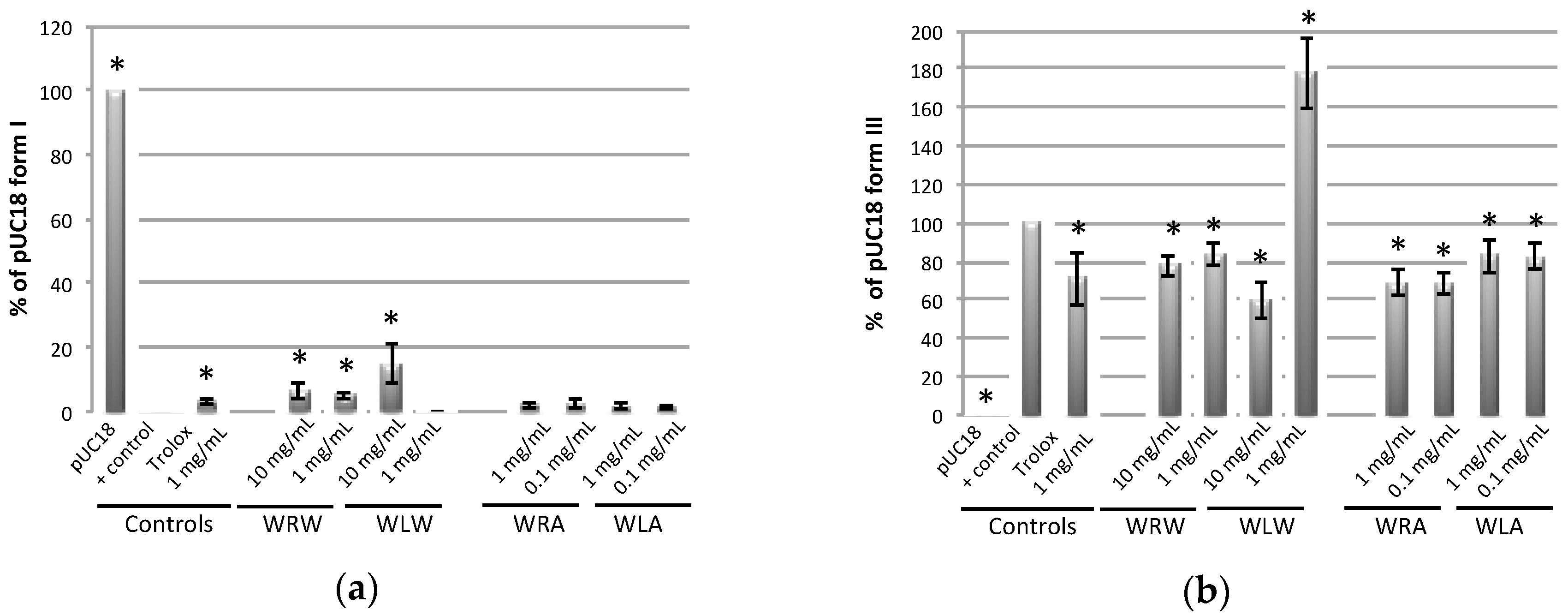
2.1.2. Antioxidant Activity in the DNA Nicking Assay
2.1.3. Cytotoxicity and Cellular Antioxidant Activity (CAA)
2.2. Total Phenolic Content (TPC)
2.3. Identification of Compounds in Root and Leaflet Extracts by LC-MS/MS
2.3.1. Characterization of Caffeoylquinic Derivatives (Mr = 354) in Root and Leaflet Extracts
2.3.2. Characterization of Caffeoylshikimic Derivatives (Mr = 336) in Root Extracts
2.3.3. Characterization of Apigenin Derivatives (Mr = 432, Mr = 594, Mr = 674, and Mr = 564) in Leaflet Extracts
2.3.4. Characterization of Luteolin Derivatives (Mr = 448)
2.3.5. Quantification of Chemical Compounds in Root and Leaflet Extracts
2.4. Relationship between the Chemical Composition and the Antioxidant Activity
3. Materials and Methods
3.1. Chemicals and Reagents
3.2. Plant Materials
3.3. Extraction
3.4. Total Phenolics by Folin–Ciocalteu
3.5. Chemical Antioxidant Assays (DPPH, FRAP, ORAC)
3.6. Cellular Assay
3.6.1. Cell Culture
3.6.2. Cytotoxicity Assay
3.6.3. Cellular Antioxidant Activity (CAA) Assay
3.6.4. DNA Nicking Assay
3.6.5. Analysis by LC-MS/MS
3.6.6. Statistical Data Analysis
4. Conclusions
Supplementary Materials
Acknowledgments
Author Contributions
Conflicts of Interest
Abbreviations
| DPPH | 2,2-Diphenyl-1-picrylhydrazyl |
| FRAP | Ferric Reducing Antioxidant Power |
| ORAC | Oxygen Radical Absorbance Capacity |
| CAA | Cellular Antioxidant Activity |
| TPC | Total Polyphenol Content |
| GAEq | Gallic acid equivalent |
| TEq | Trolox equivalent |
| QEq | Quercetin equivalent |
| DM | Dry Matter |
| PCA | Principal Component Analysis |
| NHDF | Normal Human Dermal Fibroblasts |
| HCA | Hydroxycinnamic acid |
| CQA | Caffeoylquinic acid |
| CSA | Caffeoylshikimic acid |
| MTT | 3-(4,5-Dimethylthiazol-2-yl)-2,5-diphenyltetrazolium bromide |
References
- Yamaguchi, K.K.D.L.; Pereira, L.F.R.; Lamarão, C.V.; Lima, E.S.; da Veiga, V.F., Jr. Amazon açai: Chemistry and biological activities: A review. Food Chem. 2015, 179, 137–151. [Google Scholar] [CrossRef] [PubMed]
- Heinrich, M.; Dhanji, T.; Casselman, I. Açai (Euterpe oleracea Mart.)—A phytochemical and pharmacological assessment of the species’ health claims. Phytochem. Lett. 2011, 4, 10–21. [Google Scholar] [CrossRef]
- Grenand, P.; Moretti, C.; Jacquemin, H.; Prévost, M.-F. Pharmacopées traditionnelles en Guyane; IRD Editions: Paris, France, 2004. [Google Scholar]
- Bourdy, G.; deWalt, S.J.; Chávez de Michel, L.R.; Roca, A.; Deharo, E.; Muñoz, V.; Balderrama, L.; Quenevo, C.; Gimenez, A. Medicinal plants uses of the Tacana, an Amazonian Bolivian ethnic group. J. Ethnopharmacol. 2000, 70, 87–109. [Google Scholar] [CrossRef]
- Hajdu, Z.; Hohmann, J. An ethnopharmacological survey of the traditional medicine utilized in the community of Porvenir, Bajo Paraguá Indian Reservation, Bolivia. J. Ethnopharmacol. 2012, 139, 838–857. [Google Scholar] [CrossRef] [PubMed]
- Deharo, E.; Baelmans, R.; Gimenez, A.; Quenevo, C.; Bourdy, G. In vitro immunomodulatory activity of plants used by the Tacana ethnic group in Bolivia. Phytomedicine 2004, 11, 516–522. [Google Scholar] [CrossRef] [PubMed]
- Galotta, A.L.Q.A.; Boaventura, M.A.D.; Lima, L.A.R.S. Antioxidant and cytotoxic activities of “Açaí” (Euterpe precatoria mart.). Quim. Nova 2008, 31, 1427–1430. [Google Scholar] [CrossRef]
- Schieber, A.; Stintzing, F.; Carle, R. By-products of plant food processing as a source of functional compounds—recent developments. Trends Food Sci. Technol. 2001, 12, 401–413. [Google Scholar] [CrossRef]
- Ferlemi, A.-V.; Lamari, F.N. Berry Leaves: An Alternative Source of Bioactive Natural Products of Nutritional and Medicinal Value. Antioxidants 2016, 5, 17. [Google Scholar] [CrossRef] [PubMed]
- Barros, L.; Calhelha, R.C.; Queiroz, M.J.R.P.; Santos-Buelga, C.; Santos, E.A.; Regis, W.C.B.; Ferreira, I.C.F.R. The powerful in vitro bioactivity of Euterpe oleracea Mart. seeds and related phenolic compounds. Ind. Crops Prod. 2015, 76, 318–322. [Google Scholar] [CrossRef]
- Sudo, R.T.; Neto, M.L.; Monteiro, C.E.S.; Amaral, R.V.; Resende, A.C.; Souza, P.J.C.; Zapata-Sudo, G.; Moura, R. Antinociceptive effects of hydroalcoholic extract from Euterpe oleracea Mart. (Açaí) in a rodent model of acute and neuropathic pain. BMC Complement. Altern. Med. 2015, 15, 208. [Google Scholar] [CrossRef] [PubMed]
- Leba, L.-J.; Brunschwig, C.; Saout, M.; Martial, K.; Bereau, D.; Robinson, J.-C. Oenocarpus bacaba and Oenocarpus bataua Leaflets and Roots: A New Source of Antioxidant Compounds. Int. J. Mol. Sci. 2016, 17, 1014. [Google Scholar] [CrossRef] [PubMed]
- Prior, R.L.; Wu, X.; Schaich, K. Standardized methods for the determination of antioxidant capacity and phenolics in foods and dietary supplements. J. Agric. Food Chem. 2005, 53, 4290–4302. [Google Scholar] [CrossRef] [PubMed]
- Rezaire, A.; Robinson, J.-C.; Bereau, D.; Verbaere, A.; Sommerer, N.; Khan, M.K.; Durand, P.; Prost, E.; Fils-Lycaon, B. Amazonian palm Oenocarpus bataua (“patawa”): Chemical and biological antioxidant activity–Phytochemical composition. Food Chem. 2014, 149, 62–70. [Google Scholar] [CrossRef] [PubMed]
- Abadio Finco, F.D.B.; Kammerer, D.R.; Carle, R.; Tseng, W.-H.; Böser, S.; Graeve, L. Antioxidant activity and characterization of phenolic compounds from bacaba (Oenocarpus bacaba Mart.) fruit by HPLC-DAD-MS(n). J. Agric. Food Chem. 2012, 60, 7665–7673. [Google Scholar] [CrossRef] [PubMed]
- Leba, L.-J.; Brunschwig, C.; Saout, M.; Martial, K.; Vulcain, E.; Bereau, D.; Robinson, J.-C. Optimization of a DNA nicking assay to evaluate Oenocarpus bataua and Camellia sinensis antioxidant capacity. Int. J. Mol. Sci. 2014, 15, 18023–18039. [Google Scholar] [CrossRef] [PubMed]
- Tiveron, A.P.; Melo, P.S.; Bergamaschi, K.B.; Vieira, T.M.F.S.; Regitano-d’Arce, M.A.B.; Alencar, S.M. Antioxidant activity of Brazilian vegetables and its relation with phenolic composition. Int. J. Mol. Sci. 2012, 13, 8943–8957. [Google Scholar] [CrossRef] [PubMed]
- Girard-Lalancette, K.; Pichette, A.; Legault, J. Sensitive cell-based assay using DCFH oxidation for the determination of pro- and antioxidant properties of compounds and mixtures: Analysis of fruit and vegetable juices. Food Chem. 2009, 115, 720–726. [Google Scholar] [CrossRef]
- Fang, N.; Yu, S.; Prior, R.L. LC/MS/MS characterization of phenolic constituents in dried plums. J. Agric. Food Chem. 2002, 50, 3579–3585. [Google Scholar] [CrossRef] [PubMed]
- Clifford, M.N.; Johnston, K.L.; Knight, S.; Kuhnert, N. Hierarchical scheme for LC-MSn identification of chlorogenic acids. J. Agric. Food Chem. 2003, 51, 2900–2911. [Google Scholar] [CrossRef] [PubMed]
- Regos, I.; Treutter, D. Optimization of a high-performance liquid chromatography method for the analysis of complex polyphenol mixtures and application for sainfoin extracts (Onobrychis viciifolia). J. Chromatogr. A 2010, 1217, 6169–6177. [Google Scholar] [CrossRef] [PubMed]
- Hammouda, H.; Kalthoum Chérif, J.; Trabelsi-Ayadi, M.; Baron, A.; Guyot, S. Detailed polyphenol and tannin composition and its variability in Tunisian dates (Phoenix dactylifera L.) at different maturity stages. J. Agric. Food Chem. 2013, 61, 3252–3263. [Google Scholar] [CrossRef] [PubMed]
- Jaiswal, R.; Sovdat, T.; Vivan, F.; Kuhnert, N. Profiling and characterization by LC-MSn of the chlorogenic acids and hydroxycinnamoylshikimate esters in maté (Ilex paraguariensis). J. Agric. Food Chem. 2010, 58, 5471–5484. [Google Scholar] [CrossRef] [PubMed]
- Parveen, I.; Threadgill, M.D.; Hauck, B.; Donnison, I.; Winters, A. Isolation, identification and quantitation of hydroxycinnamic acid conjugates, potential platform chemicals, in the leaves and stems of Miscanthus × giganteus using LC-ESI-MS(n). Phytochemistry 2011, 72, 2376–2384. [Google Scholar] [CrossRef] [PubMed]
- Ferreres, F.; Silva, B.M.; Andrade, P.B.; Seabra, R.M.; Ferreira, M.A. Approach to the study of C-glycosyl flavones by ion trap HPLC-PAD-ESI/MS/MS: Application to seeds of quince (Cydonia oblonga). Phytochem. Anal. 2003, 14, 352–359. [Google Scholar] [CrossRef] [PubMed]
- Barron, D.; Varin, L.; Ibrahim, R.K.; Harborne, J.B.; Williams, C.A. Sulphated flavonoids–an update. Phytochemistry 1988, 27, 2375–2395. [Google Scholar] [CrossRef]
- Karaköse, H.; Jaiswal, R.; Kuhnert, N. Characterization and quantification of hydroxycinnamate derivatives in Stevia rebaudiana leaves by LC-MS(n). J. Agric. Food Chem. 2011, 59, 10143–10150. [Google Scholar] [CrossRef] [PubMed]
- Williams, C.A.; Harborne, J.B.; Clifford, H.T. Negatively charged flavones and tricin as chemosystematic markers in the palmae. Phytochemistry 1973, 12, 2417–2430. [Google Scholar] [CrossRef]
- De Oliveira, D.M.; Siqueira, E.P.; Nunes, Y.R.F.; Cota, B.B. Flavonoids from leaves of Mauritia flexuosa. Braz. J. Pharmacogn. 2013, 23, 614–620. [Google Scholar] [CrossRef]
- Correia-da-Silva, M.; Sousa, E.; Pinto, M.M.M. Emerging sulfated flavonoids and other polyphenols as drugs: Nature as an inspiration. Med. Res. Rev. 2014, 34, 223–279. [Google Scholar] [CrossRef] [PubMed]
- Heim, K.E.; Tagliaferro, A.R.; Bobilya, D.J. Flavonoid antioxidants: Chemistry, metabolism and structure-activity relationships. J. Nutr. Biochem. 2002, 13, 572–584. [Google Scholar] [CrossRef]
- Ignat, I.; Volf, I.; Popa, V.I. A critical review of methods for characterisation of polyphenolic compounds in Fruits and Vegetables. Food Chem. 2011, 126, 1821–1835. [Google Scholar] [CrossRef] [PubMed]
- Barba, F.J.; Zhu, Z.; Koubaa, M.; Sant'Ana, A.S.; Orlien, V. Green alternative methods for the extraction of antioxidant bioactive compounds from winery wastes and by-products: A review. Trends Food Sci. Tech. 2016, 46, 96–109. [Google Scholar] [CrossRef]
- Mosmann, T. Rapid colorimetric assay for cellular growth and survival: Application to proliferation and cytotoxicity assays. J. Immunol. Methods 1983, 65, 55–63. [Google Scholar] [CrossRef]
- Wolfe, K.L.; Rui, H.L. Cellular antioxidant activity (CAA) assay for assessing antioxidants, foods, and dietary supplements. J. Agric. Food Chem. 2007, 55, 8896–8907. [Google Scholar] [CrossRef] [PubMed]





| Extract Name (Plant/Part/Solvent) | TPC (µg GAEq/mg DM) * | DPPH (µmol TEq/g DM) * | FRAP (µmol Fe(II) Eq/g DM) * | ORAC (µmol TEq/g DM) * | EC50 in NHDF (µg/mL) | CAA in NHDF (µmole QEq/g DM) |
|---|---|---|---|---|---|---|
| WRW | 14 ± 2 d | 105 ± 5 c | 310 ± 129 e | 302 ± 124 d | 30 ± 7 | 10 ± 2 |
| WRA | 58 ± 9 b,c | 471 ± 101 b | 769 ± 137 c,d | 1259 ± 320 c | 14 ± 2 | 29 ± 4 |
| WRM | 28 ± 4 c,d | 237 ± 72 c | 449 ± 111 d,e | 686 ± 186 d | 16 ± 1 | 14 ± 1 |
| WLW | 62 ± 7 a,b | 479 ± 39 b,c | 965 ± 178 b,c | 1643 ± 385 b,c | 29 ± 9 | 45 ± 12 |
| WLA | 84 ± 7 a | 991 ± 81 a | 1381 ± 376 a | 2229 ± 484 a | 10 ± 1 | 208 ± 23 |
| WLM | 76 ± 7 a,b | 660 ± 72 b | 1194 ± 180 a,b | 2177 ± 611 a,b | 16 ± 2 | 87 ± 12 |
| TLW e | 100 ± 9 | 748 ± 52 | 1911 ± 82 | 1348 ± 45 | - | - |
| TLA e | 126 ± 2 | 1185 ± 34 | 2686 ± 107 | 2167 ± 19 | - | - |
| TLM e | 98 ± 8 | 1045 ± 69 | 2677 ± 142 | 2366 ± 31 | - | - |
| ObtLA f | 50 | 460 | 730 | 1200 | 14 | 100 |
| ObcLA f | 60 | 540 | 1030 | 1560 | 24 | 50 |
| ObcBA g | 30 | 240 | 200 | 170 | - | - |
| WBA g | 40 | 240 | 130 | 430 | - | - |
| N | tR (min) | UV λmax (nm) | Negative Mode MS | Negative Mode MS2 (%) | Positive Mode MS | Positive Mode MS2 (%) | Tentative Identity | Abbreviation | Extracts |
|---|---|---|---|---|---|---|---|---|---|
| 1 | 4.2 | 238, 295sh, 321 | 353 [M − H]− | MS2[353]: 191 (100), 179 (25) | 377 [M + Na]+ | 377/353/163/145 | 3-Caffeoylquinic acid | 3-CQA | Roots, leaflets |
| 2 | 7.9 | 237, 286sh, 322 | 353 [M − H]− | MS2[353]: 173 (100) | 377 [M + Na]+ | 377/353/163/145 | 4-Caffeoylquinic acid | 4-CQA | Roots, leaflets |
| 3 | 9.1 | 239, 295sh, 323 | 353 [M − H]− | MS2[353]: 191 (100) | 377 [M + Na]+ | 377/353/163/145 | 5-Caffeoylquinic acid | 5-CQA | Roots, leaflets |
| 4 | 12.2 | 239, 295sh, 325 | 335 [M − H]− | MS2[335]: 291 (100), 179 (60), 161 (80), 135 (75) | 359 [M + Na]+ | 359/163/145 | 4-Caffeoylshikimic acid | 4-CSA | Roots |
| 5 | 14.2 | 239, 295sh, 325 | 335 [M − H]− | MS2[335]: 317 (100), 291 (100), 179 (50) | 359 [M + Na]+ | 359/163/145 | 5-Caffeoylshikimic acid | 5-CSA | Roots |
| 6 | 16.2 | 239, 295sh, 325 | 335 [M − H]− | MS2[335]: 317 (5), 291 (5), 179 (75), 161 (100), 135 (80) | 359 [M + Na]+ | 359/163/145 | Caffeoylshikimic acid | CSA | Roots |
| 7 | 16.1 | 239, 270, 335 | 593 [M − H]− | MS2[593]: 503 (20), 473 (25), 383 (50), 353 (50) | 595 [M + Na]+ | 595/577/457/427/317 | 6,8-di-C-hexosyl apigenin | Di-Glc-Api | Leaflets |
| 8 | 16.8 | 239, 270, 335 | 673 [M − H]− | MS2[673]: 593 (100), 575 (10), 503 (10), 473 (15), 413 (5), 383 (10), 353 (10)
MS2[593]: 503 (25), 473 (10), 383(50), 353 (100) MS3[673→593]: 473(100), 413(20), 383(60), 353(100) MS3[673→473]: 383 (100), 353 (100) | 713 [M + Na]+ | MS2[713]: 633 (100), 593 (25), 543 (25), 513 (25), 423 (10), 393 (10), 351 (10) MS3[713→633]: 573 (100), 543 (100), 513 (100), 483 (20), 423 (75), 393 (20), 351 (50) | 6,8-di-C-hexosyl apigenin sulfate | Di-Glc-Api Sulf | Leaflets |
| 9 | 17.8 | 239,270,335 | 673 [M − H]− | MS2[673]: 593 (100), 503 (10), 473 (20), 383 (10), 353 (10)
MS2[593]: 473 (60), 383 (30), 353 (100) MS3[673→593]: 473 (100), 383 (50), 353 (100) MS3[673→473]: 383 (100), 353 (100) | 713 [M + K]+ | MS2[713]: 633 (100), 593 (25), 543 (25), 513 (75), 483 (25), 423 (30), 393 (30), 363 (10), 351 (10) MS3[713→633]: 573 (20), 543 (100), 513 (70), 483 (5), 423 (50), 393 (20), 381 (50), 351 (25) | 6,8-di-C-hexosyl apigenin sulfate | Di-Glc-Api Sulf | Leaflets |
| 10 | 21.2 | 238,272,339 | 563 [M − H]− | MS2[563]: 473 (10), 443 (30), 383 (80), 353 (80) | - | - | 6-C-hexosyl-8-C-pentosyl apigenin isomer | Leaflets | |
| 11 | 22.1 | 240,270,342 | 447 [M − H]− | 447/429/411/357/327/299 | 449 [M + H]+ | 449/413/383 | 8-C-glycosyl luteolin (orientin) * | Leaflets | |
| 12 | 22.3 | 238,272,339 | 563 [M − H]− | MS2[563]: 503 (100), 473 (10), 443 (20), 413 (75), 383 (50), 353 (10) | - | - | 6-C-pentosyl-8-C-hexosyl apigenin isomer | Leaflets | |
| 13 | 22.9 | 241,270,346 | 447 [M − H]− | 447/429/411/357/327/299 | 449 [M + H]+ | MS2[449]: 431 (10), 413 (80), 395 (20), 383 (50), 353 (60), 329 (10), 299 (100) | 6-C-glycosyl luteolin (isoorientin) * | Leaflets | |
| 14 | 23.2 | 238,272,340 | 563 [M − H]− | MS2[563]: 473 (75), 443 (75), 383 (25), 353 (100) | - | - | 6-C-hexosyl-8-C-pentosyl apigenin isomer | Leaflets | |
| 15 | 24.9 | 241,271,336 | 563 [M − H]− | MS2[563]: 443 (100), 383 (30), 353 (50), 323 (20) | - | - | 6-C-hexosyl-8-C-pentosyl apigenin isomer | Leaflets | |
| 16 | 25.6 | 238,277,335 | 563 [M − H]− | MS2[563]: 503 (25), 473 (10), 383 (10), 353 (100) | - | - | 6-C-pentosyl-8-C-hexosyl apigenin isomer | Leaflets | |
| 17 | 26.4 | 241,270,337 | 431 [M − H]− | 431/413/395/341/311/283 | 433 [M + H]+ | MS2[433]: 397 (75), 379 (30), 367 (100), 337 (50), 313 (40), 295 (20), 283 (50) | 6-C-glycosyl apigenin (isovitexin) * | Leaflets |
© 2016 by the authors; licensee MDPI, Basel, Switzerland. This article is an open access article distributed under the terms and conditions of the Creative Commons Attribution (CC-BY) license (http://creativecommons.org/licenses/by/4.0/).
Share and Cite
Brunschwig, C.; Leba, L.-J.; Saout, M.; Martial, K.; Bereau, D.; Robinson, J.-C. Chemical Composition and Antioxidant Activity of Euterpe oleracea Roots and Leaflets. Int. J. Mol. Sci. 2017, 18, 61. https://doi.org/10.3390/ijms18010061
Brunschwig C, Leba L-J, Saout M, Martial K, Bereau D, Robinson J-C. Chemical Composition and Antioxidant Activity of Euterpe oleracea Roots and Leaflets. International Journal of Molecular Sciences. 2017; 18(1):61. https://doi.org/10.3390/ijms18010061
Chicago/Turabian StyleBrunschwig, Christel, Louis-Jérôme Leba, Mona Saout, Karine Martial, Didier Bereau, and Jean-Charles Robinson. 2017. "Chemical Composition and Antioxidant Activity of Euterpe oleracea Roots and Leaflets" International Journal of Molecular Sciences 18, no. 1: 61. https://doi.org/10.3390/ijms18010061
APA StyleBrunschwig, C., Leba, L.-J., Saout, M., Martial, K., Bereau, D., & Robinson, J.-C. (2017). Chemical Composition and Antioxidant Activity of Euterpe oleracea Roots and Leaflets. International Journal of Molecular Sciences, 18(1), 61. https://doi.org/10.3390/ijms18010061
