Evidence for the Induction of Key Components of the NOTCH Signaling Pathway via Deltamethrin and Azamethiphos Treatment in the Sea Louse Caligus rogercresseyi
Abstract
:1. Introduction
2. Results
2.1. Identification and Expression of NOTCH Signaling Pathway Gene Components from C. rogercresseyi
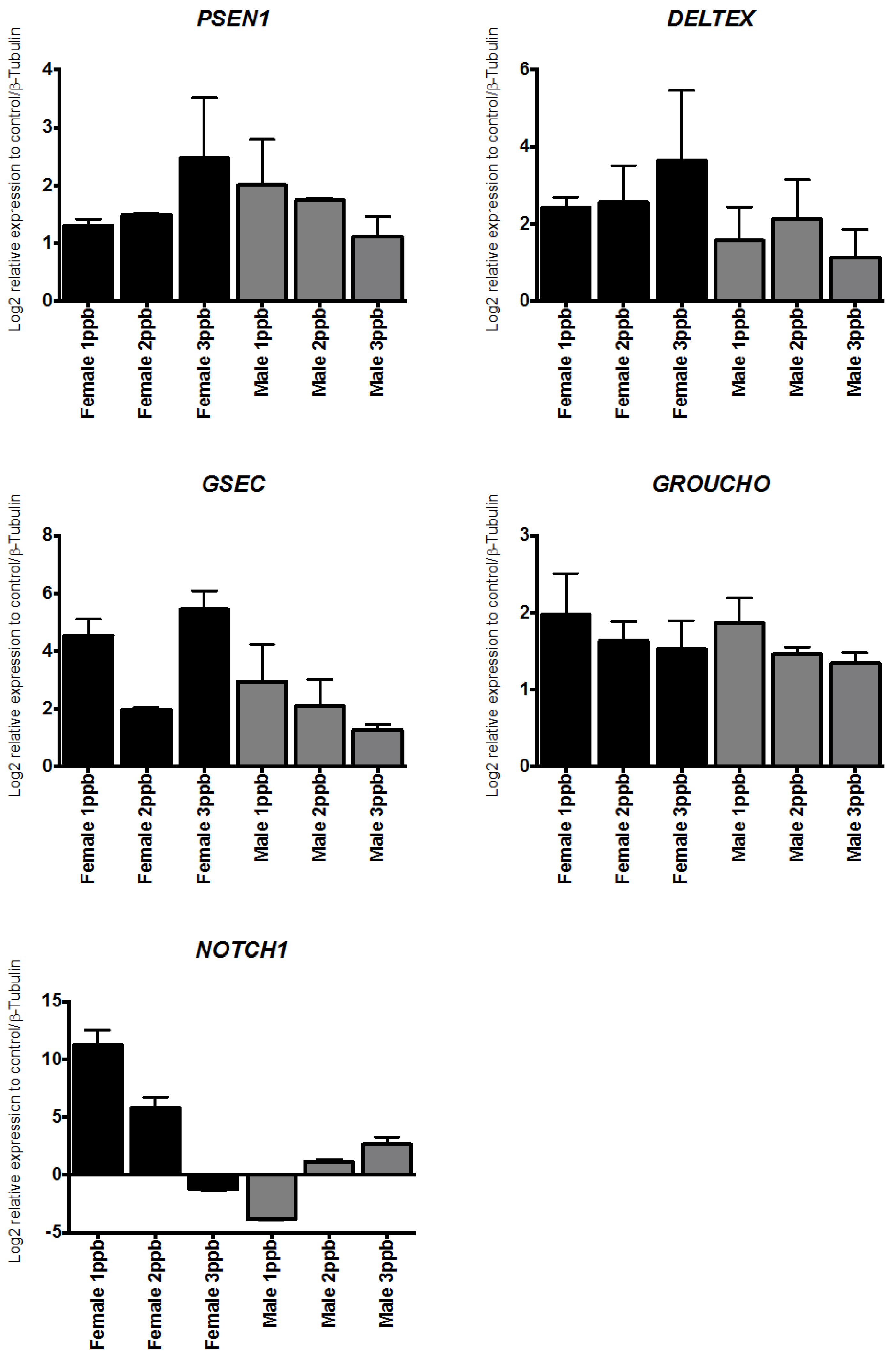
2.2. Differentially Expressed Genes of the NOTCH Signaling Pathway from C. rogercresseyi
2.3. Principal Component Analysis (PCA)
2.4. Single Nucleotide Polymorphisms (SNPs) Mining
3. Discussion
4. Materials and Methods
4.1. Experimental Design and High-Throughput Transcriptome Sequencing
4.2. Identification of Putative NOTCH Signaling Pathway Transcripts and SNPs Mining
4.3. RNA-seq Analysis Hierarchical Cluster Analysis
4.4. Primer Design and Quantitative Real-Time Polymerase Chain Reaction Assay
4.5. Interactome, Principal Components, and Statistical Analyses
5. Conclusions
Supplementary Materials
Acknowledgments
Author Contributions
Conflicts of Interest
Abbreviations
| ABC | ATP-binding cassettes |
| AZA | azamethiphos |
| CSL | CBF1/RBP-Jk/Suppressor of Hairless/LAG-1 |
| DM | deltamethrin |
| HDAC | histone deacetylase |
| NIC | intracellular C-terminal fragment of NOTCH |
| PCA | principal components analysis |
| PSEN1 | presenilin-1 |
| SNPs | single nucleotide polymorphisms |
References
- Pike, A.W.; Wadsworth, S.L. Sealice on salmonids: Their biology and control. Adv. Parasitol. 2000, 44, 232–337. [Google Scholar]
- Gonzalez, L.; Carvajal, J.; George-Nascimento, M. Differential infectivity of Caligus flexispina (Copepoda, Caligidae) in three farmed salmonids in Chile. Aquaculture 2000, 183, 13–23. [Google Scholar] [CrossRef]
- Bravo, S.; Silva, M.; Monti, G. Efficacy of emamectin benzoate in the control of Caligus rogercresseyi on farmed Atlantic salmon (Salmo salar L.) in Chile from 2006 to 2007. Aquaculture 2012, 364–365, 61–66. [Google Scholar] [CrossRef]
- Helgesen, K.; Bravo, S.; Sevatdal, S.; Mendoza, J.; Horsberg, T. Deltamethrin resistance in the sea louse Caligus rogercresseyi (Boxhall and Bravo) in Chile: Bioassay results and usage data for antiparasitic agents with references to Norwegian conditions. J. Fish Dis. 2014, 37, 877–890. [Google Scholar] [CrossRef] [PubMed]
- Sevatdal, S.; Copley, L.; Wallace, C.; Jackson, D.; Horsberg, T. Monitoring of the sensitivity of sea lice (Lepeophtheirus salmonis) to pyrethroids in Norway, Ireland and Scotland using bioassays and probit modelling. Aquaculture 2005, 244, 19–27. [Google Scholar] [CrossRef]
- Sevatdal, S.; Horsberg, T. Determination of reduced sensitivity in sea lice (Lepeophtheirus salmonis Krøyer) against the pyrethroid deltamethrin using bioassays and probit modelling. Aquaculture 2003, 218, 21–31. [Google Scholar] [CrossRef]
- Gallardo-Escarate, C.; Valenzuela-Munoz, V.; Nunez-Acuna, G. RNA-Seq analysis using de novo transcriptome assembly as a reference for the salmon louse Caligus rogercresseyi. PLoS ONE 2014, 9. [Google Scholar] [CrossRef]
- Dermauw, W.; van Leeuwen, T. The ABC gene family in arthropods: Comparative genomics and role in insecticide transport and resistance. Insect Biochem. Mol. 2014, 45, 89–110. [Google Scholar] [CrossRef] [PubMed]
- Simmons, J.; D’Souza, O.; Rheault, M.; Donly, C. Multidrug resistance protein gene expression in Trichoplusia ni caterpillars. Insect Biochem. Mol. Biol. 2013, 22, 62–71. [Google Scholar] [CrossRef] [PubMed]
- Bariami, V.; Jones, C.; Poupardin, R.; Vontas, J.; Ranson, H. Gene amplification, ABC transporters and cytochrome P450s: Unraveling the molecular basis of pyrethroid resistance in the dengue vector, aedes aegypti. PLoS Negl. Trop. Dis. 2012, 6. [Google Scholar] [CrossRef] [PubMed]
- Kopan, R.; Ilagan, M.X.G. The Canonical Notch Signaling Pathway: Unfolding the Activation Mechanism. Cell 2009, 137, 216–233. [Google Scholar] [CrossRef] [PubMed]
- Andersson, E.R.; Sandberg, R.; Lendahl, U. Notch signaling: Simplicity in design, versatility in function. Development 2011, 138, 3593–3612. [Google Scholar] [CrossRef] [PubMed]
- Espinoza, I.; Miele, L. Notch inhibitors for cancer treatment. Pharmacol. Ther. 2013, 139, 95–110. [Google Scholar] [CrossRef] [PubMed]
- Choi, Y.I.; Jeon, S.H.; Jang, J.; Han, S.; Kim, J.K.; Chung, H.; Lee, H.W.; Chung, H.-Y.; Park, S.D.; Seong, R.H. Notch1 confers a resistance to glucocorticoid-induced apoptosis on developing thymocytes by down-regulating SRG3 expression. Proc. Natl. Acad. Sci. USA 2001, 98, 10267–10272. [Google Scholar] [CrossRef] [PubMed]
- Mungamuri, S.; Yang, X.; Thor, A.; Somasundaram, K. Survival signaling by Notch1: Mammalian target of rapamycin (mTOR)-dependent inhibition of p53. Cancer Res. 2006, 66, 4715–4724. [Google Scholar] [CrossRef] [PubMed]
- Hollenstein, K.; Frei, D.C.; Locher, K.P. Structure of an ABC transporter in complex with its binding protein. Nature 2007, 446, 213–216. [Google Scholar] [CrossRef] [PubMed]
- Dean, M.; Annilo, T. Evolution of the ATP-binding cassette (ABC) transporter superfamily in vertebrates. Annu. Rev. Genom. Hum. Genet. 2005, 6, 123–142. [Google Scholar] [CrossRef] [PubMed]
- Sturm, A.; Cunningham, P.; Dean, M. The ABC transporter gene family of Daphnia pulex. BMC Genom. 2009, 10. [Google Scholar] [CrossRef] [PubMed]
- Gottesman, M.M.; Fojo, T.; Bates, S.E. Multidrug resistance in cancer: Role of ATP-dependent transporters. Nat. Rev. Cancer 2002, 2, 48–58. [Google Scholar] [CrossRef] [PubMed]
- Haimeur, A.; Conseil, G.; Deeley, R.G.; Cole, S.P.C. The MRP-related and BCRP/ABCG2 multidrug resistance proteins: Biology, substrate specificity and regulation. Curr. Drug Metab. 2004, 5, 21–53. [Google Scholar] [CrossRef] [PubMed]
- Igboeli, O.O.; Fast, M.D.; Heumann, J.; Burka, J.F. Role of P-glycoprotein in emamectin benzoate (SLICE®) resistance in sea lice, Lepeophtheirus salmonis. Aquaculture 2012, 344, 40–47. [Google Scholar] [CrossRef]
- Scotto, K.W. Transcriptional regulation of ABC drug transporters. Oncogene 2003, 22, 7496–7511. [Google Scholar] [CrossRef] [PubMed]
- Cho, S.; Lu, M.; He, X.; Ee, P.-L.R.; Bhat, U.; Schneider, E.; Miele, L.; Beck, W.T. Notch1 regulates the expression of the multidrug resistance gene ABCC1/MRP1 in cultured cancer cells. Proc. Natl. Acad. Sci. USA 2011, 108, 20778–20783. [Google Scholar] [CrossRef] [PubMed]
- Morozova, O.; Hirst, M.; Marra, M. Applications of new sequencing technologies for transcriptome analysis. Annu. Rev. Genom. Hum. Genet. 2009, 10, 135–151. [Google Scholar] [CrossRef] [PubMed]
- Valenzuela-Munoz, V.; Chavez-Mardones, J.; Gallardo-Escárate, C. RNA-seq analysis evidences multiple gene responses in Caligus rogercresseyi exposed to the anti-salmon lice drug azamethiphos. Aquaculture 2015, 446, 156–166. [Google Scholar] [CrossRef]
- SEARCH Consortium. Sea Lice Resistance to Chemotherapeutants: A Handbook in Resistance Management, 2nd ed.; SEARCH: Sacramento, CA, USA, 2006; p. 52. [Google Scholar]
- Chavez-Mardones, J.; Gallardo-Escarate, C. Deltamethrin (AlphaMax (TM)) reveals modulation of genes related to oxidative stress in the ectoparasite Caligus rogercresseyi: Implications on delousing drug effectiveness. Aquaculture 2014, 433, 421–429. [Google Scholar] [CrossRef]
- Bravo, S.; Sepulveda, M.; Silva, M.; Costello, M. Efficacy of deltamthrin in the control of Caligus rogercresseyi (Boxshall and Bravo) using bath treatment. Aquaculture 2014, 432, 175–180. [Google Scholar] [CrossRef]
- Nuñes-Acuña, G.; Gallardo-Escárate, C. Two novel male-associated peroxinectin genes are downregulated by exposure to delousing drugs in Caligus rogercresseyi. Gene 2015, 557, 98–102. [Google Scholar] [CrossRef] [PubMed]
- Horsberg, T.E. Avermectin use in aquaculture. Curr. Pharm. Biotechnol. 2012, 13, 1095–1102. [Google Scholar] [CrossRef] [PubMed]
- Cline, M.; Smoot, M.; Cerami, E.; Kuchinsky, A.; Landys, N.; Workman, C.; Christmas, R.; Avila-Campilo, I.; Creech, M.; Gross, B.; et al. Integration of biological networks and gene expression data using Cytoscape. Nat. Protoc. 2007, 2, 2366–2382. [Google Scholar] [CrossRef] [PubMed]
- Newman, M.; Wilson, L.; Verdile, G.; Lim, A.; Khan, I. Differential, dominant activation and inhibition of Notch signalling and APP cleavage by truncations of PSEN1 in human disease. Hum. Mol. Genet. 2014, 23, 602–617. [Google Scholar] [CrossRef] [PubMed]
- Gulino, A.; di Marcotullio, L.; Screpanti, I. The multiple functions of Numb. Exp. Cell Res. 2010, 316, 900–906. [Google Scholar] [CrossRef] [PubMed]
- Buscarlet, M.; Stifani, S. The “Marx” of Groucho on development and disease. Trends Cell Biol. 2007, 17, 353–361. [Google Scholar] [CrossRef] [PubMed]
- Fisher, A.L.; Caudy, M. Groucho proteins: Transcriptional corepressors for specific subsets of DNA-binding transcription factors in vertebrates and invertebrates. Gene Dev. 1998, 12, 1931–1940. [Google Scholar] [CrossRef] [PubMed][Green Version]
- Zhang, D.C.; Jiang, S.G.; Hu, Y.T.; Cui, S.G.; Guo, H.Y.; Wu, K.C.; Li, Y.N.; Su, T.F. A multidomain galectin involved in innate immune response of pearl oyster Pinctada fucata. Dev. Comp. Immunol. 2011, 35, 1–6. [Google Scholar] [CrossRef] [PubMed]
- Pohl, P.; Klafke, G.; Júnior, J.R.; Martins, J.R.; Silva Vaz, I., Jr.; Masuda, A. ABC transporters as a multidrug detoxification mechanism in Rhipicephalus (Boophilus) microplus. Parasitol. Res. 2012, 111, 2345–2351. [Google Scholar] [CrossRef] [PubMed]
- Carcamo, J.G.; Aguilar, M.N.; Barrientos, C.A.; Carreno, C.F.; Quezada, C.A.; Bustos, C.; Manriquez, R.A.; Avendano-Herrera, R.; Yanez, A.J. Effect of emamectin benzoate on transcriptional expression of cytochromes P450 and the multidrug transporters (Pgp and MRP1) in rainbow trout (Oncorhynchus mykiss) and the sea lice Caligus rogercresseyi. Aquaculture 2011, 321, 207–215. [Google Scholar] [CrossRef]
- Mamidala, P.; Wijeratne, A.; Wijeratne, S.; Kornacker, K.; Sudhamalla, B.; Rivera-Vega, L.; Hoelmer, A.; Meulia, T.; Jones, S.; Mittapalli, O. RNA-Seq and molecular docking reveal multi-level pesticide resistance in the bed bug. BMC Genom. 2012, 13. [Google Scholar] [CrossRef] [PubMed]
- Geneious. Available online: http://www.geneious.com (accessed on 25 February 2016).
- Morris, J.H.; Apeltsin, L.; Newman, A.M.; Baumbach, J.; Wittkop, T.; Su, G. Clustermaker: A multi-algorithm clustering plugin for Cytoscape. BMC Bioinform. 2011, 12. [Google Scholar] [CrossRef] [PubMed]
- Czerwinska, U.; Calzone, L.; Barillot, E.; Zinovyev, A. DeDaL: Cytoscape 3.0 app for producing and morphing data-driven and structure-driven network layouts. BMC Syst. Biol. 2015, 9. [Google Scholar] [CrossRef] [PubMed]
- Benjamini, Y.; Hochberg, Y. Controlling the False Discovery Rate: A Practical and Powerful Approach to Multiple Testing. J. R. Stat. Soc. Ser. B 1995, 57, 289–300. [Google Scholar]
- Gorban, A.N.; Zinovyev, A. Principal graphs and manifolds. In Handbook of Research on Machine Learning Applications and Trends: Algorithms, Methods and Techniques; Olivas, E., Guererro, J., Sober, M., Benedito, J., Lopes, A., Eds.; IGI Global: Hershey, PA, USA, 2009. [Google Scholar]






| Name | Lowest E-Value | Accession (E-Value) | Description | Adults DM/Adults Control | Adults AZA/Adults Control | ||
|---|---|---|---|---|---|---|---|
| Fold Change | p-Value | Fold Change | p-Value | ||||
| ABCC V | 2 × 10−33 | ETN58310.1 | Multidrug resistance protein 2 (ATP-binding cassette protein c) [Anopheles darlingi] | 0.83 | 0 | 0 | 0 |
| ABCC VI | 6 × 10−98 | EHJ72514.1 | ABC transporter family C protein ABCC2 [Danaus plexippus] | 1.92 | 0 | 0.165 | 0 |
| ABCC VIII | 0 | XP_004081991.1 | PREDICTED: multidrug resistance-associated protein 4-like [Oryzias latipes] | −0.97 | 0 | −1.6 | 0 |
| ABCC XI | 0 | XP_008276233.1 | PREDICTED: multidrug resistance-associated protein 4 [Stegastes partitus] | 0.50 | 0 | 0.49 | 0 |
| ABCC IV | 3 × 10−59 | EFX68457.1 | ATP-binding cassette, sub-family C, member 4 [Daphnia pulex] | −0.58 | 0 | NN | 0 |
| ABCC IX | 0 | KFQ99756.1 | Multidrug resistance-associated protein 1 [Nipponia nippon] | 1.18 | 0 | 0.7 | 0 |
| ABCC XIV | 3 × 10−77 | XP_001862061.1 | Multidrug resistance-associated protein 14 [Culex quinquefasciatus] | 0.60 | 0 | −0.4 | 0 |
| ABCB XII | 0 | AHC54388.1 | P-glycoprotein [Caligus rogercresseyi] | −0.58 | 0 | −0.61 | 0 |
| ABCC III | 1 × 10−58 | XP_001022386.1 | ABC transporter family protein [Tetrahymena thermophila] | NN | 0 | 0 | 1 |
| ABCB VI | 1 × 10−39 | WP_018508877.1 | ABC transporter [Thiobacillus thioparus] | 0 | 1 | 0 | 1 |
| ABCC I | 1 × 10−40 | EAS00380.2 | ABC transporter C family protein [Tetrahymena thermophila SB210] | 0 | 1 | 0 | 1 |
| ABCB VII | 1 × 10−45 | WP_016832902.1 | Amino acid ABC transporter ATP-binding protein [Herbaspirillum lusitanum] | 0 | 1 | 0 | 1 |
| ABCC II | 3 × 10−100 | WP_014005418.1 | Multidrug ABC transporter ATP-binding protein [Collimonas fungivorans] | 0 | 1 | 0 | 1 |
| ABCB VIII | 1 × 10−6 | WP_005919053.1 | Excinuclease ABC subunit A, uvrA [Pediococcus acidilactici] | 0 | 1 | 0 | 1 |
| ABCB IX | 2 × 10−43 | WP_008117112.1 | ABC transporter [Herbaspirillum sp. YR522] | 0 | 1 | 0 | 1 |
| ABCB I | 1 × 10−112 | WP_014007698.1 | Methionine ABC transporter ATP-binding protein [Collimonas fungivorans] | 0 | 1 | 0 | 1 |
| ABCB II | 4 × 10−78 | WP_027616274.1 | ABC transporter ATP-binding protein [Pseudomonas sp. URHB0015] | 0 | 1 | 0 | 1 |
| ABCB III | 4 × 10−128 | WP_007878001.1 | Peptide ABC transporter ATP-binding protein [Herbaspirillum sp. CF444] | 0 | 1 | 0 | 1 |
| ABCB XI | 0 | EKC24099.1 | ATP-binding cassette sub-family B member 8, mitochondrial [Crassostrea gigas] | 0.07 | 4.7 × 10−11 | −0.41 | 0 |
| ABCB IV | 1 × 10−53 | CCV01190.1 | ABCB/P-glycoprotein-like protein [Mytilus galloprovincialis] | 0 | 1 | 0 | 1 |
| ABCC XV | 0 | XP_005496337.1 | PREDICTED: multidrug resistance-associated protein 4-like [Zonotrichia albicollis] | 0.78 | 0 | −0.43 | 0 |
| ABCB V | 2 × 10−74 | KFM56907.1 | Multidrug resistance protein 1 [Stegodyphus mimosarum] | 0 | 1 | 0 | 1 |
| ABCC XII | 0 | KDR17053.1 | Multidrug resistance-associated protein 7 [Zootermopsis nevadensis] | 0.28 | 0 | 0.28 | 0 |
| ABCC XIII | 0 | XP_004342702.1 | Multidrug resistance-associated protein 3 [Capsaspora owczarzaki ATCC 30864] | 0.42 | 0 | −0.144 | 0 |
| ABCB X | 2 × 10−24 | EFN74443.1 | ATP-binding cassette sub-family B member 10, mitochondrial [Camponotus floridanus] | NN | 0 | 0 | 1 |
| ABCC X | 0 | EFX68457.1 | ATP-binding cassette, sub-family C, member 4 [Daphnia pulex] | 2.08 | 0 | 0.151 | 0 |
| ABCC VII | 2 × 10−172 | XP_002116818.1 | ATP-dependent bile acid permease [Aedes aegypti] | 1.76 | 0 | 0.116 | 0 |
| DELTEX | 8 × 10−60 | EGI67423.1 | Protein deltex [Acromyrmex echinatior] | 0.135 | 0 | −0.007 | 6.95 × 10−10 |
| FRINGE | 7 × 10−96 | XP_002422797.1 | Fringe glycosyltransferase, putative [Pediculus humanus corporis] | 0.130 | 8.88 × 10−11 | −0.531 | 0 |
| Aph-1 | 3 × 10−111 | ADD24087.1 | Gamma-secretase subunit Aph-1 [Lepeophtheirus salmonis] | 0.43 | 2.62 × 10−05 | −0.55 | 0 |
| GROUCHO1 | 0 | BAN21009.1 | Groucho [Riptortus pedestris] | 0.01 | 0.48 | 0.541 | 0 |
| GROUCHO2 | 0 | BAN21009.1 | Groucho [Riptortus pedestris] | −0.29 | 0 | 0.57 | 0 |
| HDAC | 2 × 10−29 | XP_001862395.1 | Histone deacetylase [Culex quinquefasciatus] | −0.167 | 0 | 0.58 | 0 |
| HDAC3 | 1 × 10−158 | EFX81904.1 | Putative histone deacetylase HDAC3 protein [Daphnia pulex] | 0.232 | 0 | 0.25 | 0 |
| HDAC4 | 3 × 10−148 | XP_001605910.2 | PREDICTED: histone deacetylase 4-like [Nasonia vitripennis] | −0.752 | 0 | 0.39 | 0 |
| HDAC6 | 0 | NP_001162760.1 | HDAC6, isoform D [Drosophila melanogaster] | −0.51 | 0 | −1.0 × 10−1 | 0 |
| NOTCH1 | 0 | EFX77274.1 | NOTCH 2 [Daphnia pulex] | 0.609 | 0 | 0.114 | 0 |
| NOTCH2 | 0 | AGT57827.1 | NOTCH [Euperipatoides rowelli] | 0.42 | 0 | 0.104 | 0 |
| NOTCH3 | 1 × 10−36 | EZA58452.1 | Neurogenic locus NOTCH protein [Cerapachys biroi] | −0.181 | 0 | −0.51 | 0 |
| NUMB | 1 × 10−106 | EZA52633.1 | Protein numb [Cerapachys biroi] | −0.75 | 0 | 0.03 | 0 |
| PSEN | 2 × 10−134 | EHJ71857.1 | Presenilin-like signal peptide peptidase [Danaus plexippus] | 0.391 | 0 | −0.085 | 0 |
| SKIP | 1 × 10−31 | AGM16247.1 | Even-skipped isoform 2 [Nasonia vitripennis] | NN | 0 | 0 | 1 |
| (A) Deltamethrin (ppb) | Female | Male |
|---|---|---|
| 0 | 100 | 100 |
| 1 | 53.3 | 13.3 |
| 2 | 26.7 | 20.0 |
| 3 | 26.7 | 0.0 |
| (B) Azamethiphos (ppb) | Female | Male |
| 0 | 100 | 100 |
| 1 | 80 | 73.3 |
| 3 | 53.3 | 40 |
| 10 | 12.4 | 10 |
| 30 | 0 | 0 |
| Name | Consensus Position | Allele | Frequency | Substitution |
|---|---|---|---|---|
| DELTEX | 3468 | A/G | 31.30 | 3′UTR |
| 3079 | G/A | 30.94 | 3′UTR | |
| 3067 | G/T | 26.21 | 3′UTR | |
| 2784 | G/T | 31.03 | Synonymous | |
| 2698 | C/T | 20.88 | Synonymous | |
| 2679 | T/C | 32.35 | Synonymous | |
| 2616 | T/C | 43.70 | Synonymous | |
| 2434 | A/G | 46.15 | Non synonymous | |
| 2181 | T/C | 47.35 | Synonymous | |
| 1853 | C/A | 21.05 | Non synonymous | |
| 1659 | A/C | 41.38 | Non synonymous | |
| 1301 | T/C | 31.39 | Synonymous | |
| 1116 | A/G | 34.81 | Synonymous | |
| 1038 | C/T | 27.01 | Synonymous | |
| 987 | G/A | 48.63 | Synonymous | |
| 954 | G/A | 34.18 | Synonymous | |
| 927 | A/G | 38.46 | Synonymous | |
| 489 | A/G | 25.50 | 5′UTR | |
| FRINGE | 133 | T/A | 54.55 | 5′UTR |
| 940 | C/T | 29.27 | Non synonymous | |
| 979 | A/C | 49.04 | Non synonymous | |
| 1260 | T/C | 45.45 | 5′UTR | |
| APH-1 | 829 | T/C | 42.86 | Synonymous |
| 793 | T/G | 48.06 | Synonymous | |
| 671 | T/C | 21.16 | Synonymous | |
| GROUCHO1 | 1754 | C/T | 25.73 | Synonymous |
| 1430 | T/C | 23.83 | Synonymous | |
| 1202 | G/A | 20.94 | Synonymous | |
| 266 | G/A | 35.27 | Synonymous | |
| HDAC6 | 3792 | T/C | 45.71 | 3′UTR |
| 3433 | C/T | 41.89 | 3′UTR | |
| 3381 | C/G | 34.60 | 3′UTR | |
| 3156 | G/T | 38.60 | 3′UTR | |
| 2586 | T/C | 39.13 | Synonymous | |
| 2199 | T/C | 33.71 | Synonymous | |
| 681 | A/C | 21.52 | Synonymous | |
| 600 | T/C | 24.69 | Synonymous | |
| NOTCH1 | 10732 | C/A | 48.88 | Synonymous |
| 3509 | G/A | 24.35 | Non synonymous | |
| 3067 | C/T | 26.40 | Synonymous | |
| 2890 | A/G | 20.35 | Synonymous | |
| 2758 | C/T | 41.67 | Synonymous | |
| 2491 | G/C | 28.57 | Synonymous | |
| 2035 | A/C | 30.59 | Synonymous | |
| 1468 | G/T | 36.89 | Synonymous | |
| 400 | C/A | 44.83 | Synonymous | |
| 281 | T/A | 25.93 | 5′UTR | |
| 251 | C/T | 31.37 | 5′UTR | |
| NOTCH2 | 373 | A/C | 21.32 | Non synonymous |
| PSEN | 1463 | T/C | 48.50 | 3′UTR |
| 797 | T/C | 21.07 | Non synonymous | |
| 352 | T/G | 24.98 | Non synonymous | |
| NUMB | 51 | G/A | 27.27 | Synonymous |
© 2016 by the authors; licensee MDPI, Basel, Switzerland. This article is an open access article distributed under the terms and conditions of the Creative Commons Attribution (CC-BY) license (http://creativecommons.org/licenses/by/4.0/).
Share and Cite
Boltaña, S.; Chávez-Mardones, J.; Valenzuela-Muñoz, V.; Gallardo-Escárate, C. Evidence for the Induction of Key Components of the NOTCH Signaling Pathway via Deltamethrin and Azamethiphos Treatment in the Sea Louse Caligus rogercresseyi. Int. J. Mol. Sci. 2016, 17, 304. https://doi.org/10.3390/ijms17050304
Boltaña S, Chávez-Mardones J, Valenzuela-Muñoz V, Gallardo-Escárate C. Evidence for the Induction of Key Components of the NOTCH Signaling Pathway via Deltamethrin and Azamethiphos Treatment in the Sea Louse Caligus rogercresseyi. International Journal of Molecular Sciences. 2016; 17(5):304. https://doi.org/10.3390/ijms17050304
Chicago/Turabian StyleBoltaña, Sebastian, Jaqueline Chávez-Mardones, Valentina Valenzuela-Muñoz, and Cristian Gallardo-Escárate. 2016. "Evidence for the Induction of Key Components of the NOTCH Signaling Pathway via Deltamethrin and Azamethiphos Treatment in the Sea Louse Caligus rogercresseyi" International Journal of Molecular Sciences 17, no. 5: 304. https://doi.org/10.3390/ijms17050304
APA StyleBoltaña, S., Chávez-Mardones, J., Valenzuela-Muñoz, V., & Gallardo-Escárate, C. (2016). Evidence for the Induction of Key Components of the NOTCH Signaling Pathway via Deltamethrin and Azamethiphos Treatment in the Sea Louse Caligus rogercresseyi. International Journal of Molecular Sciences, 17(5), 304. https://doi.org/10.3390/ijms17050304

