Fast Conversion of Ionic Liquids and Poly(Ionic Liquid)s into Porous Nitrogen-Doped Carbons in Air
Abstract
:1. Introduction
2. Results and Discussion
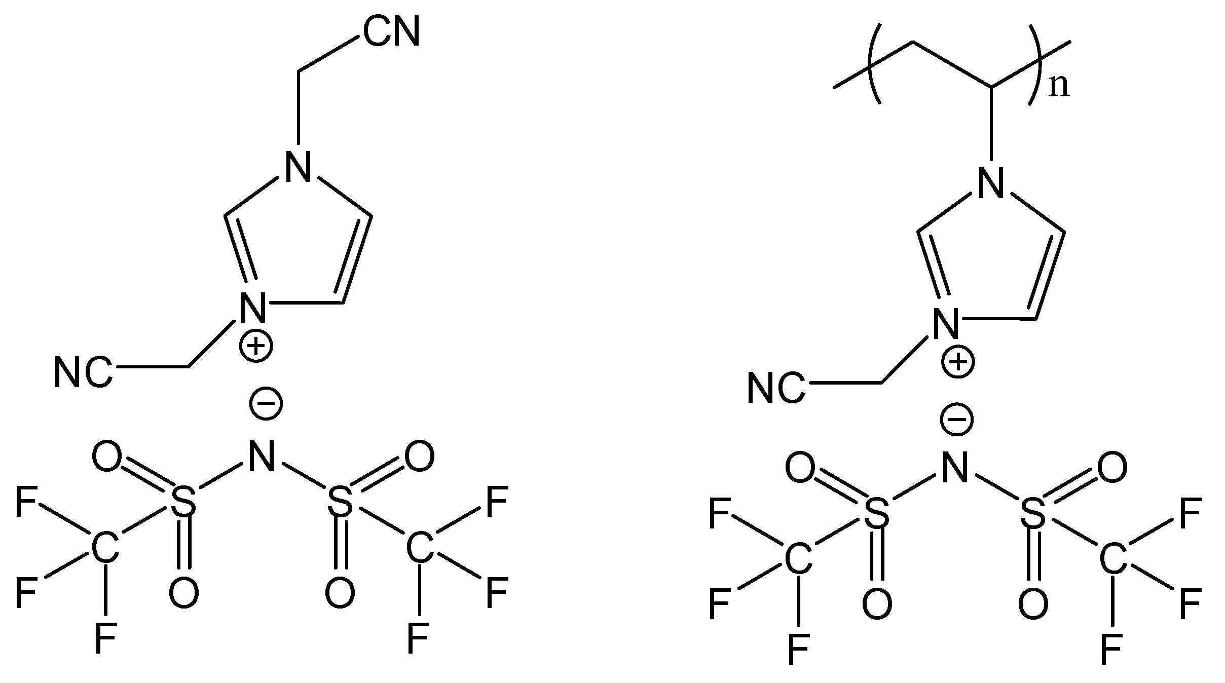
2.1. Carbonizaiton of Ionic Liquid in Air
2.2. Carbonizaiton of Poly(Ionic Liquid) and Poly(Ionic Liquid) Coated Cotton in Air
2.3. Carbonizaiton of Poly(Ionic Liquid) Coated Cotton in Air
3. Materials and Methods
3.1. Materials
3.2. Synthesis of the PIL Poly(3-cyanomethyl-1-vinyl imidazolium TFSI)
3.3. Carbonizaztion of IL/PIL in Air
3.4. Characterization Methods
4. Conclusions
Supplementary Materials
Acknowledgments
Author Contributions
Conflicts of Interest
References
- Wu, Z.Y.; Li, C.; Liang, H.W.; Chen, J.F.; Yu, S.H. Ultralight, flexible, and fire-resistant carbon nanofiber aerogels from bacterial cellulose. Angew. Chem. Int. Ed. 2013, 52, 2925–2929. [Google Scholar] [CrossRef] [PubMed]
- Liang, H.W.; Guan, Q.F.; Chen, L.F.; Zhu, Z.; Zhang, W.J.; Yu, S.H. Macroscopic-scale template synthesis of robust carbonaceous nanofiber hydrogels and aerogels and their applications. Angew. Chem. Int. Ed. 2012, 51, 5101–5105. [Google Scholar] [CrossRef] [PubMed]
- Han, B.H.; Zhou, W.; Sayari, A. Direct preparation of nanoporous carbon by nanocasting. J. Am. Chem. Soc. 2003, 125, 3444–3445. [Google Scholar] [CrossRef] [PubMed]
- Deng, Y.; Cai, Y.; Sun, Z.; Liu, J.; Liu, C.; Wei, J.; Li, W.; Liu, C.; Wang, Y.; Zhao, D. Multifunctional mesoporous composite microspheres with well-designed nanostructure: A highly integrated catalyst system. J. Am. Chem. Soc. 2010, 132, 8466–8473. [Google Scholar] [CrossRef] [PubMed]
- Liu, L.; He, D.; Wang, G.S.; Yu, S.H. Bioinspired crystallization of CaCO3 coatings on electrospun cellulose acetate fiber scaffolds and corresponding CaCO3 microtube networks. Langmuir 2011, 27, 7199–7206. [Google Scholar] [CrossRef] [PubMed]
- Mane, G.P.; Talapaneni, S.N.; Anand, C.; Varghese, S.; Iwai, H.; Ji, Q.; Ariga, K.; Mori, T.; Vinu, A. Preparation of highly ordered nitrogen-containing mesoporous carbon from a gelatin biomolecule and its excellent sensing of acetic acid. Adv. Funct. Mater. 2012, 22, 3596–3604. [Google Scholar] [CrossRef]
- Sun, X.; Li, Y. Colloidal carbon spheres and their core/shell structures with noble-metal nanoparticles. Angew. Chem. Int. Ed. 2004, 43, 597–601. [Google Scholar] [CrossRef] [PubMed]
- Luo, W.; Bommier, C.; Jian, Z.; Li, X.; Carter, R.; Vail, S.; Lu, Y.; Lee, J.J.; Ji, X. Low-surface-area hard carbon anode for Na-ion batteries via graphene oxide as a dehydration agent. ACS Appl. Mater. Interfaces 2015, 7, 2626–2631. [Google Scholar] [CrossRef] [PubMed]
- Borchardt, L.; Oschatz, M.; Kaskel, S. Tailoring porosity in carbon materials for supercapacitor applications. Mater. Horiz. 2014, 1, 157–168. [Google Scholar] [CrossRef]
- Wohlgemuth, S.A.; Vilela, F.; Titirici, M.M.; Antonietti, M. A one-pot hydrothermal synthesis of tunable dual heteroatom-doped carbon microspheres. Green Chem. 2012, 14, 741–749. [Google Scholar] [CrossRef]
- Su, D.S.; Perathoner, S.; Centi, G. Nanocarbons for the development of advanced catalysts. Chem. Rev. 2013, 113, 5782–5816. [Google Scholar] [CrossRef] [PubMed]
- Kowalewski, T.; Tsarevsky, N.V.; Matyjaszewski, K. Nanostructured carbon arrays from block copolymers of polyacrylonitrile. J. Am. Chem. Soc. 2002, 124, 10632–10633. [Google Scholar] [CrossRef] [PubMed]
- Lu, A.H.; Li, W.C.; Hao, G.P.; Spliethoff, B.; Bongard, H.J.; Schaack, B.B.; Schüth, F. Easy synthesis of hollow polymer, carbon, and graphitized microspheres. Angew. Chem. Int. Ed. 2010, 49, 1615–1618. [Google Scholar] [CrossRef] [PubMed]
- Qian, W.; Sun, F.; Xu, Y.; Qiu, L.; Liu, C.; Wang, S.; Yan, F. Human hair-derived carbon flakes for electrochemical supercapacitors. Energy Environ. Sci. 2014, 7, 379–386. [Google Scholar] [CrossRef]
- Li, Q.; Zhao, J.; Sun, B.; Lin, B.; Qiu, L.; Zhang, Y.; Chen, X.; Lu, J.; Yan, F. High-temperature solid-state dye-sensitized solar cells based on organic ionic plastic crystal electrolytes. Adv. Mater. 2012, 24, 945–950. [Google Scholar] [CrossRef] [PubMed]
- Adelhelm, P.; de Jongh, P.E. The impact of carbon materials on the hydrogen storage properties of light metal hydrides. J. Mater. Chem. 2011, 21, 2417–2427. [Google Scholar] [CrossRef]
- Bender, C.L.; Jache, B.; Adelhelm, P.; Janek, J. Sodiated carbon: A reversible anode for sodium-oxygen batteries and route for the chemical synthesis of sodium superoxide (NaO2). J. Mater. Chem. A 2015, 3, 20633–20641. [Google Scholar] [CrossRef]
- Zhang, P.; Gong, Y.; Li, H.; Chen, Z.; Wang, Y. Solvent-free aerobic oxidation of hydrocarbons and alcohols with PD@N-doped carbon from glucose. Nat. Commun. 2013, 4, 1593. [Google Scholar] [CrossRef] [PubMed]
- Xu, X.; Li, Y.; Gong, Y.; Zhang, P.; Li, H.; Wang, Y. Synthesis of palladium nanoparticles supported on mesoporous N-doped carbon and their catalytic ability for biofuel upgrade. J. Am. Chem. Soc. 2012, 134, 16987–16990. [Google Scholar] [CrossRef] [PubMed]
- Suh, W.H.; Kang, J.K.; Suh, Y.H.; Tirrell, M.; Suslick, K.S.; Stucky, G.D. Porous carbon produced in air: Physicochemical properties and stem cell engineering. Adv. Mater. 2011, 23, 2332–2338. [Google Scholar] [CrossRef] [PubMed]
- Paraknowitsch, J.P.; Zhang, Y.; Wienert, B.; Thomas, A. Nitrogen- and phosphorus-co-doped carbons with tunable enhanced surface areas promoted by the doping additives. Chem. Commun. 2013, 49, 1208–1210. [Google Scholar] [CrossRef] [PubMed]
- Li, S.; Qiu, L.; Shi, C.; Chen, X.; Yan, F. Water-resistant, solid-state, dye-sensitized solar cells based on hydrophobic organic ionic plastic crystal electrolytes. Adv. Mater. 2014, 26, 1266–1271. [Google Scholar] [CrossRef] [PubMed]
- Guo, J.; Yuan, C.; Guo, M.; Wang, L.; Yan, F. Flexible and voltage-switchable polymer velcro constructed using host-guest recognition between poly(ionic liquid) strips. Chem. Sci. 2014, 5, 3261–3266. [Google Scholar] [CrossRef]
- Fischer, S.; Schimanowitz, A.; Dawson, R.; Senkovska, I.; Kaskel, S.; Thomas, A. Cationic microporous polymer networks by polymerisation of weakly coordinating cations with CO2-storage ability. J. Mater. Chem. A 2014, 2, 11825–11829. [Google Scholar] [CrossRef]
- Men, Y.; Kuzmicz, D.; Yuan, J. Poly(ionic liquid) colloidal particles. Curr. Opin. Colloid Interface Sci. 2014, 19, 76–83. [Google Scholar] [CrossRef]
- Lee, J.S.; Wang, X.; Luo, H.; Baker, G.A.; Dai, S. Facile ionothermal synthesis of microporous and mesoporous carbons from task specific ionic liquids. J. Am. Chem. Soc. 2009, 131, 4596–4597. [Google Scholar] [CrossRef] [PubMed]
- Zhai, Y.; Dou, Y.; Zhao, D.; Fulvio, P.F.; Mayes, R.T.; Dai, S. Carbon materials for chemical capacitive energy storage. Adv. Mater. 2011, 23, 4828–4850. [Google Scholar] [CrossRef] [PubMed]
- Paraknowitsch, J.P.; Thomas, A.; Antonietti, M. A detailed view on the polycondensation of ionic liquid monomers towards nitrogen doped carbon materials. J. Mater. Chem. 2010, 20, 6746–6758. [Google Scholar] [CrossRef]
- Paraknowitsch, J.P.; Zhang, J.; Su, D.; Thomas, A.; Antonietti, M. Ionic liquids as precursors for nitrogen-doped graphitic carbon. Adv. Mater. 2010, 22, 87–92. [Google Scholar] [CrossRef] [PubMed]
- Soll, S.; Fellinger, T.P.; Wang, X.; Zhao, Q.; Antonietti, M.; Yuan, J. Water dispersible, highly graphitic and nitrogen-doped carbon nanobubbles. Small 2013, 9, 4135–4141. [Google Scholar] [CrossRef] [PubMed]
- Kuzmicz, D.; Prescher, S.; Polzer, F.; Soll, S.; Seitz, C.; Antonietti, M.; Yuan, J. The colloidal stabilization of carbon with carbon: Carbon nanobubbles as both dispersant and glue for carbon nanotubes. Angew. Chem. Int. Ed. 2014, 53, 1062–1066. [Google Scholar] [CrossRef] [PubMed]
- Ranjbar Sahraie, N.; Paraknowitsch, J.P.; Göbel, C.; Thomas, A.; Strasser, P. Noble-metal-free electrocatalysts with enhanced ORR performance by task-specific functionalization of carbon using ionic liquid precursor systems. J. Am. Chem. Soc. 2014, 136, 14486–14497. [Google Scholar] [CrossRef] [PubMed]
- Men, Y.; Siebenburger, M.; Qiu, X.; Antonietti, M.; Yuan, J. Low fractions of ionic liquid or poly(ionic liquid) can activate polysaccharide biomass into shaped, flexible and fire-retardant porous carbons. J. Mater. Chem. A 2013, 1, 11887–11893. [Google Scholar] [CrossRef]
- Ambrogi, M.; Men, Y.; Polzer, F.; Yuan, J. Salt-confinement enables production of nitrogen-doped porous carbons in an air oven. RSC Adv. 2014, 4, 37714–37720. [Google Scholar] [CrossRef]
- Jürgens, B.; Irran, E.; Senker, J.; Kroll, P.; Müller, H.; Schnick, W. Melem (2,5,8-triamino-tri-s-triazine), an important intermediate during condensation of melamine rings to graphitic carbon nitride: Synthesis, structure determination by X-ray powder diffractometry, solid-state nmr, and theoretical studies. J. Am. Chem. Soc. 2003, 125, 10288–10300. [Google Scholar] [CrossRef] [PubMed]
- Sehnert, J.; Baerwinkel, K.; Senker, J. Ab initio calculation of solid-state NMR spectra for different triazine and heptazine based structure proposals of g-C3N4. J. Phys. Chem. B 2007, 111, 10671–10680. [Google Scholar] [CrossRef] [PubMed]
- Yuan, J.; Mecerreyes, D.; Antonietti, M. Poly(ionic liquid)s: An update. Prog. Polym. Sci. 2013, 38, 1009–1036. [Google Scholar] [CrossRef]





| Entry | Temperature (°C) | Time (min) | SBET (m2/g) | Yield (wt %) | Nitrogen Content (wt %) |
|---|---|---|---|---|---|
| 1 | 450 | 5 | 451 | 43.7 | 21.2 |
| 2 | 450 | 10 | 635 | 30.3 | 27.1 |
| 3 | 450 | 15 | 511 | 25.6 | 29.4 |
| 4 | 450 | 20 | 481 | 24.0 | 30.5 |
| 5 | 450 | 60 | 51 | 14.4 | 33.7 |
| 6 | 450 | 120 | 76 | 5.6 | 34.4 |
| 7 | 500 | 5 | 567 | 21.0 | 28.2 |
| 8 | 600 | 5 | 701 | 9.8 | 25.7 |
| 9 | 700 | 5 | 1200 | 9.0 | 18.6 |
| 10 | 800 | 5 | 1077 | 8.8 | 15.0 |
| Entry | Material | Temperature (°C) | Time (min) | SBET (m2/g) | Yield (wt %) | N (wt %) |
|---|---|---|---|---|---|---|
| 11 | PIL | 450 | 5 | 33 | 57.9 | 13.2 |
| 12 | PIL | 450 | 6 | 174 | 48.1 | 14.8 |
| 13 | PIL | 450 | 10 | 749 | 30.4 | 19.0 |
| 14 | PIL | 700 | 5 | 879 | 13.5 | 13.6 |
| 15 | PIL | 800 | 5 | 955 | 11.8 | 8.8 |
| 16 | cotton-PIL (0) [a] | 450 | 5 | - | 0 | 0 |
| 17 | cotton-PIL (5) | 450 | 5 | 410 | 3.8 | 6.9 |
| 18 | cotton-PIL (10) | 450 | 5 | 575 | 9.6 | 8.8 |
| 19 | cotton-PIL (15) | 450 | 5 | 595 | 12.6 | 11.0 |
| 20 | cotton-PIL (15) | 450 | 10 | 517 | 6.5 | 13.3 |
| 21 | cotton-PIL (30) | 450 | 5 | 719 | 17.6 | 13.1 |
| 22 | cotton-PIL (30) | 450 | 10 | 525 | 10.3 | 12.9 |
© 2016 by the authors; licensee MDPI, Basel, Switzerland. This article is an open access article distributed under the terms and conditions of the Creative Commons by Attribution (CC-BY) license (http://creativecommons.org/licenses/by/4.0/).
Share and Cite
Men, Y.; Ambrogi, M.; Han, B.; Yuan, J. Fast Conversion of Ionic Liquids and Poly(Ionic Liquid)s into Porous Nitrogen-Doped Carbons in Air. Int. J. Mol. Sci. 2016, 17, 532. https://doi.org/10.3390/ijms17040532
Men Y, Ambrogi M, Han B, Yuan J. Fast Conversion of Ionic Liquids and Poly(Ionic Liquid)s into Porous Nitrogen-Doped Carbons in Air. International Journal of Molecular Sciences. 2016; 17(4):532. https://doi.org/10.3390/ijms17040532
Chicago/Turabian StyleMen, Yongjun, Martina Ambrogi, Baohang Han, and Jiayin Yuan. 2016. "Fast Conversion of Ionic Liquids and Poly(Ionic Liquid)s into Porous Nitrogen-Doped Carbons in Air" International Journal of Molecular Sciences 17, no. 4: 532. https://doi.org/10.3390/ijms17040532
APA StyleMen, Y., Ambrogi, M., Han, B., & Yuan, J. (2016). Fast Conversion of Ionic Liquids and Poly(Ionic Liquid)s into Porous Nitrogen-Doped Carbons in Air. International Journal of Molecular Sciences, 17(4), 532. https://doi.org/10.3390/ijms17040532
