Exploring the Effects of Omega-3 and Omega-6 Fatty Acids on Allergy Using a HEK-Blue Cell Line
Abstract
:1. Introduction
2. Results
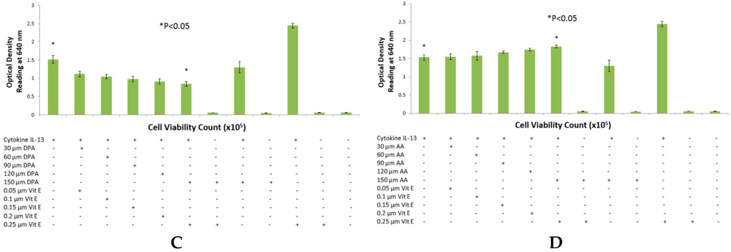
2.1. HEK-Blue Cell Viability Test Using Cytokines IL-4 and IL-13



2.2. HEK-Blue Time Course with Fatty Acid and Vitamin E Treatment



3. Discussion
4. Materials and Methods
4.1. Cell Culture, PUFA and Vitamin E Reagents and Buffers
4.2. HEK-Blue Cell Viability Test Using Cytokines IL-4 and IL-13
4.3. Time-Course Assay Using Cytokine IL-4 and IL-13
4.4. Statistical Analysis
5. Conclusions
Acknowledgments
Author Contributions
Conflicts of Interest
References
- Arshad, S.H. Primary prevention of asthma and allergy. J. Allergy Clin. Immunol. 2005, 116, 3–14. [Google Scholar] [CrossRef] [PubMed]
- Gergen, P.J. Understanding the economic burden of asthma. J. Allergy Clin. Immunol. 2001, 107, S445–S448. [Google Scholar] [CrossRef] [PubMed]
- Lepski, S.; Brockmeyer, J. Impact of dietary factors and food processing on food allergy. Mol. Nutr. Food Res. 2013, 57, 145–152. [Google Scholar] [CrossRef] [PubMed]
- Tedeschi, A.; Barcella, M.; Dal Bo, G.A.; Miadonna, A. Onset of allergy and asthma symptoms in extra-European immigrants to Milan, Italy: Possible role of environmental factors. Clin. Exp. Allergy 2003, 33, 449–454. [Google Scholar] [CrossRef] [PubMed]
- Wang, D.Y. Risk factors of allergic rhinitis: Genetic or environmental? Ther. Clin. Risk Manag. 2005, 1, 115–123. [Google Scholar] [CrossRef] [PubMed]
- Graham-Rowe, D. Lifestyle: When allergies go west. Nature 2011, 479, S2–S4. [Google Scholar] [CrossRef]
- Klemens, C.M.; Berman, D.R.; Mozurkewich, E.L. The effect of perinatal omega-3 fatty acid supplementation on inflammatory markers and allergic diseases: A systematic review. Int. J. Obstet. Gynaecol. 2011, 118, 916–925. [Google Scholar] [CrossRef] [PubMed]
- Blumer, N.; Renz, H. Consumption of omega3-fatty acids during perinatal life: Role in immuno-modulation and allergy prevention. J. Perinat. Med. 2007, 35, S12–S18. [Google Scholar] [CrossRef] [PubMed]
- Simopoulos, A.P. Omega-3 fatty acids in inflammation and autoimmune diseases. J. Am. Coll. Nutr. 2002, 21, 495–505. [Google Scholar] [CrossRef] [PubMed]
- Dunstan, J.A.; Mori, T.A.; Barden, A.; Beilin, L.J.; Taylor, A.L.; Holt, P.G.; Prescott, S.L. Fish oil supplementation in pregnancy modifies neonatal allergen-specific immune responses and clinical outcomes in infants at high risk of atopy: A randomized, controlled trial. J. Allergy Clin. Immunol. 2003, 112, 1178–1184. [Google Scholar] [CrossRef] [PubMed]
- Furuhjelm, C.; Warstedt, K.; Larsson, J.; Fredriksson, M.; Böttcher, M.F.; Fälth-Magnusson, K.; Duchén, K. Fish oil supplementation in pregnancy and lactation may decrease the risk of infant allergy. Acta Paediatr. 2009, 98, 1461–1467. [Google Scholar] [CrossRef] [PubMed]
- Lauritzen, L.; Kjær, T.M.R.; Fruekilde, M.-B.; Michaelsen, K.F.; Frøkiær, H. Fish oil supplementation of lactating mothers affects cytokine production in 2 1/2-year-old children. Lipids 2005, 40, 669–676. [Google Scholar] [CrossRef] [PubMed]
- Gottrand, F. Long-chain polyunsaturated fatty acids influence the immune system of infants. J. Nutr. 2008, 138, 1807s–1812s. [Google Scholar] [PubMed]
- Burks, A.W.; Tang, M.M.; Sicherer, S.; Muraro, A.; Eigenmann, P.A.; Ebisawa, M.; Fiocchi, A.; Chiang, W.; Beyer, K.; Wood, R. ICON: Food allergy. J. Allergy Clin. Immunol. 2012, 129, 906–920. [Google Scholar] [CrossRef] [PubMed]
- Ngoc, P.L.; Gold, D.R.; Tzianabos, A.O.; Weiss, S.T.; Celedón, J.C. Cytokines, allergy, and asthma. Curr. Opin. Allergy Clin. Immunol. 2005, 5, 161–166. [Google Scholar] [CrossRef] [PubMed]
- Weise, C.; Hilt, K.; Milovanovica, M.; Ernst, D.; Rühl, R.; Worm, M. Inhibition of IgE production by docosahexaenoic acid is mediated by direct interference with STAT6 and NFkappaB pathway in human B cells. J. Nutr. Biochem. 2011, 22, 269–275. [Google Scholar] [CrossRef] [PubMed]
- West, C.E.; Videky, D.J.; Prescott, S.L. Role of diet in the development of immune tolerance in the context of allergic disease. Curr. Opin. Pediatr. 2010, 22, 635–641. [Google Scholar] [CrossRef] [PubMed]
- Kremmyda, L.S.; Vlachava, M.; Noakes, P.S.; Diaper, N.D.; Miles, E.A.; Calder, P.C. Atopy risk in infants and children in relation to early exposure to fish, oily fish, or long-chain omega-3 fatty acids: A systematic review. Clin. Rev. Allergy Immunol. 2011, 41, 36–66. [Google Scholar] [CrossRef] [PubMed]
- Shek, L.P.; Chong, M.F.-F.; Lim, J.Y.; Soh, S.E.; Chong, Y.S. Role of Dietary Long-Chain Polyunsaturated Fatty Acids in Infant Allergies and Respiratory Diseases. Clin. Dev. Immunol. 2012, 2012, 8. [Google Scholar] [CrossRef] [PubMed]
- Van den Elsen, L.; Garssen, L.J.; Willemsen, L. Long chain N-3 polyunsaturated fatty acids in the prevention of allergic and cardiovascular disease. Curr. Pharm. Des. 2012, 18, 2375–2392. [Google Scholar] [CrossRef] [PubMed]
- Rosell, M.S.; Lloyd-Wright, Z.; Appleby, P.N.; Sanders, T.A.B.; Allen, N.E.; Key, T.J. Long-chain n-3 polyunsaturated fatty acids in plasma in British meat-eating, vegetarian, and vegan men. Am. J. Clin. Nutr. 2005, 82, 327–334. [Google Scholar] [PubMed]
- Johansson, S.; Wold, A.E.; Sandberg, A.S. Low breast milk levels of long-chain n-3 fatty acids in allergic women, despite frequent fish intake. Clin. Exp. Allergy 2011, 41, 505–515. [Google Scholar] [CrossRef] [PubMed]
- Kull, I.; Bergström, A.; Lilja, G.; Pershagen, G.; Wickman, M. Fish consumption during the first year of life and development of allergic diseases during childhood. Allergy 2006, 61, 1009–1015. [Google Scholar] [CrossRef] [PubMed]
- Alm, B.; Åberg, N.; Erdes, L.; Möllborg, P.; Pettersson, R.; Norvenius, S.G.; Goksör, E.; Wennergren, G. Early introduction of fish decreases the risk of eczema in infants. Arch. Dis. Child. 2009, 94, 11–15. [Google Scholar] [CrossRef] [PubMed]
- Kis, L.L.; Gerasimčik, N.; Salamon, D.; Persson, E.K.; Nagy, N.; Klein, G.; Severinson, E.; Klein, E. STAT6 signaling pathway activated by the cytokines IL-4 and IL-13 induces expression of the Epstein-Barr virus–encoded protein LMP-1 in absence of EBNA-2: Implications for the type II EBV latent gene expression in Hodgkin lymphoma. Blood 2011, 117, 117165–117174. [Google Scholar] [CrossRef] [PubMed]
- Van Meter, A.R.; Ehringer, W.D.; Stillwell, W.; Blumenthal, E.J.; Jenski, L.J. Aged lymphocyte proliferation following incorporation and retention of dietary omega-3 fatty acids. Mech. Ageing Dev. 1994, 75, 95–114. [Google Scholar] [CrossRef]
- Koch, C.; Dölle, S.; Metzger, M.; Rasche, C.; Jungclas, H.; Rühl, R.; Renz, H.; Worm, M. Docosahexaenoic acid (DHA) supplementation in atopic eczema: A randomized, double-blind, controlled trial. Br. J. Dermatol. 2008, 158, 786–792. [Google Scholar] [CrossRef] [PubMed]
- Zhou, L.; Nilsson, A. Sources of eicosanoid precursor fatty acid pools in tissues. J. Lipid Res. 2001, 42, 1521–1542. [Google Scholar] [PubMed]
- Simopoulos, A.P. Essential fatty acids in health and chronic disease. Am. J. Clin. Nutr. 1999, 70, 560s–569s. [Google Scholar] [PubMed]
- Pla, A.F.; Grange, C.; Antoniotti, S.; Tomatis, C.; Merlino, A.; Bussolati, B.; Munaron, L. Arachidonic Acid–Induced Ca2+ Entry Is Involved in Early Steps of Tumor Angiogenesis. Mol. Cancer Res. 2008, 6, 535–545. [Google Scholar] [CrossRef] [PubMed]
- Inagaki, N.; Nagai, H.; Koda, A. Effect of vitamin E on IgE antibody formation in mice. J. Pharmacobiodyn. 1984, 7, 70–74. [Google Scholar] [CrossRef] [PubMed]
- Tsoureli-Nikita, E.; Hercogova, J.; Lotti, T.; Menchini, G. Evaluation of dietary intake of vitamin E in the treatment of atopic dermatitis: A study of the clinical course and evaluation of the immunoglobulin E serum levels. Int. J. Dermatol. 2002, 41, 146–150. [Google Scholar] [CrossRef] [PubMed]
- Stubbs, C.D.; Smith, A.D. The modification of mammalian membrane polyunsaturated fatty acid composition in relation to membrane fluidity and function. Biochim. Biophys. Acta 1984, 779, 89–137. [Google Scholar] [CrossRef]
- Graber, R.; Sumida, C.; Nunez, E.A. Fatty acids and cell signal transduction. J. Lipid Mediat. Cell Signal. 1994, 9, 91–116. [Google Scholar] [PubMed]
- Monick, M.M.; Robeff, P.K.; Butler, N.S.; Flaherty, D.M.; Flaherty, A.B.; Peterson, M.W.; Hunninghake, G.W. Phosphatidylinositol 3-kinase activity negatively regulates stability of cyclooxygenase 2 mRNA. J. Biol. Chem. 2002, 277, 32992–33000. [Google Scholar] [CrossRef] [PubMed]
- Miles, E.A.; Aston, L.; Calder, P.C. In vitro effects of eicosanoids derived from different 20-carbon fatty acids on T helper type 1 and T helper type 2 cytokine production in human whole-blood cultures. Clin. Exp. Allergy 2003, 33, 624–632. [Google Scholar] [CrossRef] [PubMed]
- Bagga, D.; Wang, L.; Farias-Eisner, R.; Glaspy, J.A.; Reddy, S.T. Differential effects of prostaglandin derived from ω-6 and ω-3 polyunsaturated fatty acids on COX-2 expression and IL-6 secretion. Proc. Natl. Acad. Sci. USA 2003, 100, 1751–1756. [Google Scholar] [CrossRef] [PubMed]
- Adegboyega, P.A.; Ololade, O. Immunohistochemical expression of cyclooxygenase-2 in normal kidneys. Appl. Immunohistochem. Mol. Morphol. 2004, 12, 71–74. [Google Scholar] [CrossRef] [PubMed]
- Harris, R.C. Cyclooxygenase-2 in the Kidney. J. Am. Soc. Nephrol. 2000, 11, 2387–2394. [Google Scholar] [PubMed]
- Fedyk, E.R.; Phipps, R.P. Prostaglandin E2 receptors of the EP2 and EP4 subtypes regulate activation and differentiation of mouse B lymphocytes to IgE-secreting cells. Proc. Natl. Acad. Sci. USA 1996, 93, 10978–10983. [Google Scholar] [CrossRef] [PubMed]
© 2016 by the authors; licensee MDPI, Basel, Switzerland. This article is an open access article distributed under the terms and conditions of the Creative Commons by Attribution (CC-BY) license (http://creativecommons.org/licenses/by/4.0/).
Share and Cite
Ahmed, N.; Barrow, C.J.; Suphioglu, C. Exploring the Effects of Omega-3 and Omega-6 Fatty Acids on Allergy Using a HEK-Blue Cell Line. Int. J. Mol. Sci. 2016, 17, 220. https://doi.org/10.3390/ijms17020220
Ahmed N, Barrow CJ, Suphioglu C. Exploring the Effects of Omega-3 and Omega-6 Fatty Acids on Allergy Using a HEK-Blue Cell Line. International Journal of Molecular Sciences. 2016; 17(2):220. https://doi.org/10.3390/ijms17020220
Chicago/Turabian StyleAhmed, Nayyar, Colin J. Barrow, and Cenk Suphioglu. 2016. "Exploring the Effects of Omega-3 and Omega-6 Fatty Acids on Allergy Using a HEK-Blue Cell Line" International Journal of Molecular Sciences 17, no. 2: 220. https://doi.org/10.3390/ijms17020220
APA StyleAhmed, N., Barrow, C. J., & Suphioglu, C. (2016). Exploring the Effects of Omega-3 and Omega-6 Fatty Acids on Allergy Using a HEK-Blue Cell Line. International Journal of Molecular Sciences, 17(2), 220. https://doi.org/10.3390/ijms17020220
