Abstract
For quantitative microRNA analyses in formalin-fixed paraffin-embedded (FFPE) tissue, expression levels have to be normalized to endogenous controls. To investigate the most stably-expressed microRNAs in breast cancer and its surrounding tissue, we used tumor samples from primary tumors and from metastatic sites. MiRNA profiling using TaqMan® Array Human MicroRNA Cards, enabling quantification of 754 unique human miRNAs, was performed in FFPE specimens from 58 patients with metastatic breast cancer. Forty-two (72%) samples were collected from primary tumors and 16 (28%) from metastases. In a cross-platform analysis of a validation cohort of 32 FFPE samples from patients with early breast cancer genome-wide microRNA expression analysis using SurePrintG3 miRNA (8 × 60 K)® microarrays from Agilent® was performed. Eleven microRNAs could be detected in all samples analyzed. Based on NormFinder and geNorm stability values and the high correlation (rho ≥ 0.8) with the median of all measured microRNAs, miR-16-5p, miR-29a-3p, miR-126-3p, and miR-222-3p are suitable single gene housekeeper candidates. In the cross-platform validation, 29 human microRNAs were strongly expressed (mean log2-intensity > 10) and 21 of these microRNAs including miR-16-5p and miR-29a-3p were also stably expressed (CV < 5%). Thus, miR-16-5p and miR-29a-3p are both strong housekeeper candidates. Their Normfinder stability values calculated across the primary tumor and metastases subgroup indicate that miR-29a-3p can be considered as the strongest housekeeper in a cohort with mainly samples from primary tumors, whereas miR-16-5p might perform better in a metastatic sample enriched cohort.
1. Introduction
MicroRNAs are small, approximately 22 nucleotides long non-coding single-stranded RNAs, regulating gene expression at a post-transcriptional level. The human genome may encode more than 1000 microRNAs and approximately 60% of human genes are regulated by microRNAs thereby controlling cell proliferation, apoptosis, differentiation and angiogenesis [1]. Consequently, microRNAs can play a distinct role in tumorigenesis and altered microRNA expression profiles were described in different malignancies [2]. MicroRNA genes are frequently (more than 50%) located in cancer-associated fragile regions and break points of the DNA [3]. Generally, microRNAs act as tumor suppressors, which negatively regulate oncogenes, genes that promote cell proliferation, as well as genes that inhibit cell division [4,5].
MicroRNA expression analysis can be performed by semi-quantitative methods like Northern blotting [6], bead-based flow-cytometry [7] and hybridization with locked nucleic acid probes (arrays). Hybridization platforms are commercially available from Affimetrix® and Agilent® (SurePrint Human miRNA Microarray platform) [8,9].
For a quantitative reproducible microRNA expression profiling, real-time quantitative PCR (qPCR) has become the method of choice. High-throughput microRNA profiling qPCR plattforms from several companies (Exiqon, Life Technology—TaqMan® microRNA array, Quiagen, Quanta BioSciences, and WaferGen) are available. Next generation sequencing, in particular small RNA-seq, can also be performed for quantitative microRNA expression profiling, but these methods are mainly used for discovery applications. In addition, a hybridization technique with tagged probes in solution (nCounter from Nanostring®) can be used for quantitative microRNA analysis [9,10,11].
A cross-platform comparison of microRNA expression results should be interpreted with caution, because there is a discordance of expression levels between different available qPCR, hybridization, and sequencing platforms. In a quality control study comparing expression results of 12 available commercial platforms, the average concordance between any two platforms was 86.7% (95% CI, 86.0%–87.3%). When the detection rate was taken into account, the concordance dropped to 79.2% (95% CI, 77.0%–80.4%). Furthermore, accuracy, reproducibility, specificity and sensitivity varied between different platforms. The authors concluded that each application has its strengths and weaknesses, and the selection of a microRNA platform should depend on study goals [12].
For quantification, raw expression levels have to be normalized to reduce false positive or negative data values due to variations in pre-analytic and analytic procedures, and especially due to biological variations [11].
Several microRNA expression data normalization strategies have been postulated [11]:
- (1)
- Raw expression levels can be normalized to endogenous controls like housekeeping genes (microRNAs). These are expected to show small variation and high correlation to the mean (median) of all measured microRNAs, because the majority of microRNAs are not changing and mean normalization might be appropriate. The difference (ΔCq) between the PCR-derived cycle threshold (Cq) of the target microRNA and the Cq value of the endogenous control is used for relative microRNA quantification [13]. There is currently no consent on suitable endogenous controls for microRNA profiling from FFPE tissue. For Taqman® human microRNA cards, the small nuclear RNA (snRNA) U6 and the small nucleolar RNAs (snoRNAs) RNU44 and RNU48 are recommended as endogenous controls based on healthy tissue and tumor cell line studies (NCI-60). However, these small RNAs have different biological und biochemical characters [14] compared to microRNAs and extraction quality, reverse transcription and PCR amplification may differ also from that of microRNAs [14,15]. Since normalization to small RNAs could therefore introduce bias, endogenous controls belonging to the same class of RNAs are likely more suitable housekeepers. In a comprehensive study by Davoren et al., eight small RNAs previously described as endogenous controls for microRNA analysis in malignant tissue were analyzed in malignant, benign and healthy breast tissue [16]. Out of three snoRNAs (RNU19, RNU48 and Z30) and five microRNAs (let-7a-5p, miR-10b-5p, miR-16-5p, miR-21-5p, and miR-26b-5p), let-7a-5p and miR-16-5p were identified as the most stably expressed RNA pair.
- (2)
- A further normalization strategy is to normalize to an exogenous spike-in reference gene, which can be introduced at different analysis steps. The C. elegans microRNA cel-miR-39 [17,18] is the most frequently used non-human microRNA for this purpose. This method adjusts deviation in the environmental process but does not correct for variances in sampling and sample quality. Therefore, normalization to a spike-in control has its strengths in quality control and calibration, but is limited in comparative microRNA expression analysis [11].
- (3)
- Absolute normalization of expression levels by calculating absolute concentrations on the basis of calibration curves does not consider the influence of RNA quality. Therefore, this method is not optimal for quantification of microRNA and is only feasible for samples with a good RNA quality [11].
As microRNA expression analyses of FFPE cancer tissue without microdissection are influenced by the microenvironment, and surrounding tissue normalization to endogenous controls can be considered as standard procedure in cancer research. In this study, we investigated the most stably-expressed microRNA in breast cancer tissues from primary and metastatic sites.
2. Results
Eleven microRNAs (Table 1) could be detected in all 58 samples from primary tumor and metastatic sites. Four of these microRNAs (miR-16-5p, miR-29a-3p miR-126-3p, miR-222-3p) showed also a high correlation with the median of all measured microRNAs (Spearman rank correlation rho ≥ 0.8) (Table S1, Supplementary Material).
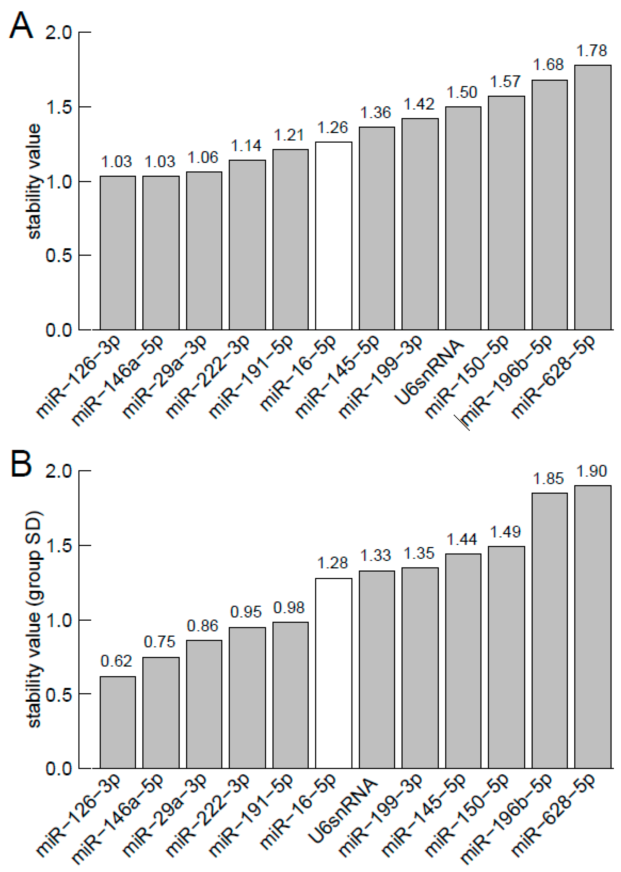
The small nuclear RNA U6 (snU6), an endogenous control on TaqMan® Array Human MicroRNA Cards, was consistently expressed across all samples (coefficient of variation CV = 11.7%). The identified microRNAs showed even more consistent expression levels with a CV from 5.5% to 10.8%. Gene stability values according to geNorm analysis [19,20] and NormFinder [21], with lower values indicating increased gene stability across samples, were also lower for most of the eleven microRNA housekeeper candidates compared to snU6 (Figure 1A, Figure 1B, Table 1, Tables S2 and S3 (Supplementary Material)). NormFinder stability values calculated across the primary tumor and metastasis subgroup, showed highest gene stability for miR-16-5p in the metastasis subgroup and for miR-126-3p in the primary tumor subgroup. As illustrated by boxplots (Figure 2 for miR-16-5p, miR-29a-3p miR-126-3p, miR-222-3p and Figure S1 (Supplementary Material) for all other housekeeper candidates), median Ct-values of miR-16-5p were most consistent between different subgroups (i.e., primary tumor, metastasis, hormone receptor positive, HER2 positive, triple negative). Out of the 12 candidates miR-222-3p (p = 0.008) and miR-146a-5p (p = 0.006) showed even significant different expression between the breast cancer subtypes (Table S4, Supplementary Material).
Using geNorm, the most reliable combination of different microRNAs as endogenous controls was determined by a stepwise procedure. Where microRNAs are sequentially included into the normalization factor according to their increasing stability value (M-value), a pairwise variation between normalization factors consisting of a different number of housekeeper candidates was calculated. A combination of six microRNAs (miR-126-3p, miR-146a-5p, miR-29a-3p, miR-222-3p, miR-191-5p and miR-16-5p) seems to be most reliable for normalization according to this analysis. When using a combination of two microRNAs, miR-126-3p and miR-146a-5p showing an average expression stability M of 1.02 performed best. Detailed data of this geNorm analysis are provided in Table S3 and Figure S2 (Supplementary Material).
Based on NormFinder and geNorm stability values and the high correlation (rho ≥ 0.8) with the median of all measured microRNAs, miR-16-5p, miR-29a-3p miR-126-3p and miR-222-3p are suitable single gene housekeeper candidates.
Table 1.
MicroRNA expressions of housekeeper candidates.
| MicroRNA | Mean | Median | SD | CV (%) | Rho | BRCA * | geNorm | NormFinder ** | ||
|---|---|---|---|---|---|---|---|---|---|---|
| CV (%) | M | All | Prim | Metas | ||||||
| hsa-miR-222-3p | 26.97 | 26.77 | 2.13 | 7.88 | 0.86 | 21.6 | 1.14 | 0.95 | 0.63 | 1.29 |
| hsa-miR-16-5p | 25.70 | 24.84 | 2.78 | 10.80 | 0.83 | 9.3 | 1.26 | 1.28 | 1.42 | 0.61 |
| hsa-miR-126-3p | 25.17 | 24.70 | 2.08 | 8.26 | 0.80 | 9.6 | 1.03 | 0.62 | 0.50 | 0.86 |
| hsa-miR-29a-3p | 27.46 | 27.23 | 2.12 | 7.73 | 0.80 | 6.0 | 1.06 | 0.86 | 0.80 | 1.02 |
| hsa-miR-146a-5p | 27.82 | 27.54 | 2.00 | 7.18 | 0.76 | 20.3 | 1.03 | 0.75 | 0.67 | 0.93 |
| hsa-miR-191-5p | 25.21 | 24.68 | 2.42 | 9.60 | 0.71 | 10.8 | 1.21 | 0.98 | 1.06 | 0.74 |
| U6snRNA | 19.14 | 18.76 | 2.24 | 11.73 | 0.69 | – | 1.50 | 1.33 | 1.48 | 0.87 |
| hsa-miR-199-3p | 28.68 | 28.50 | 2.33 | 8.13 | 0.68 | 8.9 | 1.42 | 1.35 | 1.31 | 1.48 |
| hsa-miR-628-5p | 33.16 | 33.17 | 1.83 | 5.52 | 0.64 | 34.4 | 1.78 | 1.90 | 1.98 | 1.51 |
| hsa-miR-145-5p | 27.59 | 27.18 | 2.47 | 8.95 | 0.60 | 10.4 | 1.36 | 1.44 | 1.48 | 1.35 |
| hsa-miR-150-5p | 27.94 | 27.80 | 2.23 | 7.98 | 0.58 | 20.4 | 1.57 | 1.49 | 1.44 | 1.62 |
| hsa-miR-196b-5p | 31.63 | 31.62 | 2.03 | 6.43 | 0.50 | 20.4 | 1.68 | 1.85 | 1.49 | 1.84 |
SD: standard deviation; CV: coefficient of variation; rho: Spearman rank correlation, microRNAs with a rho ≥ 0.8 are greyed out; M: average expression stability value; PRIM: primary tumor; METAS: Metastasis; ALL: all 58 patients; * microRNAseq data of the The Cancer Genome Atlas (TCGA) breast adenocarcinoma (BRCA) analysis (including 755 patients); ** Stability values from NormFinder analysis are given based on the estimated intragroup variance for the given group.
Figure 1.
miRNA/ncRNA expression stability by geNorm (A) and NormFinder (B). (A) Average expression stability value M, excluding the given microRNA in a stepwise procedure, thereby ranking from the least stable control candidate right to most stable control right; (B) Stability values for the 12 control candidates gives an estimation of the intragroup variance (only one combined group is considered) ranked from the most stable (left) to the least stable candidate (right).
Figure 1.
miRNA/ncRNA expression stability by geNorm (A) and NormFinder (B). (A) Average expression stability value M, excluding the given microRNA in a stepwise procedure, thereby ranking from the least stable control candidate right to most stable control right; (B) Stability values for the 12 control candidates gives an estimation of the intragroup variance (only one combined group is considered) ranked from the most stable (left) to the least stable candidate (right).

Figure 2.
Boxplots of miRNA expression of selected housekeeper candidates per subgroup. METS: samples derived from metastasis; PRIM: samples derived from primary; HER2+: HER2 positive; HR+: hormone receptor positive; TNBC: triple negative breast cancer.
Figure 2.
Boxplots of miRNA expression of selected housekeeper candidates per subgroup. METS: samples derived from metastasis; PRIM: samples derived from primary; HER2+: HER2 positive; HR+: hormone receptor positive; TNBC: triple negative breast cancer.

Cross-Platform Validation
Based on a mean log2-intensity >10 (corresponding to a signal intensity of >1024), 29 human microRNAs could be filtered. Twenty-one of these microRNAs showed a coefficient of variation <5%. Ten of these miRNAs can be also found on TaqMan Human MicroRNA array A and B Cards Set v3.0 (Table 2), and two of them (miR-16-5p and miR-29a-3p) were also selected as well-suited endogenous candidates as described above (Table 1).
Table 2.
MicroRNA expressions of validation cohort.
| MicroRNA * | Mean | SD | CV (%) |
|---|---|---|---|
| hsa-let-7f | 11.55 | 0.30 | 2.56 |
| hsa-miR-638 | 11.68 | 0.38 | 3.23 |
| hsa-let-7g | 10.49 | 0.35 | 3.38 |
| hsa-let-7i | 10.34 | 0.37 | 3.62 |
| hsa-miR-26a | 10.09 | 0.37 | 3.67 |
| hsa-let-7a | 12.43 | 0.46 | 3.70 |
| hsa-miR-16-5p | 11.01 | 0.41 | 3.74 |
| hsa-miR-494 | 13.88 | 0.53 | 3.85 |
| hsa-miR-23a-3p | 10.43 | 0.44 | 4.22 |
| hsa-miR-29a-3p | 10.23 | 0.44 | 4.34 |
SD: standard deviation; CV: coefficient of variation, microRNAs with a high correlation with the median of all measured microRNAs (rho ≥ 0.8) in the main cohort are greyed out; * present also on TaqMan Human MicroRNA array A and B Cards Set v3.0.
3. Discussion
Due to their diagnostic, prognostic and predictive potential in cancer research, there is an increasing amount of published microRNA studies. Besides expression analysis from tumor tissue (FFPE or fresh frozen samples), biomarker studies of circulating microRNAs in the blood are frequently conducted. Since the stability of microRNAs is insusceptible to changes of pH, temperature and mechanical influences as well as resistant to RNase and freeze-thaw cycles, their detection in body fluids is feasible [22].
In cancer research, microRNA analyses are in general performed with RNA derived from a cellular mixture and not from micro-dissected or sorted cells. Tumor tissue and, in particular, metastatic lesions of solid tumors, represent a composition of different cells: cancer cells, cells belonging to the so-called tumor microenvironment (blood vessels, immune cells, fibroblasts, etc.) and cells from adjacent healthy tissue [23]. Furthermore, the cellular content and the genetic profile varies between different metastatic sites and the primary tumor but also between different sections of a solid tumor or metastatic lesion [24]. Because of this inter- and intra-tumor heterogeneity, expression normalization for comparative microRNA analysis is crucial, not only for inter-patient, but also for intra-patient comparisons.
In breast cancer patients, metastatic disease is not always histologically confirmed. This is often the case in patients with synchronous metastases where, outside of clinical trials, such sampling at multiple sites would not seem justified as well as in patients with metachronous disease, if biopsies would appear dangerous, without chance of adequate yield, or unnecessary due to clinical reasons. Hence, for breast cancer, simultaneously collected paired samples from primary and different metastatic sites are rarely available. To our knowledge, the present study is the first analysis of the most stably-expressed microRNA in breast cancer tissues from primary and metastatic sites.
In our study, 11 out of 754 microRNAs were detected in all 58 samples analyzed. Expression levels of four of these microRNAs (miR-16-5p, miR-29a-3p, miR-126-3p, and miR-222-3p) showed also a high correlation with the median of all measured microRNAs (rho ≥ 0.8) and, therefore, might be well suited as endogenous controls. These microRNAs also showed low stability values, as determined by geNorm (1.03–1.26) and NormFinder (0.62–1.28), two commonly used tools for analysis of housekeeper candidate stability.
Despite the stable expression of miR-16-5p, miR-29a-3p miR-126-3p, and miR-222-3p in our patient cohort, these microRNAs have distinct functions in breast cancer. In a microRNA expression profiling of 20 different breast cancer samples, representing common breast cancer phenotypes, an association with HER2, estrogen (ER) and progesterone receptor (PR) status was shown [25]. miR-126-3p expression was associated with HER2 status and miR-222-3p expression with PR status. In contrast, miR-16-5p and miR-29a-3p expressions were independent of HER2, ER, and PR status. Additionally, miR-126-3p was differentially expressed between luminal A and luminal B intrinsic subtypes in a microRNA expression analysis of 93 primary human breast tumors [26]. In a case study of 456 triple negative breast cancer (TNBC) patients, high levels of miR-126p-3b were independently associated with favorable outcomes [27]. In another study of 173 TNBC patients, a microRNA signature including miR-16-5p was associated with prognosis [28]. An up-regulation of miR-126-3p was associated with a favorable outcome in ER positive tumors of 87 breast cancer patients [29]. Especially altered expression of miR-29a-3p, miR-126-3p, and miR-222-3p, but also of miR-16-5p can be involved in breast cancer development, tumor spread, proliferation and drug resistance (Table 3). Furthermore, miR-16-5p has been identified as regulator of osteolytic bone metastasis [30]. In our dataset, miR-16-5p was the most consistent expressed housekeeper candidate between different subtypes (i.e., hormone receptor positive, HER2 positive, triple negative) as illustrated by a boxplot (Figure 2).
Table 3.
Targets and functions in breast cancer of housekeeper candidates.
| MicroRNA | Variation * | Targets | Function | References |
|---|---|---|---|---|
| miR-16-5p | down-regulated | FEAT (faint expression in normal tissues, aberrant overexpression in tumors) | Tumor, suppressor | [31,32,33] |
| CCND1 (Cyclin D1) | ||||
| BCL2 (B-cell lymphoma 2) | ||||
| RPS6KB1 (Ribosomal protein S6) | ||||
| miR-29a-3p | up-regulated | TTP (tristetraprolin) | MetastamiR, OncomiR (drug resistance) | [34,35] |
| PTEN | ||||
| miR-126-3p | down-regulated | VEGF | Tumor, suppressor, MetastamiR | [36,37,38,39,40,41] |
| PIK3R2 (phosphoinositide-3-kinase regulatory subunit 2) | ||||
| IRS-1 (Insulin receptor substrate 1) | ||||
| adapter molecule Crk | ||||
| SDF-1α (stromal cell-derived factor-1 alpha) | ||||
| KRAS | ||||
| miR-222-3p | up-regulated | ERα | OncomiR (drug resistance) | [35,42,43] |
| p27Kip1 (cyclin-dependent kinase inhibitor 1B) | ||||
| p57 (cyclin-dependent kinase inhibitor 1C) | ||||
| TIMP3 (tissue inhibitor of metalloproteinase-3) |
* As compared with normal tissue or parental cell lines in case of preclinical data.
miR-16 has been previously described as a stable endogenous control for microRNA expression analysis from breast cancer tissue [16], but also from blood samples [44,45]. In 21 malignant, five benign and five normal breast tissue samples, an expression analysis of five microRNAs (let-7a, miR-10b, miR-16, miR-21 and miR-26b) and three snoRNAs (RNU19, RNU48 and Z30) was performed. Let-7a and miR-16-5p were most stably expressed with stability values of 0.312 and 0.379 using NormFinder and 1.327 and 1.473 using geNorm, respectively. The combination of let-7a and miR-16-5p achieved lowest stability values of 0.221 using NormFinder and 0.978 using geNorm [16].
miR-16-5p and miR-29a-3p are both strong housekeeper candidates. Taking consistency of median expression between different breast cancer subgroups, the low stability value (NormFinder) of the metastasis subgroup, as well as the stable expression of miR-16-5p on TaqMan® Array Human MicroRNA Cards and on SurePrintG3 Human miRNA microarrays from Agilent® in our analysis, and a stable expression in the TCGA dataset into account, miR-16-5p seems to be the most suitable endogenous control for microRNA expression in a metastatic sample enriched cohort. In a cohort of mainly samples from primary tumors, miR-29a-3p can be considered as the strongest housekeeper due to the low stability value (NormFinder) in the primary tumor subgroup.
4. Experimental Section
4.1. Patients and Study Design
Patients with metastatic breast cancer treated at our institution between 2006 and 2012 with first-line chemotherapy were identified for a predictive biomarker analysis for a bevacizumab response [46]. All 58 patients of the mentioned ongoing biomarker study, in whom a genome-wide microRNA profiling was performed, were included in this housekeeper analysis. Patient characteristics are shown in Table 4.
In another ongoing study, a genome-wide microRNA expression analysis using SurePrintG3 Human miRNA (8 × 60 K)® microarrays from Agilent® was performed in 32 patients with early breast cancer who had a radiotherapy after breast conserving surgery at the Department of Radiotherapy of the Paracelsus Medical University Salzburg. Expression data of those samples serve as a cross-platform validation for the present housekeeper analysis.
Table 4.
Patient characteristics.
| Characteristic | N | % | |
|---|---|---|---|
| Histology | Ductal | 43 | 74.1% |
| Lobular | 11 | 19.0% | |
| Others and unknown | 4 | 6.9% | |
| Grade | 1 | 1 | 1.7% |
| 2 | 34 | 58.6% | |
| 3 | 22 | 37.9% | |
| Unknown | 1 | 1.7% | |
| Receptor status | Hormone receptor positive | 44 | 75.9% |
| HER2 positive | 3 | 5.2% | |
| Triple negative | 13 | 22.4% | |
| Sample type | Primary tumor | 42 | 72.4% |
| Metastasis | 16 | 27.6% | |
| Biopsy | 22 | 37.9% | |
| Resection | 36 | 62.1% | |
4.2. Tissue Samples
Formalin-fixed paraffin-embedded (FFPE) tissue blocks containing samples from primary tumors, or if available, from metastatic sites, were selected by an experienced breast pathologist (C.K). Forty-two (72%) samples came from primary tumor and 16 (28%) from metastasis (three lymph node metastases, three liver metastases, two lung metastases, one pleural metastasis, two soft tissue metastases, three skin metastases, one ovarial metastasis, and one bone marrow infiltration). Twenty-two (38%) specimen were achieved by core biopsy and 36 (62%) by surgery. All tissue samples were collected prior to the start of first-line chemotherapy for metastatic disease. Three to five 10-µm sections were cut from each block without micro- or macro-dissection and placed in sterile Eppendorf tubes.
In the validation cohort, FFPE samples from primary tumors were selected by an experienced breast pathologist (CH). All samples were achieved by surgery and processed according to routine procedures immediately after surgery. Seven consecutive sections with a slice thickness of 2–4 µm were cut from each block without micro- or macro-dissection and placed in sterile Eppendorf tubes.
4.3. MiRNA Expression Analysis
TaqMan® Array Human MicroRNA Cards (Applied Biosystems™, Waltham, MA, USA): Total RNA was purified from FFPE-Tissue using the mirVana™ (Ambion™, Waltham, MA, USA) miRNA Isolation Kit and 1 µg was reverse transcribed to cDNA using the TaqMan® Reverse Transcriptase Kit (Applied Biosystems™, Waltham, MA, USA) according to the manufacturer’s instructions. TaqMan® Human MicroRNA array A and B Cards Set v3.0 (Applied Biosystems™, Waltham, MA, USA) was used to quantify the expression of 754 human miRNAs.
SurePrintG3 Human miRNA microarrays from Agilent Technologies (Santa Clara, CA, USA): By means of micro-array technology, a panel of 1250 microRNA was screened. Isolation of total microRNA and chip-based micro-arrays (Agilent’s Sure PrintG3 Human miRNA microarrays) were performed according to standard procedures by the Comprehensive Biomarker Center™, Heidelberg, Germany.
4.4. Statistical Analysis
4.4.1. TaqMan® Array Human MicroRNA Cards
For the 754 human microRNAs expression (Ct values) were averaged over two replicates, microRNA expression in samples with Ct ≥ 40 were considered as not detected (and interpreted as missing value). Only microRNAs were considered as endogenous control if they could be detected in all samples from the 58 patients.
4.4.2. MiRNAseq Analysis from the Cancer Genome Atlas (TCGA)
For TCGA breast cancer analysis, BRCA level3 miRNAseq (Illumina HiSeq) data were downloaded using Firehose/Firebrowse [47]. For TCGA, pan-cancer analysis microRNAseq (Illumina Hiseq), data were downloaded via the Synapse project (syn1695378) [48]. Only primary tumors were considered and normalized RPM values (reads per million miRNA mapped) were log transformed (log2(RPM+1)). Variability (i.e., coefficient of variation) for >1000 precursor (stem-loop) microRNAs across all patient samples were calculated.
4.4.3. SurePrintG3 Human miRNA Microarrays from Agilent®
Agilent microRNA array data were pre-processed and filtered using the AgiMicroRna Bioconductor library (as described in [49]). MicroRNAs showing a signal > (MeanNeg + 1.5 × SDNeg) in 100% of the samples were further considered and filtered for highly expressed microRNAs (mean log2-intesities > 10).
All statistical analyses and calculations were done using the R statistical software environment [50]. Several measures—including mean, median, standard deviation (SD), coefficient of variation (CV), and Spearman rank correlation coefficient (rho) against mean (median)—were calculated for all microRNAs (ncRNAs), which could be detected in all samples. MicroRNA expression (Ct-values) were compared between primary tumors and metastasis using boxplots and Wilcoxon rank-sum test as well as between triple-negative breast cancer (TNBC), hormone receptor positive (HR+), and HER2 positive breast cancer (HER2+) using boxplots and Kruskal–Wallis tests. In addition, p-values were adjusted for multiple hypothesis testing based on the false discovery rate using the Benjamini–Hochberg method.
To further characterize stable expressed microRNAs (ncRNAs), an implementation in R of two commonly applied algorithms, namely NormFinder [19,51] and GeNorm [17,18,52] were used. Relative quantities were calculated in relation to the overall minimal Ct values (RQ = 2minCt − sampleCt). In geNorm, the expression stability measure is calculated based on pairwise comparison between endogenous controls. For combining control candidates, the average expression stability measure M was calculated by stepwise removing the least stable control. Optimal number of control candidates was calculated based on pairwise variations between normalization factors (V). In a stepwise procedure, microRNAs according to their increasing stability value are subsequently included in the normalization factor. It is considered that there is no practical need to include the control candidate if V drops below 0.2. The stability value across the two groups, primary tumors and metastatic sites were evaluated using NormFinder.
4.5. Ethics
The study was approved by the Ethics Committee of the Province Salzburg (IRB number: 415-EP/73/67-2011 and 415-EP/73/85-2012).
5. Conclusions
In breast cancer, miR-16-5p is stably expressed both in samples from primary tumors and from metastatic sites and might be considered as the most relevant housekeeping microRNA. Therefore, miR-16-5p can be recommended as an endogenous control for normalization in microRNA expression analyses using breast cancer tissue.
Supplementary Materials
Supplementary materials can be found at http://www.mdpi.com/1422-0067/17/2/156/s1.
Acknowledgments
This research project was partially supported by ROCHE Austria GmbH.
Author Contributions
Gabriel Rinnerthaler, Hubert Hackl and Simon Peter Gampenrieder conceived and designed the experiments. Cornelia Hauser-Kronberger selected the tumor tissues. Frank Hamacher and Clemens Hufnagl performed the experiments. Franz Zehentmayr, Gerd Fastner and Felix Sedlmayer conceived and designed the experiments of the validation cohort. Gabriel Rinnerthaler and Hubert Hackl analyzed the data and drafted the manuscript. Richard Greil, Brigitte Mlineritsch and Simon Peter Gampenrieder assisted in preparing the manuscript. All authors critically revised the manuscript and approved the final manuscript.
Conflicts of Interest
The authors declare no conflict of interest.
References
- Esquela-Kerscher, A.; Slack, F.J. Oncomirs—MicroRNAs with a role in cancer. Nat. Rev. Cancer 2006, 6, 259–269. [Google Scholar] [CrossRef] [PubMed]
- Calin, G.A.; Croce, C.M. MicroRNA signatures in human cancers. Nat. Rev. Cancer 2006, 6, 857–866. [Google Scholar] [CrossRef] [PubMed]
- Calin, G.A.; Sevignani, C.; Dumitru, C.D.; Hyslop, T.; Noch, E.; Yendamuri, S.; Shimizu, M.; Rattan, S.; Bullrich, F.; Negrini, M.; et al. Human microRNA genes are frequently located at fragile sites and genomic regions involved in cancers. Proc. Natl. Acad. Sci. USA 2004, 101, 2999–3004. [Google Scholar] [CrossRef] [PubMed]
- Calin, G.A.; Croce, C.M. MicroRNA-cancer connection: The Beginning of a New Tale. Cancer Res. 2006, 66, 7390–7394. [Google Scholar] [CrossRef] [PubMed]
- Serpico, D.; Molino, L.; di Cosimo, S. MicroRNAs in breast cancer development and treatment. Cancer Treat. Rev. 2014, 40, 595–604. [Google Scholar] [CrossRef] [PubMed]
- Sempere, L.F.; Freemantle, S.; Pitha-Rowe, I.; Moss, E.; Dmitrovsky, E.; Ambros, V. Expression profiling of mammalian microRNAs uncovers a subset of brain-expressed microRNAs with possible roles in murine and human neuronal differentiation. Genome Biol. 2004, 5, R13. [Google Scholar] [CrossRef] [PubMed]
- Lu, J.; Getz, G.; Miska, E.A.; Alvarez-Saavedra, E.; Lamb, J.; Peck, D.; Sweet-Cordero, A.; Ebert, B.L.; Mak, R.H.; Ferrando, A.A.; et al. MicroRNA expression profiles classify human cancers. Nature 2005, 435, 834–838. [Google Scholar] [CrossRef] [PubMed]
- D'Andrade, P.N.; Fulmer-Smentek, S. Agilent microRNA microarray profiling system. Methods Mol. Biol. 2012, 822, 85–102. [Google Scholar] [PubMed]
- Moreno-Moya, J.M.; Vilella, F.; Simon, C. MicroRNA: Key gene expression regulators. Fertil. Steril. 2014, 101, 1516–1523. [Google Scholar] [CrossRef] [PubMed]
- Malkov, V.A.; Serikawa, K.A.; Balantac, N.; Watters, J.; Geiss, G.; Mashadi-Hossein, A.; Fare, T. Multiplexed measurements of gene signatures in different analytes using the nanostring ncounter assay system. BMC Res. Notes 2009, 2, 80. [Google Scholar] [CrossRef] [PubMed]
- Schwarzenbach, H.; Machado da Silva, A.; Calin, G.; Pantel, K. Data normalization strategies for microRNA quantification. Clin. Chem. 2015, 61, 1333–1342. [Google Scholar] [CrossRef] [PubMed]
- Mestdagh, P.; Hartmann, N.; Baeriswyl, L.; Andreasen, D.; Bernard, N.; Chen, C.; Cheo, D.; D′Andrade, P.; DeMayo, M.; Dennis, L.; et al. Evaluation of quantitative miRNA expression platforms in the microRNA quality control (miRQC) study. Nat. Methods 2014, 11, 809–815. [Google Scholar] [CrossRef] [PubMed]
- Rai, S.N.; Ray, H.E.; Yuan, X.; Pan, J.; Hamid, T.; Prabhu, S.D. Statistical analysis of repeated microRNA high-throughput data with application to human heart failure: A review of methodology. Open Access Med. Stat. 2012, 2012, 21–31. [Google Scholar] [CrossRef] [PubMed][Green Version]
- Gee, H.E.; Buffa, F.M.; Camps, C.; Ramachandran, A.; Leek, R.; Taylor, M.; Patil, M.; Sheldon, H.; Betts, G.; Homer, J.; et al. The small-nucleolar RNAs commonly used for microRNA normalisation correlate with tumour pathology and prognosis. Br. J. Cancer 2011, 104, 1168–1177. [Google Scholar] [CrossRef] [PubMed]
- Chugh, P.; Dittmer, D.P. Potential pitfalls in microRNA profiling. Wiley Interdiscip. Rev. RNA 2012, 3, 601–616. [Google Scholar] [CrossRef] [PubMed]
- Davoren, P.A.; McNeill, R.E.; Lowery, A.J.; Kerin, M.J.; Miller, N. Identification of suitable endogenous control genes for microRNA gene expression analysis in human breast cancer. BMC Mol. Biol. 2008, 9, 76. [Google Scholar] [CrossRef] [PubMed]
- Zhu, W.; Qin, W.; Atasoy, U.; Sauter, E.R. Circulating microRNAs in breast cancer and healthy subjects. BMC Res. Notes 2009, 2, 89. [Google Scholar] [CrossRef] [PubMed]
- Sourvinou, I.S.; Markou, A.; Lianidou, E.S. Quantification of circulating miRNAs in plasma: Effect of Preanalytical and analytical parameters on their isolation and stability. J. Mol. Diagn. 2013, 15, 827–834. [Google Scholar] [CrossRef] [PubMed]
- Vandesompele, J.; de Preter, K.; Pattyn, F.; Poppe, B.; van Roy, N.; de Paepe, A.; Speleman, F. Accurate normalization of real-time quantitative RT-PCR data by geometric averaging of multiple internal control genes. Genome Biol. 2002, 3. RESEARCH0034. [Google Scholar] [CrossRef] [PubMed]
- Mestdagh, P.; van Vlierberghe, P.; de Weer, A.; Muth, D.; Westermann, F.; Speleman, F.; Vandesompele, J. A novel and universal method for microRNA RT-QPCR data normalization. Genome Biol. 2009, 10, R64. [Google Scholar] [CrossRef] [PubMed]
- Andersen, C.L.; Jensen, J.L.; Orntoft, T.F. Normalization of real-time quantitative reverse transcription-PCR data: A model-based variance estimation approach to identify genes suited for normalization, applied to bladder and colon cancer data sets. Cancer Res. 2004, 64, 5245–5250. [Google Scholar] [CrossRef] [PubMed]
- Brase, J.C.; Wuttig, D.; Kuner, R.; Sultmann, H. Serum microRNAs as non-invasive biomarkers for cancer. Mol. Cancer 2010, 9, 306. [Google Scholar] [CrossRef] [PubMed]
- Liotta, L.A.; Kohn, E.C. The microenvironment of the tumour-host interface. Nature 2001, 411, 375–379. [Google Scholar] [CrossRef] [PubMed]
- Martelotto, L.G.; Ng, C.K.; Piscuoglio, S.; Weigelt, B.; Reis-Filho, J.S. Breast cancer intra-tumor heterogeneity. Breast Cancer Res. 2014, 16, 210. [Google Scholar] [CrossRef] [PubMed]
- Mattie, M.D.; Benz, C.C.; Bowers, J.; Sensinger, K.; Wong, L.; Scott, G.K.; Fedele, V.; Ginzinger, D.; Getts, R.; Haqq, C. Optimized high-throughput microRNA expression profiling provides novel biomarker assessment of clinical prostate and breast cancer biopsies. Mol. Cancer 2006, 5, 24. [Google Scholar] [CrossRef] [PubMed]
- Blenkiron, C.; Goldstein, L.D.; Thorne, N.P.; Spiteri, I.; Chin, S.F.; Dunning, M.J.; Barbosa-Morais, N.L.; Teschendorff, A.E.; Green, A.R.; Ellis, I.O.; et al. MicroRNA expression profiling of human breast cancer identifies new markers of tumor subtype. Genome Biol. 2007, 8, R214. [Google Scholar] [CrossRef] [PubMed]
- Liu, Y.; Cai, Q.; Bao, P.P.; Su, Y.; Cai, H.; Wu, J.; Ye, F.; Guo, X.; Zheng, W.; Zheng, Y.; et al. Tumor tissue microRNA expression in association with triple-negative breast cancer outcomes. Breast Cancer Res. Treat. 2015, 152, 183–191. [Google Scholar] [CrossRef] [PubMed]
- Yazici, H.; Zipprich, J.; Peng, T.; Akisik, E.Z.; Tigli, H.; Isin, M.; Akisik, E.E.; Terry, M.B.; Senie, R.T.; Li, L.; et al. Investigation of the miR16–1 (c > t) + 7 substitution in seven different types of cancer from three ethnic groups. J. Oncol. 2009, 2009, 827532. [Google Scholar] [CrossRef] [PubMed]
- Hoppe, R.; Achinger-Kawecka, J.; Winter, S.; Fritz, P.; Lo, W.Y.; Schroth, W.; Brauch, H. Increased expression of miR-126 and miR-10a predict prolonged relapse-free time of primary oestrogen receptor-positive breast cancer following tamoxifen treatment. Eur. J. Cancer 2013, 49, 3598–3608. [Google Scholar] [CrossRef] [PubMed]
- Ell, B.; Mercatali, L.; Ibrahim, T.; Campbell, N.; Schwarzenbach, H.; Pantel, K.; Amadori, D.; Kang, Y. Tumor-induced osteoclast miRNA changes as regulators and biomarkers of osteolytic bone metastasis. Cancer Cell 2013, 24, 542–556. [Google Scholar] [CrossRef] [PubMed]
- Mobarra, N.; Shafiee, A.; Rad, S.M.; Tasharrofi, N.; Soufi-Zomorod, M.; Hafizi, M.; Movahed, M.; Kouhkan, F.; Soleimani, M. Overexpression of microRNA-16 declines cellular growth, proliferation and induces apoptosis in human breast cancer cells. Cell. Dev. Biol. Anim. 2015, 51, 604–611. [Google Scholar] [CrossRef] [PubMed]
- Chu, J.; Zhu, Y.; Liu, Y.; Sun, L.; Lv, X.; Wu, Y.; Hu, P.; Su, F.; Gong, C.; Song, E.; et al. E2F7 overexpression leads to tamoxifen resistance in breast cancer cells by competing with E2F1 at miR-15a/16 promoter. Oncotarget 2015, 6, 31944–31957. [Google Scholar] [PubMed]
- Janaki Ramaiah, M.; Lavanya, A.; Honarpisheh, M.; Zarea, M.; Bhadra, U.; Bhadra, M.P. MiR-15/16 complex targets p70S6 kinase 1 and controls cell proliferation in MDA-MB-231 breast cancer cells. Gene 2014, 552, 255–264. [Google Scholar] [CrossRef] [PubMed]
- Gebeshuber, C.A.; Zatloukal, K.; Martinez, J. MiR-29a suppresses tristetraprolin, which is a regulator of epithelial polarity and metastasis. EMBO Rep. 2009, 10, 400–405. [Google Scholar] [CrossRef] [PubMed]
- Zhang, J.; Zhang, H.; Chen, L.; Sun da, W.; Mao, C.; Chen, W.; Wu, J.Z.; Zhong, S.L.; Zhao, J.H.; Tang, J.H. β-Elemene reverses chemoresistance of breast cancer via regulating MDR-related microRNA expression. Cell. Physiol. Biochem. 2014, 34, 2027–2037. [Google Scholar] [CrossRef] [PubMed]
- Zhang, Y.; Yang, P.; Sun, T.; Li, D.; Xu, X.; Rui, Y.; Li, C.; Chong, M.; Ibrahim, T.; Mercatali, L.; et al. MiR-126 and miR-126* repress recruitment of mesenchymal stem cells and inflammatory monocytes to inhibit breast cancer metastasis. Nat. Cell Biol. 2013, 15, 284–294. [Google Scholar] [CrossRef] [PubMed]
- Zhu, N.; Zhang, D.; Xie, H.; Zhou, Z.; Chen, H.; Hu, T.; Bai, Y.; Shen, Y.; Yuan, W.; Jing, Q.; et al. Endothelial-specific intron-derived miR-126 is down-regulated in human breast cancer and targets both VEGFA and PIK3R2. Mol. Cell. Biochem. 2011, 351, 157–164. [Google Scholar] [CrossRef] [PubMed]
- Zhang, J.; Du, Y.Y.; Lin, Y.F.; Chen, Y.T.; Yang, L.; Wang, H.J.; Ma, D. The cell growth suppressor, miR-126, targets IRS-1. Biochem. Biophys. Res. Commun. 2008, 377, 136–140. [Google Scholar] [CrossRef] [PubMed]
- Negrini, M.; Calin, G.A. Breast cancer metastasis: A MicroRNA Story. Breast Cancer Res. 2008, 10, 203. [Google Scholar] [CrossRef] [PubMed]
- Tavazoie, S.F.; Alarcon, C.; Oskarsson, T.; Padua, D.; Wang, Q.; Bos, P.D.; Gerald, W.L.; Massague, J. Endogenous human microRNAs that suppress breast cancer metastasis. Nature 2008, 451, 147–152. [Google Scholar] [CrossRef] [PubMed]
- Ebrahimi, F.; Gopalan, V.; Smith, R.A.; Lam, A.K. MiR-126 in human cancers: Clinical roles and current perspectives. Exp. Mol. Pathol. 2014, 96, 98–107. [Google Scholar] [CrossRef] [PubMed]
- Rao, X.; di Leva, G.; Li, M.; Fang, F.; Devlin, C.; Hartman-Frey, C.; Burow, M.E.; Ivan, M.; Croce, C.M.; Nephew, K.P. MicroRNA-221/222 confers breast cancer fulvestrant resistance by regulating multiple signaling pathways. Oncogene 2011, 30, 1082–1097. [Google Scholar] [CrossRef] [PubMed]
- Gan, R.; Yang, Y.; Yang, X.; Zhao, L.; Lu, J.; Meng, Q.H. Downregulation of miR-221/222 enhances sensitivity of breast cancer cells to tamoxifen through upregulation of TIMP3. Cancer Gene Ther. 2014, 21, 290–296. [Google Scholar] [CrossRef] [PubMed]
- Muller, V.; Gade, S.; Steinbach, B.; Loibl, S.; von Minckwitz, G.; Untch, M.; Schwedler, K.; Lubbe, K.; Schem, C.; Fasching, P.A.; et al. Changes in serum levels of miR-21, miR-210, and miR-373 in HER2-positive breast cancer patients undergoing neoadjuvant therapy: A Translational research project within the geparquinto trial. Breast Cancer Res. Treat. 2014, 147, 61–68. [Google Scholar] [CrossRef] [PubMed]
- McDermott, A.M.; Kerin, M.J.; Miller, N. Identification and validation of miRNAs as endogenous controls for RQ-PCR in blood specimens for breast cancer studies. PLoS ONE 2013, 8, e83718. [Google Scholar]
- Gampenrieder, S.P.; Hamacher, F.; Rinnerthaler, G.; Hufnagl, C.; Hackl, H.; Romeder, F.; Muß, C.; Hauser-Kronbeger, C.; Mlineritsch, B.; Greil, R. MicroRNAs correlating with outcome in patients treated with first-line bevacizumab for metastatic breast cancer. Available online: https://www.researchgate.net/profile/Simon_Gampenrieder/publication/275830831_Abstract_P4-07-03_MicroRNAs_correlating_with_outcome_in_patients_treated_with_first-line_bevacizumab_for_metastatic_breast_cancer/links/5547aa620cf2b0cf7ace90c8.pdf (accessed on 30 November 2015).
- Broad GDAC Firehose. Available online: http://gdac.broadinstitute.org (accessed on 30 November 2015).
- Sage Synapse. Available online: http://www.synapse.org/ (accessed on 30 November 2015).
- Lopez-Romero, P. Pre-processing and differential expression analysis of agilent microRNA arrays using the agimicroRNA bioconductor library. BMC Genom. 2011, 12, 64. [Google Scholar] [CrossRef] [PubMed]
- The R Project for Statistical Computing. Available online: http://www.r-project.org (accessed on 30 November 2015).
- NormFinder Software. Available online: http://moma.dk/normfinder-software (accessed on 30 November 2015).
- geNorm Normalization of Real-time PCR Expression Data. Available online: http://genorm.cmgg.be (accessed on 30 November 2015).
© 2016 by the authors; licensee MDPI, Basel, Switzerland. This article is an open access article distributed under the terms and conditions of the Creative Commons by Attribution (CC-BY) license (http://creativecommons.org/licenses/by/4.0/).