Development of a New Monomer for the Synthesis of Intrinsic Antimicrobial Polymers with Enhanced Material Properties
Abstract
:1. Introduction

2. Results and Discussion
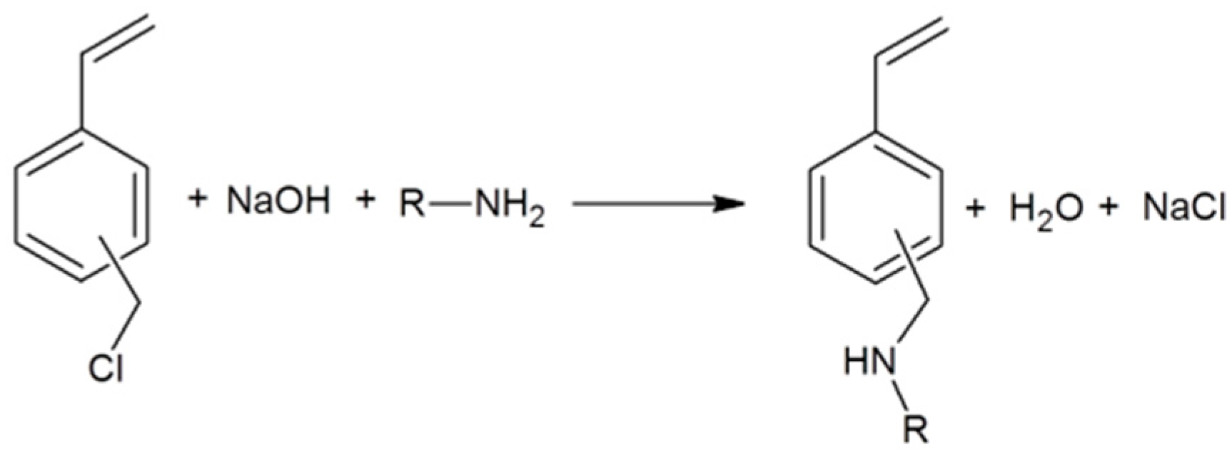
2.1. Synthesis of Aminomtehylstyrenes


2.2. Synthesis of N-(1,1-Dimethylethyl)-ethenyl-benzenamine (TBAMS)


2.3. Synthesis of TBAMS Hydrochloride
2.4. Preparation of Poly(TBAMS)


2.5. Laboratory Tests According to JIS Z 2801
2.6. Incubation of Poly(TBAMS) in E. coli Culture for Scanning Electron Microscopy (SEM) Imaging

3. Experimental Section
3.1. Synthesis of Aklylaminomethylstyrenes
3.2. Polymerization of the Aklylaminomethylstyrenes
3.3. Synthesis of TBAMS
3.4. Preparation of TBAMS Hydrochloride
3.5. Preparation of Poly(TBAMS)
3.6. Preparation of Samples for Antimicrobial Assay
3.7. Antimicrobial Assessment
3.8. Incubation of Poly(TBAMS) in Escherichia coli (DSM 1576) Culture for SEM Imaging
4. Conclusions
Acknowledgments
Author Contributions
Conflicts of Interest
References
- Camilloto, G.P.; Pires, A.C.S.; Soares, N.F.F.; Araujo, E.A.; Andrade, N.J.; Ferreira, S.O. Effect of active packaging incorporated with triclosan on bacteria adhesion. J. Food Sci. 2010, 75, E557–E564. [Google Scholar] [CrossRef] [PubMed]
- Ohe, P.C.; Schmitt-Jansen, M.; Slobodnik, J.; Brack, W. Triclosan—The forgotten priority substance? Environ. Sci. Pollut. Res. 2012, 19, 585–591. [Google Scholar]
- Iconomopoulou, S.M.; Andreopoulou, A.K.; Soto, A.; Kallitsis, J.K.; Voyiatzis, G.A. Incorporation of low molecular weight biocides into polystyrene-divinyl benzene beads with controlled release characteristics. J. Control. Release 2005, 102, 223–233. [Google Scholar] [CrossRef] [PubMed]
- Sun, X.; Cao, Z.; Porteous, N.; Sun, Y. Amine, melamine, and amide N-halamines as antimicrobial additives for polymers. Ind. Eng. Chem. Res. 2010, 49, 11206–11213. [Google Scholar] [CrossRef] [PubMed]
- Maillard, J.-Y.; Hartemann, P. Silver as an antimicrobial: Facts and gaps in knowledge. Crit. Rev. Microbiol. 2013, 39, 373–383. [Google Scholar] [CrossRef] [PubMed]
- Martinez-Abad, A. Silver- and Nanosilver-Based Plastic Technologies; John Wiley & Sons, Inc.: Hoboken, NJ, USA, 2012; pp. 287–316. [Google Scholar]
- Borkow, G. Using copper to fight microorganisms. Curr. Chem. Biol. 2012, 6, 93–103. [Google Scholar] [CrossRef]
- Pereyra, A.M.; Gonzalez, M.R.; Rodrigues, T.A.; Soares Luterbach, M.T.; Basaldella, E.I. Enhancement of biocorrosion resistance of epoxy coating by addition of Ag/Zn exchanged a zeolite. Surf. Coat. Technol. 2015, 270, 284–289. [Google Scholar] [CrossRef]
- Munoz-Bonilla, A.; Fernandez-Garcia, M. The roadmap of antimicrobial polymeric materials in macromolecular nanotechnology. Eur. Polym. J. 2015, 65, 46–62. [Google Scholar] [CrossRef]
- Munoz-Bonilla, A.; Fernandez-Garcia, M. Polymeric materials with antimicrobial activity. Prog. Polym. Sci. 2012, 37, 281–339. [Google Scholar] [CrossRef]
- Gerba, C.P. Quaternary ammonium biocides: Efficacy in application. Appl. Environ. Microbiol. 2015, 81, 464–469. [Google Scholar] [CrossRef] [PubMed]
- Lundin, J.G.; Coneski, P.N.; Fulmer, P.A.; Wynne, J.H. Relationship between surface concentration of amphiphilic quaternary ammonium biocides in electrospun polymer fibers and biocidal activity. React. Funct. Polym. 2015, 77, 39–46. [Google Scholar] [CrossRef]
- Liu, F.; Chang, X.; Yang, F.; Dong, W.; Wang, F.; Zhao, C. Effects of biocides on biofilm at different substrate levels. Prog. Environ. Sci. Technol. 2011, 3, 632–636. [Google Scholar]
- Oh, S.; Tandukar, M.; Pavlostathis, S.G.; Chain, P.S.G.; Konstantinidis, K.T. Microbial community adaptation to quaternary ammonium biocides as revealed by metagenomics. Environ. Microbiol. 2013, 15, 2850–2864. [Google Scholar] [CrossRef] [PubMed]
- Valle, A.S.S.; Marques, M.R.C.; Costa, L.C.; Santa Maria, L.C.; Palermo de Aguiar, A.; Mercon, F. Evaluation of bactericidal action of 2-vinylpyridine copolymers containing quaternary ammonium groups and their charge transfer complexes. Polim. Cienc. Tecnol. 2013, 23, 152–160. [Google Scholar]
- Carmona-Ribeiro, A.M.; de Melo Carrasco, L.D. Cationic antimicrobial polymers and their assemblies. Int. J. Mol. Sci. 2013, 14, 9906–9946. [Google Scholar] [CrossRef] [PubMed]
- Xue, Y.; Xiao, H.; Zhang, Y. Antimicrobial polymeric materials with quaternary ammonium and phosphonium salts. Int. J. Mol. Sci. 2015, 16, 3626–3655. [Google Scholar] [CrossRef] [PubMed]
- Bansal, R.; Pathak, R.; Jha, D.; Kumar, P.; Gautam, H.K. Enhanced antimicrobial activity of amine-phosphonium (N-P) hybrid polymers against gram-negative and gram-positive bacteria. Int. J. Polym. Mater. Polym. Biomater. 2014, 64, 84–89. [Google Scholar] [CrossRef]
- Choi, S.Y.; Rodriguez, H.; Gunaratne, H.Q.N.; Puga, A.V.; Gilpin, D.; McGrath, S.; Vyle, J.S.; Tunney, M.M.; Rogers, R.D.; McNally, T. Dual functional ionic liquids as antimicrobials and plasticizers for medical grade pvcs. RSC Adv. 2014, 4, 8567–8581. [Google Scholar] [CrossRef]
- Chang, H.-I.; Yang, M.-S.; Liang, M. The synthesis, characterization and antibacterial activity of quaternized poly(2,6-dimethyl-1,4-phenylene oxide)s modified with ammonium and phosphonium salts. React. Funct. Polym. 2010, 70, 944–950. [Google Scholar] [CrossRef]
- Kratky, M.; Vinsova, J. Antimycobacterial activity of quaternary pyridinium salts and pyridinium N-oxides—Review. Curr. Pharm. Des. 2013, 19, 1343–1355. [Google Scholar] [PubMed]
- Al-Sha’er, M.A. Evaluation of antimicrobial activities of synthesized pyridinium derivatives. Pharma Chem. 2014, 6, 261–291. [Google Scholar]
- Furdui, B.; Constantin, O.; Dinica, R.; Bahrim, G. Studies on antimicrobial activities of some new bis-pyridinium derivatives. Ann. Univ. Dunarea Jos Galati Fasc. VI 2011, 35, 66–74. [Google Scholar]
- Inhester, M.; Ottersbach, P. Kosmetische formulierungen mit antimikrobiellen polymeren. WO2003068316 A1, 21 August 2003. (In German)[Google Scholar]
- Kossmann, B.D.I.D.; Ottersbach, P.D.C.D. Antimikrobielle polymere als konservierungsstoffe für flüssige lebensmittel. DE10244489 A1, 25 March 2004. (In German)[Google Scholar]
- Ottersbach, P.; Kossmann, B. Verfahren zum einsatz antimikrobieller polymere im bauten- und denkmalschutz. WO2002048070 A1, 20 June 2002. (In German)[Google Scholar]
- Ottersbach, P.; Kossmann, B. Antimikrobielle fasern und gewebe. DE10122753 A1, 14 November 2002. (In German)[Google Scholar]
- Paleari, A.G.; Marra, J.; Pero, A.C.; Rodriguez, L.S.; Ruvolo-Filho, A.; Compagnoni, M.A. Effect of incorporation of 2-tert-butylaminoethyl methacrylate on flexural strength of a denture base acrylic resin. J. Appl. Oral Sci. 2011, 19, 195–199. [Google Scholar] [PubMed]
- Marra, J.; Paleari, A.G.; Rodriguez, L.S.; Leite, A.R.P.; Pero, A.C.; Compagnoni, M.A. Effect of an acrylic resin combined with an antimicrobial polymer on biofilm formation. J. Appl. Oral Sci. 2012, 20, 643–648. [Google Scholar] [CrossRef] [PubMed]
- Ottersbach, P.D.; Sosna, F.D. Verfahren zur mikrobiziden tiefenimprägnierung poröse materialien. EP1281490 A1, 5 February 2003. [Google Scholar]
- Buranasompob, A. Kinetics of the inactivation of microorganisms by water insoluble polymers with antimicrobial activity. Ph. D. Thesis, Technische Universität Berlin, Berlin, Germany, 7 March 2005. [Google Scholar]
- Kreyenschmidt, M.; Lorenz, R.; Fischer, B.; Kreyenschmidt, J.; Brodkorb, F.; Kalbfleisch, K.; Blang, T.; Geschwentner, A. Anti-microbial polymer. WO2014118339 A1, 7 August 2014. [Google Scholar]
- Sakurai, K.; Maegawa, T.; Takahashi, T. Glass transition temperature of chitosan and miscibility of chitosan/poly(n-vinyl pyrrolidone) blends. Polymer 2000, 41, 7051–7056. [Google Scholar] [CrossRef]
- Dhawade, P.P.; Jagtap, R.N. Characterization of the glass transition temperature of chitosan and its oligomers by temperature modulated differential scanning calorimetry. Adv. Appl. Sci. Res. 2012, 3, 1372–1382. [Google Scholar]
- Kittur, F.S.; Harish Prashanth, K.V.; Udaya Sankar, K.; Tharanathan, R.N. Characterization of chitin, chitosan and their carboxymethyl derivatives by differential scanning calorimetry. Carbohydr. Polym. 2002, 49, 185–193. [Google Scholar] [CrossRef]
- Jeong, J.-H.; Byoun, Y.-S.; Lee, Y.-S. Poly(styrene-alt-maleic anhydride)-4-aminophenol conjugate: Synthesis and antibacterial activity. React. Funct. Polym. 2002, 50, 257–263. [Google Scholar] [CrossRef]
- Dizman, B.; Elasri, M.O.; Mathias, L.J. Synthesis and characterization of antibacterial and temperature responsive methacrylamide polymers. Macromolecules 2006, 39, 5738–5746. [Google Scholar] [CrossRef]
- Lenoir, S.; Pagnoulle, C.; Galleni, M.; Compere, P.; Jerome, R.; Detrembleur, C. Polyolefin matrixes with permanent antibacterial activity: Preparation, antibacterial activity, and action mode of the active species. Biomacromolecules 2006, 7, 2291–2296. [Google Scholar] [CrossRef] [PubMed]
- Endo, Y.; Tani, T.; Kodama, M. Antimicrobial activity of tertiary amine covalently bonded to a polystyrene fiber. Appl. Environ. Microbiol. 1987, 53, 2050–2055. [Google Scholar] [PubMed]
- Park, S.-C.; Nam, J.-P.; Kim, J.-H.; Kim, Y.-M.; Nah, J.-W.; Jang, M.-K. Antimicrobial action of water-soluble β-chitosan against clinical multi-drug resistant bacteria. Int. J. Mol. Sci. 2015, 16, 7995–8007. [Google Scholar] [CrossRef] [PubMed]
© 2015 by the authors; licensee MDPI, Basel, Switzerland. This article is an open access article distributed under the terms and conditions of the Creative Commons Attribution license (http://creativecommons.org/licenses/by/4.0/).
Share and Cite
Brodkorb, F.; Fischer, B.; Kalbfleisch, K.; Robers, O.; Braun, C.; Dohlen, S.; Kreyenschmidt, J.; Lorenz, R.; Kreyenschmidt, M. Development of a New Monomer for the Synthesis of Intrinsic Antimicrobial Polymers with Enhanced Material Properties. Int. J. Mol. Sci. 2015, 16, 20050-20066. https://doi.org/10.3390/ijms160820050
Brodkorb F, Fischer B, Kalbfleisch K, Robers O, Braun C, Dohlen S, Kreyenschmidt J, Lorenz R, Kreyenschmidt M. Development of a New Monomer for the Synthesis of Intrinsic Antimicrobial Polymers with Enhanced Material Properties. International Journal of Molecular Sciences. 2015; 16(8):20050-20066. https://doi.org/10.3390/ijms160820050
Chicago/Turabian StyleBrodkorb, Florian, Björn Fischer, Katrin Kalbfleisch, Oliver Robers, Carina Braun, Sophia Dohlen, Judith Kreyenschmidt, Reinhard Lorenz, and Martin Kreyenschmidt. 2015. "Development of a New Monomer for the Synthesis of Intrinsic Antimicrobial Polymers with Enhanced Material Properties" International Journal of Molecular Sciences 16, no. 8: 20050-20066. https://doi.org/10.3390/ijms160820050
APA StyleBrodkorb, F., Fischer, B., Kalbfleisch, K., Robers, O., Braun, C., Dohlen, S., Kreyenschmidt, J., Lorenz, R., & Kreyenschmidt, M. (2015). Development of a New Monomer for the Synthesis of Intrinsic Antimicrobial Polymers with Enhanced Material Properties. International Journal of Molecular Sciences, 16(8), 20050-20066. https://doi.org/10.3390/ijms160820050
