Therapeutic Hypothermia in Spinal Cord Injury: The Status of Its Use and Open Questions
Abstract
:1. Spinal Cord Injury (SCI) Epidemiology and Pathophysiology
2. Treating SCI and the Application of Hypothermia
3. The Experimental and Clinical Application of Hypothermia in SCI
3.1. Hypothermia in Experimental SCI



3.2. Hypothermia in Human SCI

4. Mechanisms of Hypothermia-Mediated Protection
4.1. Slowing down the Rate of Metabolism and Decreasing the Generation of Free Radicals
4.2. Inhibiting Excitotoxicity and Neural Cell Apoptosis
4.3. Ameliorating Inflammation
4.4. Preserving the Blood Spinal Cord Barrier and Preventing Edema
4.5. Inhibiting Astrogliosis and Increasing Angiogenesis
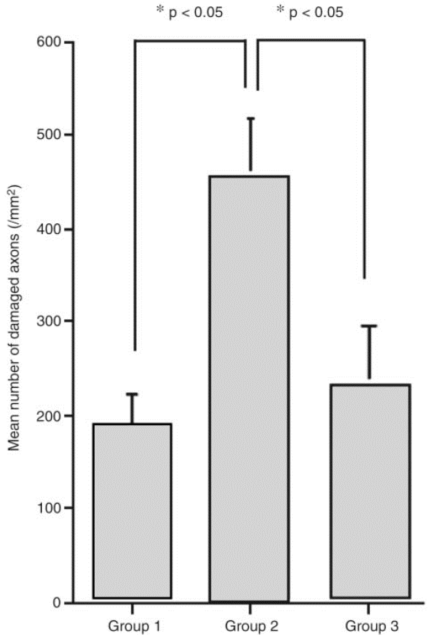
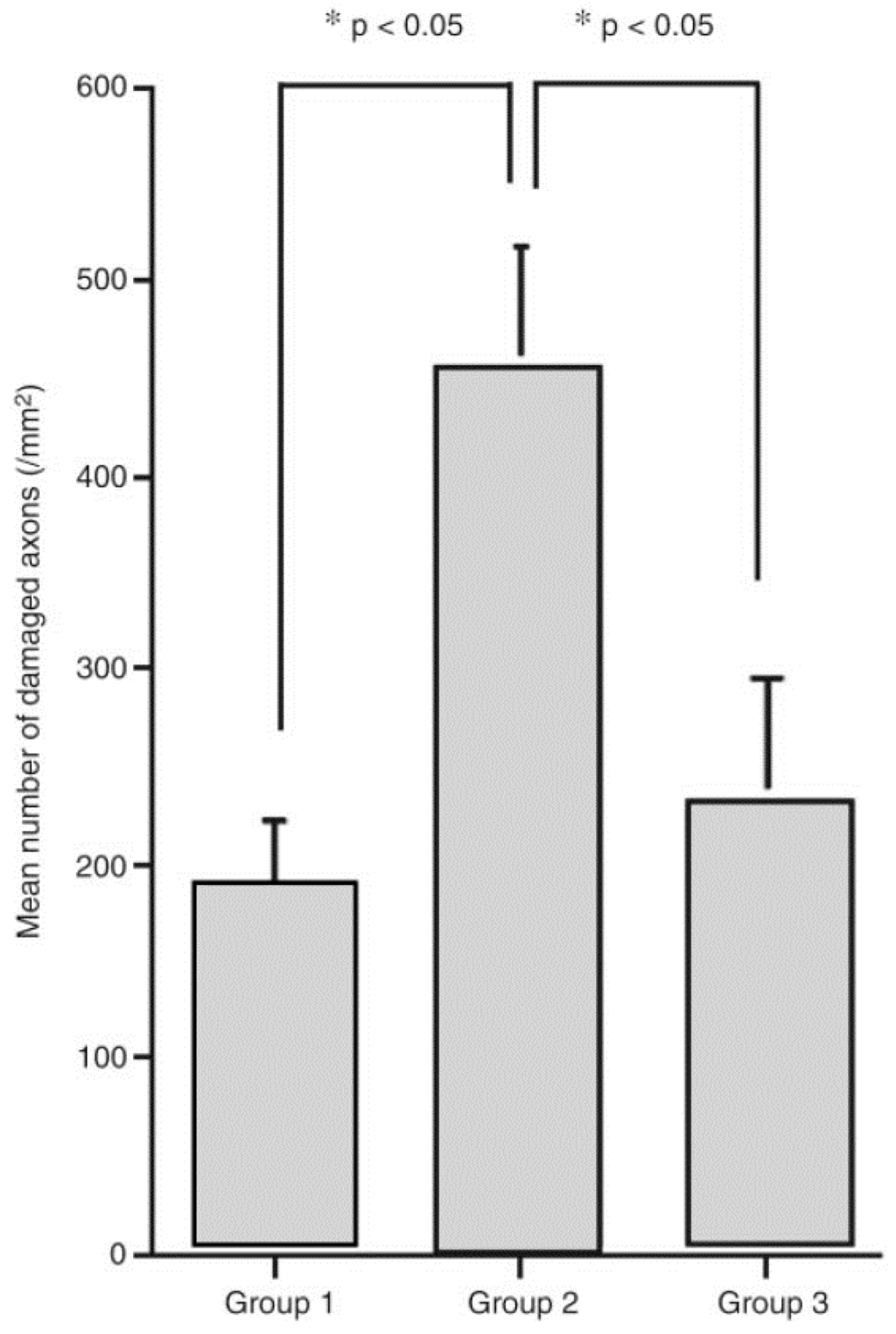
4.6. Decreasing Axonal Damage and Promoting Neurogenesis
5. The Combined Use of Hypothermia with Other Therapeutic Approaches
5.1. Hypothermia and Antioxidants
5.2. Hypothermia and Alkalinization
5.3. Hypothermia and Anesthetics
5.4. Hypothermia and Cell Transplantation
5.5. Other Potential Combinatory Approaches that May Provide Synergistic Benefit with Hypothermia after SCI
6. Currently Unanswered Questions Regarding the Optimal Use of Hypothermia in SCI
6.1. Therapeutic Window
| Year | Systemic Hypothermia | Initiation of Hypothermia | Duration of Hypothermia | Rewarming Rate |
|---|---|---|---|---|
| 2015 | - | - | - | - |
| 2014 | - | - | - | - |
| 2013 | Dididze et al., 2013 [40] | 5.76 (±0.45) h from injury. | 33 °C for 48 h | 0.1 °C per hour until normothermia (T 37 °C) |
| 2012 | Madhavan et al., 2012 [74] | Immediately post surgery. | 33 °C for 24 h | 0.1 °C per hour until normothermia (T 37 °C) |
| 2011 | Tripathy and Whitehead, 2011 [75] | Case 1: The 3rd day post cervical SCICase 2: The 5th days of surgery after cervical SCI. | Case 1: a target temperature of 37.0–40.5 °C for 14 days Case 2: 37.0 °C for 10 days | Case 1: stopped at 40 °CCase 2: terminated on the 16th day of admission and gradually normalized by the 28th day |
| 2010 | Levi et al., 2010 [72] | The mean (standard error of the mean [SEM]) initiation time to catheter insertion was 9.17 (±2.24) h. If one excludes the 2 most aberrant outliers, the average time for initiation of hypothermia was 6.15 (±0.7) h. | 33 °C for 48 h | 0.1 °C per hour until normothermia (T 37 °C) |
| Cappuccino et al., 2010 [70] | Temperature ranged between 34.5 and 35.2 °C with passive cooling during the surgery which was approximately 3 h after the cervical SCI, and then over 20 h post- injury lowed to 33.5 °C. | 33.5 °C for 36 h | slowly rewarmed and eventually extubated on postoperative day 3 | |
| 2009 | Levi et al., 2009 [73] | The average time between injury and induction of hypothermia was 9.17 ± 2.24 h. | 33 °C for 47.6 ± 3.1 h | 0.1 °C per hour until normothermia (T 37 °C) |
| 2007 | - | - | - | - |
| 2006 | - | - | - | - |
| 2005 | - | - | - | - |
| 2004 | - | - | - | - |
6.2. The Duration of Hypothermia
| Year | Systemic Hypothermia | Initiation of Hypothermia | Duration | Rewarming Rate |
|---|---|---|---|---|
| 2015 | Wang and Zhang 2015 [133] | Probably immediately post-injury | 34 ± 0.5 °C for 6 h | - |
| 2014 | Bazley et al., 2014 [140] | 1 h post-injury and then 30 min induction phase | 32 °C for 2 h | 30 min to 37 °C |
| 2013 | Grulova et al., 2013 [41] | Immediately post-injury | 31–32 °C was approximately 30 min | 2 °C/h for 3 h to 37 °C |
| Batchelor et al., 2013 [138] | 82 min before the induction of injury to 30 min post-injury | 28 to 34 °C from 31 min to 7.5 h | - | |
| Saito et al., 2013 [57] | Hypothermia was induced 15 min before ischemia | 36.3 °C during ischemia (14 min) | rewarmed in 30 min | |
| 2012 | Ok et al., 2012 [93] | Upon awaking from anesthesia | 32 °C for 48 h | 1 °C/h to normothermia |
| Maybhate et al., 2012 [56] | Approximately 2.0 h post-injury | (32 ± 0.5 °C) for 2 h | 28 ± 5 min to 37 ± 0.5 °C | |
| 2011 | Batchelor et al., 2011, [55] | 30 min following spacer insertion (spinal cord compression) | 33 °C for 3.5 h | 30 min to 37 °C |
| Kao et al., 2011 [109] | From the compression termination period | 33 °C for 2 h | Recover naturally | |
| 2009 | Horiuchi et al., 2009 [147] | During ischemia | 35 °C or 32 during ischemia | Rewarmed to 38 °C in 30 min |
| Lo et al., 2009 [42] | 5 min post-injury | 33 °C for 4 h | 1 °C per hour | |
| Duz et al., 2009 [146] | After spinal cord injury | 27–29 °C for 1 h | Recover naturally | |
| 2008 | Morino et al., 2008 [78] | The beginning of the compression | 33 °C for 1 h | Recover naturally |
| 2004 | Tsutsumi et al., 2004 [141] | 1 h after spinal cord ischemia-reperfusion | 32.5 ± 0.5 °C for 6 h | 1 h to normal temperature |
| Strauch et al., 2004 [150] | Through the ischemia (clamping) period | 32.0 °C through the ischemia (clamping) period | 90–100 min | |
| Shibuya et al., 2004 [149] | At 10 min after the end of compression, lower body temperature to a target level over 20 min | 32 °C for 4 h | 40 min to 37 °C | |
| 2003 | Maeda et al., 2003 [148] | During the ischemic period | 35 °C for 30 min during the ischemic period | Gradually returned to 39 °C within 2 h |
6.3. The Rate of Rewarming


7. Conclusions
Acknowledgments
Author Contributions
Conflicts of Interest
References
- Centers for Disease Control and Prevention. Brunner & Suddarth’s Textbook of Medical-Surgical Nursing, 13th ed.; Hinkle, J.L., Cheever, K.H., Eds.; Lippincott Williams & Wilkins: Philadelphia, PA, USA, 2012. [Google Scholar]
- Dumont, R.J.; Okonkwo, D.O.; Verma, S.; Hurlbert, R.J.; Boulos, P.T.; Ellegala, D.B.; Dumont, A.S. Acute spinal cord injury, part I: Pathophysiologic mechanisms. Clin. Neuropharmacol. 2001, 24, 254–264. [Google Scholar] [CrossRef] [PubMed]
- Tator, C.H. Pathophysiology and pathology of spinal cord injury. In Neurosurgery, 2nd ed.; Wilkins, R.H., Rengachary, S.S., Eds.; Williams & Wilkins: Baltimore, MD, USA, 1996; pp. 2847–2859. [Google Scholar]
- Tator, C.H. Spinal cord syndromes with physiological and anatomic correlations. In Principles of Spinal Surger; Menezes, A.H., Sonntag, V.K.H., Eds.; McGraw-Hill: New York, NY, USA, 1996; pp. 785–799. [Google Scholar]
- Guha, A.; Tator, C.H. Acute cardiovascular effects of experimental spinal cord injury. J. Trauma 1988, 28, 481–490. [Google Scholar] [CrossRef] [PubMed]
- Kiss, Z.H.T.; Tator, C.H. Neurogenic shock. In Shock and Resuscitation; Geller, E.R., Ed.; McGraw-Hill: New York, NY, USA, 1993; pp. 421–440. [Google Scholar]
- Nemecek, S. Morphological evidence of microcirculatory disturbances in experimental spinal cord trauma. Adv. Neurol. 1978, 20, 395–405. [Google Scholar] [PubMed]
- Tator, C.H.; Fehlings, M.G. Review of the secondary injury theory of acute spinal cord trauma with emphasis on vascular mechanisms. J. Neurosurg. 1991, 75, 15–26. [Google Scholar] [CrossRef] [PubMed]
- Faden, A.I.; Chan, P.H.; Longar, S. Alterations in lipid metabolism, Na, K-ATPase activity and tissue water content of spinal cord after experimental traumatic injury. J. Neurochem. 1987, 48, 1809–1816. [Google Scholar] [CrossRef] [PubMed]
- Hall, E.D.; Wolf, D.L. A pharmacological analysis of the pathophysiological mechanisms of posttraumatic spinal cord ischemia. J. Neurosurg. 1986, 64, 951–961. [Google Scholar] [CrossRef] [PubMed]
- Hsu, C.Y.; Halushka, P.V.; Hogan, E.L.; Banik, N.L.; Lee, W.A.; Perot, P.L., Jr. Alteration of thromboxane and prostacyclin levels in experimental spinal cord injury. Neurology 1985, 35, 1003–1009. [Google Scholar] [CrossRef] [PubMed]
- Haldor, T.J., Jr.; Herman, B.D. Altered levels of PGF in cat spinal cord tissue after traumatic injury. Prostaglandins 1976, 11, 51–59. [Google Scholar]
- Shields, D.C.; Schaecher, K.E.; Hogan, E.L.; Banik, N.L. Calpain activity and expression increased in activated glial and inflammatory cells in penumbra of spinal cord injury lesion. J. Neurosci. Res. 2000, 61, 146–150. [Google Scholar] [CrossRef]
- Lewen, A.; Matz, P.; Chan, P.H. Free radical pathways in CNS injury. J. Neurotrauma 2000, 17, 871–890. [Google Scholar] [CrossRef] [PubMed]
- Faden, A.I.; Lemke, M.; Simon, R.P.; Noble, L.J. N-methyl-D-aspartate antagonist MK801 improves outcome after traumatic spinal cord injury in rats: Behavioral, anatomic, and neurochemical studies. J. Neurotrauma 1988, 5, 33–45. [Google Scholar] [CrossRef] [PubMed]
- Faden, A.I.; Simon, R.P. A potential role for excitotoxins in the pathophysiology of spinal cord injury. Ann. Neurol. 1988, 23, 623–627. [Google Scholar] [CrossRef] [PubMed]
- Emery, E.; Aldana, P.; Bunge, M.B.; Puckett, W.; Srinivasan, A.; Keane, R.W.; Bethea, J.; Levi, A.D. Apoptosis after traumatic human spinal cord injury. J. Neurosurg. 1998, 89, 911–920. [Google Scholar] [CrossRef] [PubMed]
- Li, G.L.; Farooque, M.; Holtz, A.; Olsson, Y. Apoptosis of oligodendrocytes occurs for long distances away from the primary injury after compression trauma to rat spinal cord. Acta Neuropathol. 1999, 98, 473–480. [Google Scholar] [CrossRef] [PubMed]
- Shuman, S.L.; Bresnahan, J.C.; Beattie, M.S. Apoptosis of microglia and oligodendrocytes after spinal cord contusion in rats. J. Neurosci. Res. 1997, 50, 798–808. [Google Scholar] [CrossRef]
- Schwab, M.E.; Bartholdi, D. Degeneration and regeneration of axons in the lesioned spinal cord. Physiol. Rev. 1996, 76, 319–370. [Google Scholar] [PubMed]
- Bethea, J.R.; Nagashima, H.; Acosta, M.C.; Briceno, C.; Gomez, F.; Marcillo, A.E.; Loor, K.; Green, J.; Dietrich, W.D. Systemically administered interleukin-10 reduces tumor necrosis factor-alpha production and significantly improves functional recovery following traumatic spinal cord injury in rats. J. Neurotrauma 1999, 16, 851–863. [Google Scholar] [CrossRef] [PubMed]
- Horn, K.P.; Busch, S.A.; Hawthorne, A.L.; van Rooijen, N.; Silver, J. Another barrier to regeneration in the CNS: Activated macrophages induce extensive retraction of dystrophic axons through direct physical interactions. J. Neurosci. 2008, 28, 9330–9341. [Google Scholar] [CrossRef] [PubMed]
- Isaksson, J.; Farooque, M.; Olsson, Y. Spinal cord injury in ICAM-1-deficient mice: Assessment of functional and histopathological outcome. J. Neurotrauma 2000, 17, 333–344. [Google Scholar] [CrossRef] [PubMed]
- Leskovar, A.; Moriarty, L.J.; Turek, J.J.; Schoenlein, I.A.; Borgens, R.B. The macrophage in acute neural injury: Changes in cell numbers over time and levels of cytokineproduction in mammalian central and peripheral nervous systems. J. Exp. Biol. 2000, 203, 1783–1795. [Google Scholar] [PubMed]
- Wu, J.; Pajoohesh-Ganji, A.; Stoica, B.A.; Dinizo, M.; Guanciale, K.; Faden, A.I. Delayed expression of cell cycle proteins contributes to astroglial scar formation and chronic inflammation after rat spinal cord contusion. J. Neuroinflamm. 2012, 9, 169. [Google Scholar] [CrossRef] [PubMed]
- Fugate, J.E.; Moore, S.A.; Knopman, D.S.; Claassen, D.O.; Wijdicks, E.F.; White, R.D.; Rabinstein, A.A. Cognitive outcomes of patients undergoing therapeutic hypothermia after cardiac arrest. Neurology 2013, 81, 40–45. [Google Scholar] [CrossRef] [PubMed]
- Hollenbeck, R.D.; Wells, Q.; Pollock, J.; Kelley, M.B.; Wagner, C.E.; Cash, M.E.; Scott, C.; Burns, K.; Jones, I.; Fredi, J.L.; et al. Implementation of a standardized pathway for the treatment of cardiac arrest patients using therapeutic hypothermia: “CODE ICE”. Crit. Pathw. Cardiol. 2012, 11, 91–98. [Google Scholar] [CrossRef] [PubMed]
- Dehaes, M.; Aggarwal, A.; Lin, P.Y.; Rosa Fortuno, C.; Fenoglio, A.; Roche-Labarbe, N.; Soul, J.S.; Franceschini, M.A.; Grant, P.E. Cerebral oxygen metabolism in neonatal hypoxic ischemic encephalopathy during and after therapeutic hypothermia. J. Cereb. Blood Flow Metab. 2014, 34, 87–94. [Google Scholar] [CrossRef] [PubMed]
- Soll, R.F. Cooling for newborns with hypoxic ischemic encephalopathy. Neonatology 2013, 104, 260–262. [Google Scholar] [CrossRef]
- Stravitz, R.T.; Larsen, F.S. Therapeutic hypothermia for acute liver failure. Crit. Care Med. 2009, 37 (Suppl. 7), 258–264. [Google Scholar] [CrossRef] [PubMed]
- Varon, J.; Marik, P.E.; Einav, S. Therapeutic hypothermia: A state-of-the-art emergency medicine perspective. Am. J. Emerg. Med. 2012, 30, 800–810. [Google Scholar] [CrossRef] [PubMed]
- Karibe, H.; Sato, K.; Shimizu, H.; Tominaga, T.; Koshu, K.; Yoshimoto, T. Intraoperative mild hypothermia ameliorates postoperative cerebral blood flow impairment in patients with aneurysmal subarachnoid hemorrhage. Neurosurgery 2000, 47, 594–599. [Google Scholar] [PubMed]
- Lusczek, E.R.; Lexcen, D.R.; Witowski, N.E.; Determan, C., Jr.; Mulier, K.E.; Beilman, G. Prolonged induced hypothermia in hemorrhagic shock is associated with decreased muscle metabolism: An NMR-based metabolomics study. Shock 2014, 41, 79–84. [Google Scholar] [CrossRef] [PubMed]
- Morrison, J.J.; Ross, J.D.; Poon, H.; Midwinter, M.J.; Jansen, J.O. Intra-operative correction of acidosis, coagulopathy and hypothermia in combat casualties with severe haemorrhagic shock. Anaesthesia 2013, 68, 846–850. [Google Scholar] [CrossRef] [PubMed]
- Adelson, P.D.; Wisniewski, S.R.; Beca, J.; Brown, S.D.; Bell, M.; Muizelaar, J.P.; Okada, P.; Beers, S.R.; Balasubramani, G.K.; Hirtz, D. Comparison of hypothermia and normothermia after severe traumatic brain injury in children (Cool Kids): A phase 3, randomised controlled trial. Lancet Neurol. 2013, 12, 546–553. [Google Scholar] [CrossRef]
- Bramlett, H.M.; Dietrich, W.D. The effects of posttraumatic hypothermia on diffuse axonal injury following parasaggital fluid percussion brian injury in rats. Ther. Hypoth. Temp. Manag. 2012, 2, 14–23. [Google Scholar] [CrossRef] [PubMed]
- Fujita, M.; Wei, E.P.; Povlishock, J.T. Effects of hypothermia on cerebral autoregulatory vascular responses in two rodent models of traumatic brain injury. J. Neurotrauma 2012, 29, 1491–1498. [Google Scholar] [CrossRef] [PubMed]
- Gao, G.; Oda, Y.; Wei, E.P.; Povlishock, J.T. The adverse pial arteriolar and axonal consequences of traumatic brain injury complicated by hypoxia and their therapeutic modulation with hypothermia in rat. J. Cereb. Blood Flow Metab. 2010, 30, 628–637. [Google Scholar] [CrossRef] [PubMed]
- Ahmad, F.; Wang, M.Y.; Levi, A.D. Hypothermia for acute spinal cord injury—A review. World Neurosurg. 2014, 82, 207–214. [Google Scholar] [CrossRef] [PubMed]
- Dididze, M.; Green, B.A.; Dietrich, W.D.; Vanni, S.; Wang, M.Y.; Levi, A.D. Systemic hypothermia in acute cervical spinal cord injury: A case-controlled study. Spinal Cord 2013, 51, 395–400. [Google Scholar] [CrossRef] [PubMed]
- Grulova, I.; Slovinska, L.; Nagyova, M.; Cizek, M.; Cizkova, D. The effect of hypothermia on sensory-motor function and tissue sparing after spinal cord injury. Spine J. 2013, 13, 1881–1891. [Google Scholar] [CrossRef] [PubMed]
- Lo, T.P., Jr.; Cho, K.S.; Garg, M.S.; Lynch, M.P.; Marcillo, A.E.; Koivisto, D.L.; Stagg, M.; Abril, R.M.; Patel, S.; Dietrich, W.D.; et al. Systemic hypothermia improves histological and functional outcome after cervical spinal cord contusion in rats. J. Comp. Neurol. 2009, 514, 433–448. [Google Scholar] [CrossRef] [PubMed]
- Cooley, D.A.; Ott, D.A.; Frazier, O.H.; Walker, W.E. Surgical treatment of aneurysms of the transverse aortic arch: Experience with 25 patients using hypothermic techniques. Ann. Thorac. Surg. 1981, 32, 260–272. [Google Scholar] [CrossRef]
- Lucas, J.H.; Wang, G.F.; Gross, G.W. NMDA antagonists prevent hypothermic injury and death of mammalian spinal neurons. J. Neurotrauma 1990, 7, 229–236. [Google Scholar] [CrossRef] [PubMed]
- Alonso-Alconada, D.; Broad, K.D.; Bainbridge, A.; Chandrasekaran, M.; Faulkner, S.D.; Kerenyi, Á.; Hassell, J.; Rocha-Ferreira, E.; Hristova, M.; Fleiss, B.; et al. Brain cell death is reduced with cooling by 3.5 to 5 °C but increased with cooling by 8.5 °C in a piglet asphyxia model. Stroke 2015, 46, 275–278. [Google Scholar] [CrossRef] [PubMed]
- Albin, M.S.; White, R.J.; Locke, G.S.; Massopust, L.C., Jr.; Kretchmer, H.E. Localized spinal cord hypothermia:-anesthetic effects and application to spinal cord injury. Anesth. Analg. 1967, 46, 8–16. [Google Scholar] [CrossRef] [PubMed]
- Albin, M.S.; White, R.J.; Acosta-Rua, G.; Yashon, D. Study of functional recovery produced by delayed localized cooling after spinal cord injury in primates. J. Neurosurg. 1968, 29, 113–120. [Google Scholar] [CrossRef] [PubMed]
- Ducker, T.B.; Hamit, H.F. Experimental treatments of acute spinal cord injury. J. Neurosurg. 1969, 30, 693–697. [Google Scholar] [CrossRef] [PubMed]
- Salzano, R.P., Jr.; Ellison, L.H.; Altonji, P.F.; Richter, J.; Deckers, P.J. Regional deep hypothermia of the spinal cord protects against ischemic injury during thoracic aortic cross-clamping. Ann. Thorac. Surg. 1994, 57, 65–70. [Google Scholar] [CrossRef]
- Tabayashi, K.; Niibori, K.; Konno, H.; Mohri, H. Protection from postischemic spinal cord injury by perfusion cooling of the epidural space. Ann. Thorac. Surg. 1993, 56, 494–498. [Google Scholar] [CrossRef]
- Rokkas, C.K.; Cronin, C.S.; Nitta, T.; Helfrich, L.R., Jr.; Lobner, D.C.; Choi, D.W.; Kouchoukos, N.T. Profound systemic hypothermia inhibits the release of neurotransmitter amino acids in spinal cord ischemia. J. Thorac. Cardiovasc. Surg. 1995, 110, 27–35. [Google Scholar] [CrossRef]
- Rose, W.W.; Reddy, D.J.; Ernst, C.B.; Reickert, C.A.; Patterson, J.S. Protective effect of hypothermia and left heart bypass on spinalischemia in the dog. Arch. Surg. 1997, 132, 633–639. [Google Scholar] [CrossRef] [PubMed]
- Ueno, T.; Furukawa, K.; Katayama, Y.; Itoh, T. Protection against ischemic spinal cord injury: One-shot perfusion cooling and percutaneous topical cooling. J. Vasc. Surg. 1994, 19, 882–887. [Google Scholar] [CrossRef]
- Yu, C.G.; Jimenez, O.; Marcillo, A.E.; Weider, B.; Bangerter, K.; Dietrich, W.D.; Castro, S.; Yezierski, R.P. Beneficial effects of modest systemic hypothermia on locomotor function and histopathological damage following contusion-induced spinal cord injury in rats. J. Neurosurg. 2000, 93 (Suppl. 1), 85–93. [Google Scholar] [CrossRef] [PubMed]
- Batchelor, P.E.; Kerr, N.F.; Gatt, A.M.; Cox, S.F.; Ghasem-Zadeh, A.; Wills, T.E.; Sidon, T.K.; Howells, D.W. Intracanal pressure in compressive spinal cord injury: Reduction with hypothermia. J. Neurotrauma 2011, 28, 809–820. [Google Scholar] [CrossRef] [PubMed]
- Maybhate, A.; Hu, C.; Bazley, F.A.; Yu, Q.; Thakor, N.V.; Kerr, C.L.; All, A.H. Potential long-term benefits of acute hypothermia after spinal cord injury: Assessments with somatosensory-evoked potentials. Crit. Care Med. 2012, 40, 573–579. [Google Scholar] [CrossRef] [PubMed]
- Saito, T.; Saito, S.; Yamamoto, H.; Tsuchida, M. Neuroprotection following mild hypothermia after spinal cord ischemia in rats. J. Vasc. Surg. 2013, 57, 173–181. [Google Scholar] [CrossRef] [PubMed]
- Jackson, F.; Assam, S. Extensive spinal epidural abscess treated by laminectomy and hypothermia. Case report. J. Neurosurg. 1964, 21, 237–239. [Google Scholar] [CrossRef] [PubMed]
- Demian, Y.K.; White, R.J.; Yashon, D.; Kretchmer, H.E. Anaesthesia for laminectomy and localized cord cooling in acute cervical spine injury. Report of three cases. Br. J. Anaesth. 1971, 43, 973–979. [Google Scholar] [CrossRef] [PubMed]
- Bricolo, A.; Ore, G.D.; Da Pian, R.; Faccioli, F. Local cooling in spinal cord injury. Surg. Neurol. 1976, 6, 101–106. [Google Scholar] [PubMed]
- Koons, D.D.; Gildenberg, P.L.; Dohn, D.F.; Henoch, M. Local hypothermia in the treatment of spinal cord injuries. Report of seven cases. Clevel. Clin. Q. 1972, 39, 109–117. [Google Scholar] [CrossRef]
- Romodanov, A.P.; Mikhaĭlovskiĭ, V.S.; Andreĭko, R.L. Spinal cord hypothermia in neurosurgical practice. Zh Vopr Neirokhir Im N N Burdenko 1979, 2, 9–13. (In Russian) [Google Scholar] [PubMed]
- Iumashev, G.S.; Cherkashina, Z.A.; Kostin, V.A.; Lysikov, A.V.; El’kina, I.A. Method of using local hypothermia of the spinal cord in spinalized patients during the postoperative period. Zh Vopr Neirokhir Im N N Burdenko 1983, 6, 34–36. (In Russian) [Google Scholar] [PubMed]
- Cherkashina, Z.A. Effectiveness of local hypothermia in the complex treatment of patients with complicated injuries of the spine. Ortop. Travmatol. protež. 1989, 5, 12–16. (In Russian) [Google Scholar] [PubMed]
- Kouchoukos, N.T.; Kulik, A.; Castner, C.F. Outcomes after thoracoabdominal aortic aneurysm repair using hypothermic circulatory arrest. J. Thorac. Cardiovasc. Surg. 2013, 145 (Suppl. 3), 139–141. [Google Scholar] [CrossRef] [PubMed]
- Cambria, R.P.; Davison, J.K.; Zannetti, S.; L’Italien, G.; Brewster, D.C.; Gertler, J.P.; Moncure, A.C.; LaMuraglia, G.M.; Abbott, W.M. Clinical experience with epidural cooling for spinal cord protection during thoracic and thoracoabdominal aneurysm repair. J. Vasc. Surg. 1997, 25, 234–241. [Google Scholar] [CrossRef]
- Rokkas, C.K.; Kouchoukos, N.T. Profound hypothermia for spinal cord protection in operations on the descending thoracic and thoracoabdominal aorta. Semin. Thorac. Cardiovasc. Surg. 1998, 10, 57–60. [Google Scholar] [CrossRef]
- Svensson, L.G.; Hess, K.R.; D’Agostino, R.S.; Entrup, M.H.; Hreib, K.; Kimmel, W.A.; Nadolny, E.; Shahian, D.M. Reduction of neurologic injury after high-risk thoracoabdominal aortic operation. Ann. Thorac. Surg. 1998, 66, 132–138. [Google Scholar] [CrossRef]
- Hayes, K.C.; Hsieh, J.T.; Potter, P.J.; Wolfe, D.L.; Delaney, G.A.; Blight, A.R. Effects of induced hypothermia on somatosensory evoked potentials in patients with chronic spinal cord injury. Paraplegia 1993, 31, 730–741. [Google Scholar] [CrossRef] [PubMed]
- Cappuccino, A.; Bisson, L.J.; Carpenter, B.; Marzo, J.; Dietrich, W.D.; Cappuccino, H. The use of systemic hypothermia for the treatment of an acute cervical spinal cord injury in a professional football player. Spine 2010, 35, E57–E62. [Google Scholar] [CrossRef] [PubMed]
- Dietrich, W.D.; Levi, A.D.; Wang, M.; Green, B.A. Hypothermic treatment for acute spinal cord injury. Neurotherapeutics 2011, 8, 229–239. [Google Scholar] [CrossRef] [PubMed]
- Levi, A.D.; Casella, G.; Green, B.A.; Dietrich, W.D.; Vanni, S.; Jagid, J.; Wang, M.Y. Clinical outcomes using modest intravascular hypothermia after acute cervical spinal cord injury. Neurosurgery 2010, 66, 670–677. [Google Scholar] [CrossRef] [PubMed]
- Levi, A.D.; Green, B.A.; Wang, M.Y.; Dietrich, W.D.; Brindle, T.; Vanni, S.; Casella, G.; Elhammady, G.; Jagid, J. Clinical application of modest hypothermia after spinal cord injury. J. Neurotrauma 2009, 26, 407–415. [Google Scholar] [CrossRef] [PubMed]
- Madhavan, K.; Benglis, D.M.; Wang, M.Y.; Vanni, S.; Lebwohl, N.; Green, B.A.; Levi, A.D. The use of modest systemic hypothermia after iatrogenic spinal cord injury during surgery. Ther. Hypoth. Temp. Manag. 2012, 2, 183–192. [Google Scholar] [CrossRef] [PubMed]
- Tripathy, S.; Whitehead, C.F. Endovascular cooling for severe hyperthermia in cervical spine injury. Neurocrit. Care 2011, 15, 525–528. [Google Scholar] [CrossRef] [PubMed]
- Chatzipanteli, K.; Yanagawa, Y.; Marcillo, A.E.; Kraydieh, S.; Yezierski, R.P.; Dietrich, W.D. Posttraumatic hypothermia reduces polymorphonuclear leukocyte accumulation following spinal cord injury in rats. J. Neurotrauma 2000, 17, 321–332. [Google Scholar] [CrossRef] [PubMed]
- González-Ibarra, F.P.; Varon, J.; López-Meza, E.G. Therapeutic hypothermia: Critical review of the molecular mechanisms of action. Front. Neurol. 2011, 2, 4. [Google Scholar] [CrossRef] [PubMed]
- Morino, T.; Ogata, T.; Takeba, J.; Yamamoto, H. Microglia inhibition is a target of mild hypothermic treatment after the spinal cord injury. Spinal Cord 2008, 46, 425–431. [Google Scholar] [CrossRef] [PubMed]
- Dzsinich, C.; Nagy, G.; Selmeci, L.; Sepa, G.; Fazekas, L.; Kékesi, V.; Juhász-Nagy, S. Effect of regional hypothermia on cerebrospinal fluid parameters during thoracoabdominal aorta clamping in dogs. Magy. Seb. 2000, 53, 79–84. (In Hungarian) [Google Scholar] [PubMed]
- Allen, B.T.; Davis, C.G.; Osborne, D.; Karl, I. Spinal cord ischemia and reperfusion metabolism: The effect of hypothermia. J. Vasc. Surg. 1994, 19, 332–339. [Google Scholar] [CrossRef]
- Drenger, B.; Parker, S.D.; Frank, S.M.; Beattie, C. Changes in cerebrospinal fluid pressure and lactate concentrations during thoracoabdominal aortic aneurysm surgery. Anesthesiology 1997, 86, 41–47. [Google Scholar] [CrossRef] [PubMed]
- Luo, J.; Li, N.; Robinson, J.P.; Shi, R. The increase of reactive oxygen species and their inhibition in an isolated guinea pig spinal cord compression model. Spinal Cord 2002, 40, 656–665. [Google Scholar] [CrossRef] [PubMed]
- Tüzgen, S.; Kaynar, M.Y.; Güner, A.; Gümüştaş, K.; Belce, A.; Etuş, V.; Ozyurt, E. The effect of epidural cooling on lipid peroxidation after experimentalspinal cord injury. Spinal Cord 1998, 36, 654–657. [Google Scholar] [CrossRef] [PubMed]
- Park, E.; Velumian, A.A.; Fehlings, M.G. The role of excitotoxicity in secondary mechanisms of spinal cord injury: A review with an emphasis on the implications for white matter degeneration. J. Neurotrauma 2004, 21, 754–774. [Google Scholar] [CrossRef] [PubMed]
- Mazzone, G.L.; Nistri, A. Electrochemical detection of endogenous glutamate release from rat spinal cord organotypic slices as a real-time method to monitor excitotoxicity. J. Neurosci. Methods 2011, 197, 128–132. [Google Scholar] [CrossRef] [PubMed]
- Ishikawa, T.; Marsala, M. Hypothermia prevents biphasic glutamate release and corresponding neuronal degeneration after transient spinal cord ischemia in the rat. Cell Mol. Neurobiol. 1999, 19, 199–208. [Google Scholar] [PubMed]
- Wakamatsu, H.; Matsumoto, M.; Nakakimura, K.; Sakabe, T. The effects of moderate hypothermia and intrathecal tetracaine on glutamate concentrations of intrathecal dialysate and neurologic and histopathologic outcome in transient spinal cord ischemia in rabbits. Anesth. Analg. 1999, 88, 56–62. [Google Scholar] [PubMed]
- Nishi, H.; Nakatsuka, T.; Takeda, D.; Miyazaki, N.; Sakanaka, J.; Yamada, H.; Yoshida, M. Hypothermia suppresses excitatory synaptic transmission and neuronal death induced by experimental ischemia in spinal ventral horn neurons. Spine 2007, 32, E741–E747. [Google Scholar] [CrossRef] [PubMed]
- Kotipatruni, RR1.; Dasari, V.R.; Veeravalli, K.K.; Dinh, D.H.; Fassett, D.; Rao, J.S. p53- and Bax-mediated apoptosis in injured rat spinal cord. Neurochem. Res. 2011, 36, 2063–2074. [Google Scholar]
- Springer, J.E.; Azbill, R.D.; Knapp, P.E. Activation of the caspase-3 apoptotic cascade in traumatic spinal cord injury. Nat. Med. 1999, 5, 943–946. [Google Scholar] [CrossRef] [PubMed]
- Takagi, T.; Takayasu, M.; Mizuno, M.; Yoshimoto, M.; Yoshida, J. Caspase activation in neuronal and glial apoptosis following spinal cord injury in mice. Neurol. Med. Chir. 2003, 43, 20–29. [Google Scholar] [CrossRef]
- Zhang, J.; Cui, Z.; Feng, G.; Bao, G.; Xu, G.; Sun, Y.; Wang, L.; Chen, J.; Jin, H.; Liu, J.; et al. RBM5 and p53 expression after rat spinal cord injury: Implications for neuronal apoptosis. Int. J. Biochem. Cell Biol. 2015, 60, 43–52. [Google Scholar] [CrossRef] [PubMed]
- Ok, J.H.; Kim, Y.H.; Ha, K.Y. Neuroprotective effects of hypothermia after spinal cord injury in rats: Comparative study between epidural hypothermia and systemic hypothermia. Spine 2012, 37, E1551–E1559. [Google Scholar] [CrossRef] [PubMed]
- Wang, L.M.; Yan, Y.; Zou, L.J.; Jing, N.H.; Xu, Z.Y. Moderate hypothermia prevents neural cell apoptosis following spinal cord ischemia in rabbits. Cell Res. 2005, 15, 387–393. [Google Scholar] [CrossRef] [PubMed]
- Sato, A.; Ohtaki, H.; Tsumuraya, T.; Song, D.; Ohara, K.; Asano, M.; Iwakura, Y.; Atsumi, T.; Shioda, S. Interleukin-1 participates in the classical and alternative activation of microglia/macrophages after spinal cord injury. J. Neuroinflamm. 2012, 9, 65. [Google Scholar] [CrossRef] [PubMed]
- Kigerl, K.A.; Gensel, J.C.; Ankeny, D.P.; Alexander, J.K.; Donnelly, D.J.; Popovich, P.G. Identification of two distinct macrophage subsets with divergent effects causing either neurotoxicity or regeneration in the injured mouse spinal cord. J. Neurosci. 2009, 29, 13435–13444. [Google Scholar] [CrossRef] [PubMed]
- Busch, S.A.; Horn, K.P.; Silver, D.J.; Silver, J. Overcoming macrophage-mediated axonal dieback following CNS injury. J. Neurosci. 2009, 29, 9967–9976. [Google Scholar] [CrossRef] [PubMed]
- Ashwell, J.D. The many paths to p38 mitogen-activated protein kinase activation in the immune system. Nat. Rev. Immunol. 2006, 6, 532–540. [Google Scholar] [CrossRef] [PubMed]
- Boyle, D.L.; Jones, T.L.; Hammaker, D.; Svensson, C.I.; Rosengren, S.; Albani, S.; Sorkin, L.; Firestein, G.S. Regulation of peripheral inflammation by spinal p38 MAP kinase in rats. PLoS Med. 2006, 3, e338. [Google Scholar] [CrossRef] [PubMed]
- Bartanusz, V.; Jezova, D.; Alajajian, B.; Digicaylioglu, M. The blood-spinal cord barrier: Morphology and clinical implications. Ann. Neurol. 2011, 70, 194–206. [Google Scholar] [CrossRef] [PubMed]
- Cohen, D.M.; Patel, C.B.; Ahobila-Vajjula, P.; Sundberg, L.M.; Chacko, T.; Liu, S.J.; Narayana, P.A. Blood-spinal cord barrier permeability in experimental spinal cord injury: Dynamic contrast-enhanced MRI. NMR Biomed. 2009, 22, 332–341. [Google Scholar] [CrossRef] [PubMed]
- Sharma, H.S. Pathophysiology of blood-spinal cord barrier in traumatic injury and repair. Curr. Pharm. Des. 2005, 11, 1353–1389. [Google Scholar] [CrossRef] [PubMed]
- Yu, W.R.; Westergren, H.; Farooque, M.; Holtz, A.; Olsson, Y. Systemic hypothermia following compression injury of rat spinal cord: Reduction of plasma protein extravasation demonstrated by immunohistochemistry. Acta Neuropathol. 1999, 98, 15–21. [Google Scholar] [CrossRef] [PubMed]
- Wang, D.; Yang, Z.; Zhang, J. Treatment of spinal cord injury by mild hypothermia combined with bonemarrow mesenchymal stem cells transplantation in rats. Zhongguo Xiu Fu Chong Jian Wai Ke Za Zhi 2010, 24, 801–805. (In Chinese) [Google Scholar] [PubMed]
- Wilcox, J.T.; Satkunendrarajah, K.; Zuccato, J.A.; Nassiri, F.; Fehlings, M.G. Neural precursor cell transplantation enhances functional recovery and reduces astrogliosis in bilateral compressive/contusive cervical spinal cord injury. Stem Cells Transl. Med. 2014, 3, 1148–1159. [Google Scholar] [CrossRef] [PubMed]
- Dubory, A.; Laemmel, E.; Badner, A.; Duranteau, J.; Vicaut, E.; Court, C.; Soubeyrand, M. Contrast enhanced ultrasound imaging for assessment of spinal cord blood flow in experimental spinal cord injury. J. Vis. Exp. 2015, 99. [Google Scholar] [CrossRef] [PubMed]
- Hu, J.; Cao, Y.; Wu, T.; Li, D.; Lu, H. 3D angioarchitecture changes after spinal cord injury in rats using synchrotron radiation phase-contrast tomography. Spinal Cord 2015. [Google Scholar] [CrossRef] [PubMed]
- Salkov, M.; Tsymbaliuk, V.; Dzyak, L.; Rodinsky, A.; Cherednichenko, Y.; Titov, G. New concept of pathogenesis of impaired circulation in traumatic cervical spinal cord injury and its impact on disease severity: Case series of four patients. Eur. Spine J. 2015. [Google Scholar] [CrossRef] [PubMed]
- Kao, C.H.; Chio, C.C.; Lin, M.T.; Yeh, C.H. Body cooling ameliorating spinal cord injury may be neurogenesis-, anti-inflammation- and angiogenesis-associated in rats. J. Trauma 2011, 70, 885–893. [Google Scholar] [CrossRef] [PubMed]
- Del Mar, N.; von Buttlar, X.; Yu, A.S.; Guley, N.H.; Reiner, A.; Honig, M. A novel closed-body model of spinal cord injury caused by high-pressure air blasts produces extensive axonal injury and motor impairments. Exp. Neurol. 2015, 271, 53–71. [Google Scholar] [CrossRef] [PubMed]
- Ward, R.E.; Huang, W.; Kostusiak, M.; Pallier, P.N.; Michael-Titus, A.T.; Priestley, J.V. A characterization of white matter pathology following spinal cord compression injury in the rat. Neuroscience 2014, 260, 227–239. [Google Scholar] [CrossRef] [PubMed]
- Wu, W.; Wu, W.; Zou, J.; Shi, F.; Yang, S.; Liu, Y.; Lu, P.; Ma, Z.; Zhu, H.; Xu, X.M. Axonal and glial responses to a mid-thoracic spinal cord hemisection in the Macaca fascicularis monkey. J. Neurotrauma 2013, 30, 826–839. [Google Scholar] [CrossRef] [PubMed]
- Westergren, H.; Yu, W.R.; Farooque, M.; Holtz, A.; Olsson, Y. Systemic hypothermia following spinal cord compression injury in the rat: Axonal changes studied by beta-APP, ubiquitin, and PGP 9.5 immunohistochemistry. Spinal Cord 1999, 37, 696–704. [Google Scholar] [CrossRef] [PubMed]
- Park, K.W.; Lin, C.Y.; Lee, Y.S. Expression of suppressor of cytokine signaling-3 (SOCS3) and its role in neuronal death after complete spinal cord injury. Exp. Neurol. 2014, 261, 65–75. [Google Scholar] [CrossRef] [PubMed]
- Herlambang, B.; Orihashi, K.; Mizukami, T.; Takahashi, S.; Uchida, N.; Hiyama, E.; Sueda, T. New method for absolute spinal cord ischemia protection in rabbits. J. Vasc. Surg. 2011, 54, 1109–1116. [Google Scholar] [CrossRef] [PubMed]
- Topuz, K.; Colak, A.; Cemil, B.; Kutlay, M.; Demircan, M.N.; Simsek, H.; Ipcioglu, O.; Kucukodaci, Z.; Uzun, G. Combined hyperbaric oxygen and hypothermia treatment on oxidative stress parameters after spinal cord injury: An experimental study. Arch. Med. Res. 2010, 41, 506–512. [Google Scholar] [CrossRef] [PubMed]
- Alipour, M.; Buonocore, C.; Omri, A.; Szabo, M.; Pucaj, K.; Suntres, Z.E. Therapeutic effect of liposomal-N-acetylcysteine against acetaminophen-induced hepatotoxicity. J Drug Target. 2013, 21, 466–473. [Google Scholar] [CrossRef] [PubMed]
- Vecchiarelli, A.; Dottorini, M.; Pietrella, D.; Cociani, C.; Eslami, A.; Todisco, T.; Bistoni, F. Macrophage activation by N-acetyl-cysteine in COPD patients. Chest 1994, 105, 806–811. [Google Scholar] [CrossRef] [PubMed]
- Cuzzocrea, S.; Mazzon, E.; Costantino, G.; Serraino, I.; Dugo, L.; Calabrò, G.; Cucinotta, G.; De Sarro, A.; Caputi, A.P. Beneficial effects of N-acetylcysteine on ischaemic brain injury. Br. J. Pharmacol. 2000, 130, 1219–1226. [Google Scholar] [CrossRef] [PubMed]
- Cakir, O.; Erdem, K.; Oruc, A.; Kilinc, N.; Eren, N. Neuroprotective effect of N-acetylcysteine and hypothermia on the spinal cord ischemia-reperfusion injury. Cardiovasc. Surg. 2003, 11, 375–379. [Google Scholar] [CrossRef]
- Chen, W.F.; Sung, C.S.; Jean, Y.H.; Su, T.M.; Wang, H.C.; Ho, J.T.; Huang, S.Y.; Lin, C.S.; Wen, Z.H. Suppressive effects of intrathecal granulocyte colony-stimulating factor on excessive release of excitatory amino acids in the spinal cerebrospinal fluid of rats with cord ischemia: Role of glutamate transporters. Neuroscience 2010, 165, 1217–1232. [Google Scholar] [CrossRef] [PubMed]
- Umebayashi, D.; Natsume, A.; Takeuchi, H.; Hara, M.; Nishimura, Y.; Fukuyama, R.; Sumiyoshi, N.; Wakabayashi, T. Blockade of gap junction hemichannel protects secondary spinal cord injury from activated microglia-mediated glutamate exitoneurotoxicity. J. Neurotrauma 2014, 31, 1967–1974. [Google Scholar] [CrossRef] [PubMed]
- Goss, S.L.; Lemons, K.A.; Kerstetter, J.E.; Bogner, R.H. Determination of calcium salt solubility with changes in pH and P(CO(2)), simulating varying gastrointestinal environments. J. Pharm. Pharmacol. 2007, 59, 1485–1492. [Google Scholar] [CrossRef] [PubMed]
- Cruz, O.; Kuffler, D.P. Neuroprotection of adult rat dorsal root ganglion neurons by combined hypothermia and alkalinization against prolonged ischemia. Neuroscience 2005, 132, 115–122. [Google Scholar] [CrossRef] [PubMed]
- Reyes, O.; Sosa, I.; Kuffler, D.P. Neuroprotection of adult human neurons against ischemia by hypothermia and alkalinization. P. R. Health Sci. J. 2006, 25, 43–50. [Google Scholar] [PubMed]
- Kuffler, D.P. Neuroprotection by hypothermia plus alkalinization of dorsal root ganglia neurons through ischemia. Ann. N. Y. Acad. Sci. 2010, 1199, 158–163. [Google Scholar] [CrossRef] [PubMed]
- Kuffler, D.P. Combinatorial techniques for enhancing neuroprotection: Hypothermia and alkalinization. Ann. N. Y. Acad. Sci. 2010, 1199, 164–174. [Google Scholar] [CrossRef] [PubMed]
- Tang, S.H.; Yu, J.G.; Li, J.J.; Sun, J.Y. Neuroprotective effect of ketamine on acute spinal cord injury in rats. Genet. Mol. Res. 2015, 14, 3551–3556. [Google Scholar] [CrossRef] [PubMed]
- Niiyama, S.; Tanaka, E.; Yamamoto, S.; Yasumoto, S.; Kano, T.; Higashi, H. Bupivacaine, but not tetracaine, protects against the in vitro ischemic insult of rat hippocampal CA1 neurons. Neurosci. Res. 2002, 42, 231–241. [Google Scholar] [CrossRef]
- Lee, J.R.; Han, S.M.; Leem, J.G.; Hwang, S.J. Effects of intrathecal bupivacaine in conjunction with hypothermia on neuronal protection against transient spinal cord ischemia in rats. Acta Anaesthesiol. Scand. 2007, 51, 60–67. [Google Scholar] [CrossRef] [PubMed]
- Horiuchi, T.; Kawaguchi, M.; Kurita, N.; Inoue, S.; Sakamoto, T.; Nakamura, M.; Konishi, N.; Furuya, H. Effects of delta-opioid agonist SNC80 on white matter injury following spinal cord ischemia in normothermic and mildly hypothermic rats. J. Anesth. 2008, 22, 32–37. [Google Scholar] [CrossRef] [PubMed]
- Wang, D.; Zhang, J. Effects of hypothermia combined with neural stem cell transplantation on recovery of neurological function in rats with spinal cord injury. Mol. Med. Rep. 2015, 11, 1759–1767. [Google Scholar] [CrossRef] [PubMed]
- Colak, A.; Kaya, M.; Karaoğlan, A.; Sağmanligil, A.; Akdemir, O.; Sahan, E.; Celik, O. Calpain inhibitor AK 295 inhibits calpain-induced apoptosis and improves neurologic function after traumatic spinal cord injury in rats. Neurocirugia 2009, 20, 245–254. [Google Scholar] [CrossRef]
- Sonmez, E.; Kabatas, S.; Ozen, O.; Karabay, G.; Turkoglu, S.; Ogus, E.; Yilmaz, C.; Caner, H.; Altinors, N. Minocycline treatment inhibits lipid peroxidation, preservesspinal cord ultrastructure, and improves functional outcome after traumatic spinal cord injury in the rat. Spine 2013, 38, 1253–1259. [Google Scholar] [CrossRef] [PubMed]
- Impellizzeri, D.; Mazzon, E.; Paterniti, I.; Esposito, E.; Cuzzocrea, S. Effect of fasudil, a selective inhibitor of Rho kinase activity, in the secondaryinjury associated with the experimental model of spinal cord trauma. J. Pharmacol. Exp. Ther. 2012, 343, 21–33. [Google Scholar] [CrossRef] [PubMed]
- White, R.J.; Albin, M.S.; Harris, S.; Yashon, D. Spinal cord injury: Sequential morphology and hypothermic stabilization. Surg. Fonon 1969, 20, 432–434. [Google Scholar]
- Batchelor, P.E.; Skeers, P.; Antonic, A.; Wills, T.E.; Howells, D.W.; Macleod, M.R.; Sena, E.S. Systematic review and meta-analysis of therapeutic hypothermia in animal models of spinal cord injury. PLoS ONE 2013, 8, e71317. [Google Scholar] [CrossRef] [PubMed]
- Inoue, S.; Mori, A.; Shimizu, H.; Yoshitake, A.; Tashiro, R.; Kabei, N.; Yozu, R. Combined use of an epidural cooling catheter and systemic moderatehypothermia enhances spinal cord protection against ischemic injury in rabbits. J. Thorac. Cardiovasc. Surg. 2013, 146, 696–701. [Google Scholar] [CrossRef] [PubMed]
- Bazley, F.A.; Pashai, N.; Kerr, C.L.; All, A.H. The effects of local and general hypothermia on temperature profiles of the central nervous system following spinal cord injury in rats. Ther. Hypoth. Temp. Manag. 2014, 4, 115–124. [Google Scholar] [CrossRef] [PubMed]
- Tsutsumi, K.; Ueda, T.; Shimizu, H.; Hashizume, K.; Yozu, R. Effect of delayed induction of postischemic hypothermia on spinal cord damage induced by transient ischemic insult in rabbits. Jpn. J. Thorac. Cardiovasc. Surg. 2004, 52, 411–418. [Google Scholar] [CrossRef] [PubMed]
- Kabon, B.; Bacher, A.; Spiss, C.K. Therapeutic hypothermia. Best Pract. Res. Clin. Anaesthesiol. 2003, 17, 551–568. [Google Scholar] [CrossRef]
- Che, D.; Li, L.; Kopil, C.M.; Liu, Z.; Guo, W.; Neumar, R.W. Impact of therapeutic hypothermia onset and duration on survival, neurologic function, and neurodegeneration after cardiac arrest. Crit. Care Med. 2011, 39, 1423–1430. [Google Scholar] [CrossRef] [PubMed]
- Karamouzian, S.; Akhtarshomar, S.; Saied, A.; Gholamhoseinian, A. Effects of methylprednisolone on neuroprotective effects of delay hypothermia on spinal cord injury in rat. Asian Spine J. 2015, 9, 1–6. [Google Scholar] [CrossRef] [PubMed]
- Wells, J.D.; Hansebout, R.R. Local hypothermia in experimental spinal cord trauma. Surg. Neurol. 1978, 10, 200–204. [Google Scholar] [PubMed]
- Duz, B.; Kaplan, M.; Bilgic, S.; Korkmaz, A.; Kahraman, S. Does hypothermic treatment provide an advantage after spinal cord injury until surgery? An experimental study. Neurochem. Res. 2009, 34, 407–410. [Google Scholar] [CrossRef] [PubMed]
- Horiuchi, T.; Kawaguchi, M.; Kurita, N.; Inoue, S.; Nakamura, M.; Konishi, N.; Furuya, H. The long-term effects of mild to moderate hypothermia on gray and white matter injury after spinal cord ischemia in rats. Anesth. Analg. 2009, 109, 559–566. [Google Scholar] [CrossRef] [PubMed]
- Maeda, T.; Mori, K.; Shiraishi, Y.; Tatebayashi, K.; Kawai, Y. Selective occlusion of lumbar arteries as a spinal cord ischemia model in rabbits. Jpn. J. Physiol. 2003, 53, 9–15. [Google Scholar] [CrossRef] [PubMed]
- Shibuya, S.; Miyamoto, O.; Janjua, N.A.; Itano, T.; Mori, S.; Norimatsu, H. Post-traumatic moderate systemic hypothermia reduces TUNEL positive cells following spinal cord injury in rat. Spinal Cord 2004, 42, 29–34. [Google Scholar] [CrossRef] [PubMed]
- Strauch, J.T.; Lauten, A.; Spielvogel, D.; Rinke, S.; Zhang, N.; Weisz, D.; Bodian, C.A.; Griepp, R.B. Mild hypothermia protects the spinal cord from ischemic injury in a chronic porcine model. Eur. J. Cardiothorac. Surg. 2004, 25, 708–715. [Google Scholar] [CrossRef] [PubMed]
- Vipin, A.; Kortelainen, J.; Al-Nashash, H.; Chua, S.M.; Thow, X.; Manivannan, J.; Astrid Thakor, N.V.; Kerr, C.L.; All, A.H. Prolonged local hypothermia has no long-term adverse effect on the spinal cord. Ther. Hypoth. Temp. Manag. 2015. [Google Scholar] [CrossRef] [PubMed]
- Mclntyre, L.A.; Fergusson, D.A.; Hébert, P.C.; Moher, D.; Hutchison, J.S. Prolonged therapeutic hypothermia after traumatic brain injury in adults: A systematic review. JAMA 2003, 289, 2992–2999. [Google Scholar] [CrossRef] [PubMed]
- Povlishock, J.T.; Wei, E.P. Posthypothermic rewarming considerations following traumatic brain injury. J. Neurotrauma 2009, 26, 333–340. [Google Scholar] [CrossRef] [PubMed]
- Suehiro, E.; Povlishock, J.T. Exacerbation of traumatically induced axonal injury by rapid posthypothermic rewarming and attenuation of axonal change by cyclosporin A. J. Neurosurg. 2001, 94, 493–498. [Google Scholar] [CrossRef] [PubMed]
- Suehiro, E.; Ueda, Y.; Wei, E.P.; Kontos, H.A.; Povlishock, J.T. Posttraumatic hypothermia followed by slow rewarming protects the cerebral microcirculation. J. Neurotrauma 2003, 20, 381–390. [Google Scholar] [CrossRef] [PubMed]
- Ueda, Y.; Suehiro, E.; Wei, E.P.; Kontos, H.A.; Povlishock, J.T. Uncomplicated rapid posthypothermic rewarming alters cerebrovascular responsiveness. Stroke 2004, 35, 601–606. [Google Scholar] [CrossRef] [PubMed]
- Thompson, H.J.; Kirkness, C.J.; Mitchell, P.H. Hypothermia and rapid rewarming is associated with worse outcome following traumatic brain injury. J. Trauma Nurs. 2010, 17, 173–177. [Google Scholar] [CrossRef] [PubMed]
- Lavinio, A.; Timofeev, I.; Nortje, J.; Outtrim, J.; Smielewski, P.; Gupta, A.; Hutchinson, P.J.; Matta, B.F.; Pickard, J.D.; Menon, D.; et al. Cerebrovascular reactivity during hypothermia and rewarming. Br. J. Anaesth. 2007, 99, 237–244. [Google Scholar] [CrossRef] [PubMed]
- Yu, C.G.; Jagid, J.; Ruenes, G.; Dietrich, W.D.; Marcillo, A.E.; Yezierski, R.P. Detrimental effects of systemic hyperthermia on locomotor function and histopathological outcome after traumatic spinal cord injury in the rat. Neurosurgery 2001, 49, 152–159. [Google Scholar] [PubMed]
© 2015 by the authors; licensee MDPI, Basel, Switzerland. This article is an open access article distributed under the terms and conditions of the Creative Commons Attribution license (http://creativecommons.org/licenses/by/4.0/).
Share and Cite
Wang, J.; Pearse, D.D. Therapeutic Hypothermia in Spinal Cord Injury: The Status of Its Use and Open Questions. Int. J. Mol. Sci. 2015, 16, 16848-16879. https://doi.org/10.3390/ijms160816848
Wang J, Pearse DD. Therapeutic Hypothermia in Spinal Cord Injury: The Status of Its Use and Open Questions. International Journal of Molecular Sciences. 2015; 16(8):16848-16879. https://doi.org/10.3390/ijms160816848
Chicago/Turabian StyleWang, Jiaqiong, and Damien D. Pearse. 2015. "Therapeutic Hypothermia in Spinal Cord Injury: The Status of Its Use and Open Questions" International Journal of Molecular Sciences 16, no. 8: 16848-16879. https://doi.org/10.3390/ijms160816848
APA StyleWang, J., & Pearse, D. D. (2015). Therapeutic Hypothermia in Spinal Cord Injury: The Status of Its Use and Open Questions. International Journal of Molecular Sciences, 16(8), 16848-16879. https://doi.org/10.3390/ijms160816848
